Wear in Hot Stamping by Partition Heating
Abstract
1. Introduction
2. Reference Process
3. Experimental
3.1. Materials
3.2. Testing Equipment
3.3. Thermal Simulation Tests
3.4. Wear Tests
4. Results and Discussion
4.1. Chemical and Morphological Evolution of the Al–Si Coating
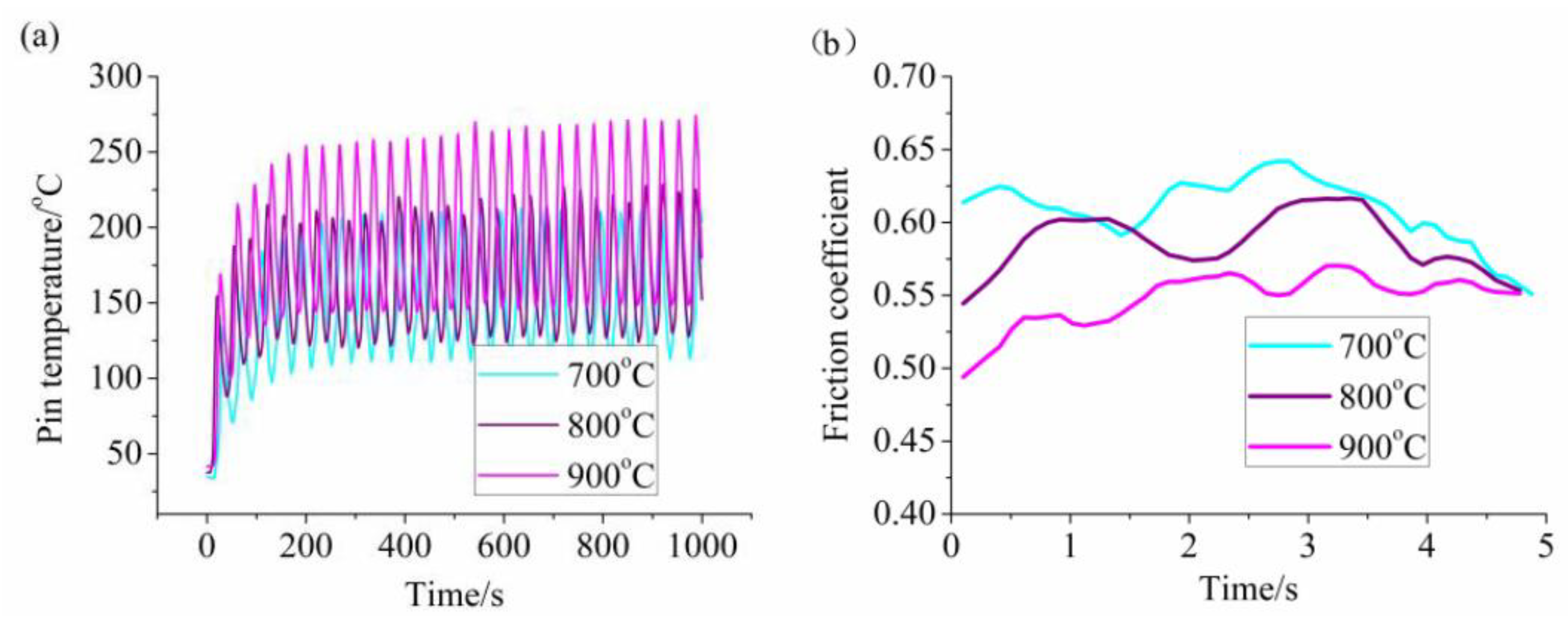
4.2. Friction Coefficient
4.3. Wear Mechanisms
5. Conclusions
- When heating the metal blank, iron from the substrate gradually diffuses to the Al–Si coating surface, forming a more complex structure as the heating temperature increases.
- The surface topography of the Al–Si coating changes at different heating temperatures, becoming rougher as a consequence of the formation of peaks than the as-delivered condition; however, the surface roughness decreases when the heating temperature increases from 700 °C to 900 °C.
- The friction coefficient decreases at increasing heating temperatures, as a consequence of both the lower shear strength of the coating and the presence of more and softer oxidation particles at higher temperatures.
- Adhesive wear seems to be dominant at 700 °C while abrasive wear becomes more relevant as the temperature increases. This behaviour is proven by the analysis carried out on the material transferred from the Al–Si blank coating to the pin surface.
- The SEM images, 3D profiler maps, surface roughness, and weight variation of the pins after different number of cycles demonstrate the difference in the wear mechanisms at different heating temperatures: adhesive wear is the primary wear mechanism at the lowest testing temperature, whereas abrasive wear plays a more dominating role at higher temperatures.
Author Contributions
Funding
Conflicts of Interest
References
- Karbasian, H.; Tekkaya, A.E. A review on hot stamping. J. Mater. Process. Technol. 2010, 210, 2103–2118. [Google Scholar] [CrossRef]
- Borsetto, F.; Ghiotti, A.; Bruschi, S. Investigation of the high strength steel Al-Si coating during hot stamping operations. Key Eng. Mater. 2009, 410–411, 289–296. [Google Scholar] [CrossRef]
- Mori, K.; Bariani, P.F.; Behrens, B.A.; Brosius, A.; Bruschi, S.; Maeno, T.; Merklein, M.; Yanagimoto, J. Hot stamping of ultra-high strength steel parts. CIRP Ann. 2017, 66, 755–777. [Google Scholar] [CrossRef]
- Merklein, M.; Wieland, M.; Lechner, M.; Bruschi, S.; Ghiotti, A. Hot stamping of boron steel sheets with tailored properties: A review. J. Mater. Process. Technol. 2016, 228, 11–24. [Google Scholar] [CrossRef]
- Merklein, M.; Johannes, M.; Lechner, M.; Kuppert, A. A review on tailored blanks production, application and evaluation. J. Mater. Process. Technol. 2014, 214, 151–164. [Google Scholar] [CrossRef]
- George, R.; Bardelcik, A.; Worswick, M.J. Hot forming of boron steels using heated and cooled tooling for tailored properties. J. Mater. Process. Technol. 2012, 212, 2386–2399. [Google Scholar] [CrossRef]
- Mori, K.; Maeno, T.; Mongkolkaji, K. Tailored die quenching of steel parts having strength distribution using bypass resistance heating in hot stamping. J. Mater. Process. Technol. 2013, 213, 508–514. [Google Scholar] [CrossRef]
- Mu, Y.H.; Wang, B.Y.; Zhou, J.; Kang, Y.; Li, X.T. Heating parameters optimization of hot stamping by partition heating for tailored properties. ISIJ Int. 2017, 57, 1442–1450. [Google Scholar] [CrossRef]
- Mu, Y.H.; Wang, B.Y.; Zhou, J.; Huang, X.; Li, X.T. Hot stamping of boron steel using partition heating for tailored properties: Experimental trials and numerical analysis. Metall. Mater. Trans. A 2017, 48, 5467–5479. [Google Scholar] [CrossRef]
- Mu, Y.H.; Zhou, J.; Wang, B.Y.; Wang, Q.L.; Ghiotti, A.; Bruschi, S. Numerical simulation of hot stamping by partition heating based on advanced constitutive modelling of 22MnB5 behaviour. Finite Elem. Anal. Des. 2018, 147, 34–44. [Google Scholar] [CrossRef]
- Ghiotti, A.; Bruschi, S.; Borsetto, F. Tribological characteristics of high strength steel sheets under hot stamping conditions. J. Mater. Process. Technol. 2011, 211, 1694–1700. [Google Scholar] [CrossRef]
- Pelcastre, L.; Hardell, J.; Rolland, A.; Prakash, B. Influence of microstructural evolution of Al-Si coated UHSS on its tribological behavior against tool steel at elevated temperatures. J. Mater. Process. Technol. 2016, 228, 117–124. [Google Scholar] [CrossRef]
- Gui, Z.X.; Liang, W.K.; Liu, Y.; Zhang, Y.S. Thermo-mechanical behavior of the Al-Si alloy coated hot stamping boron steel. Mater. Des. 2014, 60, 26–33. [Google Scholar] [CrossRef]
- Wang, K.; Jin, Y.M.; Zhu, B.; Zhang, Y.S. Investigation on cracking characteristics of Al-Si coating on hot stamping boron steel parts based on surface strain analysis. Surf. Coat. Technol. 2017, 309, 282–294. [Google Scholar] [CrossRef]
- Pelcastre, L.; Hardell, J.; Herrera, N.; Prakash, B. Investigation into the occurrence of galling during hot forming of Al-Si-coated high-strength steel. Proc. Inst. Mech. Eng. Part J J. Eng. Tribol. 2010, 225, 487–498. [Google Scholar] [CrossRef]
- Kondratiuk, J.; Kuhn, P. Tribological investigation on friction and wear behavior of coatings for hot sheet metal forming. Wear 2011, 270, 839–849. [Google Scholar] [CrossRef]
- Mu, Y.H.; Wang, B.Y.; Huang, M.D.; Zhou, J.; Li, X.T. Investigation on tribological characteristics of boron steel 22MnB5-tool steel H13 tribopair at high temperature. Proc. Inst. Mech. Eng. Part J J. Eng. Tribol. 2017, 231, 165–175. [Google Scholar] [CrossRef]
- Boher, C.; Le Roux, S.; Penazzi, L.; Dessain, C. Experimental investigation of the tribological behavior and wear mechanisms of tool grades in hot stamping of a high-strength boron steel. Wear 2012, 294–295, 286–295. [Google Scholar] [CrossRef]
- Venema, J.; Matthews, D.T.A.; Hazrati, J.; Wormann, J.; Van den Boogaard, A.H. Friction and wear mechanisms during hot stamping of Al-Si coated press hardening steel. Wear 2017, 380–381, 137–145. [Google Scholar] [CrossRef]
- Tian, X.W.; Zhang, Y.S.; Li, J. Investigation on tribological behavior of advanced high strength steels: Influence of hot stamping process parameters. Tribol. Lett. 2012, 45, 489–495. [Google Scholar] [CrossRef]
- Azushima, A.; Uda, K.; Yanagida, A. Friction behavior of aluminium-coated 22MnB5 in hot stamping under dry and lubricated conditions. J. Mater. Process. Technol. 2012, 212, 1014–1021. [Google Scholar] [CrossRef]
- Ghiotti, A.; Bruschi, S.; Medea, F.; Hamasaiid, A. Tribological behavior of high thermal conductivity steels for hot stamping tools. Tribol. Int. 2016, 97, 412–422. [Google Scholar] [CrossRef]
- Ghiotti, A.; Bruschi, S.; Sgarabotto, F.; Bariani, P.F. Tribological performances of Zn-based coating in direct hot stamping. Tribol. Int. 2014, 78, 142–151. [Google Scholar] [CrossRef]
- Ghiotti, A.; Sgarabotto, F.; Bruschi, S. A novel approach to wear testing in hot stamping of high strength boron steel sheets. Wear 2013, 302, 1319–1326. [Google Scholar] [CrossRef]
- Ghiotti, A.; Bruschi, S.; Medea, F. Comparison of tribological and wear performances of Al-Si and Zn coatings in hot stamping of boron steel sheets. Wear 2015, 332–333, 810–821. [Google Scholar] [CrossRef]
- Boeke, J.; Krogmeier, J.; Reinhold, P. Continuous Furnace Used in the Production of Vehicle Components, e.g. B-Columns, Comprises Two Zones Lying Opposite Each Other and Separated from Each Other by a Thermal Insulating Separating Wall. Germany Patent Number DE10256621B3, 3 December 2002. [Google Scholar]
- Sagar, V.R.; Wärmerfjord, K.; Söderberg, R. Geometrical variation from selective laser heat treatment of boron steel. Porc. Cirp 2018, 75, 409–414. [Google Scholar] [CrossRef]
- Svec, T.; Merklein, M. Hot Stamping—Process Window for the Auste- nitization of Dualphase Steel. In Proceedings of the 4th International Conference on Hot Sheet Metal Forming of High-Performance Steel, Lulea, Sweden, 9–12 June 2013; pp. 275–282. [Google Scholar]









| Material | C | Mn | Cr | Si | B | Mo | V | Hardness (HRC) | Sa (μm) |
|---|---|---|---|---|---|---|---|---|---|
| 22MnB5 | 0.22 | 1.4 | 0.3 | 0.35 | 0.005 | - | - | 20 ± 1.5 | 0.62 ± 0.1 |
| AISI H11 | 0.38 | 0.4 | 5 | 1.1 | - | 1.3 | 0.4 | 51 ± 1.5 | 1.52 ± 0.1 |
| Heating Temperature | Heating Time | Cooling Method |
|---|---|---|
| 700 °C | 6 min | Water quenching |
| 800 °C | 6 min | Water quenching |
| 900 °C | 6 min | Water quenching |
| Parameter | Value |
|---|---|
| Blank temperature (°C) | 700, 800, 900 ± 1 |
| Contact pressure (MPa) | 7 ± 0.1 |
| velocity (mm/s) | 15 |
| Sliding distance per cycle (mm) | 75 |
| Pin cooling time (s) | 15 |
| number of cycles | 200, 400, 1200, 2000 |
© 2020 by the authors. Licensee MDPI, Basel, Switzerland. This article is an open access article distributed under the terms and conditions of the Creative Commons Attribution (CC BY) license (http://creativecommons.org/licenses/by/4.0/).
Share and Cite
Mu, Y.; Simonetto, E.; Scagnolari, M.; Ghiotti, A. Wear in Hot Stamping by Partition Heating. J. Manuf. Mater. Process. 2020, 4, 18. https://doi.org/10.3390/jmmp4010018
Mu Y, Simonetto E, Scagnolari M, Ghiotti A. Wear in Hot Stamping by Partition Heating. Journal of Manufacturing and Materials Processing. 2020; 4(1):18. https://doi.org/10.3390/jmmp4010018
Chicago/Turabian StyleMu, Yanhong, Enrico Simonetto, Marco Scagnolari, and Andrea Ghiotti. 2020. "Wear in Hot Stamping by Partition Heating" Journal of Manufacturing and Materials Processing 4, no. 1: 18. https://doi.org/10.3390/jmmp4010018
APA StyleMu, Y., Simonetto, E., Scagnolari, M., & Ghiotti, A. (2020). Wear in Hot Stamping by Partition Heating. Journal of Manufacturing and Materials Processing, 4(1), 18. https://doi.org/10.3390/jmmp4010018

