Advanced Rheological, Dynamic Mechanical and Thermal Characterization of Phase-Separation Behavior of PLA/PCL Blends
Abstract
1. Introduction
2. Materials and Methods
2.1. Materials and Processing of PLA/PCL Blends
2.2. Characterization Methods
2.2.1. Scanning Electron Microscopy
2.2.2. Rheological Measurements
2.2.3. Dynamic Mechanical, Thermal Analysis
2.2.4. Differential Scanning Calorimetry
2.2.5. Thermogravimetric Analysis
3. Results and Discussion
3.1. Morphology of PLA/PCL Blends
3.2. Rheological Properties
3.3. Dynamic Mechanical Thermal Analysis of PLA and PLA/PCL Blends
3.4. Thermal Analyses of PLA/PCL Blends
3.4.1. DSC Evaluation of Phase Separation and Crystallinity of Blends
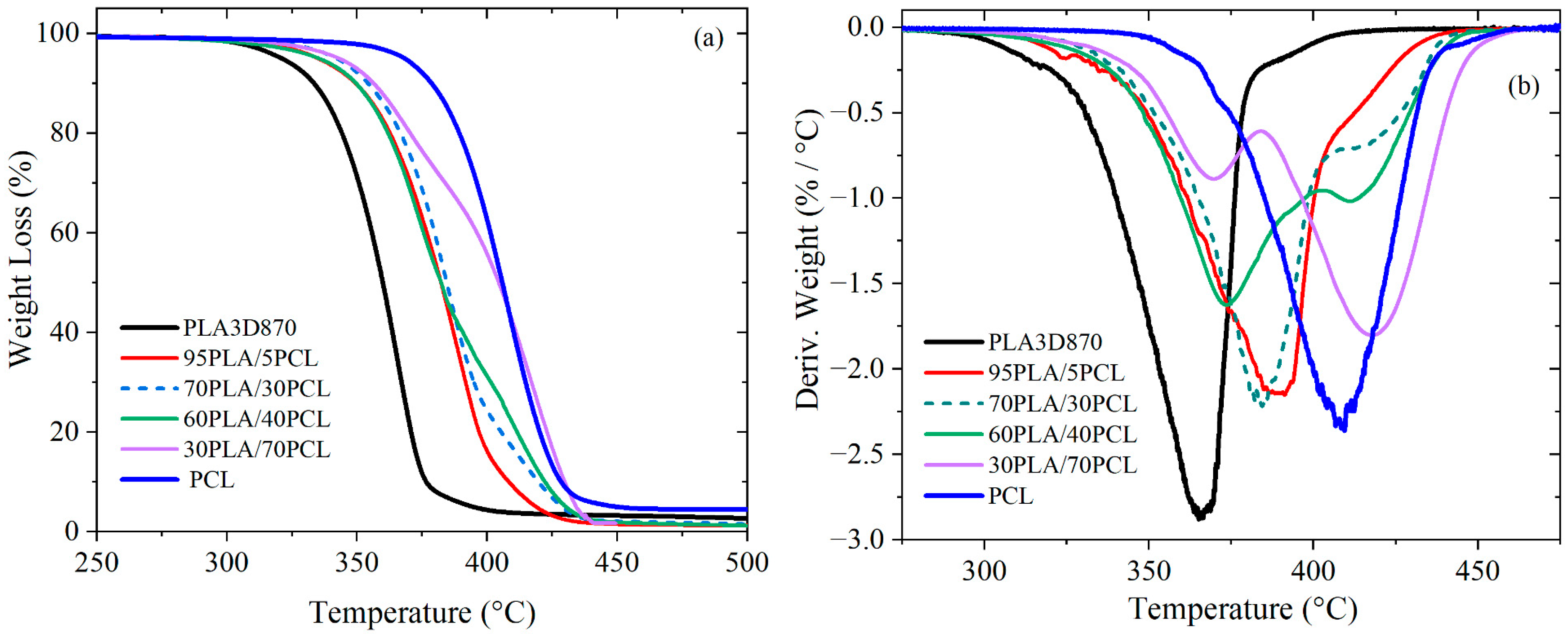
3.4.2. Thermal Stability and Degradation of PLA/PCL Blends
4. Conclusions
Author Contributions
Funding
Data Availability Statement
Conflicts of Interest
References
- Liang, X.; Gao, J.; Xu, W.; Wang, X.; Shen, Y.; Tang, J.; Cui, S.; Yang, X.; Liu, Q.; Yu, L.; et al. Structural mechanics of 3D-printed poly(lactic acid) scaffolds with tetragonal, hexagonal and wheel-like designs. Biofabrication 2019, 11, 035009. [Google Scholar] [CrossRef] [PubMed]
- Backes, E.H.; Pires, L.D.N.; Beatrice, C.A.G.; Costa, L.C.; Passador, F.R.; Pessan, L.A. Fabrication of biocompatible composites of poly(lactic acid)/hydroxyapatite envisioning medical applications. Polym. Eng. Sci. 2020, 60, 636–644. [Google Scholar] [CrossRef]
- Ivanov, E.; Kotsilkova, R.; Xia, H.; Chen, Y.; Donato, R.K.; Donato, K.; Godoy, A.P.; Di Maio, R.; Silvestre, C.; Cimmino, S.; et al. PLA/Graphene/MWCNT composites with improved electrical and thermal properties suitable for FDM 3D printing applications. Appl. Sci. 2019, 9, 1209. [Google Scholar] [CrossRef]
- Kotsilkova, R.; Ivanov, E.; Georgiev, V.; Ivanova, R.; Menseidov, D.; Batakliev, T.; Angelov, V.; Xia, H.; Chen, Y.; Bychanok, D.; et al. Essential Nanostructure Parameters to Govern Reinforcement and Functionality of Poly(lactic) Acid Nanocomposites with Graphene and Carbon Nanotubes for 3D Printing Application. Polymers 2020, 12, 1208. [Google Scholar] [CrossRef]
- Silva, T.F.d.; Menezes, F.; Montagna, L.S.; Lemes, A.P.; Passador, F.R. Preparation and characterization of antistatic packaging for electronic components based on poly(lactic acid)/carbon black composites. J. Appl. Polym. Sci. 2018, 136, 47273. [Google Scholar] [CrossRef]
- Scaffaro, R.; Maio, A.; Sutera, F.; Gulino, E.F.; Morreale, M. Degradation and recycling of films based on biodegradable polymers: A short review. Polymers 2019, 11, 651. [Google Scholar] [CrossRef]
- Aydoğdu, M.O.; Altun, E.; Ahmed, J.; Gündüz, O.; Edirisinghe, M. Fiber forming capability of binary and ternary compositions in the polymer system: Bacterial cellulose–polycaprolactone–polylactic acid. Polymers 2019, 11, 1148. [Google Scholar] [CrossRef] [PubMed]
- Voorde, K.M.V.d.; Pokorski, J.K.; Korley, L.T.J. Exploring morphological effects on the mechanics of blended poly(lactic acid)/poly(ε-caprolactone) extruded fibers fabricated using multilayer coextrusion. Macromolecules 2020, 53, 5047–5055. [Google Scholar] [CrossRef]
- Valdés, A.; Dominici, F.; Fortunati, E.; Kenny, J.M.; Jiménez, A.; Garrigós, M.C. Effect of almond skin waste and glycidyl methacrylate on mechanical and color properties of poly(ε-caprolactone)/poly(lactic acid) blends. Polymers 2023, 15, 1045. [Google Scholar] [CrossRef]
- Solechan, S.; Suprihanto, A.; Widyanto, S.A.; Triyono, J.; Fitriyana, D.F.; Siregar, J.P.; Cionita, T. Investigating the effect of pcl concentrations on the characterization of pla polymeric blends for biomaterial applications. Materials 2022, 15, 7396. [Google Scholar] [CrossRef]
- Chen, J.; Zhang, T.; Jin, F.; Park, S. Fracture toughness improvement of poly(lactic acid) reinforced with poly(ε--caprolactone) and surface--modified silicon carbide. Adv. Mater. Sci. Eng. 2018, 2018, 6537621. [Google Scholar] [CrossRef]
- Ye, G.; Gu, T.; Chen, B.; Bi, H.; Hu, Y. Mechanical, thermal properties and shape memory behaviors of PLA/PCL/PLA-g-GMA blends. Polym. Eng. Sci. 2023, 63, 2084–2092. [Google Scholar] [CrossRef]
- Chomachayi, M.D.; Jalali--Arani, A.; Beltrán, F.R.; Orden, M.U.d.l.; Urreaga, J.M. Biodegradable nanocomposites developed from pla/pcl blends and silk fibroin nanoparticles: Study on the microstructure, thermal behavior, crystallinity and performance. J. Polym. Environ. 2020, 28, 1252–1264. [Google Scholar] [CrossRef]
- Al-Saleh, M.H.; Al-Shboul, T.S. Carbon nanotubes-filled polylactic acid/polycaprolactone biodegradable blends: Effect of the polycaprolactone viscosity and carbon nanotubes addition on the microstructure, electrical and mechanical properties. J. Thermoplast. Compos. Mater. 2022, 36, 3485–3498. [Google Scholar] [CrossRef]
- Khitas, N.; Aouachria, K.; Benaniba, M.T. Blending and plasticising effects on the behaviour of poly(lactic acid)/poly(ε-caprolactone). Polym. Polym. Compos. 2018, 26, 337–345. [Google Scholar] [CrossRef]
- Liu, H.; He, H.; Huang, B. Favorable thermoresponsive shape memory effects of 3D printed poly(lactic acid)/poly(ε--caprolactone) blends fabricated by fused deposition modeling. Macromol. Mater. Eng. 2020, 305, 2000295. [Google Scholar] [CrossRef]
- Liu, H.; Li, C.; Chen, S.; Chen, P.; Li, J.; Jian, H.; Guo, G.; Chen, X.; Zhu, X.; Wu, J. Fabrication of 3D printed polylactic acid/polycaprolactone nanocomposites with favorable thermo-responsive cyclic shape memory effects, and crystallization and mechanical properties. Polymers 2023, 15, 1533. [Google Scholar] [CrossRef]
- Urquijo, J.; Dagréou, S.; Guerrica-Echevarría, G.; Eguiazábal, J.I. Structure and properties of poly(lactic acid)/poly(ε--caprolactone) nanocomposites with kinetically induced nanoclay location. J. Appl. Polym. Sci. 2016, 133, 1–11. [Google Scholar] [CrossRef]
- Przybysz-Romatowska, M.; Barczewski, M.; Mania, S.; Tercjak, A.; Haponiuk, J.; Formela, K. Morphology, thermo-mechanical properties and biodegradibility of PCL/PLA blends reactively compatibilized by different organic peroxides. Materials 2021, 14, 4205. [Google Scholar] [CrossRef]
- Luyt, A.S.; Gasmi, S. Influence of blending and blend morphology on the thermal properties and crystallization behaviour of PLA and PCL in PLA/PCL blends. J. Mater. Sci. 2016, 51, 4670–4681. [Google Scholar] [CrossRef]
- Botlhoko, O.J.; Ramontja, J.; Ray, S.S. A new insight into morphological, thermal, and mechanical properties of meltprocessed polylactide/poly(ε-caprolactone) blends. Polym. Degrad. Stab. 2018, 154, 84–95. [Google Scholar] [CrossRef]
- Shin, B.Y.; Do, H.H. Viscoelastic properties of PLA/PCL blends compatibilized with different methods. Korea-Aust. Rheol. J. 2017, 29, 295–302. [Google Scholar] [CrossRef]
- Fortelny, I.; Ujcic, A.; Fambri, L.; Slouf, M. Phase Structure, Compatibility, and Toughness of PLA/PCL Blends: A Review. Front. Mater. 2019, 6, 206. [Google Scholar] [CrossRef]
- Simões, C.L.; Viana, J.C.; Cunha, A.M. Mechanical properties of poly (ε--caprolactone) and poly (lactic acid) blends. J. Appl. Polym. Sci. 2009, 112, 345–352. [Google Scholar] [CrossRef]
- Wachirahuttapong, S.; Thongpin, C.; Sombatsompop, N. Effect of PCL and compatibility contents on the morphology, crystallization and mechanical properties of PLA/PCL blends. Energy Procedia 2016, 89, 198–206. [Google Scholar] [CrossRef]
- Bouakaz, B.S.; Habi, A.; Grohens, Y.; Pillin, I. Organomontmorillonite/graphene-PLA/PCL nanofilled blends: New strategy to enhance the functional properties of PLA/PCL blend. Appl. Clay Sci. 2017, 139, 81–91. [Google Scholar] [CrossRef]
- Matumba, K.I.; Mokhena, T.C.; Ojijo, V.; Sadiku, E.R.; Ray, S.S. Morphological Characteristics, Properties, and Applications of Polylactide/Poly (ε--caprolactone) Blends and Their Composites—A Review. Macromol. Mater. Eng. 2024, 309, 2400056. [Google Scholar] [CrossRef]
- Garlotta, D.A. Literature Review of Poly(Lactic Acid). J. Polym. Environ. 2002, 9, 63–84. [Google Scholar] [CrossRef]
- Fischer, E.W.; Sterzel, H.J.; Wegner, G. Investigation of the structure of solution grown crystals of lactide copolymers by means of chemical reactions. Kolloid-Z. Z. Polym. 1973, 251, 980–990. [Google Scholar] [CrossRef]
- Woodruff, M.A.; Hutmacher, D.W. The return of a forgotten polymer—Polycaprolactone in the 21st century. Prog. Polym. Sci. 2010, 35, 1217–1256. [Google Scholar] [CrossRef]
- Navarro-Baena, I.; Sessini, V.; Dominici, F.; Torre, L.; Kenny, J.M.; Peponi, L. Design of biodegradable blends based on PLA and PCL: From morphological, thermal and mechanical studies to shape memory behavior. Polym. Degrad. Stab. 2016, 132, 97–108. [Google Scholar] [CrossRef]
- Ojijo, V.; Ray, S.S.; Sadiku, R. Role of specific interfacial area in controlling properties of immiscible blends of biodegradable polylactide and poly[(butylene succinate)-co-adipate]. ACS Appl. Mater. Interfaces 2012, 4, 6690–6701. [Google Scholar] [CrossRef] [PubMed]
- Mittal, V.; Akhtar, T.; Matsko, N. Mechanical, thermal, rheological and morphological properties of binary and ternary blends of PLA, TPS and PCL. Macromol. Mater. Eng. 2015, 300, 423–435. [Google Scholar] [CrossRef]
- Ostafinska, A.; Fortelny, I.; Nevoralova, M.; Hodan, J.; Kredatusova, J.; Miroslav Slouf, M. Synergistic effects in mechanical properties of PLA/PCL blends with optimized composition, processing, and morphology. RSC Adv. 2015, 5, 98971–98982. [Google Scholar] [CrossRef]
- Molavi, F.K.; Ghasemi, I.; Messori, M.; Esfandeh, M. Design and characterization of novel potentially biodegradable triple-shape memory polymers based on immiscible poly(l-lactide)/poly(ɛ-caprolactone) blends. J. Polym. Environ. 2019, 27, 632–642. [Google Scholar] [CrossRef]
- Joshi, M.; Butola, B.S.; Simon, G.; Kukaleva, N. Rheological and viscoelastic behavior of HDPE/cctamethyl-POSS nanocomposites. Macromolecules 2006, 39, 1839–1849. [Google Scholar] [CrossRef]
- Yeganeh, J.K.; Goharpey, F.; Foudazi, R. Can only rheology be used to determine the phase separation mechanism in dynamically asymmetric polymer blends (PS/PVME). RSC Adv. 2012, 2, 8116–8127. [Google Scholar] [CrossRef]
- Percoco, G.; Luca Arleo, L.; Stano, G.; Bottiglione, F. Analytical model to predict the extrusion force as a function of the layer height, in extrusion based 3D printing. Addit. Manuf. 2021, 38, 101791. [Google Scholar] [CrossRef]
- Kotsilkova, R.; Tabakova, S. Exploring effects of graphene and carbon nanotubes on rheology and flow instability for designing printable polymer nanocomposites. Nanomaterials 2023, 13, 835. [Google Scholar] [CrossRef]
- Ratna, D.; Karger-Kocsis, J. Recent advances in shape memory polymers and composites. A review. J Mater. Sci. 2008, 43, 254–269. [Google Scholar] [CrossRef]
- Kazakevičiūtė-Makovska, R.; Mogharebi, S.; Steeb, H.; Eggeler, G.; Neuking, K. A critical assessment of experimental methods for determining the dynamic mechanical characteristics of shape memory polymers. Adv. Eng. Mat. 2013, 15, 732–739. [Google Scholar] [CrossRef]
- Li, A.; Chen, X.-G.; Zhang, L.-Y.; Zhang, Y.-F. Temperature and infill density effects on thermal, mechanical and shape memory properties of polylactic acid/poly(ε-caprolactone) blends for 4D printing. Materials 2022, 15, 8838. [Google Scholar] [CrossRef] [PubMed]
- Yong, A.X.; Sims, G.D.; Gnaniah, S.J.; Ogin, S.L.; Smith, P.A. Heating rate effects on thermal analysis measurement of Tg in composite materials. Adv. Manuf. Polym. Compos. Sci. 2017, 3, 43–51. [Google Scholar] [CrossRef]
- Curtzwiler, G. The world of surface coatings is centered around the glass transition temperature, but which one? Part 1. Coat. Tech. 2014, 11, 28–38. Available online: https://www.researchgate.net/publication/279962519_The_world_surface_coatings_is_centerd_around_the_glass_transition_tempratuer_but_which_one_Part_I (accessed on 15 December 2024).
- O’Neal, H.R.; Welch, S.; Rogers, J.; Guilford, S.; Curran, G.; Menard, K.P.; Rogers, J. Comparison of Tg values for a graphite epoxy composite by differential scanning calorimetry (DSC), thermomechanical analysis (TMA), and dynamic mechanical analysis (DMA). J. Adv. Mater. 1995, 26, 49–54. Available online: https://www.semanticscholar.org/paper/Comparisson-of-Tg-values-for-a-graphite-epoxy-by-O%27neal-Welch/b8fd883cdcd6a9ea7bd6edb649b12f8a99c294b5 (accessed on 15 December 2024).











| Reference | PLA wt. % | PCL wt. % |
|---|---|---|
| PLA | 100 | - |
| 95PLA/5PCL | 95 | 5 |
| 70PLA/30PCL | 70 | 30 |
| 60PLA/40PCL | 60 | 40 |
| 30PLA/70PCL | 30 | 70 |
| PCL | - | 100 |
| Sample | Tg,PLA, [°C] | ||
|---|---|---|---|
| DMTA Test at 3 °C/min | DMTA Test at 5 °C/min | DSC Test at 10 °C/min | |
| PLA | 73.5 | 80.2 | 59.7 |
| 95PLA/5PCL | 75.8 | 81.3 | not determined * |
| 70PLA/30PCL | 76.3 | 84.0 | not determined * |
| 60PLA/40PCL | 80.3 | 86.2 | not determined * |
| 30PLA/70PCL | 80 | 90.1 | not determined * |
| Sample | Tg PLA °C | Tm PCL °C | ΔHm PCL J.g−1 | Tcc PLA °C | ΔHcc PLA J.g−1 | Tm PLA °C | ΔHm PLA J.g−1 | Tc PLA °C | Tc PCL °C | χc PLA, % | χc PCL % | χc Total % |
|---|---|---|---|---|---|---|---|---|---|---|---|---|
| PLA | 59.7 | - | - | 95.0 | 22.7 | 177.0 | 36.0 | 103.4 | - | 14.3 | - | 14.3 |
| 95PLA/5PCL | - | 59.3 | 2.5 | 94.9 | 19.1 | 177.5 | 31.3 | 100.4 | 29.4 | 13.8 | 36.8 | 50.6 |
| 70PLA/30PCL | - | 60.7 | 27.2 | 92.7 | 11.4 | 175.8 | 20.1 | - | 29.5 | 13.4 | 66.7 | 80.1 |
| 60PLA/40PCL | - | 59.9 | 25.3 | 90.1 | 15.1 | 175.1 | 27.5 | - | 27.8 | 22.2 | 46.5 | 68.7 |
| 30PLA/70PCL | - | 61.1 | 38.1 | 91.7 | 4.5 | 174.5 | 8.5 | - | 29.6 | 14.3 | 40.1 | 54.4 |
| PCL | - | 63.8 | 58.0 | - | - | - | 29.5 | - | 42.6 | 42.6 |
| Sample | T−2% °C | T−5% °C | T−10% °C | T−50% °C | TDTG peak, PLA °C | TDTG peak, PCL °C | R (500 °C) % |
|---|---|---|---|---|---|---|---|
| PLA | 305.0 | 321.0 | 333.3 | 359.9 | 365.5 | - | 2.68 |
| 95PLA/5PCL | 317.4 | 334.9 | 349.4 | 382.2 | 391.3 | - | 1.23 |
| 70PLA/30PCL | 321.9 | 342.1 | 354.2 | 384.4 | 384.4 | 412.5 | 1.47 |
| 60PLA/40PCL | 308.5 | 335.2 | 349.5 | 382.2 | 373.2 | 411.1 | 1.20 |
| 30PLA/70PCL | 319.7 | 343.0 | 356.3 | 404.3 | 369.6 | 413.4 | 1.98 |
| PCL | 347.2 | 368.3 | 378.6 | 405.8 | - | 411.7 | 4.45 |
Disclaimer/Publisher’s Note: The statements, opinions and data contained in all publications are solely those of the individual author(s) and contributor(s) and not of MDPI and/or the editor(s). MDPI and/or the editor(s) disclaim responsibility for any injury to people or property resulting from any ideas, methods, instructions or products referred to in the content. |
© 2025 by the authors. Licensee MDPI, Basel, Switzerland. This article is an open access article distributed under the terms and conditions of the Creative Commons Attribution (CC BY) license (https://creativecommons.org/licenses/by/4.0/).
Share and Cite
Ivanov, E.; Kotsilkova, R.; Georgiev, V.; Batakliev, T.; Angelov, V. Advanced Rheological, Dynamic Mechanical and Thermal Characterization of Phase-Separation Behavior of PLA/PCL Blends. J. Manuf. Mater. Process. 2025, 9, 35. https://doi.org/10.3390/jmmp9020035
Ivanov E, Kotsilkova R, Georgiev V, Batakliev T, Angelov V. Advanced Rheological, Dynamic Mechanical and Thermal Characterization of Phase-Separation Behavior of PLA/PCL Blends. Journal of Manufacturing and Materials Processing. 2025; 9(2):35. https://doi.org/10.3390/jmmp9020035
Chicago/Turabian StyleIvanov, Evgeni, Rumiana Kotsilkova, Vladimir Georgiev, Todor Batakliev, and Verislav Angelov. 2025. "Advanced Rheological, Dynamic Mechanical and Thermal Characterization of Phase-Separation Behavior of PLA/PCL Blends" Journal of Manufacturing and Materials Processing 9, no. 2: 35. https://doi.org/10.3390/jmmp9020035
APA StyleIvanov, E., Kotsilkova, R., Georgiev, V., Batakliev, T., & Angelov, V. (2025). Advanced Rheological, Dynamic Mechanical and Thermal Characterization of Phase-Separation Behavior of PLA/PCL Blends. Journal of Manufacturing and Materials Processing, 9(2), 35. https://doi.org/10.3390/jmmp9020035

