A Distributed Multi-Robot Collaborative SLAM Method Based on Air–Ground Cross-Domain Cooperation
Abstract
1. Introduction
- To address the significant field-of-view disparity and alignment errors between UAVs and UGVs, we propose an iterative registration method based on semantic and geometric features assistance. The method uses semantic and geometric features to calculate the corresponding probability of loop closures. Then, through iterative optimization of rotation angles and translation vectors, our approach computes the optimal coordinate transformation matrix, ensuring all robots operate in a unified coordinate system during backend optimization. This effectively reduces pose estimation errors in cross-domain collaboration.
- To address the challenges in large-scale nonlinear DPGO, including convergence difficulties and high computational complexity, we propose a multi-level partitioning majorization–minimization DPGO method incorporating loss kernel optimization. Our method constructs multi-level balanced subgraphs based on node coupling degrees. Our method formulates a non-trivial loss kernel optimization framework using majorization–minimization surrogate functions, enabling DPGO to converge smoothly to first-order critical points while significantly improving positioning and pose estimation accuracy.
- Extensive experiments are conducted to evaluate the effectiveness of the proposed method. The experimental results show that the proposed method can effectively integrate the environment feature information of the air–ground cross-domain UAV and UGV teams and cooperate to achieve high-precision global pose estimation and map construction.
2. Related Work
2.1. Distributed Pose Graph Optimization
2.2. Air–Ground Cross-Domain Cooperative SLAM
3. Materials and Methods
3.1. Robot-Local Front-End Module
3.2. Distributed Loop Closure Configuration Module
3.2.1. PCM Incremental Anomaly Detection Module
3.2.2. Iterative Registration Method Based on Semantic and Geometric Features Assistance
| Algorithm 1. Adaptive Iterative Adjustment Strategy |
| Input: Initial rotation Angle Initial translation vector Threshold of the probability corresponding |
| Output: Rotation angle Translation vector |
| Function |
| while (True) do evaluate fusing Equation (8) |
| if () then |
| else if () then |
| else if () then |
| else |
| end if |
| end while |
| return |
| End |
3.3. Robust DPGO Back-End Module
- (1)
- In the sixth row of Algorithm 2, each robot node performs a round of inter-node communication to obtain from its neighbor robot node ;
- (2)
- In the seventh row of Algorithm 2, each robot node using its state with its neighbors evaluates , ;
- (3)
- In rows 8 to 11 of Algorithm 2, is calculated for each robot node ;
- (4)
- In row 11 of Algorithm 2, each robot node is iteratively optimized to improve the final solution .
| Algorithm 2. Multi-level Partitioning DPGO Method |
| Input: An initial iterate and . |
| Output: A sequence of iterates Function |
| for do |
| for node do |
| retrieve from |
| evaluate , |
| for do |
| retrieve from in which |
| end for |
| retrieve from in which |
| end for |
| end for |
| return end |
- (1)
- is a non-increasing function.
- (2)
- as .
- (3)
- as , if .
- (4)
- as , if .
- (1)
- According to Formulas (31) and (32), we can deduce the following:This equation holds when . From Formula (38), we can derive the following conclusions:Therefore, we can prove that (1) holds, and that is a non-increasing function.
- (2)
- Since (1) holds and , we can conclude the following:
- (3)
- According to Formula (42), we have the following:Substituting Formulas (29) and (33) into the above equation, we obtain the following:Since , we can derive the following:where is a constant scalar. As , we have , and, thus, when , . Therefore, we can conclude the following:
- (4)
- Since (3) holds true and is continuous, it follows that as , if . □
4. Results
4.1. DPGO Performance Analysis
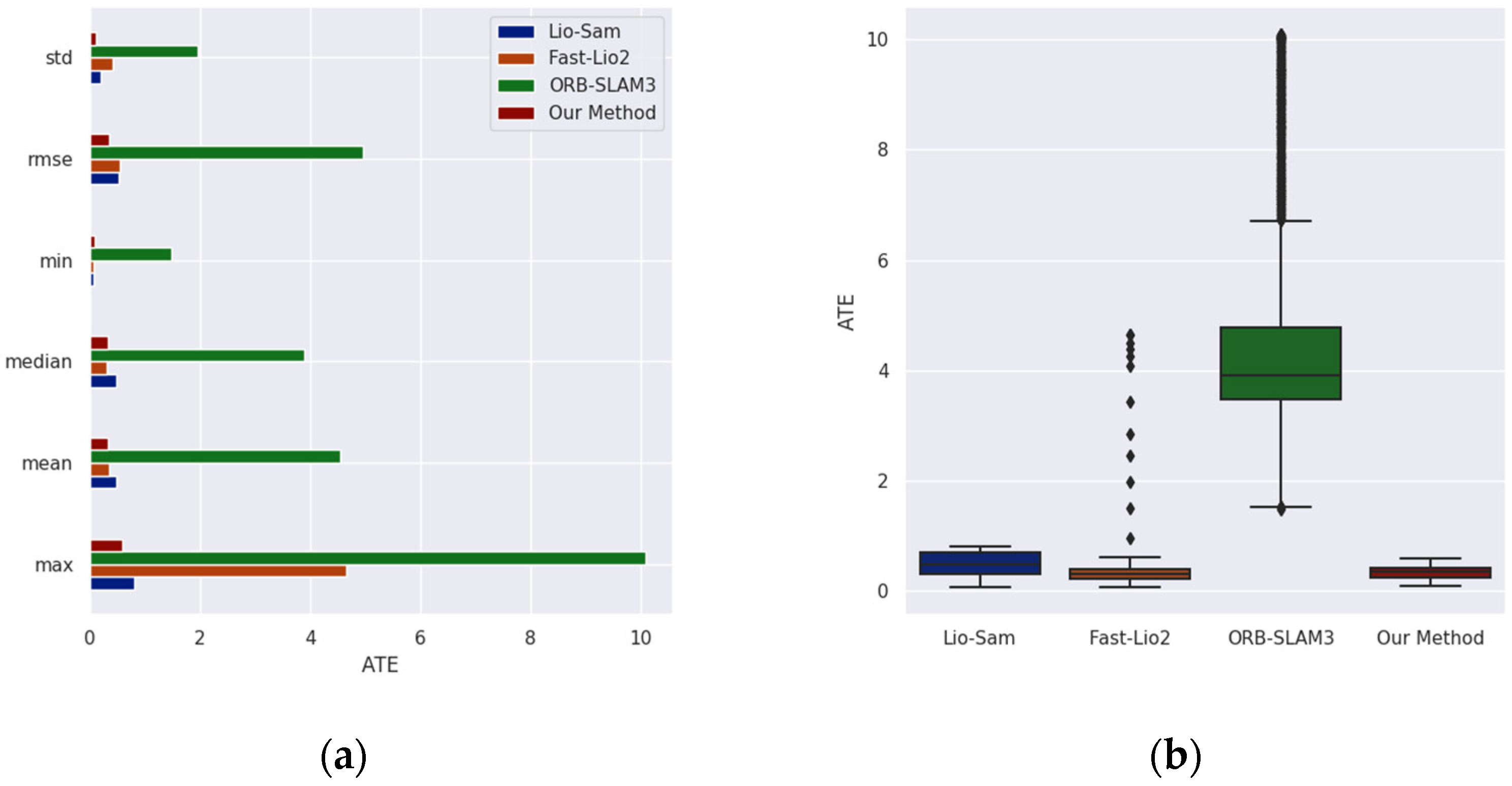
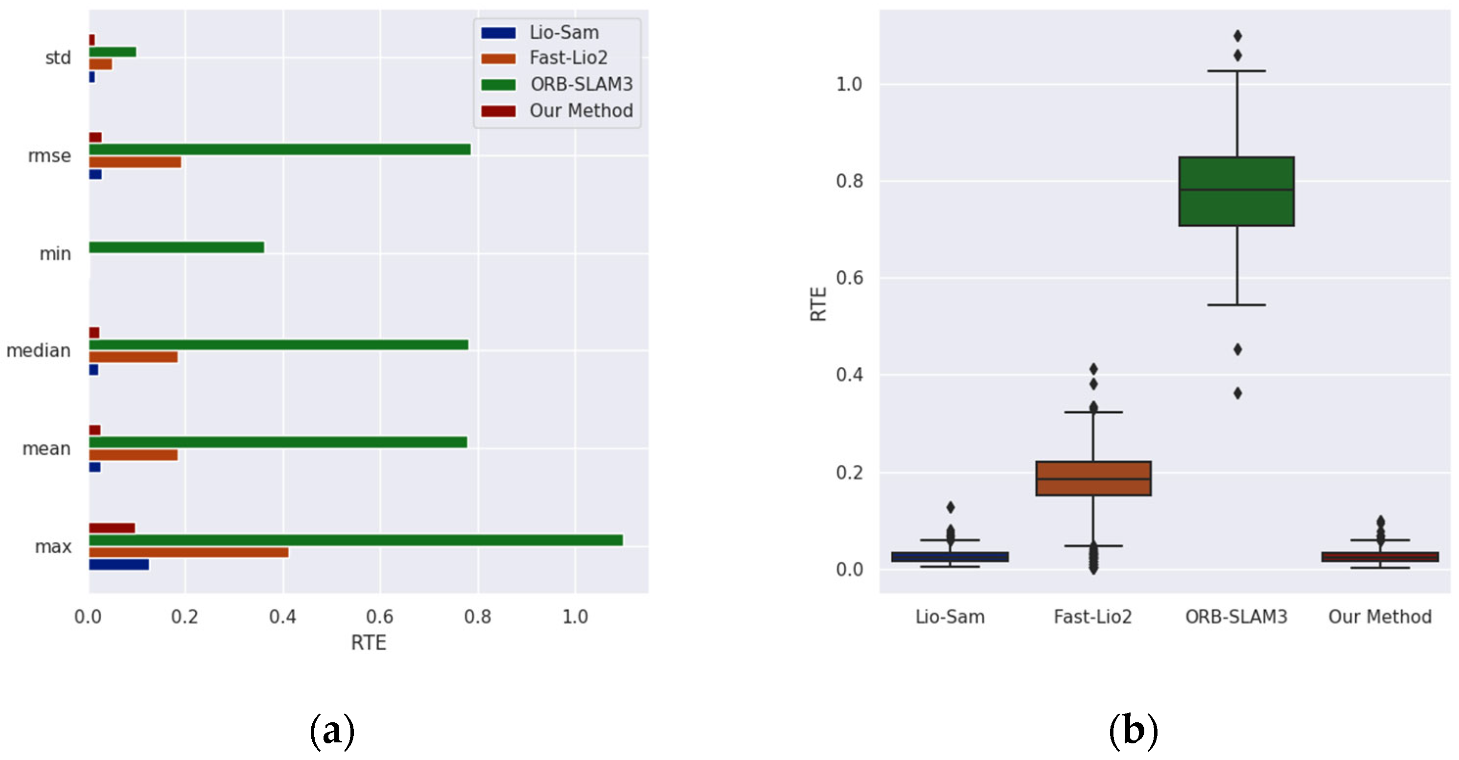
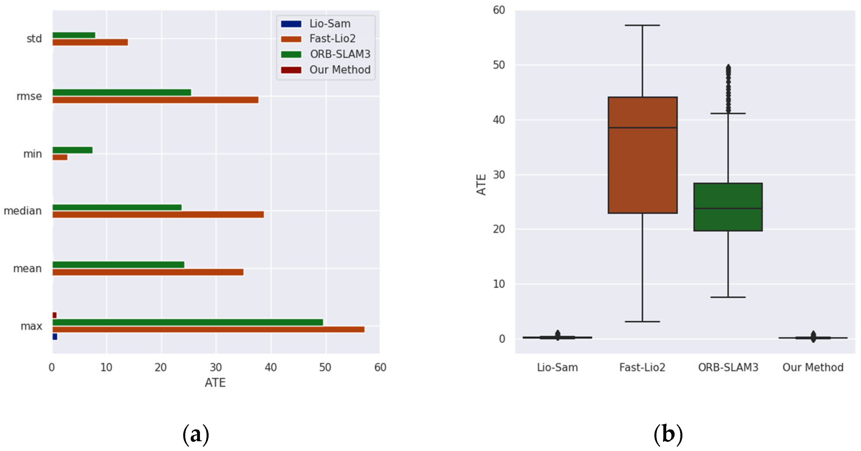
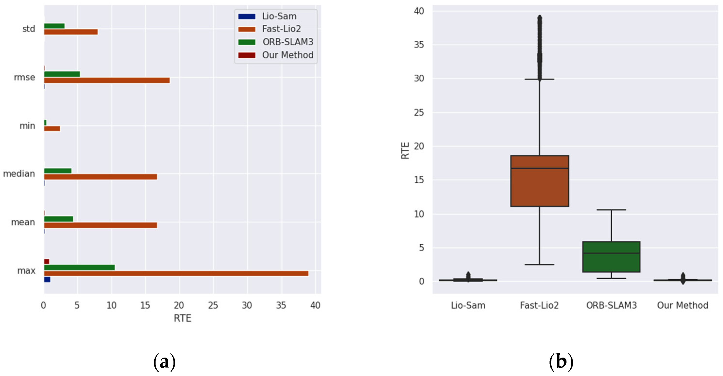
4.2. Air–Ground Cross-Domain Collaborative SLAM Performance Analysis
5. Discussion
6. Conclusions
Author Contributions
Funding
Data Availability Statement
Conflicts of Interest
Abbreviations
| CSLAM | Collaborative simultaneous localization and mapping |
| UAV | Unmanned aerial vehicle |
| UGV | Unmanned ground vehicle |
| PCM | Pairwise consistency maximization |
| DPGO | Distributed pose graph optimization |
References
- Jiang, W.; Xue, H.; Si, S.; Xiao, L.; Zhao, D.; Zhu, Q.; Nie, Y.; Dai, B. R2SCAT-LPR: Rotation-Robust Network with Self- and Cross-Attention Transformers for LiDAR-Based Place Recognition. Remote Sens. 2025, 17, 1057. [Google Scholar] [CrossRef]
- Barbieri, L.; Tedeschini, B.C.; Brambilla, M.; Nicoli, M. Deep Learning-Based Cooperative LiDAR Sensing for Improved Vehicle Positioning. IEEE Trans. Signal Process. 2024, 72, 1666–1682. [Google Scholar] [CrossRef]
- Chang, Y.; Hughes, N.; Ray, A.; Carlone, L. Hydra-Multi: Collaborative Online Construction of 3D Scene Graphs with Multi-Robot Teams. In Proceedings of the 2023 IEEE/RSJ International Conference on Intelligent Robots and Systems (IROS), Detroit, MI, USA, 1–5 October 2023; pp. 10995–11002. [Google Scholar]
- Xu, H.; Liu, P.; Chen, X.; Shen, S. D2SLAM: Decentralized and Distributed Collaborative Visual-Inertial SLAM System for Aerial Swarm. IEEE Trans. Robot. 2024, 40, 3445–3464. [Google Scholar] [CrossRef]
- Araújo, A.G.; Pizzino, C.A.P.; Couceiro, M.S.; Rocha, R.P. A Multi-Drone System Proof of Concept for Forestry Applications. Drones 2025, 9, 80. [Google Scholar] [CrossRef]
- Chen, Z.; Zhao, J.; Feng, T.; Ye, C.; Xiong, L. Robust Loop Closure Selection Based on Inter-Robot and Intra-Robot Consistency for Multi-Robot Map Fusion. Remote Sens. 2023, 15, 2796. [Google Scholar] [CrossRef]
- Xie, Y.; Zhang, Y.; Chen, L.; Cheng, H.; Tu, W.; Cao, D. RDC-SLAM: A Real-Time Distributed Cooperative SLAM System Based on 3D LiDAR. IEEE Trans. Intell. Transp. Syst. 2022, 23, 14721–14730. [Google Scholar] [CrossRef]
- Li, Z.; Xu, P.; Ding, L.; Shan, J.; Yang, W.; Deng, Z.; Gao, H.; Liu, T.; Yang, H. Enhancing Cooperative Exploration and Planning: UAV-Legged Robot Synergy. IEEE Robot. Autom. Lett. 2024, 9, 10367–10374. [Google Scholar] [CrossRef]
- Miller, I.D.; Cladera, F.; Smith, T.; Taylor, C.J.; Kumar, V. Stronger Together: Air-Ground Robotic Collaboration Using Semantics. IEEE Robot. Autom. Lett. 2022, 7, 9643–9650. [Google Scholar] [CrossRef]
- Munguia, R.; Grau, A.; Bolea, Y.; Obregón-Pulido, G. A Simultaneous Control, Localization, and Mapping System for UAVs in GPS-Denied Environments. Drones 2025, 9, 69. [Google Scholar] [CrossRef]
- Rosen, D.M.; Carlone, L.; Bandeira, A.S.; Leonard, J.J. SE-Sync: A certifiably correct algorithm for synchronization over the special Euclidean group. Int. J. Robot. Res. 2019, 38, 95–125. [Google Scholar] [CrossRef]
- Yu, Z.; Qiao, Z.; Qiu, L.; Yin, H.; Shen, S. Multi-Session, Localization-Oriented and Lightweight LiDAR Mapping Using Semantic Lines and Planes. In Proceedings of the 2023 IEEE/RSJ International Conference on Intelligent Robots and Systems (IROS), Detroit, MI, USA, 1–5 October 2023; pp. 7210–7217. [Google Scholar]
- Huang, Y.; Shan, T.; Chen, F.; Englot, B. DiSCo-SLAM: Distributed Scan Context-Enabled Multi-Robot LiDAR SLAM With Two-Stage Global-Local Graph Optimization. IEEE Robot. Autom. Lett. 2022, 7, 1150–1157. [Google Scholar] [CrossRef]
- Lajoie, P.; Beltrame, G. Swarm-SLAM: Sparse Decentralized Collaborative Simultaneous Localization and Mapping Framework for Multi-Robot Systems. IEEE Robot. Autom. Lett. 2024, 9, 475–482. [Google Scholar] [CrossRef]
- Zhong, S.; Qi, Y.; Chen, Z.; Wu, J.; Chen, H.; Liu, M. DCL-SLAM: A Distributed Collaborative LiDAR SLAM Framework for a Robotic Swarm. IEEE Sens. J. 2024, 24, 4786–4797. [Google Scholar] [CrossRef]
- Mangelson, J.G.; Dominic, D.; Eustice, R.M.; Vasudevan, R. Pairwise Consistent Measurement Set Maximization for Robust Multi-Robot Map Merging. In Proceedings of the 2018 IEEE International Conference on Robotics and Automation (ICRA), Brisbane, QLD, Australia, 21–25 May 2018; pp. 2916–2923. [Google Scholar]
- Choudhary, S.; Carlone, L.; Nieto, C.; Rogers, J.; Christensen, H.; Dellaert, F. Distributed trajectory estimation with privacy and communication constraints: A two-stage distributed Gauss-Seidel approach. In Proceedings of the 2016 IEEE International Conference on Robotics and Automation (ICRA), Stockholm, Sweden, 16–21 May 2016; pp. 5261–5268. [Google Scholar]
- Tian, Y.; Koppel, A.; Bedi, A.S.; How, J.P. Asynchronous and Parallel Distributed Pose Graph Optimization. IEEE Robot. Autom. Lett. 2020, 5, 5819–5826. [Google Scholar] [CrossRef]
- Tian, Y.; Chang, Y.; Arias, F.H.; Nieto-Granda, C.; How, J.P.; Carlone, L. Kimera-Multi: Robust, Distributed, Dense Metric-Semantic SLAM for Multi-Robot Systems. IEEE Trans. Robot. 2022, 38, 2022–2038. [Google Scholar] [CrossRef]
- Yang, H.; Antonante, P.; Tzoumas, V.; Carlone, L. Graduated Non-Convexity for Robust Spatial Perception: From Non-Minimal Solvers to Global Outlier Rejection. IEEE Robot. Autom. Lett. 2020, 5, 1127–1134. [Google Scholar] [CrossRef]
- Fan, T.; Murphey, T. Majorization Minimization Methods for Distributed Pose Graph Optimization. IEEE Trans. Robot. 2024, 40, 22–42. [Google Scholar] [CrossRef]
- Nesterov, Y. Introductory Lectures on Convex Optimization: A Basic Course; Springer Science & Business Media: Berlin, Germany, 2013. [Google Scholar]
- Li, C.; Guo, G.; Yi, P.; Hong, Y. Distributed Pose-Graph Optimization with Multi-Level Partitioning for Multi-Robot SLAM. IEEE Robot. Autom. Lett. 2024, 9, 4926–4933. [Google Scholar] [CrossRef]
- He, J.; Zhou, Y.; Huang, L.; Kong, Y.; Cheng, H. Ground and Aerial Collaborative Mapping in Urban Environments. IEEE Robot. Autom. Lett. 2021, 6, 95–102. [Google Scholar] [CrossRef]
- Liu, D.; Wu, J.; Du, Y.; Zhang, R.; Cong, M. SBC-SLAM: Semantic Bioinspired Collaborative SLAM for Large-Scale Environment Perception of Heterogeneous Systems. IEEE Trans. Instrum. Meas. 2024, 73, 5018110. [Google Scholar] [CrossRef]
- Duan, X.; Wu, M.; Xiong, C.; Hu, Q.; Zhao, P. A Base-Map-Guided Global Localization Solution for Heterogeneous Robots Using a Co-View Context Descriptor. Remote Sens. 2024, 16, 4027. [Google Scholar] [CrossRef]
- Qiao, X.; Tang, J.; Li, G.; Yang, W.; Shen, B.; Niu, W.; Xie, W.; Peng, X. SMR-GA: Semantic Map Registration Under Large Perspective Differences Through Genetic Algorithm. IEEE Robot. Autom. Lett. 2025, 10, 2518–2525. [Google Scholar] [CrossRef]
- Liu, P.; Bi, Y.; Shi, J.; Zhang, T.; Wang, C. Semantic-Assisted LIDAR Tightly Coupled SLAM for Dynamic Environments. IEEE Access 2024, 12, 34042–34053. [Google Scholar] [CrossRef]
- Zhong, Y. Intrinsic shape signatures: A shape descriptor for 3D object recognition. In Proceedings of the 2009 IEEE 12th International Conference on Computer Vision Workshops, Kyoto, Japan, 27 September–4 October 2009; pp. 689–696. [Google Scholar]
- Tian, Y.; Khosoussi, K.; Rosen, D.M.; How, J.P. Distributed Certifiably Correct Pose-Graph Optimization. IEEE Trans. Robot. 2021, 37, 2137–2156. [Google Scholar] [CrossRef] [PubMed]
- Fan, T.; Murphey, T. Majorization Minimization Methods for Distributed Pose Graph Optimization with Convergence Guarantees. In Proceedings of the 2020 IEEE/RSJ International Conference on Intelligent Robots and Systems (IROS), Las Vegas, NV, USA, 24 October 2020; pp. 5058–5065. [Google Scholar]
- Barron, J.T. A General and Adaptive Robust Loss Function. In Proceedings of the 2019 IEEE/CVF Conference on Computer Vision and Pattern Recognition (CVPR), Long Beach, CA, USA, 15–20 June 2019; pp. 4326–4334. [Google Scholar]
- Xu, H.; Shen, S. BDPGO: Balanced Distributed Pose Graph Optimization Framework for Swarm Robotics. arXiv 2021, arXiv:2109.04502. [Google Scholar]
- Zhu, Y.; Kong, Y.; Jie, Y.; Xu, S.; Cheng, H. GRACO: A Multimodal Dataset for Ground and Aerial Cooperative Localization and Mapping. IEEE Robot. Autom. Lett. 2023, 8, 966–973. [Google Scholar] [CrossRef]
- Evo: Python PackAge for the Evaluation of Odometry and SLAM. Available online: https://github.com/MichaelGrupp/evo (accessed on 19 November 2017).
- Shan, T.; Englot, B.; Meyers, D.; Wang, W.; Ratti, C.; Rus, D. LIO-SAM: Tightly-coupled Lidar Inertial Odometry via Smoothing and Mapping. In Proceedings of the 2020 IEEE/RSJ International Conference on Intelligent Robots and Systems (IROS), Las Vegas, NV, USA, 25–29 October 2020; pp. 5135–5142. [Google Scholar]
- Xu, W.; Cai, Y.; He, D.; Lin, J.; Zhang, F. FAST-LIO2: Fast Direct LiDAR-Inertial Odometry. IEEE Trans. Robot. 2022, 38, 2053–2073. [Google Scholar] [CrossRef]
- Campos, C.; Elvira, R.; Rodríguez, J.J.G.; Montiel, J.M.M.; Tardós, J.D. ORB-SLAM3: An Accurate Open-Source Library for Visual, Visual–Inertial, and Multimap SLAM. IEEE Trans. Robot. 2021, 37, 1874–1890. [Google Scholar] [CrossRef]

















| Number of Nodes | Method | Number of Iterations | Sphere(3D) | Grid(3D) | Garage(3D) | Torus(3D) | City(2D) | CSAIL(2D) |
|---|---|---|---|---|---|---|---|---|
| 5 | DGS | 12 | ||||||
| 25 | ||||||||
| 50 | ||||||||
| 100 | ||||||||
| 250 | ||||||||
| 500 | ||||||||
| RBCD++ | 12 | |||||||
| 25 | ||||||||
| 50 | ||||||||
| 100 | ||||||||
| 250 | ||||||||
| 500 | ||||||||
| MM-PGO | 12 | |||||||
| 25 | ||||||||
| 50 | ||||||||
| 100 | ||||||||
| 250 | ||||||||
| 500 | ||||||||
| Our method | 12 | |||||||
| 25 | ||||||||
| 50 | ||||||||
| 100 | ||||||||
| 250 | ||||||||
| 500 | ||||||||
| 10 | DGS | 12 | ||||||
| 25 | ||||||||
| 50 | ||||||||
| 100 | ||||||||
| 250 | ||||||||
| 500 | ||||||||
| RBCD++ | 12 | |||||||
| 25 | ||||||||
| 50 | ||||||||
| 100 | ||||||||
| 250 | ||||||||
| 500 | ||||||||
| MM-PGO | 12 | |||||||
| 25 | ||||||||
| 50 | ||||||||
| 100 | ||||||||
| 250 | ||||||||
| 500 | ||||||||
| Our method | 12 | |||||||
| 25 | ||||||||
| 50 | ||||||||
| 100 | ||||||||
| 250 | ||||||||
| 500 | ||||||||
| Sequences | Lio-Sam | Fast-Lio2 | ORB-SLAM3 | GAC-Mapping | Our Method |
|---|---|---|---|---|---|
| ATE(m)/RTE(m) | ATE(m)/RTE(m) | ATE(m)/RTE(m) | ATE(m)/RTE(m) | ATE(m)/RTE(m) | |
| Ground-01 | 0.3162/0.0764 | 0.4280/0.1976 | 4.9654/0.7897 | 1.0347/3.8892 | 0.2736/0.0557 |
| Ground-02 | 0.8321/0.1173 | 1.0039/0.1736 | 3.4576/6.9509 | 0.3541/3.3475 | 0.6584/0.1008 |
| Ground-03 | 1.1246/0.1007 | 1.6097/0.1458 | 4.9613/7.0285 | 1.6059/1.8317 | 1.0097/0.1325 |
| Ground-04 | 0.7291/0.0923 | 0.7292/0.2011 | 6.2968/6.9404 | 1.4731/2.1381 | 0.6937/0.0782 |
| Ground-05 | 1.9802/0.1027 | 1.8987/0.2179 | 8.5792/6.9073 | 1.5922/3.5628 | 0.9583/0.1694 |
| Ground-06 | 0.9217/0.0788 | 2.3513/0.2470 | 6.2770/6.9252 | 1.4306/2.0467 | 0.9089/0.1037 |
| Aerial-01-40 m | 0.4592/0.2379 | 86.8127/12.3536 | 22.6670/8.7108 | 1.2199/4.3624 | 0.4375/0.2586 |
| Aerial-02-20 m | 0.1857/0.2836 | 35.3482/22.4799 | 8.7979/8.0089 | 1.3960/2.1995 | 0.1699/0.2576 |
| Aerial-03-20 m | 0.2759/0.1742 | 37.6768/18.5712 | 25.7488/5.3842 | 0.8057/0.6752 | 0.1884/0.1566 |
| Aerial-04-40 m | 3.8695/1.5274 | 36.0139/10.9409 | 18.1040/8.2972 | 5.3285/15.7729 | 1.9439/1.2463 |
| Aerial-05-40 m | 0.8951/0.5993 | 2.5204/0.5657 | 28.9463/8.5584 | 1.6986/9.5503 | 0.8722/0.5081 |
| Aerial-06-20 m | 2.6581/1.4525 | 56.4376/17.2058 | 14.2582/8.4145 | 2.9802/10.7491 | 1.2358/0.9367 |
| Aerial-07-25 m | 5.1380/1.6013 | 46.2759/12.2668 | 14.7024/8.4329 | 1.4761/8.4197 | 5.8716/1.3675 |
| Aerial-08-25 m | 0.3145/0.1457 | 17.2637/4.6123 | 16.2044/8.2248 | 1.5794/3.9037 | 0.2819/0.1596 |
| Team | Sequences | GAC-Mapping | Our Method | ||||
|---|---|---|---|---|---|---|---|
| ATE(m)/RTE(m) | Parameters(MB) | Time Cost(s) | ATE(m)/RTE(m) | Parameters(MB) | Time Cost(s) | ||
| Team 1 | Aerial-02-20 m | 1.9351/3.2048 | 2.37 | 3.72 | 0.4071/0.4926 | 1.92 | 2.27 |
| Ground-04 | 1.6639/2.9573 | 0.8148/0.1057 | |||||
| Team 2 | Aerial-08-25 m | 1.4051/4.7883 | 5.16 | 7.97 | 0.5350/0.4160 | 3.64 | 5.13 |
| Ground-03 | 0.8727/2.6930 | 1.1962/0.3573 | |||||
| Ground-06 | 1.4401/2.1815 | 1.2706/0.3438 | |||||
Disclaimer/Publisher’s Note: The statements, opinions and data contained in all publications are solely those of the individual author(s) and contributor(s) and not of MDPI and/or the editor(s). MDPI and/or the editor(s) disclaim responsibility for any injury to people or property resulting from any ideas, methods, instructions or products referred to in the content. |
© 2025 by the authors. Licensee MDPI, Basel, Switzerland. This article is an open access article distributed under the terms and conditions of the Creative Commons Attribution (CC BY) license (https://creativecommons.org/licenses/by/4.0/).
Share and Cite
Liu, P.; Bi, Y.; Wang, C.; Jiang, X. A Distributed Multi-Robot Collaborative SLAM Method Based on Air–Ground Cross-Domain Cooperation. Drones 2025, 9, 504. https://doi.org/10.3390/drones9070504
Liu P, Bi Y, Wang C, Jiang X. A Distributed Multi-Robot Collaborative SLAM Method Based on Air–Ground Cross-Domain Cooperation. Drones. 2025; 9(7):504. https://doi.org/10.3390/drones9070504
Chicago/Turabian StyleLiu, Peng, Yuxuan Bi, Caixia Wang, and Xiaojiao Jiang. 2025. "A Distributed Multi-Robot Collaborative SLAM Method Based on Air–Ground Cross-Domain Cooperation" Drones 9, no. 7: 504. https://doi.org/10.3390/drones9070504
APA StyleLiu, P., Bi, Y., Wang, C., & Jiang, X. (2025). A Distributed Multi-Robot Collaborative SLAM Method Based on Air–Ground Cross-Domain Cooperation. Drones, 9(7), 504. https://doi.org/10.3390/drones9070504
