Next Article in Journal
Predictive Modelling of Weld Bead Geometry in Wire Arc Additive Manufacturing
Previous Article in Journal
Parametric Design of Easy-Connect Pipe Fitting Components Using Open-Source CAD and Fabrication Using 3D Printing
Previous Article in Special Issue
A Step beyond Reliability in the Industry 4.0 Era: Operator-Leveraged Manufacturing
 
 
Font Type:
Arial Georgia Verdana
Font Size:
Aa Aa Aa
Line Spacing:
Column Width:
Background:
Article

A Flatness Error Prediction Model in Face Milling Operations Using 6-DOF Robotic Arms

by
Iván Iglesias
1,*,
Alberto Sánchez-Lite
2,
Cristina González-Gaya
3 and
Francisco J. G. Silva
4,5
1
Defense University Center in the Spanish Naval Academy (CUD-ENM), Universidade de Vigo, Plaza de España, 36920 Marín, Spain
2
School of Industrial Engineering, Universidad de Valladolid, Paseo del Cauce, 59, 47011 Valladolid, Spain
3
Department of Construction and Manufacturing Engineering, Universidad Nacional de Educación a Distancia-UNED, Juan del Rosal, n° 12, 28040 Madrid, Spain
4
CIDEM, ISEP—School of Engineering, Polytechnic of Porto, Rua Dr. António Bernardino de Almeida, 431, 4249-015 Porto, Portugal
5
LAETA, INEGI—Associated Laboratory for Energy, Transports and Aeronautics, Campus FEUP, Rua Dr. Roberto Frias, 400, 4200-465 Porto, Portugal
*
Author to whom correspondence should be addressed.
J. Manuf. Mater. Process. 2025, 9(2), 66; https://doi.org/10.3390/jmmp9020066
Submission received: 26 December 2024 / Revised: 23 January 2025 / Accepted: 14 February 2025 / Published: 19 February 2025

Abstract

The current trend in machining with robotic arms involves leveraging Industry 4.0 technologies to propose solutions that reduce path deviation errors. This approach presents significant challenges alongside promising advancements, as well as a substantial increase in the cost of future industrial robotic cells, which is not always amortizable. As an alternative or complementary approach to this trend, methods encouraging the occasional use of Industry 4.0 devices for characterizing the behavior of the actual physical cell, calibration, or adjustment are proposed. One such method, called FlePFaM, predicts flatness errors in face milling operations using robotic arms. This is achieved by estimating tool path deviation errors through the integration of a simple model of the robot arm’s mechanics with the cutting forces vector of the process, thereby optimizing machining conditions. These conditions are determined through prior empirical estimations of mass, stiffness, and damping. The conducted tests enabled the selection of the most favorable combination of variables, such as the robot wrist configuration, the position and orientation of the workpiece, and the predominant milling orientation. This led to the identification of the configuration with the lowest absolute flatness error according to the model’s predictions. The results demonstrated a high degree of similarity—between 97% for the closest case and 57% for the farthest case—between simulated and experimental flatness error values. FlePFaM represents a significant step forward in adopting innovative robotic arm solutions for reliable and efficient production. FlePFaM includes dimensional flatness indicators that provide practical support for decision making.

1. Introduction

Today, with a continuously changing industrial environment and ever-decreasing product lifespans, the need for faster prototype production is increasingly evident. Current rapid prototyping technology has the limitation of being restricted to small dimensions, as the cost of production systems rise significantly with the size of the part being processed. This often requires manufacturing machines that exceed the requirements for the parts being processed. As a result, companies face high economic investments and long amortization periods, especially in sectors focused on short manufacturing batches or single parts, such as initial product prototyping [1,2].
Large-part prototyping through material removal operations often relies on manual methods, which lack sufficient repeatability and depend on skilled craftsmen, who are increasingly scarce. Conventional machining technology applied to lightweight, soft materials like polyurethane foam, resins, aluminum alloys, and wood has driven the development of large-scale specialized CNC machine tools [2]. Industrial robots offer a more economical and flexible alternative to CNC equipment for machining applications. However, significant challenges remain for these systems. Key issues include the insufficient stiffness of robotic arms, which affects both precision and their ability to work with harder materials. Additionally, translating CAM programs into robot language and simulating robot paths and tools is required to minimize potential deviation errors [3,4].
Leading robot manufacturers are continuously evolving, as demonstrated by their contributions to scientific and technical journals and the development of specialized systems for various manufacturing processes [5,6]. These advancements are especially relevant in sectors like aerospace, automotive, foundry, naval, plastics, and wood, where robots aim to reliably perform tasks such as milling, polishing, drilling, and roughing [7,8].
Precision in machining paths requires optimal tool calibration and a sensor-based procedure to calculate the Tool Center Point (TCP). Artificial vision-based TCP calibration has proven more effective than manual methods in both speed and precision [9]. Recent research has focused on active tool path control using auxiliary modules that manage sensor parameters in real time to adjust actuator effort. This approach is often used in roughing operations on weld over-thicknesses, where the control device follows the surface shape to be machined [10]. The application of robotic systems to machining faces several technical barriers that represent key research priorities. Key limitations include insufficient manipulator accuracy, lower robotic arm stiffness compared to CNC machines, and the risk of vibrations or path deviations during machining. Additionally, robot calibration errors can also significantly affect machining precision, complicating the development of automated systems. Path execution is also prone to singularities and indeterminacies [11].
On the other hand, software-related barriers include usability challenges, the absence of regulations, and the lack of commercial software to streamline trajectory programming and error correction for robot movements. As in conventional machining, tools can exhibit abnormal behaviors like vibration, chatter, and cooling issues, underscoring the need to enhance human–machine interaction and connected systems [12].
An analysis of recent scientific contributions highlights the growing importance of methodologies for evaluating the performance of machine tools and robotic systems in manufacturing large-volume parts. These methodologies compare the performance of both solutions to optimize resource utilization in machined component production. Notable works, such as Barnfather et al. (2015), have advanced the manufacturing of large parts from lightweight or soft materials [13]. While trends in this field have evolved rapidly, the core approach remains focused on integrating new technologies and methods for robotic arm-based solutions [8,14]. Figure 1 illustrates how cutting constraints, such as force direction and magnitude, correlate with trajectory deviation, underscoring the need to address these limitations in robotic machining systems.
Among the most advanced methods and techniques for predicting trajectory errors are models that evaluate the interaction between cutting forces and the structural behavior of robotic arms. For instance, advances in machining flat surfaces, pockets, or squared corners [15], modelling cutting forces in face milling operations with various tool geometries, such as straight end mills, corner radius end mills, ball-end mills, and pentagonal-tip mills [16], and studies aimed at reducing deviations in drilling operations for aluminum parts in the automotive sector [17]. Additionally, some models address specific characteristics of machining, such as the inclination angle of ball-end mills, evaluating the variable modal behavior of robots and the stability of the machining process [18,19]. These models optimize stiffness and reduce vibrations, improving machining accuracy.
The development of representative models of cutting forces has been accompanied by equivalent models emulating the mechanical behavior of robotic arms. These models, based on the determination of stiffness matrices and inertial properties, provide a more accurate representation of robotic systems. Such approaches do not require designing or digitizing the robot’s complete geometry, relying instead on experimental data to estimate behavior under external actions [20,21]. Recent studies have also explored the modelling of rotary joints, motion transmission, and robotic system precision. Although these models offer more accurate predictions, they demand significant computational and experimental efforts [22,23,24,25]. Alternatively, more practical methods that are easier to implement in production workshops have proven effective for addressing urgent challenges [26].
Generating a behavior map of the robotic arm under specific machining conditions, such as the location and orientation of the workpiece or the configuration of the robot’s axes, improves trajectory error prediction. These maps help reduce deviation errors and suppress low-frequency vibrations, significantly impacting stability [27,28]. Recent studies have also modelled hybrid impedance–admittance control systems, which allow adaptive interaction between robotic manipulators and their environments. However, challenges remain regarding the continuity of interaction forces and parameter adaptation, limiting industrial implementation [29].
Real-time error compensation techniques have been essential for operations such as flank milling. Methods like closed-loop error compensation have significantly improved surface accuracy, particularly in thin-wall machining for the aerospace industry [30,31,32]. These techniques include advanced sensors and tracking systems, such as laser trackers, to dynamically adjust the robot’s path during machining operations. Flexible manufacturing systems with robotic arms automate manual processes and offer a cost-effective alternative to CNC equipment. While technical challenges persist, recent advancements in trajectory prediction, dynamic modelling, and real-time compensation position robotic machining as a viable solution in high-precision sectors and complex geometries [8,32].
Research on robotic arm face milling has been crucial for improving precision and compensating deviations, ensuring surface flatness. Key advancements include the development of predictive algorithms to address flatness deviations caused by tool wear and other variables, enabling timely adjustments and proactive tool replacements [33,34,35,36]. Offline path compensation and real-time error correction methods, enhanced by advanced sensors and measurement systems such as laser trackers, have been instrumental in achieving these goals. These innovations not only mitigate flatness deviations but also enable dynamic adjustments during milling, making robotic systems capable of addressing complex and high-precision manufacturing tasks. By integrating predictive modelling with adaptive control systems, robotic milling is positioned as a reliable and cost-effective alternative to conventional CNC machining, extending its applicability across a wide range of industrial sectors.
The development of models that combine the mechanical dynamics of robotic arms with analytical cutting force models is a major step forward in optimizing flexible machining systems [37]. Additionally, incorporating a multipoint contact analytical model enables precise evaluation of cutting forces and deformations, offering a more direct and focused approach compared to more complex and generalized methods [38]. The simplicity and effectiveness of the proposed model make it an innovative tool for the industry, standing out from approaches that rely on extensive optimization algorithms or detailed CAD modeling [39]. This study adds to this growing field, highlighting the relevant potential of robotic arms in modern flat-face milling operations.

2. Materials and Methods

The proposed flatness error prediction model in face milling operations (FlePFaM) provides robotic machining users with a practical workshop tool to identify system limitations in flat machining and save time in preparing milling strategies. The FlePFaM model estimates simulated values of robot path deviation errors based on the wrist orientation and the position and orientation of the stock on the worktable. This ensures process reliability and optimization, which is crucial for developing and using robotic manufacturing systems.
The model is based on the availability of prior information about the robot’s mechanical behavior under the action of cutting forces for the series of points in the programmed path required for flat-face machining. By characterizing the robot arm’s mechanical properties—mass, stiffness, damping matrices—and its interaction with alternating forces during flat-face machining, tool path deviations can be predicted. The cutting force vector was modelled for milling homogeneous materials, accounting for factors such as machining strategy, cutting conditions and tool geometry. TCP calibration, Wobj determination, and encoder readings are used to setup and calibrate of the experimental robotic cell.
Then, this innovative proposal incorporates the use of novel metrics to predict path deviation errors in face milling operations using robotic arms. It quantifies the flatness deviations calculated based on the dynamic structural behavior of the robot concerning the TCP of the cutting tool. This approach estimates deviation errors resulting from modifications to the robotic arm’s joint configurations, which affect its mechanical robustness. The main goal of this model is to help choose the best cutting path conditions based on the position and orientation of the raw material and the robot’s wrist setup, selecting flat-face milling conditions with the smallest possible flatness deviation. The strategy designed to implement the predictive model comprises the following steps, see Figure 2.
The model estimates deviations for any point in the flat-face machining path. Validation is performed through geometric digitization of the actual machined surface. A non-contact CMM technique measures the deviation error between the digitized surface and the theoretical surface. These results are compared with FlePFaM’s estimated values for any path point. The model must be adjusted through various experimental tests for the same machining strategy. This ensures the model delivers reliable estimates of robot path deviation, flatness tolerance, and their average and standard deviation.
The metrological verifications are performed using digitized machined surfaces. Obtaining geometric values without assembling or matching partial images is essential to avoid cumulative errors when reconstructing the complete geometry of workpieces. For example, an integral point cloud captured in a single image can prevent error accumulation compared to point clouds created through image matching. Structured light-based metrological systems were selected and the proper settings and calibration performed.

2.1. A Robot Dynamics and Flat Milling Force Interaction Model

In this work, the robot’s mechanics is modelled using a simplified equivalent representation, characterized for a specific robotic cell through various techniques and procedures, independent of the robot’s kinematic attributes. This approach determines dynamic properties at path points Pi and extrapolates them to the robot’s workspace by calculating stiffness and damping matrices. This study focuses on the robot’s TCP dynamic performance, using a single model efficiently applicable in production. Figure 3 shows the simplification which is based on the equivalence of linear and torsional stiffness and damping factors for 3 coordinate axes, referred to as the X-Y-Z-axis in the Euclidean space.
To determine the Kr (stiffness) and Cr (damping) matrices, a method has been devised based on the physical principles of damped oscillations. This method involves a linear system incorporating an elastic spring and a viscous damper for each direction of the tool’s TCP.
The behavior of the robot’s virtual model is simplified to a singular dynamic model in each one of the 3D axis of the Cartesian space, in Equation (1):
M r P i , θ j X ¨ + C r P i , θ j X ˙ + K r P i , θ j X = [ F x y z , t o o l ]
The milling tool deviation, at any point along the machining trajectory, is influenced by the interaction between the robot’s structural configuration and the selected cutting conditions. This interaction is calculated based on the cutting path location and robot axis configuration. The interaction model predicts the simulated path under various structural conditions and cutting parameters. By comparing this simulated path with the theoretically programmed path, the deviations of the cutting tool’s TCP can be determined.
The cutting-force vector model, Fxyz,tool, integrated with the reduced equivalent model, enables TCP deviation prediction. To simulate material removal, the standard cutting force model based on Altintas is employed [40]. His approach ignores lag time responsible for self-induced chatter during shaping, where shaving geometry is defined by the angular thickness h(φ,z), with φin and φout as entry and exit angles (see Figure 4a). As shaving thickness varies along the cutting edge, it is divided into disks of height dz and angle . I In line with cutting tool geometry discretization, slices of thickness dz are extracted, as show in Figure 4b.
In each disk e, Frta,j presents the force caused in one ‘j’ tooth in the radial, tangential and axial directions.
F r t a , j , e = K c d z   h j φ , z + K e   d z
The shaving thickness hj(φ,z) is determined based on the angular position j of the tooth within a slice. The cutting force coefficients Kc = [Krc, Ktc, Kac] and Ke = [Kre, Kte, Kae] are predetermined in advance. The force Fxyz,tool acting on the TCP, relative to a non-rotary coordinate system, is calculated by transforming Frta,j,e through T(φ) and summing over all teeth Nz and slices Ne.
[ F x y z , t o o l ] = e = 1 N e j = 1 N z T j φ F r t a , j , e  
The equivalent mass matrix of the robot’s axes and machining head [Mr] is obtained using reduction techniques for any point Pi along the robot path for a defined robotic wrist configuration,
M r P i , θ j = 1 x t c p 2 + y t c p 2 + z t c p 2 i = 0 N m i y i 2 + z i 2 x i y i x i z i x i y i x i 2 + z i 2 y i z i x i z i y i z i x i 2 + y i 2
The stiffness matrix equivalent to the robot’s mechanical structure [Mr] for any point Pi of the milling path and wrist configuration in 3D Cartesian coordinates is focused on the tool’s TCP.
The damping matrix [Cr] is calculated u rom acceleration and position values measured at the robot’s Tool Center Point (TCP). These values are determined by applying an external force through a hammer impact test, which transitions the system to a new equilibrium position. The dynamic response is recorded using an accelerometer and two perpendicular laser sensors mounted on the machining head, measuring vibrational displacements of the robot arm.
The equivalent damping matrix [Cr], specific to a point Pi in the workspace and its corresponding joint configuration, characterizes the robot’s mechanical structure. Cr is defined in Cartesian coordinates on the TCP, this matrix represents both linear and torsional damping. The calculation, based on Equation (5), models Rayleigh damping as proportional to the system’s mass and stiffness matrices.
C r P i , θ j = a 0 M r P i , θ j + a 1 K r P i , θ j
The governing dynamic Equation of the robot system (Equation (1)) relates these matrices to the external forces applied. Fxyz,tool represents the external forces acting on the TCP, while X ,   X ˙   and   X ¨ denote the displacement, velocity, and acceleration vectors, respectively. The damping matrix is determined by analyzing the experimentally measured response and substituting it into Equation (5) to estimate the coefficients a 0   and   a 1 . These coefficients enable the equivalent damping matrix [Cr] to reflect the proportional contributions of mass and stiffness to the robot’s damping properties.
The deviation errors calculated by Algorithm 1 Flatness Calculation, based on a simplified model of the robot’s dynamic behavior, use the X-Y coordinates of the programmed flat milling path points (Pi) to predict displacement values in the Z direction, normal to the desired theoretical flat surface, for any point on the programmed path.
Algorithm 1: Flatness Calculation—A pseudocode
1: Procedure FLATNESS_CALCULATION(Points)
2:   A, B, C ← FIT_PLANE(Points)
3:   Deviations ← [di]
4:  for each (xi, yi, zi) in Points do
5:   dizi = f(A·xi + B·yi + C)
6:   Append di to Deviations
7:   end for
8:   Absolute_Flatness ← max(|di| for each di in Deviations)
9:   Arithmetic_Mean_Flatness ← sum(|di| for each di in Deviations)/len(Deviations)
10: Geometric_Mean_Flatness ← prod(|di| for each di in Deviations)^(1/len(Deviations)
11: Print Fitted plane: z = A·x + B·y + C
12: Print Absolute Flatness: Xa
13: Print Arithmetic Mean Flatness: Xm
14: Print Geometric Mean Flatness: Xg
15: end procedure
The expected flatness of the surface to be machined using this innovative method is determined by using the previously calculated deviation errors in the Z direction for all the programmed flat milling path points (perpendicular to the theoretical surface), see in Figure 5 the calculation process.
A virtual reference system with X-Y axes aligned on the theoretical surface, adjusts it to the workpiece’s reference plane, which is calculated using the least squares method, and provides deviation error measurements by the algorithm. The fitted plane follow the form of Equation (6), where A, B, and C are the coefficients defining the plane.
z = A x + B y + C
The deviation di of any point Pi (xi, yi, zi) in the z direction relative to the fitted plane is calculated using Equation (7).
d i = z i A x i + B y i + C
The path deviation errors of points Pi of the flat-face milling are crucial to quantify how much the actual cutting trajectory deviates from the programmed path. However, to validate the effectiveness of the proposed method. It is also necessary to compare the simulated deviation errors against the experimentally obtained values. Relative error deviation was expressed using Equation (8). Finally, predicted flatness indices are determined.
R e l a t i v e   E r r o r   D e v i a t i o n   ( D r ) = ( d i m d i s ) d i m

2.2. Flatness Error Prediction Indices

The dimensional discrepancies among the simulated path points and the programmed path points Pi (dis),deviation errors in Z direction are evaluated. This involves comparing the geometry obtained from the simulation with the desired geometry for each part location and configuration of the robot’s axes.
The evaluation identifies the maximum deviation errors in the Z direction for any point Pi on the simulated path, enabling comparisons to determine the flatness tolerance range (Xa, Xg and Xm).
The surface flatness range is defined as the maximum absolute value of the deviations, as expressed in Equation (9).
A b s o l u t e   F l a t n e s s   E r r o r   ( X m ) = m a x   d i m i n   d i
The average flatness error is determined as the arithmetic mean, as expressed in Equation (10).
A r i t h m e t i c   F l a t n e s s   E r r o r   ( X a ) = 1 n i = 1 n d i
The geometric mean flatness of the surface is calculated as the geometric mean deviation, according to Equation (11).
G e o m e t r i c   F l a t n e s s   E r r o r   ( X g ) = i = 1 n d i 1 n

2.3. Flat-Face Robotic Milling Strategy

In the context of flat-face milling using a 6-DOF robotic arm, choosing the right cutting strategy is crucial to ensure high dimensional quality and proper interaction between cutting forces and the robot’s dynamic behavior. When comparing face milling with tangential milling in flat-face machining, it’s important to consider factors like dimensional accuracy, process stability, and suitability for any type of manufacturing systems. Several studies and expert sources suggest that face milling offers significant advantages in terms of flatness and process stability when milling with a serial robot [41,42].
Face milling involves the use of cylindrical helical cutters with fewer teeth and a large helix angle. This allows for smooth, vibration-free cutting, producing surfaces with high quality and precision. This feature is especially beneficial when using 6-DOF serial robots, as these systems tend to have less rigidity compared to conventional machine tools. Reducing vibrations helps minimize deformations and deviations during the machining process, thereby improving the dimensional tolerance of the part.
Additionally, in face milling, the tool removes chips of consistent thickness using the peripheral or lateral edges, while the front edges refine and shape the part, enhancing the quality and final finish. This uniform material removal makes it easier to simulate and control cutting forces, allowing better integration with the robot’s dynamic models. Predictable cutting forces are essential for adjusting the robot’s control parameters and ensuring machining accuracy.
Climb milling is ideal for flat-face milling with robotic arms because robots are less rigid compared to CNC machines. This method reduces vibrations and distributes cutting forces more effectively, as the tool starts cutting with a thick chip that becomes thinner. The forces generated are more stable and predictable, making it easier to integrate them with the robot’s dynamic model, improving precision and surface quality. Experts and manufacturers recommend this method for systems with limited rigidity, as it minimizes vibration risks and improves process stability [43,44,45,46].
Regarding the movement of the cutting tool over the workpiece, different path options were considered, such as zig-zag, helical, radial, or specific paths like One-Way Next. The chosen criterion for selecting the tool’s routing strategy was to keep the direction and magnitude of the cutting force vector as constant as possible. This approach helps achieve more realistic and accurate prediction results by reducing the likelihood of mismatches between the cutting force model and the robot’s dynamic behavior.
A One-Way Next machining strategy was selected (see Figure 6) instead of zig-zag or raster. This approach ensures better alignment of the cutting force vector with the robot stiffness throughout the machining path. Other strategies could optimize material removal time in high-speed flat milling operations on CNC machines. However, using robotic arms for these strategies is not recommended because the orientation of the module and the direction of the cutting force vary significantly concerning the robot’s stiffness, as noted by Iglesias et al. [47].
Certainly, for experimental validation of FePFaM model a flat-face milling operation has been selected based on the extensive experience the authors have in robotic arm machining, which has been published in previous works with significant advancements [14]. Aiming to measure the model’s effectiveness, it is also recommended to start with suitable cutting conditions, which have also been studied in previous works by Iglesias et al. [39], where a factorial study on recommended cutting conditions for slotting operations with a robotic arm is presented. It should be noted that in the future, it will also be necessary to verify the model in contouring, pocket machining, and others processes.
Then, a face milling strategy was adopted using conventional milling technique, to minimize vibrations in the robotic arm. A One-Way Next strategy was applied, consisting of ten paths with a 62.5% overlap, a radial depth (ae) of 10 mm and a cut axial (ap) of 2 mm. The milling cutter has a 16 mm diameter (DC) and four cutting edges (Zc). The milling tool entry and exit were performed on the stock to prevent incremental deviation errors between milling passes. The feed rate was set at 2400 mm/min (Vf) with a rotation speed of 12,000 rpm (n). Based on these parameters, a feed per tooth of 0.05 mm (fz) and a feed per revolution of 0.2 mm (fn) were used.
The experimental tests conducted to validate FlePFaM involved different robot wrist configuration, as well as the orientation and position of the workpiece within the robot’s workspace. A factorial design was used to develop the experimental machining test. Each of the 8 different tests, as shown in Table 1 and Table 2, was repeated 9 times. A material of medium hardness was chosen to ensure that the cutting forces induce sufficient deviations in the TCP. Over 70 AW-5013 aluminum blocks, each measuring 500 × 100 × 10 mm, were used for the flat-face milling tests. The stock positions, orientations, and robot wrist configurations were selected following ISO 9283:1998 [48], that defines performance criteria and test methods for 6-DOF robots [49].
In the experimental tests, two different robot wrist configurations were studied (see Table 1 and Table 2). ‘A’ configuration is parallel to Robot Coordinate System and the ‘B’ is rotated 90° with respect to the Z axis of the Robot Coordinate System (see Figure 7).
Additionally, two different locations (1 and 2) and two orientations of the workpieces (L and T) on the worktable were also studied (see Figure 8).

2.4. Experimental Robotic Cell and Measuring Instruments

A robotic machining cell has been implemented for the development of the experimental test (see Figure 9). The main equipment used during the experimental phase included an ABB IRB 6640 robot, which is a robotic arm with six motorized rotational joints, providing movement across six degrees of freedom (6-DOF). The ABB IRB 6640 robot has a payload capacity of 235 kg, a reach of 2550 mm, and a repeatability of 0.06 mm.
The system maximizes the available working area by incorporating an ABB MTC 5000 external rotary unit. A machining electro spindle, installed on the robot’s wrist, provided 15 Nm of torque and a rotational speed of 24,000 rpm, making it suitable for processing the selected materials.
The experimental cell control system was equipped with the RobotWare operating system, which supports multitasking. This system enables the simultaneous control of various subsystems within the machining cell, including the execution of robot paths, the operation of the frequency converter controlling the electro-spindle, the reading of robot encoders, and the overall management of the cell, such as safety protocols.
Milling paths were generated using Autodesk Fusion 2022 software, which was employed to create and simulate theoretical robotic TCP paths, leading to the development of manufacturing programs. A post-processor capable of generating trajectories in ABB’s ‘Rapid’ language was integrated, requiring the definition of a virtual machine to characterize the robotic system.
The 6-DOF robots have different architecture from CNC machines, presenting particular problems such as singularities, indeterminacies, limitation in the rotation of axes and different type of collisions. To address these issues and ensure an accurate manufacturing process, a robot path simulation module was incorporated. The chosen program, RoboDK 5.6, was integrated into Autodesk Fusion through a plugin.
Another key component used in this research was a Digital Indicator ID-C, Mitutoyo model 543-351, which offers a resolution of 0.001 mm and features data output capability. It connects seamlessly to data acquisition systems, enabling real-time monitoring.
This device’s high precision and repeatability make it indispensable for calibrating the TCP (Tool Center Point) and Wobj (Work Object) in robotic machining. The combination of real-time measurement capabilities and robust integration options ensures precise alignment and configuration, which are critical for achieving optimal milling accuracy and reducing errors in robotic operations.
Another key component used in this research, after flat-face milling of the test stocks, it was a Nub3D Triple Optical 3D digitizer scanner was used to measure all surfaces. The NUB3D optical 3D scanner utilizes white light technology to capture geometric and surface data with high precision.
This technology allows for quick acquisition and comparison of detailed data with CAD models, simplifying the automated inspection of manufactured components. Unlike certain laser systems that require multiple scans and subsequent image stitching (matching) to build a complete point cloud, considering the dimensions of the test specimens, NUB3D’s white light scanners can capture the full geometry of a surface in a single shot. The NUB3D’s technical specifications are detailed in Table 3.
This capability significantly reduces data acquisition and processing time, minimizing potential errors associated with scan alignment [4]. The 3D scanning offers significant advantages for metrological analysis, providing precise point clouds from a single image without the need for matching processes. While it is true that the use of structured white light is crucial, it is equally important to monitor potential issues caused by light reflection or distortion on the scanned surface, as these effects can interfere with the scanning process. Therefore, applying scanning methods with precision and care is paramount [50,51].

2.5. Setup and Calibration

Prior to thoroughly studying how the configuration of the robotic arm’s wrist impacts the robot’s structural robustness and dynamic behavior, it is necessary to perform a series of adjustments and settings related to the robotic arm, such as the weight (W), the center of gravity position (CG), inertia calibration, and other parameters of the milling head. An iterative method was used to calibrate the milling spindle’s TCP, relying on the worktable coordinate system for optimized calibration values [47]. The Euler angles (α, β, ɣ) were calculated and converted into quaternion values (q1, q2, q3, q4), from which the X, Y, and Z positions were derived.
Firstly, the position of the TCP with respect to the robot’s Tool 0 was determined, which it is crucial for achieving accurate machining. For this purpose, measurements were performed using a micrometer and a 3D measuring device, following the procedure defined by R. Gonzalez et al. (2011) [47]. Another important setting to increase the accuracy of the robot is to determine the loads and inertias of the machining tool. The robot’s controller includes an application called ‘Load Identify’, which calculates and adjusts these values with 99% accuracy through iterative processing. The resulting values, used for further calculations, are shown in Table 4.
Secondly, the adjustment of the external axis was adjusted using the selected technique [47]. The Wobj was created for positioning the workpieces relative to the center of the worktable coordinate system with respect to the robot, using a digital indicator and manual adjustment, obtaining the following position values 2312.560; −320.620; 79.500 (X, Y and Z in mm) and orientation angles 0.05°; 0.03°; −88.40° (Rx, Ry and Rz in degrees).
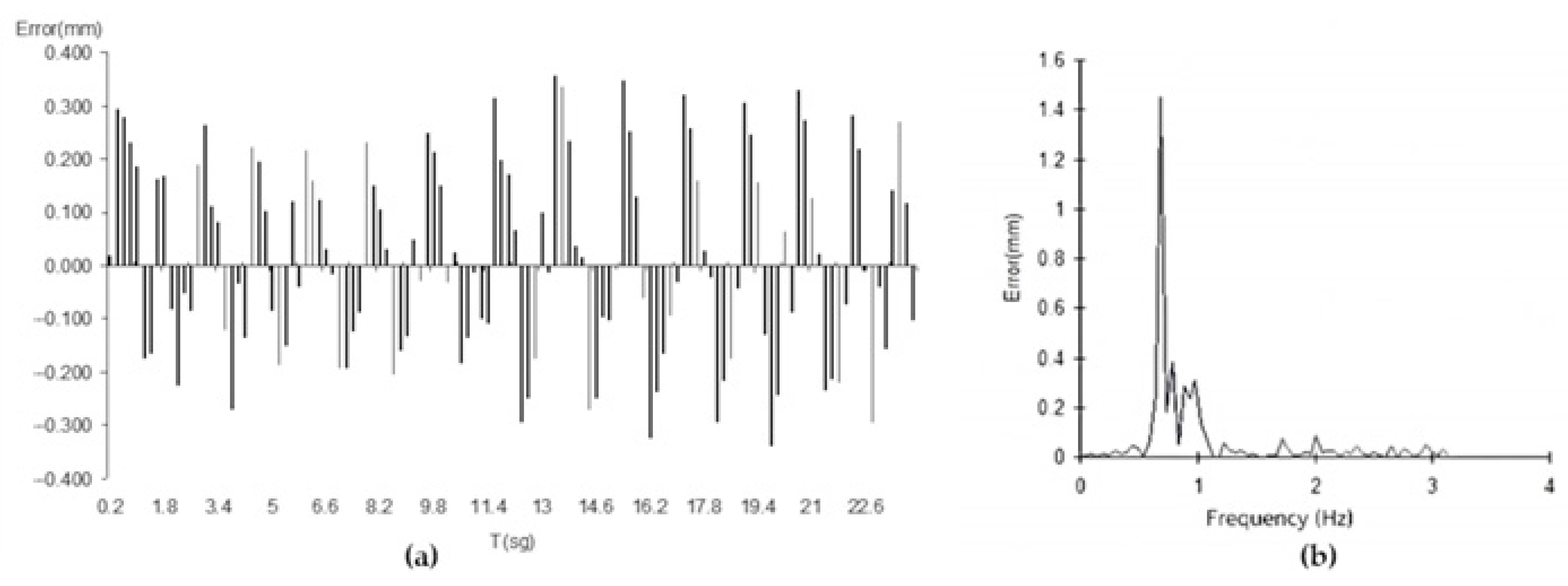
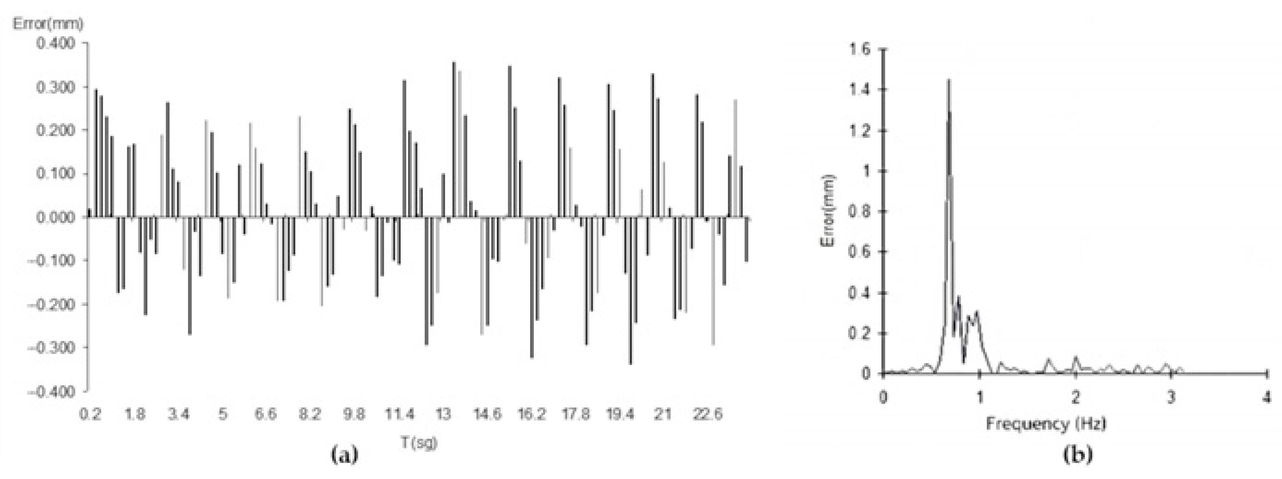
The primary objective of this method is to determine the tool’s current positions by reading the axis encoders during the execution of machining paths. The robot controller (IRC5) incorporates instructions that transform the encoder’s data into Cartesian coordinates. This approach enables the determination of the error induced by the robot by comparing the ideal and experimental paths, as shown in Figure 10. The error frequency spectrum obtained was plotted, revealing a significant increase in error at 0.6 Hz frequency.
Thus, it is possible to optimize the robotic system based on the data from the encoder readings. However, a small difference remains between the values provided by the encoders and the actual values. This allows for the safe determination of the machine’s error extent without the need for additional machining tests [47].

3. Results

3.1. Characterization of the Robot’s Dynamic Model

The robot arm was characterized by calculating its mass, stiffness, and damping matrices for robot wrist configuration A (MrA, KrA and CrA) and B (MrB, KrB and CrB) across all programmed points (Pi) for the entire case shown in Table 2. The mass matrices [MrA (Pi)] and [MrB (Pi)], expressed in kilograms for the A and B robot wrist configurations, were calculated by Fusion software considering the masses at each Pi of the face milling path. The stiffness matrices KrA and KrB, expressed in N/m, were determined by applying force of 150 N and 250 N—equivalent magnitude to the cutting forces values in the face milling process- and then measuring the displacements produced by using a Mitutoyo digital indicator. Table 5 presents the measurement deviations at 8 points (Pi) of path for case n° 6.
The damping matrices CrA and CrB, expressed in N·s/m, were calculated using the coefficients a0(0.9196) and a1(0.0024) derived from the vibration modes of the hammer impact test. The following matrices illustrate the results obtained at point P25 during face milling with the stock in position 2 and L orientation, for both robot wrist configurations:
Mr A ( P 25 ) = 654.58 0 382.51 0 903.38 0 382.51 0 269.57 Mr B ( P 25 ) = 651.36 5.2 378.43 5.2 918.41 3.83 378.43 3.83 269.11
Kr A ( P 25 ) = 3.32 0 0 0 7.15 0 0 0 8.77   10 5 Kr B ( P 25 ) = 3.58 0 0 0 7.46 0 0 0 8.828   10 5
Cr A ( P 25 ) = 1297.27 0 351.91 0 2328.15 0 351.91 0 2079.23 Cr B ( P 25 ) = 1353.1 4.65 348.92 4.65 2408.33 3.54 348.92 3.54 2104.17
Parameters such as stiffness and damping are determined experimentally using hammer impact testing, a proven and reliable method. This approach simplifies the process of obtaining precise values while minimizing the need for extensive resources, ensuring the model’s applicability in dynamic manufacturing environments [52,53].

3.2. Flat-Face Milling Force Vector Identification

The cutting force vector, as defined by Equations (2) and (3), was calculated at the Pi path points. Figure 11 shows the plot of the 3D cutting force values for 360° of rotation (a) during the machining of a flat surface with the chosen cutting tool, as well as the main direction of its guiding vector (b). This data, along with the robot’s dynamic model, was used by the calculation algorithm to estimate the robot’s TCP path deviation errors.

3.3. Analysis of Path Deviation Errors

The deviation errors of the TCP tool was predicted based on the interaction between the robot’s structural configurations and the cutting force vector at each Pi path point.
First, to validate the coupling of flat-face milling cutting forces with the simplified dynamic model of the robot’s mechanical behavior, the results of the deviation from a section of points in a cutting pass of the programmed and processed path from the experimental tests will be presented. A cutting pass refers to the individual segment of tool movement along the programmed path where material is removed in a specific direction. Figure 12 shows a photograph of the flat-face milling process captured for case 2.
Table 6 shows the absolute deviation in the Z direction from points 56 to 80 for case 2, comparing the measured and simulated paths in Test n° 6, along with relative deviations calculated using Equation (7). A reasonable degree of consistency is observed, although some variations appear to be random. The relative deviation errors between the estimated deviation and the obtained geometry were also expressed as a percentage for the Z coordinates, according to Equation (8).
It considers the difference between simulated values and actual measurements at each point Pi along the path, where i ranges from 56 to 80. Figure 13 presents the obtained values for the represented point segment, along with their trend and the percentage variation in deviation between simulation and experimental results for case 2.
The coefficient Dr, defined in Equation (8), is relevant only for evaluating deviations at individual points Pi. However, it is not suitable for validating the entire model. This is because the indicator may yield high percentages of local deviation errors, even when the absolute deviation error remains small, as observed for points 67 to 73. In the next three figures are presented the results obtained using Equations (8)–(10) proposed in this method. The mean, geometric, and absolute errors were analyzed to determine which is the most suitable for representing the percentage of trajectory deviation errors in robotic machining using a 6-DOF robot arm.
The geometric error (see Figure 14) considers the relationship between deviations and geometry, providing a normalized view of the error percentage. This approach is useful for understanding errors within the context of spatial geometry, particularly in robotic machining processes where such relationships are crucial. However, it may overemphasize localized deviations, yielding high error percentages even when the overall trajectory error is small. This could misrepresent the model’s performance.
The mean error (see Figure 15) reflects the average behavior of deviations across points, making it useful for identifying general trends. However, it can oversimplify the data by smoothing out localized deviations, potentially masking critical error points. For example, in regions with high fluctuations, such as points 67 to 73, significant errors might not be adequately captured.
The absolute error (see Figure 16) provides a straightforward representation of deviation magnitudes, irrespective of whether the error is positive or negative. This simplicity makes it easy to identify significant deviations directly. While it does not account for proportional relationships between smaller and larger deviations or capture significant geometric patterns, its clarity and ease of interpretation make it highly practical for analyzing machining trajectories.
In conclusion, the absolute error is the most suitable index for representing path deviation errors percentages in robotic machining. Its simplicity and directness allow for the clear identification and interpretation of significant deviations without overcomplicating the analysis, making it the most practical choice for this application.

3.4. Flatness Indices

After analyzing and comparing the results obtained from FlePFaM predictions and experimental measurements for multiple machining passes and different test cases, the method for coupling the robot’s dynamic model with the forces induced by the milling process is considered validated. Based on these partial results, the use of different flatness indicators proposed in the method was also discussed. The experimental results from flat-face milling tests for the 8 cases outlined in the factorial design shown in Table 2 are presented below.
Figure 17 and Figure 18 display images of the surfaces obtained by meshing the point cloud digitized using the nub3D structured white light scanner, indicating Xm, the absolute flatness error, as the most suitable metric for evaluation. It is important to note that each image shown, used to compare actual flatness results with FlePFaM predictions, was the most representative among all the digitized surfaces from the nine machining tests described in the factorial design.
All surfaces were analyzed using digital metrology tools to determine their geometry, employing a point cloud processing software. A Python plugin was implemented within PolyWorks to process the geometric data from the point cloud and determine the best-fit mean plane, as calculated using Equation (6). This plugin also extracted the deviations in the Z-direction of the points (Pi) relative to their X-Y coordinates through several cross-sectional planes along the programmed trajectory points, as described in Equation (7). The processed information was then used to calculate flatness errors based on the proposed indices and to compare the experimental results with FlePFaM predictions. The criterion used to present the results has been based on descending absolute flatness error.
The proposed factorial design for evaluating robotic machining conditions to achieve flat surfaces with minimal flatness error involves three test variables: robot wrist configuration, material stock position on the worktable, and preferred machining orientation. The analysis of results has grouped findings based on the variable that exerted the greatest influence on absolute flatness error.
FLePFaM predictions and dimensional measurements both demonstrate that flat-face milling orientation is the most significant determinant. As highlighted in the previous section, the importance of coupling between the robot’s dynamic model and the cutting force vector explains why optimal flatness tolerances occur when the primary milling direction is aligned longitudinally with the worktable. This alignment maximizes the stiffness and damping properties of the robot’s dynamic model.
Regarding the impact of the other two variables—robot wrist orientation and the workpiece position relative to the robot—the results indicate that positions farther from the robot’s base contribute more to flatness error than wrist configurations. Nevertheless, defining a precise decision rule is challenging since both variables exhibit similar relative weights on the induced flatness error.
Table 7 provides results for absolute, arithmetic, and geometric flatness across the proposed validation scenarios. These outcomes were derived by calculating deviation predictions using the FLePFaM model and digitizing the point cloud from robotic face milling experiments.
It is important to note that the percentage error between the estimated flatness deviations and the experimental results, shown in Table 7, tends to be less consistent in cases where the machining orientation is transverse. Although the exact reasons for this predictive difference have not been deeply analyzed yet, and further refinement of the FLePFaM method is needed, it is suspected that the orientation of the cutting force vector plays a key role in utilizing the robot’s limited stiffness. Vibrations caused by the cutting process may have a stronger impact on the robot’s dynamic behavior, potentially creating a greater mismatch with the interaction model designed in FLePFaM for these working conditions.
Based on the results, including both predicted values and experimental deviation data, the case study with the smallest flatness error is case 1. The best configuration for machining the flat surface involves robot wrist configuration ‘A’, placing the stock in position 1, and using the longitudinal machining orientation. On the other hand, the case with the worst flatness error corresponds to case 8.
Finally, it can be confirmed that the correct combination of the three studied variables has a significant influence on the achievable flatness error. This demonstrates that FLePFaM is a useful simulation tool for users and operators of robotic machining cells who want to predict flatness errors in flat-face milling operations.

4. Discussion

The simulated results, when compared to the programmed trajectory, show significant consistency in predicting TCP deviations under the proposed configurations for the study cases. The maximum deviations in the Z direction were minimized in configuration ‘A’, suggesting that the axis configuration, as well as the stock position and orientation specific to that study case, are the most favorable for mitigating flatness errors among the cases studied. On the other hand, the experimental results exhibited wider variations relative to the programmed trajectory, especially in stock transversal orientation and wrist configuration ‘B’, highlighting the influence of real dynamic conditions and the complexity of external factors not fully captured by the simulation model.
When comparing the experimental results with the simulated ones, it is evident that while the FlePFaM model accurately predicts deviations under certain study configurations—achieving more than 50% similarity in deviation errors even in the worst cases—there are inherent limitations that restrict its ability to fully replicate experimental conditions. The most pronounced differences were observed in paths with less rigid configurations, suggesting that FlepFaM does not fully capture the dynamic interaction of the system under variable cutting loads due to the simplified model of robot arm’s mechanical.
In comparison with previous studies, the simulated and experimental results obtained in this work align with the findings of Barnfather et al. [13], who also observed the need to optimize robot configurations to reduce deviations in milling operations. However, the FlePFaM model demonstrated greater predictive capability in identifying flatness errors in face milling operations, surpassing the more general approaches discussed in the literature [16,18,19]. This suggests that the specific approach used in FlePFaM provides an advantage in predicting errors under particular cutting conditions, not only in terms of the empirical practicality of its application but also in the accuracy of its results.
Regarding the cutting force model, this work builds upon Altintas’ model for predicting forces in machining processes, yielding results similar to those obtained in previous studies [38]. However, the specific application of this model to a robotic environment, with particular considerations for the structural rigidity and dynamics of the robot arm, represents a significant extension of prior work. The stiffness model proposed in this study is based on a simplification equivalent to linear and torsional stiffness matrices, which has proven effective, though less detailed than more complex models discussed in the literature, which include exhaustive analyses of virtual rotary joints [23,25].
The FlePFaM model offers several advantages over other deviation error prediction models for machining operations using robot arms. Its ability to provide a reasonably accurate estimation of trajectory deviations in face milling operations makes it particularly useful in industrial applications where precision is critical and investment in real-time trajectory compensation systems is not justified. Additionally, its approach, which simplifies the robot’s dynamic behavior, facilitates its implementation in real production environments. However, unlike more complex models, FlePFaM may not be as robust in predicting dynamic behaviors under extreme conditions or in more complex trajectories, as its predictions are made in a discrete manner and do not account for transitions in the robot’s movement.
Nevertheless, the FlePFaM method presents certain limitations, such as its dependence on the specific configuration of the robot and the position-orientation of the workpiece, which means its accuracy may be compromised in applications beyond the range of previously validated conditions. Moreover, the need for prior calibration and its sensitivity to variations in the robotic system’s rigidity suggest that it may not be suitable for all production environments, particularly those requiring high adaptability to different machining operations. Continuing this work by applying neural networks to study and analyze the main uncontrolled variables in this research, such as joint backlash in robots, or by further exploring other machining operations, such as contouring or drilling lightweight or soft materials, represents a promising future direction. This could improve the use of robotic arms in machining, helping to resolve the manufacturing of single-unit parts or short production batches more efficiently and with less manual effort, promoting greater adoption of robotic machining.
Using FlePFaM for flat-face machining with different tool paths, such as zig-zag, helical, radial, and others, should also be analyzed. It is not ruled out that corrective factors may need to be introduced into the robot’s mechanical model or the representative cutting force vector. This is because using cutting conditions different from those tested in this research will likely require optimization strategies for the models.
The precise determination of the damping matrix has been studied in mechanical systems to some depth, but its application to machining robots remains a challenge due to their inherent complexity. While the hammer impact technique is commonly employed to obtain dynamic parameters such as damping and stiffness, no specific studies have thoroughly analyzed the errors introduced in machining robots due to inaccuracies in the stiffness matrix. It is generally accepted that these errors can affect trajectory prediction models, especially under external forces during machining operations. Further research is required to optimize calculated stiffness values. Until more precise and accessible alternative models are developed, current methods must be refined to minimize such inaccuracies [54].
Even so, the FlePFaM method demonstrates significant improvements in reducing trajectory deviation errors, as evidenced by the comparison between simulated and experimental results. This aligns with the findings of Chen et al. [55], where stiffness modeling and error compensation also enhanced robotic machining accuracy. However, the simplicity and directness of the proposed method in utilizing absolute error metrics make it more practical for real-world applications compared to more complex compensation algorithms. In contrast to Zhang and Ding [56], which focuses on joint friction modeling under varying temperatures, the proposed method emphasizes trajectory accuracy, directly enhancing machining quality. In terms of applicability to robotic machining, the proposed method aligns with studies such as Klimchik et al. [57] and Jiachen et al. [58], which evaluate stiffness and configuration optimization. However, the proposed method stands out due to its superior trajectory-based evaluations, offering a straightforward framework to assess and mitigate errors without extensive pose optimization.
Regarding computational efficiency, the proposed method outperforms approaches like those of Klimchik et al. [59] and Chen et al., 2021 [60], which require complex CAD-based modeling or stiffness-based pose optimization. The simplicity of absolute error indices reduces computational overhead, enabling quicker assessments suitable for dynamic and adaptive environments.
The method also offers better adaptability to dynamic conditions compared to solutions like those of Cvitanic et al. [61] and Yuepeng et al. [62]. These studies propose robust but scenario-specific solutions, while the proposed method’s focus on trajectory deviations ensures greater adaptability across different systems and machining conditions. In terms of model validation and robustness, the proposed method emphasizes validating simulated results with experimental data, ensuring its reliability in real-world conditions. This is consistent with studies such as Wang et al. [63] and Mohammadi and Ahmadi [62], which prioritize experimental validation. However, the proposed approach simplifies the evaluation process while maintaining accuracy, making it more accessible and practical.
The testing conditions used were highly favorable and conservative, ensuring proper alignment between cutting forces and the robot’s mechanics. However, issues such as high-amplitude vibration modes, sudden changes in the tool path, or large shifts in the robot’s joint directions due to friction or backlash could affect the method’s effectiveness. These variations should be analyzed in future studies.
The results obtained with FlePFaM not only validate its effectiveness as a predictive method for flatness errors in face milling operations but also highlight its uniqueness compared to other approaches in the literature. Unlike methods that rely on detailed CAD modeling or highly specific configurations to predict vibrations and path errors [39,52], FlePFaM simplifies the process by using stiffness and damping matrices determined experimentally through hammer impact testing, ensuring reliable and fast results even in dynamic production environments [53]. The integration of a simplified dynamic model with an analytical cutting force scheme provides a clear advantage in terms of practicality and adaptability. This aligns with recent studies emphasizing the importance of optimizing robotic configurations to reduce deviations [37,38], but it surpasses these approaches by offering a focused and efficient solution for machining operations with industrial robots.
Although FlePFaM was not employed in this study to optimize cutting parameters but rather to optimize the postural utilization of the robot in face milling operations, it is suggested to explore the model’s options to verify the possibility of also selecting more suitable machining parameters. This could represent a significant advantage in the use of flexible and automated manufacturing systems with robotic arms, compared to high-cost rapid prototyping machines or multi-axis CNC machines that require more space and resources. The proposed method strikes a balance between accuracy, simplicity, and adaptability, making it a highly practical and efficient approach for robotic machining trajectory optimization, particularly when compared to more complex or scenario-specific methods found in the literature.

5. Conclusions

In this research, a method for predicting path deviation errors to quantify maximum, arithmetic, and geometric flatness values in flat-face milling operations using robotic arms was developed and validated. The FlePFaM model demonstrated reliable predictions of flatness values along the TCP trajectory in robotic milling operations, with its simplicity and computational efficiency standing out as key strengths. These characteristics make it suitable for industrial applications where precision is critical, and the cost and complexity of real-time compensation systems are not justified.
The practicality of the FlePFaM method stands out due to its integration of a simplified dynamic model of the robot’s mechanics with an approximate analytical model of cutting forces. This coupling makes it easier to predict tool path deviations, allowing users to estimate expected flatness errors, identify system limitations, and optimize face milling strategies more efficiently. This study offers a practical and efficient alternative for robotic milling. While the model cannot fully replicate dynamic behaviors, its robustness and computational efficiency make it a valuable tool for industrial applications requiring path optimization without the need for costly real-time compensation systems.
The most significant contribution of this work is the integration of a simplified interaction model that links the mechanical characteristics of the robot with cutting forces in flat-face milling. By empirically estimating mass, stiffness, and damping at trajectory points, the model enables a precise analysis of robot configurations and workpiece orientations, facilitating effective system optimization.
However, the FlePFaM model has limitations. Its reliance on predefined robot configurations and workpiece orientations means its accuracy could decline outside validated conditions. Additionally, its discrete approach does not account for transitions during robot movement, limiting its applicability to complex trajectories or dynamic conditions. These constraints must be considered when applying the model in diverse industrial contexts.
Future work should address these limitations by incorporating advanced techniques such as neural networks to model uncontrolled variables like joint backlash and resolver resolution. Further exploration of machining operations such as contouring or drilling could expand the model’s versatility. These enhancements would improve robotic machining efficiency, particularly for applications involving single-unit parts or small production batches.

Author Contributions

Conceptualization, I.I., A.S.-L. and F.J.G.S.; methodology, I.I., A.S.-L. and F.J.G.S.; software, C.G.-G.; validation, I.I. and F.J.G.S.; formal analysis, C.G.-G.; investigation, I.I. and C.G.-G.; resources, I.I. and F.J.G.S.; data curation, I.I. and A.S.-L.; writing—original draft preparation, I.I. and F.J.G.S.; writing—review and editing, A.S.-L. and C.G.-G.; visualization, F.J.G.S.; supervision, I.I. and F.J.G.S.; project administration, I.I. All authors have read and agreed to the published version of the manuscript.

Funding

This research received no external funding.

Data Availability Statement

Data are contained within this article.

Conflicts of Interest

The authors declare no conflicts of interest.

Abbreviations

The following shown the abbreviations are used in this manuscript.
AbbreviationDescription
θ j “j” join position dates of robot arm for one point
∆zDeviation error en Z direction, flatness direction
a0, a1Damping correction coefficients
aeRadial depth
apDepth of cut axial
CADComputer aided design
CAMComputer aided manufacturing
CGCenter of gravity
CNCComputer numerical control
CMMCoordinate measuring machine
CrDamping matrix
DCCutter diameter
d i Deviation error parameter in calculations
dimMeasurement deviation error
disSimulate deviation error
DOFDegrees of freedom
Dx, Dy, DzDeviation errors in X-Y-Z directions
Fxyz,toolCharacteristic cutting-force vector
FlePFaMFlatness error prediction model for face milling operations using robot arms
fnFeed per revolution
Frta,jForce in one ‘j’ tooth in 3D directions of Euclidean spaces
fzFeed per tooth
h(φ,z), Angular thickness
Kc and KeCutting force coefficients correctors
KrStiffness matrix
MrMass matrix
nMiller rotation speed
NeSlices number
NzTeeth of miller
P i “i” point of path
q1, q2, q3, q4Quaternions of the robot
Rx, Ry, RzStock rotary angles
Tj (φ) Transformation of Frta,j in each teeth Nz and slices Ne
TCPTool center point
VfFeed rate
WWeight
WobjWork object pose
XaArithmetic flatness error
XgGeometric flatness error
XmAbsolute flatness error
ZcCutting edges
α, β, ɣEuler Angles
φRotational position of the cutting edge of the tool
dzSlices of thickness in depth of cut direction

References

  1. Hall, E.L. Intelligent robot trends and predictions for the.net future. In Intelligent Robots and Computer Vision XX: Algorithms, Techniques, and Active Vision, Proceedings of the Intelligent Systems and Advanced Manufacturing, Boston, MA, United States, 28–31 October, 2001; SPIE: New York, NY, USA, 2001; Volume 4572, pp. 70–80. [Google Scholar] [CrossRef]
  2. Ye, W.; Tang, T.; Li, Q. Robotized manufacturing equipment: A review from the perspective of mechanism topology. Sci. China Technol. Sci. 2023, 66, 1683–1697. [Google Scholar] [CrossRef]
  3. Iglesias, I.; Sebastián, M.A.; Ares, J.E. Overview of the state of robotic machining: Current situation and future potential. Procedia Eng. 2015, 132, 911–917. [Google Scholar] [CrossRef]
  4. Brunete, A.; Gambao, E.; Koskinen, J.; Heikkilä, T.; Kaldestad, K.B.; Tyapin, I.; Hovland, G.; Surdilovic, D.; Hernando, M.; Bottero, A.; et al. Hard material small-batch industrial machining robot. Robot. Comput.-Integr. Manuf. 2018, 54, 185–199. [Google Scholar] [CrossRef]
  5. Bârsan, A. A Brief Review of Robotic Machining. Acta Univ. Cibiniensis. Tech. Ser. 2019, 71, 9–13. [Google Scholar] [CrossRef]
  6. Ji, W.; Wang, L. Industrial robotic machining: A review. Int. J. Adv. Manuf. Technol. 2019, 103, 1239–1255. [Google Scholar] [CrossRef]
  7. Barnfather, J.D.; Goodfellow, M.J.; Abram, T. A performance evaluation methodology for robotic machine tools used in large volume manufacturing. Robot. Comput.-Integr. Manuf. 2016, 37, 49–56. [Google Scholar] [CrossRef]
  8. Pedroso, A.F.; Sebbe, N.P.; Silva, F.J.; Campilho, R.D.; Sales-Contini, R.C.; Costa, R.D.; Sánchez, I.I. An overview on the recent advances in robot-assisted compensation methods used in machining lightweight materials. Robot. Comput.-Integr. Manuf. 2025, 91, 102844. [Google Scholar] [CrossRef]
  9. Hamida El Naser, Y.; Atalı, G.; Karayel, D.; Özkan, S.S. Prototyping an Industrial Robot Arm for Deburring in Machining. Acad. Platf. J. Eng. Sci. 2020, 8, 304–309. [Google Scholar] [CrossRef]
  10. Gutiérrez, S.C.; Zotovic, R.; Navarro, M.D.; Meseguer, M.D. Design and manufacturing of a prototype of a lightweight robot arm. Procedia Manuf. 2017, 13, 283–290. [Google Scholar] [CrossRef]
  11. Kiefer, D.; Luo, X.; Reimer, A.; Evans, D. Robotic Machining: Status, Challenges and Future Trends. In Proceedings of the 28th International Conference on Automation and Computing (ICAC), Birmingham, UK, 30 August–1 September 2023. [Google Scholar] [CrossRef]
  12. Liu, Z.; Liu, Q.; Xu, W.; Wang, L.; Zhou, Z. Robot learning towards smart robotic manufacturing: A review. Robot. Comput.-Integr. Manuf. 2022, 77, 102360. [Google Scholar] [CrossRef]
  13. Barnfather, J.D.; Goodfellow, M.J.; Abram, T. Development and testing of an error compensation algorithm for photogrammetry assisted robotic machining. Measurement 2016, 94, 561–577. [Google Scholar] [CrossRef]
  14. Iglesias, I.; Sánchez, A.; Silva, F.J.G. Robotic path compensation training method for optimizing face milling operations based on non-contact CMM techniques. Robot. Comput.-Integr. Manuf. 2024, 85, 102623. [Google Scholar] [CrossRef]
  15. Wojciechowski, S.; Matuszak, M.; Powałka, B. Prediction of cutting forces during micro end milling considering chip thickness accumulation. Int. J. Mach. Tools Manuf. 2019, 147, 103466. [Google Scholar] [CrossRef]
  16. Huynh, H.N.; Rivière-Lorphèvre, E.; Ducobu, F.; Ozcan, A.; Verlinden, O. Dystamill: A framework dedicated to the dynamic simulation of milling operations for stability assessment. Int. J. Adv. Manuf. Technol. 2018, 98, 2109–2126. [Google Scholar] [CrossRef]
  17. Ferreras-Higuero, E.; Leal-Muñoz, E.; de Jalón, J.G.; Chacón, E.; Vizán, A. Robot-process precision modelling for the improvement of productivity in flexible manufacturing cells. Robot. Comput.-Integr. Manuf. 2020, 65, 101966. [Google Scholar] [CrossRef]
  18. Nan, C.; Liu, D. Analytical calculation of cutting forces in ball-end milling with inclination angle. J. Manuf. Mater. Process. 2018, 2, 35. [Google Scholar] [CrossRef]
  19. Wang, R.; Li, F.; Niu, J.; Sun, Y. Prediction of pose-dependent modal properties and stability limits in robotic ball-end milling. Robot. Comput.-Integr. Manuf. 2022, 75, 102307. [Google Scholar] [CrossRef]
  20. Wu, K.; Li, J.; Zhao, H.; Zhong, Y. Review of Industrial Robot Stiffness Identification and Modelling. Appl. Sci. 2022, 12, 8719. [Google Scholar] [CrossRef]
  21. Malekjafarian, A.; Ashory, M.R.; Khatibi, M.M.; SaberLatibari, M. Rigid body stiffness matrix for identification of inertia properties from output-only data. Eur. J. Mech.-A/Solids 2016, 59, 85–94. [Google Scholar] [CrossRef]
  22. Ramadan, M.A.; Awad, M.I.; Boushaki, M.N.; Niu, Z.; Khalaf, K.; Hussain, I. irisVSA: Infinite-rotation infinite-stiffness variable stiffness actuator towards physical human–robot interaction. Mechatronics 2023, 96, 103095. [Google Scholar] [CrossRef]
  23. Ponche, A.; Marcos, A.; Geshnizjani, R.; Ott, T. Derivation and verification of a flexible hexapod model for multi-body space observatories. In Proceedings of the 10th European Conference for Aeronautics and Aerospace Sciences (EUCASS), Lausanne, Switzerland, 9–13 July 2023. [Google Scholar] [CrossRef]
  24. Lijin, F.; Longfei, S. Design of a novel robotic arm with non-backlash driving for friction stir welding process. Int. J. Adv. Manuf. Technol. 2017, 93, 1637–1650. [Google Scholar] [CrossRef]
  25. Sun, L.; Fang, L. An approximation method for stiffness calculation of robotic arms with hybrid open- and closed-loop kinematic chains. Adv. Mech. Eng. 2018, 10, 1687814018761297. [Google Scholar] [CrossRef]
  26. Pham, A.D.; Ahn, H.J. Rigid precision reducers for machining industrial robots. Int. J. Precis. Eng. Manuf. 2021, 22, 1469–1486. [Google Scholar] [CrossRef]
  27. Xin, S.; Tang, X.; Wu, J.; Peng, F.; Yan, R.; Sun, K. Low-frequency chatter suppression in robotic milling using Magnetorheological Joint Damper (MRJD). Chin. J. Aeronaut. 2024, 38, 102974. [Google Scholar] [CrossRef]
  28. Tunc, L.T.; Gonul, B. Effect of quasi-static motion on the dynamics and stability of robotic milling. CIRP Ann. 2021, 70, 305–308. [Google Scholar] [CrossRef]
  29. Formenti, A.; Bucca, G.; Shahid, A.A.; Piga, D.; Roveda, L. Improved impedance/admittance switching controller for the interaction with a variable stiffness environment. Complex Eng. Syst. 2022, 2, 12. [Google Scholar] [CrossRef]
  30. Swan, R.; Penney, J.; Corson, G.; Nazario, J.; Schmitz, T. Surface location error in robotic milling: Effect of combined low frequency and high frequency vibration modes. CIRP J. Manuf. Sci. Technol. 2024, 49, 203–215. [Google Scholar] [CrossRef]
  31. Xiong, G.; Li, Z.-L.; Ding, Y.; Zhu, L. A closed-loop error compensation method for robotic flank milling. Robot. Comput.-Integr. Manuf. 2020, 63, 101928. [Google Scholar] [CrossRef]
  32. Wang, R.; Sun, Y. Chatter prediction for parallel mirror milling of thin-walled parts by dual-robot collaborative machining system. Robot. Comput.-Integr. Manuf. 2024, 88, 102715. [Google Scholar] [CrossRef]
  33. Chen, Y.; Dong, F. Robot machining: Recent development and future research issues. Int. J. Adv. Manuf. Technol. 2013, 66, 1489–1497. [Google Scholar] [CrossRef]
  34. Vieler, H.; Karim, A.; Lechler, A. Drive-based damping for robots with secondary encoders. Robot. Comput.-Integr. Manuf. 2017, 47, 117–122. [Google Scholar] [CrossRef]
  35. Bauer, J.; Denkena, B.; Hollmann, F. Analysis of industrial robot structure and milling process interaction for path manipulation. In Process Machine Interactions, Lecture Notes in Production Engineering; Springer: Berlin/Heidelberg, Germany, 2013. [Google Scholar] [CrossRef]
  36. Ye, C.; Yang, J.; Ding, H. High-accuracy prediction and compensation of industrial robot stiffness deformation. Int. J. Mech. Sci. 2022, 233, 107638. [Google Scholar] [CrossRef]
  37. Gagnol, V.; Ray, P.; Barra, C.; Bouzgarrou, B.C. Dynamic modeling and stability prediction in robotic machining. Int. J. Adv. Manuf. Technol. 2016, 87, 1343–1353. [Google Scholar] [CrossRef]
  38. Kubela, T.; Pochyly, A.; Singule, V. Assessment of industrial robots accuracy in relation to accuracy improvement in machining processes. In Proceedings of the Power Electronics and Motion Control Conference (PEMC), Varna, Bulgaria, 25–28 September 2016. [Google Scholar] [CrossRef]
  39. Iglesias Sánchez, I.; Ares, J.E.; González Gaya, C.; Rosales Prieto, V. A new approach to the consideration and analysis of critical factors in robotic machining. Appl. Sci. 2020, 10, 8885. [Google Scholar] [CrossRef]
  40. Altintas, Y. Manufacturing Automation: Metal Cutting Mechanics, Machine Tool Vibrations, and CNC Design, 2nd ed.; Cambridge University Press: Cambridge, UK, 2012. [Google Scholar] [CrossRef]
  41. Cheng, J.; Bi, S.; Yuan, C. Dynamic Parameters Identification Method of 6-DOF Industrial Robot Based on Quaternion. Mathematics 2022, 10, 1513. [Google Scholar] [CrossRef]
  42. Zhang, T.; Lin, K.; Zhang, A. Research on flexible dynamics of a 6-DOF industrial robot and residual vibration control with a pre-adaptive input shaper. J. Mech. Sci. Technol. 2019, 33, 1875–1889. [Google Scholar] [CrossRef]
  43. Lattanzi, L.; Cristalli, C.; Massa, D.; Boria, S.; Lépine, P.; Pellicciari, M. Geometrical calibration of a 6-axis robotic arm for high accuracy manufacturing task. Int. J. Adv. Manuf. Technol. 2020, 111, 1813–1829. [Google Scholar] [CrossRef]
  44. Kalpakjian, S.; Schmid, S.R. Manufacturing Engineering and Technology, 8th ed.; Pearson Education: London, UK, 2019. [Google Scholar]
  45. Klimchik, A.; Bondarenko, D.; Pashkevich, A. Compliance error compensation in robotic-based milling. Lect. Notes Electr. Eng. 2014, 283, 173–183. [Google Scholar] [CrossRef]
  46. Ray, P.; Gagnol, V.; Barra, C.; Bouzgarrou, B.C. Model-based stability prediction of a machining robot. In Advances in Robot Kinematics; Springer: Berlin/Heidelberg, Germany, 2016; pp. 343–351. [Google Scholar] [CrossRef]
  47. Gonzalez, R.; Iglesias, I.; Vidal, F.; Mato, J.L.; Hernández, P. Machining of soft materials with a robotized system. In Proceedings of the 10th Inter-American Congress of Computing Applied to the Process Industry (CAIP’2011), Seville, Spain, 29–31 August 2011; Volume 1, p. 87, ISBN 978-8484583554. [Google Scholar]
  48. ISO 9283:1998; Manipulating Industrial Robots—Performance Criteria and Related Test Methods. International Organization for Standardization (ISO): Geneva, Switzerland, 1998.
  49. Yang, D.; Chen, J.; Zhou, H.; Buckley, S. Two practical ways to avoid spurious reflections from shiny surfaces on a 3D machine vision inspection system. In Proceedings of the SPIE 3652 Machine Vision Applications in Industrial Inspection VII, San Jose, CA, USA, 25–26 January 1999. [Google Scholar] [CrossRef]
  50. Luo, H.; Xu, J.; Binh, N.H. A simple calibration procedure for structured light system. Opt. Lasers Eng. 2014, 57, 6–12. [Google Scholar] [CrossRef]
  51. Sosa-López, A.; Ramos-Leaños, M.R.; López-Cruz, I. Propagation of uncertainties in measurements applied to frequency-domain identification of inertia, stiffness, and damping matrices of mechanical systems. J. Appl. Mech. Eng. 2021, 18, 123–134. [Google Scholar] [CrossRef]
  52. Lee, E.-T.; Hong, Y.-S.; Eun, H.-C. Prediction of the Physical Properties of a Structural Member by the Impact Hammer Test. Sensors 2022, 22, 6762. [Google Scholar] [CrossRef]
  53. Wang, T.; Celik, O.; Catbas, F.N.; Zhang, L. Practical Calibration Techniques for the Modal Impact Hammer. In Sensors and Instrumentation; Conference Proceedings of the Society for Experimental Mechanics Series; Wee Sit, E., Ed.; Springer: Cham, Switzerland, 2015; Volume 5. [Google Scholar] [CrossRef]
  54. Chen, S.; Zhou, T.; Hu, T. Stiffness modeling and error compensation method of 6-DOF milling robot. Comput. Integr. Manuf. Syst. 2023, 29, 404–418. [Google Scholar] [CrossRef]
  55. Zhang, Y.; Ding, J. Friction model of robot joints considering influences of temperature. China Mech. Eng. 2023, 34, 127–134. [Google Scholar] [CrossRef]
  56. Klimchik, A.; Ambiehl, A.; Garnier, S.; Furet, B.; Pashkevich, A. Efficiency evaluation of robots in machining applications using industrial performance measure. Robot. Comput. Manuf. 2017, 48, 12–29. [Google Scholar] [CrossRef]
  57. Jiao, J.; Tian, W.; Zhang, L.; Li, B.; Hu, J.; Li, Y.; Li, D.; Zhang, J. Variable stiffness identification and configuration optimization of industrial robots for machining tasks. Chin. J. Mech. Eng. 2022, 35, 115. [Google Scholar] [CrossRef]
  58. Klimchik, A.; Pashkevich, A.; Chablat, D. CAD-based approach for identification of elasto-static parameters of robotic manipulators. Finite Elem. Anal. Des. 2013, 75, 19–30. [Google Scholar] [CrossRef]
  59. Chen, Q.T.; Yin, S.; Zhang, J.B.; Yue, Y.; Zhou, Y.H.; Wen, K.; Yang, J.Z.; Bai, X.P. Pose optimization of industrial robots based on stiffness for milling tasks. Robot 2021, 43, 90–100. [Google Scholar] [CrossRef]
  60. Cvitanic, T.T.; Nguyen, V.V.; Melkote, S.N. Pose optimization in robotic machining using static and dynamic stiffness models. Robot. Comput.-Integr. Manuf. 2020, 66, 101992. [Google Scholar] [CrossRef]
  61. Qian, Y.; Han, S.; Aguirre-Ollinger, G.; Fu, C.; Yu, H. Design, modeling, and control of a reconfigurable rotary series elastic actuator with nonlinear stiffness for assistive robots. Mechatronics 2022, 86, 102872. [Google Scholar] [CrossRef]
  62. Wang, P.; Tian, W.; Li, B. Machining vibration suppression of cantilever parts of aerospace structure using robot-assisted clamping system. Int. J. Adv. Manuf. Technol. 2021, 128, 4103–4121. [Google Scholar] [CrossRef]
  63. Mohammadi, Y.; Ahmadi, K. Single degree-of-freedom modeling of the nonlinear vibration response of a machining robot. J. Manuf. Sci. Eng. 2021, 143, 1–10. [Google Scholar] [CrossRef]
Figure 1. Relationship between the cutting constraints and the trajectory deviation.
Figure 1. Relationship between the cutting constraints and the trajectory deviation.
Jmmp 09 00066 g001
Figure 2. Diagram of the predictive methodology.
Figure 2. Diagram of the predictive methodology.
Jmmp 09 00066 g002
Figure 3. Linear and torsional stiffness and damping factors simplification.
Figure 3. Linear and torsional stiffness and damping factors simplification.
Jmmp 09 00066 g003
Figure 4. (a) Geometry of a shaving. (b) Resulting of cutting forces on the TCP.
Figure 4. (a) Geometry of a shaving. (b) Resulting of cutting forces on the TCP.
Jmmp 09 00066 g004
Figure 5. Flowchart of the best-fit plane calculation process.
Figure 5. Flowchart of the best-fit plane calculation process.
Jmmp 09 00066 g005
Figure 6. Programmed path using One-Way Next.
Figure 6. Programmed path using One-Way Next.
Jmmp 09 00066 g006
Figure 7. Configuration (A) and (B) for the wrist configuration of robot.
Figure 7. Configuration (A) and (B) for the wrist configuration of robot.
Jmmp 09 00066 g007
Figure 8. Locations (1 and 2) and orientations stock (L and T).
Figure 8. Locations (1 and 2) and orientations stock (L and T).
Jmmp 09 00066 g008
Figure 9. Experimental cell with IRB 6640 robot.
Figure 9. Experimental cell with IRB 6640 robot.
Jmmp 09 00066 g009
Figure 10. Reading of the robot encoders (a) and frequency spectrum of the path error (b).
Figure 10. Reading of the robot encoders (a) and frequency spectrum of the path error (b).
Jmmp 09 00066 g010
Figure 11. 3D cutting force values for rotation 360° (a) and main direction of guiding vector (b).
Figure 11. 3D cutting force values for rotation 360° (a) and main direction of guiding vector (b).
Jmmp 09 00066 g011
Figure 12. Face milling in aluminum test parts for five paths in case n° 6 (magnified 1:10).
Figure 12. Face milling in aluminum test parts for five paths in case n° 6 (magnified 1:10).
Jmmp 09 00066 g012
Figure 13. Deviation errors in Z direction for each Pi from points 56 to 80.
Figure 13. Deviation errors in Z direction for each Pi from points 56 to 80.
Jmmp 09 00066 g013
Figure 14. Mean deviation errors in Z direction for each Pi from points 56 to 80.
Figure 14. Mean deviation errors in Z direction for each Pi from points 56 to 80.
Jmmp 09 00066 g014
Figure 15. Geometric deviation errors in Z direction for each Pi from points 56 to 80.
Figure 15. Geometric deviation errors in Z direction for each Pi from points 56 to 80.
Jmmp 09 00066 g015
Figure 16. Absolute deviation errors in Z direction for each Pi from points 56 to 80.
Figure 16. Absolute deviation errors in Z direction for each Pi from points 56 to 80.
Jmmp 09 00066 g016
Figure 17. Digitalized surface with higher flatness absolute error, T orientation.
Figure 17. Digitalized surface with higher flatness absolute error, T orientation.
Jmmp 09 00066 g017
Figure 18. Digitalized surface with lower flatness absolute error, L orientation.
Figure 18. Digitalized surface with lower flatness absolute error, L orientation.
Jmmp 09 00066 g018
Table 1. Factorial Design.
Table 1. Factorial Design.
FactorsVariables
Robot Wrist ConfigurationAB
Workpiece Location12
Workpiece OrientationLT
Table 2. Face milling test list.
Table 2. Face milling test list.
CaseRobot Wrist ConfigurationWorkpiece LocationWorkpiece Orientation
1A1L
2A1T
3A2L
4A2T
5B1L
6B1T
7B2L
8B2T
Table 3. Technical specifications of Optical 3D digitizer Nub3D Triple.
Table 3. Technical specifications of Optical 3D digitizer Nub3D Triple.
ParametersBig
Opticstwenty
Working volumes (mm)550 × 390
Point spacing (mm)0.375
Accuracy (mm)0.038
Accuracy (1σ)0.019
Scanning distance (mm)1200
Measuring Time (s)0.3
Table 4. Loads and inertias of the machining head.
Table 4. Loads and inertias of the machining head.
Gravity Center of the Electro SpindleTCP
Weight (kg)Pose
(mm)
Moment of Inertia (kg/m2)Position (mm)Euler Angles (°)
76.53X = −5.04X = 0.934X = 212.50α = 0.0
Y = 0.30Y = 3.122Y = 0.00β = 0.0
Z = 225.67Z = 1.433Z = 279.91Ɣ = 90.0
Table 5. TCP deviation values on stiffness test.
Table 5. TCP deviation values on stiffness test.
Path PointsFx1
(N)
Dx1
(mm)
Dy1
(mm)
Dz1
(mm)
Dz1 Measure
(mm)
Fx2
(N)
Dx2
(mm)
Dy2
(mm)
Dz1
(mm)
Dz2 Measure
(mm)
P11500.4400.2080.0970.1092500.6300.0200.1490.167
P21500.4450.2200.1110.1272500.6250.0410.1960.187
P31500.4430.2030.1080.972500.6250.0480.2180.197
P41500.4430.2090.1090.1152500.6510.060.2200.155
P51500.4420.2540.1130.1392500.6950.0780.1990.188
P61500.4280.2200.1210.1362500.7450.060.1910.216
P71500.4950.2330.1030.0992500.7650.070.1730.199
P81500.4750.2270.1070.0812500.7250.0670.2040.181
Table 6. Relative deviation error from point 56 to 80 for case 2, in test n° 6.
Table 6. Relative deviation error from point 56 to 80 for case 2, in test n° 6.
Test n° 1Theoretical Coordinates∆z Simulate∆z MeasuredDr
Path PointsX (mm)Y (mm)Z (mm)dis (mm)dim (mm)%
56−580.000−580.00060.0000.1970.2012.03%
57−578.000−580.00060.0000.1110.15741.44%
58−576.000−580.00060.0000.1080.099−8.33%
59−574.000−580.00060.0000.1090.14331.19%
60−572.000−580.00060.0000.1130.089−21.24%
61−570.000−580.00060.0000.1210.109−9.92%
62−568.000−580.00060.0000.1030.15247.57%
63−566.000−580.00060.0000.1070.081−24.30%
64−564.000−580.00060.0000.0860.063−26.74%
65−562.000−580.00060.000−0.131−0.112−14.50%
66−560.000−580.00060.000−0.093−0.0974.30%
67−558.000−580.00060.0000.051−0.019−137.25%
68−556.000−580.00060.0000.0930.11220.43%
69−554.000−580.00060.000−0.026−0.082215.38%
70−552.000−580.00060.0000.0650.135107.69%
71−550.000−580.00060.0000.0350.027−22.86%
72−548.000−580.00060.0000.1170.17448.72%
73−546.000−580.00060.0000.1850.23627.57%
74−544.000−580.00060.0000.2170.24211.52%
75−542.000−580.00060.0000.1130.081−28.32%
76−540.000−580.00060.0000.0910.0954.40%
77−538.000−580.00060.0000.0770.13676.62%
78−536.000−580.00060.000−0.064−0.08735.94%
79−534.000−580.00060.000−0.107−0.068−36.45%
80−532.000−580.00060.000−0.167−0.19717.96%
Table 7. Results of the absolute, arithmetic and geometric error flatness.
Table 7. Results of the absolute, arithmetic and geometric error flatness.
CaseErrorsdisdimPercentageCaseErrorsdisdimPercentage
1Xm0.3910.4125.37%5Xm0.3980.44617.45%
Xa0.1020.11310.78%Xa0.1060.12114.61%
Xg0.0980.1046.35%Xg0.0940.1028.28%
2Xm0.4260.48614.06%6Xm0.4720.5179.56%
Xa0.1040.11712.11%Xa0.1030.11713.40%
Xg0.0950.10915.19%Xg0.0950.1037.98%
3Xm0.4710.458−2.84%7Xm0.4020.49831.88%
Xa0.1230.1316.50%Xa0.1060.13830.23%
Xg1.0901.023−6.15%Xg0.0970.1058.51%
4Xm0.5010.61122.00%8Xm0.4650.69749.82%
Xa0.1580.1633.22%Xa0.1100.13119.25%
Xg0.1240.118−4.76%Xg0.0990.1078.25%
Disclaimer/Publisher’s Note: The statements, opinions and data contained in all publications are solely those of the individual author(s) and contributor(s) and not of MDPI and/or the editor(s). MDPI and/or the editor(s) disclaim responsibility for any injury to people or property resulting from any ideas, methods, instructions or products referred to in the content.

Share and Cite

MDPI and ACS Style

Iglesias, I.; Sánchez-Lite, A.; González-Gaya, C.; Silva, F.J.G. A Flatness Error Prediction Model in Face Milling Operations Using 6-DOF Robotic Arms. J. Manuf. Mater. Process. 2025, 9, 66. https://doi.org/10.3390/jmmp9020066

AMA Style

Iglesias I, Sánchez-Lite A, González-Gaya C, Silva FJG. A Flatness Error Prediction Model in Face Milling Operations Using 6-DOF Robotic Arms. Journal of Manufacturing and Materials Processing. 2025; 9(2):66. https://doi.org/10.3390/jmmp9020066

Chicago/Turabian Style

Iglesias, Iván, Alberto Sánchez-Lite, Cristina González-Gaya, and Francisco J. G. Silva. 2025. "A Flatness Error Prediction Model in Face Milling Operations Using 6-DOF Robotic Arms" Journal of Manufacturing and Materials Processing 9, no. 2: 66. https://doi.org/10.3390/jmmp9020066

APA Style

Iglesias, I., Sánchez-Lite, A., González-Gaya, C., & Silva, F. J. G. (2025). A Flatness Error Prediction Model in Face Milling Operations Using 6-DOF Robotic Arms. Journal of Manufacturing and Materials Processing, 9(2), 66. https://doi.org/10.3390/jmmp9020066

Article Metrics

Back to TopTop