Real-Size Reconstruction of Porous Media Using the Example of Fused Filament Fabrication 3D-Printed Rock Analogues
Abstract
1. Introduction
1.1. Determination of Rock Properties Affecting the Accuracy of Core Reconstruction by Means of 3D Printing: Identification of Similarity Criteria
1.2. Possibilities of Reconstructing Rock Porosity and Permeability Using Modern 3D Printing Technologies
2. Materials and Methods
2.1. Core Selection for 3D Printing: Geological Description
2.2. Creation of a Digital Core Model Based on Computed Tomography Results and Adaptation of the Model for 3D Printing
3. Results and Discussion
3.1. FFF 3D Printing Process Parameters
3.2. Results of FFF 3D Printing of Synthetic Core Specimens
3.2.1. Three-Dimensional Printing of Synthetic Specimens without Plastic Retracts
3.2.2. Dependence of Porosity and Permeability of a Synthetic Specimen on Material Flow and Percentage of Overlap
4. Conclusions
Author Contributions
Funding
Data Availability Statement
Conflicts of Interest
References
- Ishutov, S.; Jobe, T.D.; Zhang, S.; Gonzalez, M.; Agar, S.M.; Hasiuk, F.J.; Watson, F.; Geiger, S.; Mackay, E.; Chalaturnyk, R. Three-dimensional printing for geoscience: Fundamental research, education, and applications for the petroleum industry. Am. Assoc. Pet. Geol. Bull. 2018, 102, 1–26. [Google Scholar] [CrossRef]
- Gao, Y.; Wu, T.; Zhou, Y. Application and prospective of 3D printing in rock mechanics: A review. Int. J. Miner. Metall. Mater. 2021, 28, 1–17. [Google Scholar] [CrossRef]
- Niu, Q.; Jiang, L.; Li, C.; Zhao, Y.; Wang, Q.; Yuan, A. Application and prospects of 3d printing in physical experiments of rock mass mechanics and engineering: Materials, methodologies and models. Int. J. Coal Sci. Technol. 2023, 10, 5. [Google Scholar] [CrossRef]
- Tan, W.; Wang, P. Experimental study on seepage properties of jointed rocklike samples based on 3D printing techniques. Adv. Civ. Eng. 2020, 2020, 10. [Google Scholar]
- Xia, Y.; Meng, Q.; Zhang, C. Application of 3D Printing Technology in the Mechanical Testing of Complex Structural Rock Masses. Geofluids 2021, 2021, 7278131. [Google Scholar] [CrossRef]
- Jiang, C.; Zhao, G.F. A Preliminary Study of 3D Printing on Rock Mechanics. Rock Mech. Rock Eng. 2014, 48, 1041–1050. [Google Scholar] [CrossRef]
- Jiang, Q.; Feng, X.; Song, L.; Gong, Y.; Zheng, H.; Cui, J. Modeling rock specimens through 3D printing: Tentative experiments and prospects. Acta Mech. Sin. 2016, 32, 101–111. [Google Scholar] [CrossRef]
- Huang, M.; Hong, C.; Sha, P.; Du, S.; Luo, Z.; Tao, Z. Method for visualizing the shear process of rock joints using 3D laser scanning and 3D printing techniques. J. Rock Mech. Geotech. Eng. 2023, 15, 204–215. [Google Scholar] [CrossRef]
- Chen, X.; Zhang, Z.; Gao, J.; Kang, H. Study on Sustainable Development of Carbonate Reservoir Based on 3D Printing Technology. Strateg. Plan. Energy Environ. 2023, 42, 331–352. [Google Scholar] [CrossRef]
- Almetwally, A.G.; Jabbari, H. 3D-Printing Replication of Porous Media for Lab-Scale Characterization Research. ACS Omega 2021, 6, 2655–2664. [Google Scholar] [CrossRef]
- Jiang, Q.; Feng, X.; Gong, Y.; Song, L.; Ran, S.; Cui, J. Reverse modelling of natural rock joints using 3D scanning and 3D printing. Comput. Geotech. 2016, 73, 210–220. [Google Scholar] [CrossRef]
- Song, L.; Jiang, Q.; Shi, Y.; Feng, X.; Li, Y.; Su, F.; Liu, C. Feasibility investigation of 3D printing technology for geotechnical physical models: Study of tunnels. Rock Mech. Rock Eng. 2018, 51, 2617–2637. [Google Scholar] [CrossRef]
- Neumann, R.F.; Barsi-Andreeta, M.; Lucas-Oliveira, E.; Barbalho, H.; Trevizan, W.A.; Bonagamba, T.J.; Steiner, M.B. High accuracy capillary network representation in digital rock reveals permeability scaling functions. Sci. Rep. 2021, 11, 11370. [Google Scholar] [CrossRef] [PubMed]
- Ardila, N.; Zambrano-Narvaez, G.; Chalaturnyk, R. Wettability Measurements on 3D Printed Sandstone Analogues and Its Implications for Fluid Transport Phenomena. Transp. Porous Media 2019, 129, 521–539. [Google Scholar] [CrossRef]
- Gomez, J.; Chalaturnyk, R.; Zambrano-Narvaez, G. Experimental Investigation of the Mechanical Behavior and Permeability of 3D Printed Sandstone Analogues Under Triaxial Conditions. Transp. Porous Media 2019, 129, 541–557. [Google Scholar] [CrossRef]
- Zhao, X.; Liu, Y.; Zou, C.; He, L.; Che, P.; Li, J. Physical Simulation of Brittle Rocks by 3D Printing Techniques Considering Cracking Behaviour and Permeability. Appl. Sci. 2024, 14, 344. [Google Scholar] [CrossRef]
- Kong, L.; Ostadhassan, M.; Li, C.; Tamimi, N. Pore characterization of 3D-printed gypsum rocks: A comprehensive approach. J. Mater. Sci. 2018, 53, 5063–5078. [Google Scholar] [CrossRef]
- Kong, L.; Ostadhassan, M.; Li, C.; Tamimi, N. Can 3-D Printed Gypsum Samples Replicate Natural Rocks? An Experimental Study. Rock Mech. Rock Eng. 2018, 51, 3061–3074. [Google Scholar] [CrossRef]
- Kim, G.B.; Lee, S.; Kim, H.; Yang, D.H.; Kim, Y.H.; Kyung, Y.S.; Kim, C.S.; Choi, S.H.; Kim, B.J.; Ha, H.; et al. Three-dimensional printing: Basic principles and applications in medicine and radiology. Korean J. Radiol. 2016, 17, 182–197. [Google Scholar] [CrossRef]
- Dizon, J.R.C.; Espera, A.H.; Chen, Q.; Advincula, R.C. Mechanical characterization of 3D-printed polymers. Addit. Manuf. 2018, 20, 44–67. [Google Scholar] [CrossRef]
- Elkaseer, A.; Schneider, S.; Scholz, S.G. Experiment-Based Process Modeling and Optimization for High-Quality and Resource-Efficient FFF 3D Printing. Appl. Sci. 2020, 10, 2899. [Google Scholar] [CrossRef]
- Kantaros, A.; Soulis, E.; Petrescu, F.I.T.; Ganetsos, T. Advanced Composite Materials Utilized in FDM/FFF 3D Printing Manufacturing Processes: The Case of Filled Filaments. Materials 2023, 16, 6210. [Google Scholar] [CrossRef]
- Kochnev, A.A.; Krivoschekov, S.N. Paleontological studies using X-ray tomography. Master’s J. 2015, 2, 177–181. [Google Scholar]
- Krivoshchekov, S.N.; Kochnev, A.A. Determination of capacitive properties of reservoir rocks using X-ray core tomography. Master’s J. 2014, 1, 120–128. [Google Scholar]
- Zinatullina, I.P.; Kadyrova, L.B. Lithological features of terrigenous reservoir rocks of the Viseian stage for development on the western slope of the South Tatar arch. In Advances, Problems and Prospects of Oil and Gas Industry Development; Almetyevsk State Oil Institute: Almetyevsk, Russia, 2018; pp. 106–112. [Google Scholar]
- Almetwally, A.; Jabbari, H. Experimental investigation of 3D printed rock samples replicas. J. Nat. Gas Sci. Eng. 2020, 76, 103192. [Google Scholar] [CrossRef]
- Ishutov, S.; Hodder, K.; Chalaturnyk, R.; Narvaez, G. Replication of carbonate reservoir pores at the original size using 3D printing. Petrophysics 2021, 62, 477–485. [Google Scholar] [CrossRef]
- Hodder, K.J.; Nychka, J.A.; Chalaturnyk, R.J. Process limitations of 3D printing model rock. Prog. Addit. Manuf. 2018, 3, 173–182. [Google Scholar] [CrossRef]
- Ibrahim, E.; Jouini, M.; Bouchaala, F.; Gomes, J. Simulation and Validation of Porosity and Permeability of Synthetic and Real Rock Models Using Three-Dimensional Printing and Digital Rock Physics. ACS Omega 2021, 6, 31775–31781. [Google Scholar] [CrossRef]
- Hodder, K.J.; Sanchez-Barra, A.J.; Ishutov, S.; Zambrano-Narvaez, G.; Chalaturnyk, R.J. Increasing Density of 3D-Printed Sandstone through Compaction. Energies 2022, 15, 1813. [Google Scholar] [CrossRef]
- Song, R.; Wang, Y.; Sun, S.; Liu, J. Characterization and microfabrication of natural porous rocks: From micro-CT imaging and digital rock modelling to micro-3D-printed rock analogs. J. Pet. Sci. Eng. 2021, 205, 108827. [Google Scholar] [CrossRef]
- Hodder, K.; Craplewe, K.; Ishutov, S.; Chalaturnyk, R. Binder saturation as a controlling factor for porosity variation in 3D-printed sandstone. Petrophysics 2021, 62, 450–462. [Google Scholar] [CrossRef]
- Robin, M.; Combes, R.; Degreve, F.; Cuiec, L. Wettability of porous media from Environmental Scanning Electron Microscopy: From model to reservoir rocks. In Proceedings of the International Symposium on Oilfield Chemistry, Houston, TX, USA, 18–21 February 1997; Society of Petroleum Engineers: Richardson, TX, USA, 1997. [Google Scholar]
- Song, R.; Wang, Y.; Ishutov, S.; Zambrano-Narvaez, G.; Hodder, K.; Chalaturnyk, R.J.; Sun, S.; Liu, J.; Gamage, R. A Comprehensive Experimental Study on Mechanical Behavior, Microstructure and Transport Properties of 3D-printed Rock Analogs. Rock Mech. Rock Eng. 2020, 53, 5745–5765. [Google Scholar] [CrossRef]
- Cheung, C.S.N.; Baud, P.; Wong, T. Effect of grain size distribution on the development of compaction localization in porous sandstone. Geophys. Res. Lett. 2012, 39, L21302. [Google Scholar] [CrossRef]
- Ratnikov, I.; Yarkova, N.; Romanov, E. Analysis of Hydrocarbon Saturation Nature in a Heterogeneous Reservoir as Exemplified in AC10 Formation of Priobskoe Field. Min. Sci. Technol. 2019, 4, 42–56. [Google Scholar] [CrossRef]
- Chilingar, G.V. Relationship between Porosity, Permeability, and Grain-Size Distribution of Sands and Sandstones. Dev. Sedimentol. Deltaic Shallow Mar. Depos. 1964, 1, 71–75. [Google Scholar]
- Valeeva, S.E.; Baranova, A.G.; Uspenskiy, B.V. Influence of sedimentation conditions on formation of reservoir rocks of Bobrikovo-radayevskaya sediments. Scient. Nat. Sci. Ser. 2015, 157, 60–72. [Google Scholar]
- Ishibashi, T.; Fang, Y.; Elsworth, D.; Watanabe, N.; Asanuma, H. Hydromechanical properties of 3D printed fractures with controlled surface roughness: Insights into shear-permeability coupling processes. Int. J. Rock Mech. Min. Sci. 2020, 128, 104271. [Google Scholar] [CrossRef]
- Bacher, M.; Schwen, A.; Koestel, J. Three-Dimensional Printing of Macropore Networks of an Undisturbed Soil Sample. Vadose Zone J. 2015, 14, 1–10. [Google Scholar] [CrossRef]
- Ishutov, S.; Hasiuk, F.J.; Jobe, D.; Agar, S. Using Resin-Based 3D Printing to Build Geometrically Accurate Proxies of Porous Sedimentary Rocks. Groundwater 2018, 56, 482–490. [Google Scholar] [CrossRef]
- Ishutov, S.; Hasiuk, F. 3D printing Berea sandstone: Testing a new tool for petrophysical analysis of reservoirs. Petrophysics 2017, 58, 592–602. [Google Scholar]
- Jouini, M.S.; Gomes, J.S.; Tembely, M.; Ibrahim, E.R. Upscaling Strategy to Simulate Permeability in a Carbonate Sample Using Machine Learning and 3D Printing. IEEE Access 2021, 9, 90631–90641. [Google Scholar] [CrossRef]
- Fahim Salek, M.; Shinde, V.V.; Beckingham, B.S.; Beckingham, L.E. Resin based 3D printing for fabricating reactive porous media. Mater. Lett. 2022, 322, 132469. [Google Scholar] [CrossRef]
- Kanjirakat, A.; Carvero, A.; Amani, M.; Retnanto, A. Surface modification of stereolithography-based 3D printed structures utilizing ultrasonic-atomised sprays. J. Mater. Sci. 2023, 58, 6931–6943. [Google Scholar] [CrossRef]
- Ishutov, S.; Hasiuk, F.; Harding, C.; Gray, J.N. 3D printing sandstone porosity models. Interpretation 2015, 3, SX49–SX61. [Google Scholar] [CrossRef]
- Goral, J.; Deo, M. Nanofabrication of synthetic nanoporous geomaterials: From nanoscale-resolution 3D imaging to nano-3D-printed digital (shale) rock. Sci. Rep. 2020, 10, 21596. [Google Scholar] [CrossRef] [PubMed]
- Ishutov, S.; Hasiuk, F.J.; Fullmer, S.M.; Buono, A.S.; Gray, J.N.; Harding, C. Resurrection of a reservoir sandstone from tomographic data using three-dimensional printing. Am. Assoc. Pet. Geol. Bull. 2017, 101, 1425–1443. [Google Scholar] [CrossRef]
- Kong, L.; Ostadhassan, M.; Hou, X.; Mann, M.; Li, C. Microstructure characteristics and fractal analysis of 3D-printed sandstone using micro-CT and SEM-EDS. J. Pet. Sci. Eng. 2019, 175, 1039–1048. [Google Scholar] [CrossRef]
- Ardila, N. Hydraulic Properties Characterization of 3D Printed Sandstone Analogues. Master’s Thesis, University of Alberta, Edmonton, AB, Canada, 2018. [Google Scholar]
- Wang, Y.; Li, S.; Song, R.; Liu, J.; Ye, M.; Peng, S.; Deng, Y. Effects of Grain Size and Layer Thickness on the Physical and Mechanical Properties of 3D-Printed Rock Analogs. Energies 2022, 15, 7641. [Google Scholar] [CrossRef]
- Mechtcherine, V.; Bos, F.P.; Perrot, A.; da Silva, W.R.L.; Nerella, V.N.; Fataei, S.; Wolfs, R.J.M.; Sonebi, M.; Roussel, N. Extrusion-based additive manufacturing with cement-based materials—Production steps, processes, and their underlying physics: A review. Cem. Concr. Res. 2020, 132, 106037. [Google Scholar] [CrossRef]
- Rehman, A.U.; Kim, J.H. 3D Concrete Printing: A Systematic Review of Rheology, Mix Designs, Mechanical, Microstructural, and Durability Characteristics. Materials 2021, 14, 3800. [Google Scholar] [CrossRef]
- Yu, S.; Xia, M.; Sanjayan, J.; Yang, L.; Xiao, J.; Du, H. Microstructural Characterization of 3D Printed Concrete. J. Build. Eng. 2021, 44, 102948. [Google Scholar] [CrossRef]
- Feng, X.T.; Gong, Y.H.; Zhou, Y.Y.; Li, Z.W.; Liu, X.F. The 3D-printing technology of geological models using rock-like materials. Rock Mech. Rock Eng. 2019, 52, 2261–2277. [Google Scholar] [CrossRef]
- Shi, X.; Deng, T.; Lin, S.; Zou, C.; Liu, B. Method of fabricating artificial rock specimens based on extrusion free forming (EFF) 3D printing. J. Rock Mech. Geotech. Eng. 2023, 16, 1455–1466. [Google Scholar] [CrossRef]
- Shigueoka, M.O.; de M Junqueira, S.L.; Alves, T.A.; Volpato, N. Permeability Analysis of Polymeric Porous Media Obtained by Material Extrusion Additive Manufacturing. In Proceedings of the 30th Annual International Solid Freeform Fabrication Symposium—An Additive Manufacturing Conference, University of Texas at Austin, Austin, TX, USA; 2019. [Google Scholar]
- Shigueoka, M.; Volpato, N. Expanding manufacturing strategies to advance in porous media planning with material extrusion additive manufacturing. Addit. Manuf. 2020, 38, 101760. [Google Scholar] [CrossRef]
- Huang, L.; Stewart, R.; Dyaur, N.; Baez-Franceschi, J. 3D-printed rock models: Elastic properties and the effects of penny-shaped inclusions with fluid substitution. Geophysics 2016, 81, D669–D677. [Google Scholar] [CrossRef]
- Anjikar, I.S.; Wales, S.; Beckingham, L.E. Fused Filament Fabrication 3-D Printing of Reactive Porous Media. Geophys. Res. Lett. 2020, 47, e2020GL087665. [Google Scholar] [CrossRef]
- Zhou, T.; Zhu, J.B. Application of 3D printing and micro-CT scan to rock dynamics. In Proceedings of the ISRM International Conference on Rock Dynamics, Suzhou, China, 18–19 May 2016. [Google Scholar]
- Liu, P.; Ju, Y.; Ranjith, P.; Zheng, Z.; Wang, L.; Wanniarachchi, A. Visual representation and characterization of three-dimensional hydrofracturing cracks within heterogeneous rock through 3D printing and transparent models. Int. J. Coal Sci. Technol. 2016, 3, 284–294. [Google Scholar] [CrossRef]
- Galkin, S.V.; Efimov, A.A.; Krivoshchekov, S.N.; Savitsky, Y.V.; Cherepanov, S.S. Application of X-ray tomography method in petrophysical studies of oil and gas field core. Geol. Geophys. 2015, 56, 995–1007. [Google Scholar]
- Savitsky, Y.V. Modern Possibilities of X-ray tomography method in study of oil and gas fields’ core. Vestn. Perm Natl. Res. Polytech. University. Geol. Oil Gas Min. Eng. 2015, 15, 28–37. [Google Scholar]
- PrintProduct PLA. Available online: https://printproduct3d.ru/catalog.html#!/PLA-GEO-%D0%BF%D0%BB%D0%B0%D1%81%D1%82%D0%B8%D0%BA-PrintProduct/p/82308141/category=34105291 (accessed on 18 April 2024).
- Wolszczak, P.; Lygas, K.; Paszko, M.; Wach, R.A. Heat distribution in material during fused deposition modelling. Rapid Prototyp. J. 2018, 24, 615–622. [Google Scholar] [CrossRef]
- Vanaei, H.; Shirinbayan, M.; Deligant, M.; Raissi, K.; Fitoussi, J.; Khelladi, S.; Tcharkhtchi, A. Influence of process parameters on thermal and mechanical properties of polylactic acid fabricated by fused filament fabrication. Polym. Eng. Sci. 2020, 60, 1822–1831. [Google Scholar] [CrossRef]
- Shahriar, B.B.; France, C.; Valerie, N.; Arthur, C.; Christian, G. Toward improvement of the properties of parts manufactured by FFF (fused filament fabrication) through understanding the influence of temperature and rheological behaviour on the coalescence phenomenon. AIP Conf. Proc. 2017, 1896, 040008. [Google Scholar]
- Sun, Q.; Rizvi, G.M.; Bellehumeur, C.T.; Gu, P. Effect of processing conditions on the bonding quality of FDM polymer filaments. Rapid Prototyp. J. 2008, 14, 72–80. [Google Scholar] [CrossRef]
- Haq, R.H.A.; Marwah, O.F.; Rahman, M.A.; Haw, H.F.; Abdullah, H.; Ahmad, S. 3D Printer parameters analysis for PCL/PLA filament wire using Design of Experiment (DOE). Mater. Sci. Eng. 2019, 607, 012001. [Google Scholar]
- Oskolkov, A.A.; Bezukladnikov, I.I.; Trushnikov, D.N. Mathematical Model of the Layer-by-Layer FFF/FGF Polymer Extrusion Process for Use in the Algorithm of Numerical Implementation of Real-Time Thermal Cycle Control. Polymers 2023, 15, 4518. [Google Scholar] [CrossRef]
- Vanaei, H.R.; Raissi, K.; Deligant, M.; Shirinbayan, M.; Fitoussi, J.; Khelladi, S.; Tcharkhtchi, A. Toward the understanding of temperature effect on bonding strength, dimensions and geometry of 3D-printed parts. J. Mater. Sci. 2020, 55, 14677–14689. [Google Scholar] [CrossRef]
- Davis, C.S.; Hillgartner, K.E.; Han, S.H.; Seppala, J.E. Mechanical strength of welding zones produced by polymer extrusion additive manufacturing. Addit. Manuf. 2017, 16, 162–166. [Google Scholar] [CrossRef]
- Seppala, J.E.; Han, S.H.; Hillgartner, K.E.; Davis, C.S.; Migler, K.B. Weld formation during material extrusion additive manufacturing. Soft Matter 2017, 13, 6761–6769. [Google Scholar] [CrossRef]
- Aliheidari, N.; Christ, J.; Tripuraneni, R.; Nadimpalli, S.; Ameli, A. Interlayer adhesion and fracture resistance of polymers printed through melt extrusion additive manufacturing process. Mater. Des. 2018, 156, 351–361. [Google Scholar] [CrossRef]









| 3D Printing Technology | Authors | Porosity, % | Permeability, mD | ||
|---|---|---|---|---|---|
| Core | Specimen | Core | Specimen | ||
| SLA | [10] | 20 | 23 | 100 | 96 |
| [31] * | 10.2 | 7.45 | 14 | - | |
| [41] * | 12.7 | 11.6 | - | - | |
| DLP | [44] * | 22.6 | 18.9 | - | - |
| PolyJet | [31] * | 24.8 | 18.6 | 1000 | 850 |
| [42] * | 21.6 | 19.6 | - | - | |
| [16] | 25.4 | 24.9 | - | - | |
| [29] * | 6.7 | 6.1 | 1590 | 1276 | |
| BJ | [34] | 24.6 | 52.1 | 3950 | 12,580 |
| [49] | 16 | 36 | - | - | |
| CJP | [10,26] | 14.3 | 28.7 | 100 | 110 |
| [48] * | 12.6 | 37.5 | 251 | 440 | |
| [48] * | 12.6 | 28.4 | 251 | 349 | |
| [31,48] * | 12.6 | 30.3 | 251 | 419 | |
| SLC | [34] | 24.6 | 40.1 | 3950 | 9840 |
| FFF | [10] | 20 | 18 | 100 | 150 |
| [10] | 20 | 12 | 100 | 62 | |
| [10] | 20 | 15 | 100 | 60 | |
| [10] | 20 | 28 | 100 | 80 | |
| [60] * | 25 | 33 | - | - | |
| [60] * | 25 | 28 | - | - | |
| Specimen No. | Porosity, % | Permeability, mD | Material Flow, d.u. | Extrusion Temperature, °C |
|---|---|---|---|---|
| 6 | 22.6 | 881.3 | 0.81 | 180 |
| 10 | 18.7 | 411.7 | 0.86 | 180 |
| 11 | 15.4 | 664.6 | 0.93 | 190 |
| 18 | 16.5 | 502.5 | 0.93 | 190 |
| 26 | 8 | 0.03 | 0.98 | 190 |
| Specimen No. | Porosity, % | Permeability, mD | Material Flow, d.u. | Extrusion Temperature, °C | Overlap, % | Retract/Restart, mm |
|---|---|---|---|---|---|---|
| 4 | 44.2 | 45,209 | 0.68 | 180 | 20 | 0.4/0.4 |
| 5 | 44.5 | 38,757.5 | 0.68 | 180 | 20 | 0.4/0.4 |
| 12 | 31.9 | 13,159.7 | 0.8 | 185 | 25 | 0.4/0.4 |
| 23 | 27.4 | 2142.9 | 0.85 | 195 | 25 | - |
| Specimen No. | Porosity, % | Permeability, mD | Material Flow, d.u. | Extrusion Temperature, °C | Overlap, % | Retract/Restart, mm |
|---|---|---|---|---|---|---|
| 2 | 31.3 | 5680 | 0.63 | 180 | 20 | 0.5/0.52 |
| 15 | 19.7 | 1267.5 | 0.75 | 190 | 25 | 0.2/0.22 |
| 22 | 17 | 300.2 | 0.8 | 195 | 25 | 0.2/0.22 |
| 28 | 21.3 | 439.4 | 0.85 | 195 | 25 | - |
| 33 | 18 | 539.7 | 0.9 | 195 | 25 | - |
| Specimen No. | Porosity, % | Permeability, mD | Material Flow, d.u. | Extrusion Temperature, °C | Overlap, % | Retract/Restart, mm |
|---|---|---|---|---|---|---|
| 3 | 42 | - | 0.68 | 180 | 20 | 0.4/0.4 |
| 13 | 18.4 | 1725.8 | 0.8 | 185 | 25 | 0.2/0.22 |
| 24 | 17.3 | 851.1 | 0.85 | 195 | 25 | 0.2/0.22 |
| 29 | 24.1 | 2372.4 | 0.9 | 195 | 25 | - |
| Specimen No. | Porosity, % | Permeability, mD | Material Flow, d.u. | Extrusion Temperature, °C | Overlap, % | Retract/Restart, mm |
|---|---|---|---|---|---|---|
| 7 | 32 | 8131.4 | 0.63 | 180 | 20 | 0.5/0.52 |
| 9 | 15.6 | 688.3 | 0.72 | 190 | 20 | 0.5/0.54 |
| 14 | 20.4 | 1518.1 | 0.75 | 195 | 25 | 0.2/0.22 |
| 21 | 18.1 | 393.7 | 0.8 | 195 | 25 | 0.2/0.22 |
| 27 | 18.2 | 525.4 | 0.85 | 195 | 25 | - |
| 31 | 20.1 | 747.7 | 0.85 | 195 | 20 | - |
| 32 | 13.5 | 442.3 | 0.9 | 195 | 25 | - |
| 37 | 11.5 | 335.4 | 0.85 | 195 | 40 | - |
| 39 | 17.5 | 680.5 | 0.8 | 195 | 40 | - |
| 42 | 10.6 | 427.2 | 0.82 | 195 | 50 | - |
| 43 | 12.7 | 418 | 0.88 | 195 | 30 | - |
| 44 | 11.6 | 341.2 | 0.87 | 195 | 35 | - |
| 45 | 11.9 | 485.7 | 0.83 | 195 | 45 | - |
| 46 | 12.8 | 337.8 | 0.92 | 195 | 20 | - |
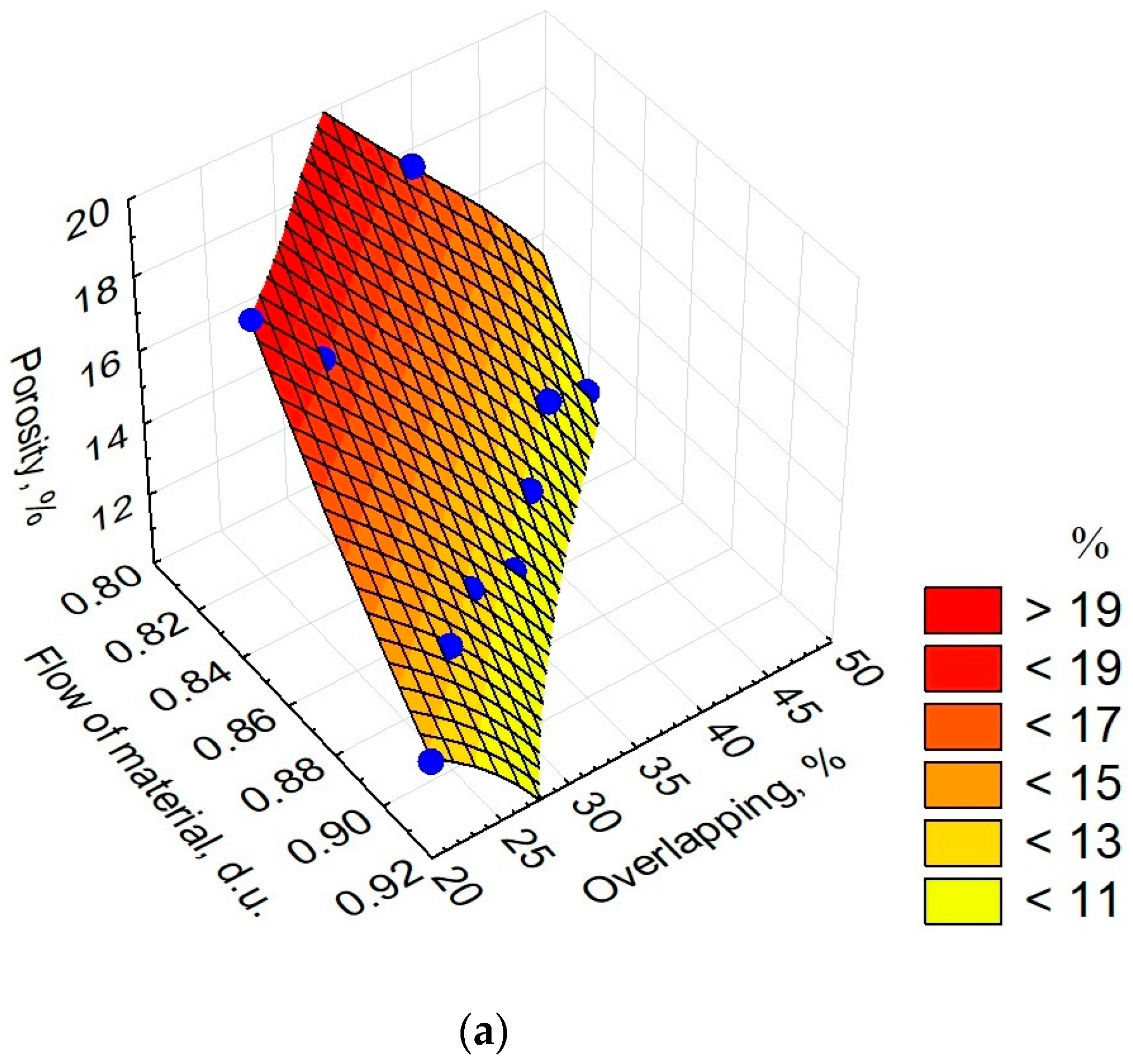
| Flow of Material, d.u. | ||||||||||
|---|---|---|---|---|---|---|---|---|---|---|
| 0.8 | 0.82 | 0.83 | 0.85 | 0.87 | 0.88 | 0.9 | 0.92 | |||
| Overlapping, % | 20 | 20.1 | 12.8 | Porosity, % | ||||||
| 25 | 18.2 | 13.5 | ||||||||
| 30 | 12.7 | |||||||||
| 35 | 11.6 | |||||||||
| 40 | 17.5 | 11.5 | ||||||||
| 45 | 11.9 | |||||||||
| 50 | 10.6 | |||||||||
![]() | ||||||||||
| Flow of Material, d.u. | ||||||||||
|---|---|---|---|---|---|---|---|---|---|---|
| 0.8 | 0.82 | 0.83 | 0.85 | 0.87 | 0.88 | 0.9 | 0.92 | |||
| Overlapping, % | 20 | 747.7 | 337.8 | Permeability, mD | ||||||
| 25 | 525.4 | 442.3 | ||||||||
| 30 | 418.0 | |||||||||
| 35 | 341.2 | |||||||||
| 40 | 680.5 | 335.4 | ||||||||
| 45 | 485.7 | |||||||||
| 50 | 427.2 | |||||||||
![]() | ||||||||||
Disclaimer/Publisher’s Note: The statements, opinions and data contained in all publications are solely those of the individual author(s) and contributor(s) and not of MDPI and/or the editor(s). MDPI and/or the editor(s) disclaim responsibility for any injury to people or property resulting from any ideas, methods, instructions or products referred to in the content. |
© 2024 by the authors. Licensee MDPI, Basel, Switzerland. This article is an open access article distributed under the terms and conditions of the Creative Commons Attribution (CC BY) license (https://creativecommons.org/licenses/by/4.0/).
Share and Cite
Oskolkov, A.A.; Kochnev, A.A.; Krivoshchekov, S.N.; Savitsky, Y.V. Real-Size Reconstruction of Porous Media Using the Example of Fused Filament Fabrication 3D-Printed Rock Analogues. J. Manuf. Mater. Process. 2024, 8, 104. https://doi.org/10.3390/jmmp8030104
Oskolkov AA, Kochnev AA, Krivoshchekov SN, Savitsky YV. Real-Size Reconstruction of Porous Media Using the Example of Fused Filament Fabrication 3D-Printed Rock Analogues. Journal of Manufacturing and Materials Processing. 2024; 8(3):104. https://doi.org/10.3390/jmmp8030104
Chicago/Turabian StyleOskolkov, Alexander A., Alexander A. Kochnev, Sergey N. Krivoshchekov, and Yan V. Savitsky. 2024. "Real-Size Reconstruction of Porous Media Using the Example of Fused Filament Fabrication 3D-Printed Rock Analogues" Journal of Manufacturing and Materials Processing 8, no. 3: 104. https://doi.org/10.3390/jmmp8030104
APA StyleOskolkov, A. A., Kochnev, A. A., Krivoshchekov, S. N., & Savitsky, Y. V. (2024). Real-Size Reconstruction of Porous Media Using the Example of Fused Filament Fabrication 3D-Printed Rock Analogues. Journal of Manufacturing and Materials Processing, 8(3), 104. https://doi.org/10.3390/jmmp8030104



