Abstract
As the low-altitude economy undergoes rapid growth, unmanned aerial vehicles (UAVs) have served as mobile sink nodes in wireless sensor networks (WSNs), significantly enhancing data collection efficiency. However, the open nature of wireless channels and spectrum scarcity pose severe challenges to data security, particularly when legitimate UAVs (UAV-L) receive confidential information from ground sensor nodes (SNs), which is vulnerable to interception by eavesdropping UAVs (UAV-E). In response to this challenge, this study presents a cooperative jamming (CJ) scheme for Reconfigurable Intelligent Surfaces (RIS)-assisted UAV-WSN to combat aerial malicious eavesdropping. The multi-dimensional optimization problem (MDOP) of system security under quality of service (QoS) constraints is addressed by collaboratively optimizing the transmit power (TP) of SNs, the flight trajectories (FT) of the UAV-L, the frame length (FL) of time slots, and the phase shift matrix (PSM) of the RIS. To address the challenge, we put forward a Cooperative Jamming Joint Optimization Algorithm (CJJOA) scheme. Specifically, we first apply the block coordinate descent (BCD) to decompose the original MDOP into several subproblems. Then, each subproblem is convexified by successive convex approximation (SCA). The numerical results demonstrate that the designed algorithm demonstrates extremely strong stability and reliability during the convergence process. At the same time, it shows remarkable advantages compared with traditional benchmark testing methods, effectively and practically enhancing security.
1. Introduction
Within the domain of wireless sensor networks (WSNs), it has been demonstrated that unmanned aerial vehicles (UAVs) are emerging as a promising technology in the academic community thanks to their role as mobile sink nodes, enabled by their agile flight characteristics and robust data processing capabilities, providing an innovative solution to the limitations of static sink nodes [1,2,3]. The integration of UAV into WSN (UAV-WSN) facilitates flexible communication links with various ground sensor nodes, such as acoustic, image, and temperature sensors, enabling real-time data collection [4]. This technology effectively addresses the limitations of traditional sensor networks in terms of data collection efficiency and information integration capabilities [5,6]. However, the emergence of malicious eavesdropping UAVs (UAV-E) constitutes a grave threat to the communication security of UAV-WSN. The UAV-E, equipped with advanced eavesdropping devices and utilizing invisible coatings and low-noise flight technologies, attempts to intercept confidential information transmitted by ground sensor nodes [7,8]. This not only exposes data collection to the risk of information leakage and malicious interference, but also seriously threatens the integrity and privacy of the transmitted information.
So far, considerable research has been conducted to tackle these challenges [9,10,11]. In [9], a combined optimization method is presented for 3D flight paths and data acquisition schedules in the event of eavesdropping attacks. A novel off-chain architecture enabled by vehicular fog computing (VFC) is presented in [10], leveraging vehicles on the ground as mobile fog nodes to alleviate the data offloading and storage burdens of UAVs. A dual-layer UAV swarm structure model based on blockchain is proposed in [11] to enhance security during collaborative mission execution and data sharing between UAVs, ensuring data integrity through the decentralized security and access control of blockchain. The above research primarily focuses on enhancing the anti-eavesdropping capability of UAV-WSN by optimizing the parameters of the system. The existing research has also demonstrated that eavesdropping can be effectively suppressed by introducing jamming [12,13,14,15,16]. Among these, cooperative jamming (CJ) techniques have been introduced in UAV-WSN, which cleverly convert jamming signals into an advantage through degrading the received signal quality of eavesdropping nodes and enhancing eavesdropping complexity, thereby significantly enhancing the confidentiality and security of communications [17,18,19,20]. In [17], a cooperative time-switching relaying protocol has been developed in amplify-and-forward relaying networks assisted by UAV swarms with wireless energy harvesting functionality. In [18], a secure communication architecture leveraging mobile relays and energy-constrained UAVs has been implemented, with the integration of a full-duplex destination node to enable simultaneous transmission and reception. In [19], a cooperative secondary UAV jammer is employed for jamming signal transmission to the secondary eavesdropper. Joint channel assignment and power control for anti-jamming in UAV networks has been studied in [20]. UAV-enabled proactive eavesdropping in suspicious communications based on distributed transmit beamforming was studied in [21,22,23,24,25].
Furthermore, the integration of Reconfigurable Intelligent Surfaces (RISs) has garnered considerable attention lately, driven by their combined potential to mitigate security threats in wireless networks [26,27,28,29]. In [26], a secure communication framework is built to resist jamming and eavesdropping attacks by deploying a fixed-location friendly UAV jammer. In [27], with the help of the RIS, it assists the uplink communication from the user on the ground to the elevated UAV in hostile environments with malicious jammers and eavesdroppers. In [28], a reliable and secure communication scheme is proposed for a two-UAV configuration equipped with an RIS. In [29], an RIS deployed on a UAV was adopted to optimize information transmission efficiency while mitigating intentional jamming and malicious eavesdropping. As we can see, RISs collaborate with SNs to improve channel quality by precisely adjusting the PSM for beamforming, while simultaneously reducing the SNR in the presence of a UAV-E, thus creating a secure communication environment [30,31,32]. Moreover, some studies focus on UAV communications and have achieved positive results in security performance and system optimization [33,34,35,36,37]. They all adopt innovative technologies and strategies such as RIS assistance, joint optimization, friendly jamming, etc., to enhance the security, multi-user fairness, secrecy performance, and overall system performance of UAV communications.
Although these studies have provided numerous insights into RIS-assisted UAV-WSN secure communication, several challenges still remain to be thoroughly investigated. In particular, the existing research mainly focuses on downlink communication system models, with relatively limited exploration of uplink communication models. Additionally, further exploration is needed in terms of leveraging cooperative jamming techniques to counteract aerial malicious jamming. Considering the fluctuating characteristics of the surrounding environment, including the constantly changing obstacles, the shifting positions of interferers, and the movement of UAVs, the existing RIS phase tuning techniques often face difficulties in adapting to these dynamic scenarios.
To tackle these issues, this work delves into the exploration of an RIS-assisted UAV-WSN. In this scenario, an RIS is attached to a building surface, while a UAV-L serves as a mobile sink center responsible for collecting data from SNs. Focusing on the core objective of enhancing the security of a UAV-WSN system assisted by an RIS against eavesdropping, this paper conducts in-depth research on key elements such as the TP of SNs, the PSM of the RIS, the FL of time slots, and the FL of the UAV-L. The security performance of the system is improved through a collaborative optimization strategy. As far as we know, the existing research has seldom explored RIS-assisted UAV-WSNs featuring multiple sensor nodes threatened by aerial eavesdropping. Within the scope of this study, the multi-dimensional optimization problem (MDOP) is intended to be tackled by employing the block coordinate descent (BCD). Additionally, an iterative scheme developed from successive convex approximation (SCA) is proposed. The innovative contributions are systematically elaborated through the following aspects:
- A UAV-WSN system assisted by an RIS is under the threat of a UAV-E, and a cooperative jammer is deployed to counter unauthorized information interception. To maximize secure communication bits, the MDOP is formulated by collaboratively optimizing the TP of SNs, the PSM of the RIS, the FL of time slots, and the FT of the UAV-L.
- The specific MDOP being considered is inherently challenging due to its non-convex structure. To address this complexity, we decompose the original MDOP into a series of interrelated and easily solvable sub-problems and design an iterative algorithm to improve the convergence speed and solution accuracy.
- The numerical results demonstrate that the developed algorithm outperforms various benchmark algorithms with significant improvements, providing important methodological support and a practical basis for subsequent theoretical research and technological innovation in related fields.
Regarding the layout of this paper, Section 2 is dedicated to deriving analytical expressions of the link gain within eavesdropping channels and related channel modeling. Section 3 systematically elaborates the derivation process of the developed algorithm. Section 4 showcases the research results using extensive numerical experiments, employing statistical analysis and comparative studies to interpret the data comprehensively. Finally, Section 5 comprehensively summarizes the core contributions of this paper, objectively analyzes the research limitations, and suggests prospects for future research directions.
2. System Model and Methods
2.1. System Model
A UAV-WSN system assisted by an RIS is investigated, in which a UAV-L acts as a mobile sink center to collect data from ground SNs, and a UAV-E acts as a potential eavesdropper in the system, attempting to intercept the uploading data. A friendly jammer located on the ground emits CJ signals with the aim of impairing the operation of the UAV-E. Moreover, the RIS collaborates with SNs to enhance the link gain toward the elevated UAV-L. An RIS-assisted UAV-WSN scenario including the existence of a malicious UAV-E is shown in Figure 1.
Figure 1.
RIS-assisted UAV-WSN scenario with cooperative jamming.
As depicted in the system model of Figure 1, we postulate that all nodes—multiple SNs, a UAV-L, a jammer, and a UAV-E—feature standard omnidirectional antenna. Let denote the collection of SNs, with SNm representing the SN. Supposing the mission time of the elevated UAV-L is , it is partitioned into time slots, each with a duration of , ensuring under the condition . Without loss of generality, all communication nodes are assumed to be positioned within a three-dimensional cartesian coordinate system. The coordinates of the elevated UAV-L in the plane are denoted by , with the vertical height of the UAV-L remaining invariable throughout the mission time. We postulate that the horizontal coordinates of the SNm, the UAV-E, and the RIS are , , and , respectively. Also, we assume that the UAV-L and UAV-E fly at fixed altitudes of and throughout the given flight period. Given the need to avoid crashing into buildings, it is assumed that both and are higher than the height of the buildings. Additionally, and are predefined as the initial coordinates and final coordinates in the horizontal plane for the elevated UAV-L, respectively. Given that each equal-duration time slot is small compared to the characteristic time, the elevated UAV-L can be approximated as static during each slot. Consequently, the following constraints can be rigorously derived and mathematically expressed:
Here, represents the peak velocity of the UAV-L when it moves horizontally.
In addition, to prevent collisions between the UAV-L and UAV-E, the flight distance between the two UAVs in adjacent time slots should meet the following constraint.
Here, represents the minimum safe flight distance between the UAV-L and UAV-E.
In this scenario, the SNs send confidential signals. In the time slot, their transmission power is denoted as , and this transmission power needs to satisfy the constraints of the average power and the maximum power .
In the system under consideration, communication links are of two types—line-of-sight (LoS), direct paths without obstructions, and non-line-of-sight (NLoS), indirect paths with scattering objects. It is assumed that the RIS is mounted on the façade of a building for NLoS transmission link quality improvement. Moreover, passive reflective units (PRUs) are configured into uniform linear arrays (ULAs) to compose the RIS. The PSM of the RIS is denoted as , where the diagonal element , indicates a set of independent phase shifters, each controlling a PRU.
Within convoluted and challenging environments, we find that the LoS-dominant link in Air-to-Ground (A2G) scenarios exhibits high susceptibility to obstruction. This susceptibility is primarily attributed to the combined effect from imposing skyscrapers and multipath scattering from dense urban forests that can impede the unobstructed propagation of signals. Rayleigh fading channel models are employed to represent the direct link from ground SNs to both the elevated UAV-L and the elevated UAV-E, as well as from the jammer to the UAV-E, as described in [31].
For the propagation paths from SNs on the ground to both the elevated UAV-L and the elevated UAV-E, indicates reference gain corresponding to distance , and serves as the path loss attenuation exponent. For a specified time slot, is the distance from the SNm to the UAV-L, while is the 3D distance from the SNm to the elevated UAV-E. In addition, the distances separating the jammer from the UAV-E are expressed by . The variables , , and are assumed to follow an independent and identical distribution. They are specifically modeled to be accurate Circularly Symmetric Complex Gaussian (CSCG) variables.
According to the description in [38], the uplink from the RIS to the elevated UAV-L is considered to mainly comprise LoS links. This can be attributed to the vertical elevations of the RIS and the UAV-L, as well as the absence of any obstacles. Consequently, for the sake of mathematical representation and analysis, the uplink gain is represented as follows:
where and are the distance from the RIS to both the UAV-L and the UAV-E.
In this context, and are the wavelength and antenna separation, respectively. and stand for the angle of deviation (AoD) cosine from the RIS to both the elevated UAV-L and the elevated UAV-E in each time slot, respectively.
When compared to the relatively direct connection between the RIS and both the elevated UAV-L and the elevated UAV-E, the link from the SNs and the jammer to the RIS exhibits greater complexity, encompassing both LoS and NLoS components. Therefore, following the approach in [33], it adheres to the Rician distribution to model LOS-dominant channels.
where represents the path loss exponent from the SNs and the jammer to the RIS. During each time slot, the distance from the SNm to the RIS is , and the distance from the jammer to the RIS is . and are formulated as follows:
Here, the Rician factor is represented by , while the LOS-dominant component follows a form analogous to Formula (7a) and (7b). Specifically, and denote the AoD cosine of the SNm-to-PRU signal. Moreover, the CSCG distribution is adhered to by the NloS component , analogous to variables and . To simplify the analysis and make the calculations more manageable, the complex vector can be further expressed as follows:
Here, the phase angles of the multipath component are represented by and , , .
Herein, we assume that the channel state information (CSI) is accurately and comprehensively known. UAV-Ls possess the ability to ascertain the location of UAV-Es through the utilization of a hyperspectral imager. Analogously, SNs equipped with similar devices are capable of detecting and tracking the position of the potential UAV-E. During the communication between SNm and the UAV-L in the time slot, the mathematical expressions for SNR received by both the UAV-L and UAV-E can be given as follows:
where represents the transmit power of SNm within each time slot and denotes the power of the jammer used to transmit artificial noise (AN). When SNm sends a signal within a specified time slot, the communication rates achievable by UAV−L and UAV−E are as follows:
where the bandwidth is denoted by . An expression specifying the secrecy bits is given, indicating the reliable and secure information transmissible by SNm.
where .
In addition, the Time Division Multiple Access (TDMA) scheme is adopted as a channel access mechanism for SNs to establish a communication link with the UAV-L, which provides a number of significant advantages. One of its key strengths is a high level of spectrum utilization. Additionally, it has a robust anti-interference capability, which helps maintain stable communication even in the presence of various sources of interference. Furthermore, TDMA is highly flexible, allowing for easy adaptation to different communication requirements and network scenarios. By defining as the proportion of time that is assigned for the SNm to the UAV-L in the time slot, we can obtain the following:
On the other hand, there is a QoS constraint for each SN, which is known as the upload requirement. Defining as the basic upload requirement of SNm in time slot , we have the following:
Subsequently, what is defined as the secure bits is as follows:
2.2. Methods
Taking into account the above analysis, we aim to maximize the real-time secrecy bits via the joint optimization of the transmit power , the PSM of the RIS , and the frame length and flight trajectories of the UAV-L . As a result, the optimization problem we are considering can be framed as follows:
Constraint (1a) specifies the initial and final horizontal position limits for the UAV-L, while (1b) enforces its maximum horizontal velocity constraint. Constraint (2) ensures a minimum safe separation distance between the UAV-L and UAV-E. Constraint (4) defines the limitations of the RIS phase shift matrix, (14) determines the frame length, and (15) sets the quality of service (QoS) requirements. Notably, problem (17) exhibits non-convexity, rendering it unsolvable through direct methods. To address this complex optimization challenge, we will systematically elaborate on effective solution strategies below.
s.t. (1)–(4), (14), (15).
3. Proposed Algorithm
The optimization problem becomes more complex when considering additional constraints. The following sub-problems are derived from the decomposition of the original optimization problem. When optimizing one variable, the other three variables remain fixed.
3.1. Phase Shift Matrix Optimization
Given the fixed values of , , and in this subsection, we optimize . Thereafter, the original MDOP can be re-expressed as follows:
s.t. (4).
Just as described in [33], during the process of designing the RIS phase shift matrix, the triangle inequality is relevant. When the equality within this inequality is met, the elevated UAV-L is capable of achieving the highest possible SNR. As [33] shows, such a case suggests that the UAV-L can realize its maximum secure bits when the phase of the direct link signal is equal to the phase of the reflected signal. Subsequently, we derive the following:
Here, is defined as the element of , with being the element of .
3.2. Frame Length Optimization
Given the fixed values of , , and in this subsection, we optimize . As a result, the original MDOP can be re-expressed as follows:
s.t. (14), (15).
Given that the objective function is affine and constraint (14) is convex, can be characterized as a convex optimization problem, and the CVX toolbox can be leveraged to effectively resolve such convex problems.
3.3. Transmit Power of SNm Optimization
Given the fixed values of , , and in this subsection, we optimize . Hence, the original MDOP can be re-expressed as follows:
s.t. (3), (15).
By introducing the auxiliary variables and , problem (21) is transformed as follows:
s.t. (3), (15).
3.4. Trajectory Optimization
Given the fixed values of , , and in this subsection, we optimize . As a consequence, the original MDOP can be re-expressed as follows:
s.t. (1), (2), (15).
For the sake of transforming the problem into a solvable form, the slack variable is introduced. Problem (23) enables us to rewrite it as shown below.
s.t.
(1), (2)
Despite the introduction of auxiliary variables, the non-convex constraint in problems (24b) and (24c) still poses significant challenges in terms of solution. Therefore, the SCA serves as a solution to the problem. With the phase shift of the RIS complying with (19), derivation proceeds as follows:
where and .
The slack variables and are introduced to relax the original constraints, satisfying and . Thus, the lower bound on the transmission rate can be re-expressed as follows:
where . represents the value of variable at the iteration, while represents the value of variable at the iteration. It is feasible to transform (26) into the following inequality:
where
For variables and , the constraint can be re-expressed as follows:
After applying the Taylor first-order expansion to constraint (2), we have the following:
where represents the FT of the UAV-L during the iteration. Hence, the problem of FT optimization is reformulated as follows:
s.t.
(27), (30).
The BCD is applied to iteratively solve the original MDOP and yield a suboptimal solution, and Algorithm 1 clearly presents the detailed steps of this algorithm. Since the objective value monotonically decreases during the iterative process, the algorithm converges to a predefined precision, .
| Algorithm 1. Cooperative Jamming Joint Optimization Algorithm (CJJOA). |
| 1: Input: Let is the iteration index, and initialize variables along with the precision 2: Iterative Loop Repeat:
The objective value of Equation (31) tends to approach convergence. |
| 4: Output Final variables |
As a key part of the performance evaluation, the complexity analysis is shown in Table 1. It decomposes the original MDOP into four one-dimensional subtasks, with the total complexity analyzed as module-wise contributions. Among them, and , respectively, represent the maximum allowed iterations of subtask 3 and subtask 4.
Table 1.
Complexity analysis.
Furthermore, it should be added that Table 2 illustrates how a single UAV weakens system performance in multi-attack scenarios.
Table 2.
Multi-scenario adaptability analysis.
4. Numerical Results and Analysis
To validate the proposed joint optimization framework encompassing transmit power, the RIS phase shift matrix, frame length, and flight trajectory, we conduct comprehensive simulations within a operational area. The SNs are strategically deployed at the horizontal coordinates , , and , while the jammer is positioned at . The UAV-L initiates its flight from the initial position and the final position is , whereas the UAV-E follows a line trajectory from to . With specified as the antenna separation and as the iteration precision, Table 3 provides a comprehensive breakdown of the values of the remaining parameters.
Table 3.
Simulation parameter configuration.
To comprehensively demonstrate the superiority of the developed CJJOA scheme, we conduct a comparative analysis with the following baseline schemes.
CJJOA/NRIS scheme: this scheme jointly optimizes the TP of SNs, the FL of time slots, and the FT of the UAV-L, but does not incorporate an RIS in the optimization process.
CJJOA/NFLO scheme: Here, the TP of SNs, the FT of the UAV-L, and the PSM of the RIS are collaboratively optimized. However, the FL of time slots is not considered for optimization.
CJJOA/NFTO scheme: in this scheme, the PSM of the RIS, the FL of time slots, and the TP of the UAV-L are collaboratively optimized, while the FT of the UAV-L remains unoptimized.
CJJOA/NRPO scheme: the collaborative optimization involving the TP of the UAV-L, the FL of time slots, and the FT of the UAV-L is carried out in this scheme, whereas the optimization of the PSM of the RIS is not considered.
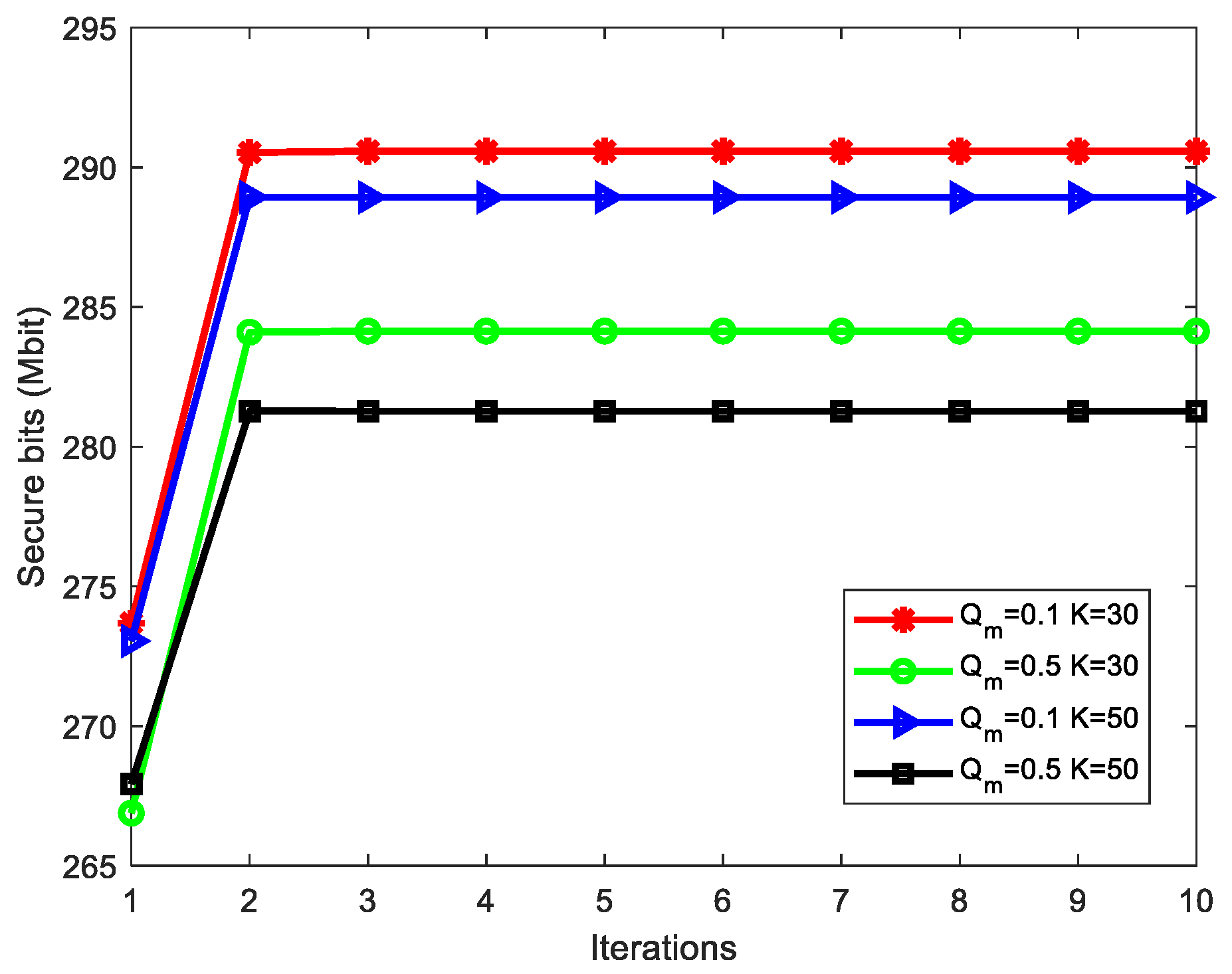
Figure 2 provides a visual demonstration of the convergence of the developed CJJOA under varying transmit power constraints and for . As we can see, the legend explicitly differentiates parameter combinations, enabling systematic comparison of the performance of the CJJOA. As depicted in Figure 2, the algorithm achieves finite-iteration convergence across all tested parameter sets, confirming its computational efficiency and operational reliability in practical UAV-assisted scenarios. A positive correlation emerges between system security performance and parameter scaling. As the parameters and grow, the secure bits increase in a monotonic manner. This robust convergence behavior underscores the efficiency and reliability of the proposed algorithm, ensuring its practical applicability in achieving stable and optimal solutions in a timely manner. Additionally, Figure 2 reveals an intriguing trend. As and increase, the secure bits also exhibit a corresponding upward trend. This phenomenon can be attributed to the fundamental principles of communication theory. Specifically, an increase in , representing enhanced transmit power, leads to stronger signals that are better equipped to overcome transmission attenuation, thereby ensuring accurate data reception. Simultaneously, a higher value of , indicative of a larger number of RIS elements, enables more effective jamming mitigation. By configuring the RIS to reflect and manipulate signals in a more sophisticated manner, the system can significantly reduce external interference. Consequently, the combined effects of stronger signals and reduced interference enable the system to achieve a higher number of secure bits, thereby enhancing its overall security performance.
Figure 2.
Convergence analysis of CJJOA scheme under varying values of and .
Figure 3 depicts the FT of the UAV-L under varying schemes when . In both the developed CJJOA scheme and the CJJOA/NRPO scheme, the UAV-L demonstrates a strategic trade-off when coordinating the spatial relationship between the RIS and SNs. Specifically, the UAV-L dynamically adjusts its flight trajectory to balance the communication requirements of both the RIS and SNs. A marked divergence emerges when comparing the CJJOA/NFLO scheme with other configurations. The frame length optimized scheme exhibits a pronounced trajectory shift toward SN clusters, attributable to the enhanced data transmission efficiency caused by temporal parameter optimization. This spatial adaptation enables the UAV-L to prioritize service delivery to SNs through refined scheduling mechanisms. Conversely, the baseline CJJOA/NFLO configuration displays stronger spatial affinity toward the RIS, suggesting that temporal optimization substantially influences channel resource allocation efficiency. This indicates that the FL optimization significantly enhances link utilization compared to other schemes.
Figure 3.
Comparison trajectory of UAV-L with .
The differences from the CJJOA/NRIS scheme are also notable. Since the CJJOA/NRIS scheme does not introduce an RIS to improve the channel quality, and considering the presence of the UAV-E, when providing services to SN1 and SN2, the UAV-L in the CJJOA/NRIS scheme will prioritize providing communication services from a closer position. This is because the jammer is located very close to the positions of SN1 and SN2. As for SN3, due to its relatively far distance from the jammer and the proximity of the UAV-E to SN3, the CJJOA/NRIS scheme will choose not to approach SN3 at this time.
However, for the proposed scheme CJJOA, with the introduction of the RIS to enhance the channel quality, the situation changes. When at the positions related to SN1 and SN2, the optimal position of the UAV-L is no longer close to the SNs themselves, but rather at a position between the SNs and the RIS. This is because the link quality can be effectively improved by the RIS through reflecting signals with adjustable phase shifts, and the elevated UAV-L can take advantage of this improved channel by positioning itself in an intermediate location. When it comes to SN3, although it is far from the RIS, the RIS can still enhance the channel and counteract the artificial noise of the jammer. Considering the presence of the UAV-E between the SNs and the RIS, the optimal position of the UAV-L at this time is the closest position to SN3, that is, directly above SN3. This strategic positioning maximizes the communication efficiency and security of SN3 under the complex communication environment.
Figure 4 demonstrates the secure bits for each time slot of CJJOA/NRPO. When conducting a comparison of the QoS constraints between Mbit/s and Mbit/s, it is observed that SN3 is at a relatively large distance from the jammer. In the context of secure communication, artificial noise serves as a means to disrupt potential eavesdropping activities. However, due to the significant distance between SN3 and the jammer, the artificial jamming noise fails to effectively reach SN3 with sufficient intensity. This insufficient influence of artificial noise indicates that it cannot ensure the secure communication performance of SN3. As a result, although the QoS of SN3 can be guaranteed to a certain extent, no additional resources will be allocated to it. The main reason for this is the poor channel conditions that SN3 experiences. Given the large distance from the jammer, the communication channel for SN3 is likely to be affected by various factors such as path loss, multi-path fading, and interference from other sources. Allocating more resources to SN3 under such circumstances could not lead to a proportional improvement in its communication performance. Therefore, it is more rational to refrain from further resource allocation.
Figure 4.
Secure bits for each time slot of CJJOA/NRPO under different QoS.
Figure 5 provides unambiguous confirmation of the time slots’ allocation. As increases, it triggers a change in the frame length allocation for the SNs. Under the influence of diverse QoS constraints, the system meticulously allocates resources to ensure that the QoS requirements are met. When the data rate demand reaches Mbit/s, the UAV-L will select SN1 and SN3 for communication. This selection is mainly due to the presence of the UAV-E. Although SN2 has the potential to enhance its channel quality with the assistance of the RIS, when the UAV-E approaches the legitimate UAV-L, the eavesdropped channel quality of the UAV-E also improves. This degradation of the eavesdropped channel results in a substantial reduction in leaked information. This leads to the UAV-L allocating the minimum amount of resources to SN2 just to meet the basic QoS requirements, so as to avoid excessive information leakage. When the data rate demand further increases to Mbit/s, QoS becomes a crucial and pressing issue that SN2 must address. To meet the elevated QoS requirements, additional resources need to be allocated to SN2. This allocation leads to an increase in the minimum frame length for SN2, as more data need to be transmitted within each frame. Meanwhile, due to the limited total resources available in the system, the maximum frame length for other SNs will decrease. This dynamic adjustment of frame lengths under different QoS-related scenarios reflects the complex resource allocation strategies within the communication system to balance communication efficiency, security, and QoS satisfaction.
Figure 5.
for each time slot of CJJOA under different QoS.
Figure 6 clearly verifies the time slot allocation depicted in Figure 4, where SN1 and SN3 are capable of simultaneously establishing excellent secure communication channels. This is mainly because their SNRs remain relatively stable within the allocated time slots, and there are no significant interference sources nearby. For SN2, although quality enhancement from factors like transmission protocol optimization or antenna angle adjustment exists, this improvement is compromised by the elevated UAV-E, which poses a major threat to its communication security. The UAV-E has the capability to intercept the communication signals of SN2 within a certain range, resulting in information leakage and consequently deteriorating the communication security. As a result, SN2 can only just meet the QoS requirements. In the pursuit of maximizing the secure communication rate, the system will not allocate additional resources to SN2. This is a rational decision based on the overall consideration of system performance. By focusing resources on SN1 and SN3, which can achieve a better balance of secure communication, the overall secure communication rate of the system can be effectively improved.
Figure 6.
Secure bits for each time slot of CJJOA under different QoS.
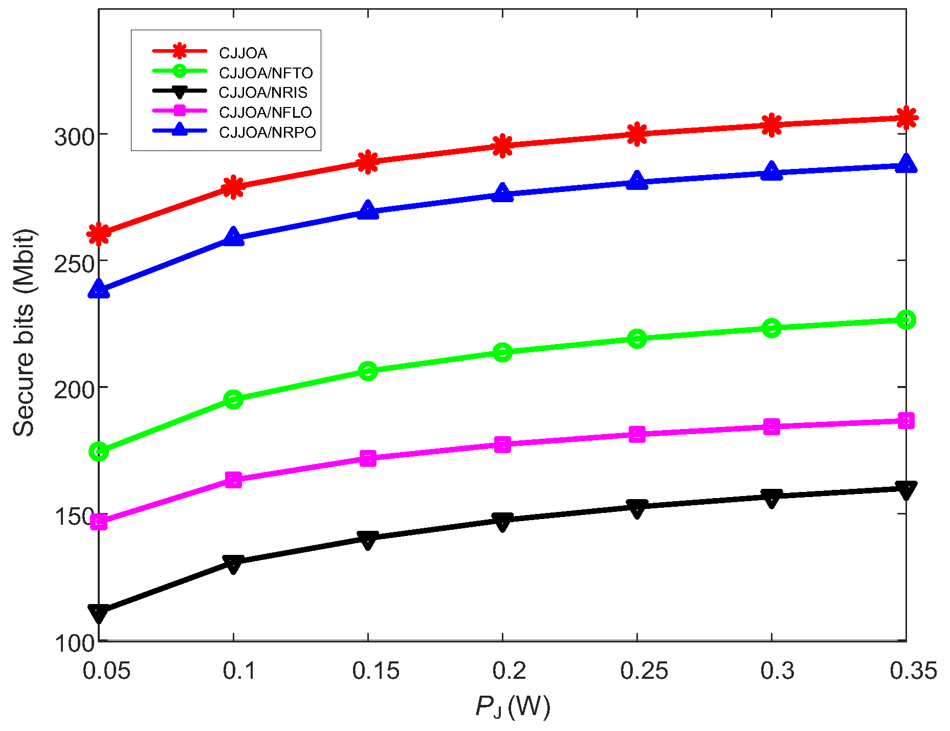
Figure 7 clearly demonstrates that the integration of an RIS into the communication system can significantly boost the secure communication capability. When comparing different schemes, it is evident that the performance of CJJOA/NRPO falls short of that of the proposed scheme. This performance gap highlights the critical importance of RIS phase optimization. In the context of the RIS, the accurate tuning of phases can significantly impact the signal propagation and interference management, directly influencing the security of communication. Furthermore, the effectiveness of the developed approach shows a positive correlation with the increase in . As the RIS scales to a larger number of units, the security performance is enhanced. This is because an increased number of units in the RIS provides more degrees of freedom during signal manipulation. It enables more precise control over the signal reflection, focusing, and interference cancellation, thereby effectively improving the security. In conclusion, the findings presented in Figure 7 underscore the superiority of the CJJOA scheme and offer profound insights into the key factors for enhancing communication security in complex scenarios.
Figure 7.
Influence of on security across various schemes.
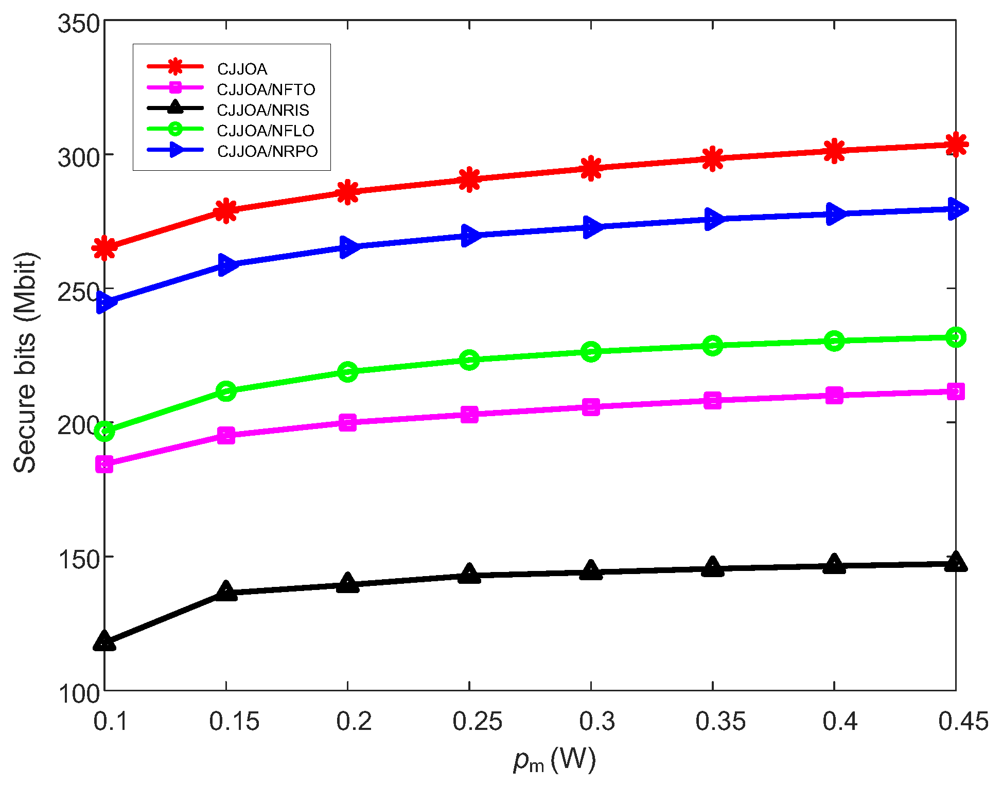
Figure 8 clearly illustrates the influence of on the security within the communication system. As gradually increases, the secure rate initially exhibits an increasing trend. This can be primarily attributed to the growth of the transmission power, as the transmitted communication rate also rises. During this process, although the amount of leaked information increases simultaneously, the growth rate of the communication rate is significantly higher than that of the leaked information. Consequently, the secure communication rate experiences positive growth. However, when reaches a certain level, a change occurs. The growth rate of the communication rate starts to decline, while the leaked information continues to increase steadily. This leads to a slowdown in the growth rate of the secure communication rate. Notably, the proposed algorithm CJJOA demonstrates remarkable advantages in this context. It has the ability to boost the growth rate of the communication rate while effectively reducing the growth rate of the leaked information. By doing so, it substantially strengthens the security of the whole system, making it a more reliable and efficient solution for ensuring communication security.
Figure 8.
Influence of on security across various schemes.
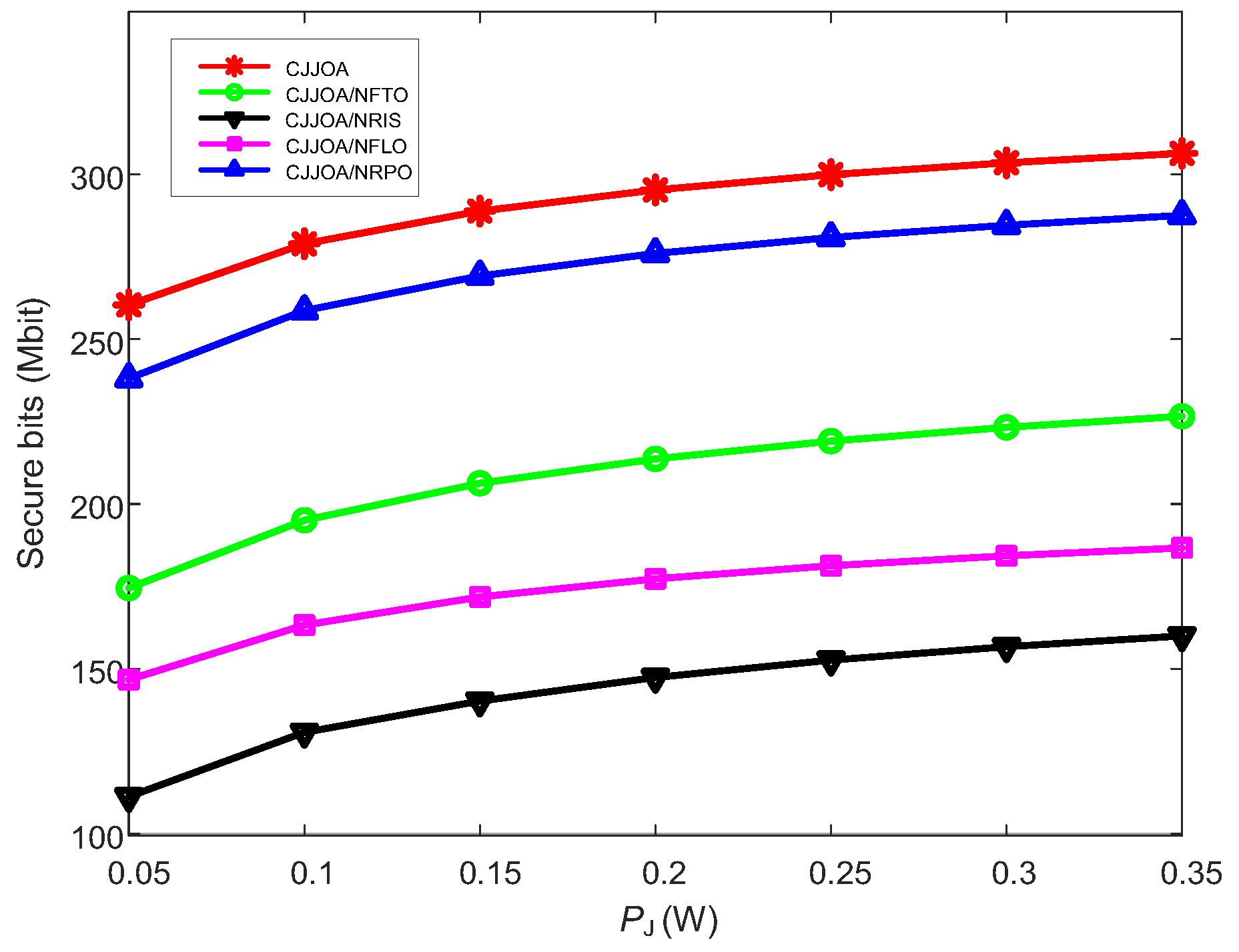
The significant influence of the of the jammer on the security is demonstrated in Figure 9. Within the complex communication scenario, artificial noise is essential for enhancing information security. By flooding the communication channel with numerous random signals that differ from legitimate communication signals, artificial noise effectively prevents the UAV-E from accurately extracting the intercepted communication information, thereby reducing information leakage. As shown in Figure 9, an interesting phenomenon can be observed as the power of artificial noise increases. While the secure communication rate continues to rise, its growth rate begins to slow down. This occurs because the increased artificial noise power further suppresses the eavesdropping capability of the UAV-E. However, as the friendly jamming power increases, the received SNR of the UAV-E decreases. As the jamming power escalates beyond a critical threshold, the SNR received by the UAV-E approaches zero. Therefore, when exceeds the threshold, it leads to the asymptotic constant phenomenon of secure bits.
Figure 9.
Influence of on security across various schemes.
5. Conclusions
In this research, we propose a scheme that comprehensively optimizes the PSM of the RIS, the TP of SNs, the FL of time slots, and the FT of the UAV-L simultaneously. To tackle the non-convexity challenge, we propose a novel scheme that leverages the BCD for parallel optimization and the SCA for convex relaxation, thereby ensuring guaranteed convergence. To show the performance of the developed algorithm in enhancing secure communication, simulation results are presented. Furthermore, the developed framework is scalable to multi-eavesdropper configurations, offering promising potential for enhancing security in complex scenarios. There are multiple prospective research paths that can be developed from the current work. For example, we can comprehensively expand the present structure to accommodate multiple eavesdroppers, thereby proficiently handling more complex and realistic scenarios. This expansion not only broadens the scope of our research, but also enables us to develop more robust solutions, effectively tackling the challenges presented by the complex and constantly evolving communication environment.
Author Contributions
Conceptualization, J.L. and G.W.; methodology, J.L. and W.W.; software, J.L.; validation, W.W. and J.Z.; formal analysis, J.L.; investigation, J.Z.; resources, Y.L.; data curation, G.W.; writing—original draft preparation, J.L. and Y.W.; writing—review and editing, G.W. and Y.L.; visualization, J.L. and Y.W.; supervision, G.W.; project administration, G.W.; funding acquisition, W.L. All authors have read and agreed to the published version of the manuscript.
Funding
This work is supported by the National Science Foundation of China, grant number 62271500.
Data Availability Statement
Dataset available on request from the authors.
Conflicts of Interest
The authors declare no conflicts of interest.
References
- Gao, X.; Zhu, X.; Zhai, L. AoI-sensitive data collection in multi-UAV-assisted wireless sensor networks. IEEE Trans. Wirel. Commun. 2023, 22, 5185–5197. [Google Scholar] [CrossRef]
- Yuan, X.; Hu, Y.; Zhang, J.; Schmeink, A. Joint user scheduling and UAV trajectory design on completion time minimization for UAV-aided data collection. IEEE Trans. Wirel. Commun. 2022, 22, 3884–3898. [Google Scholar] [CrossRef]
- Nguyen, K.K.; Duong, T.Q.; Do-Duy, T.; Claussen, H.; Hanzo, L. 3D UAV trajectory and data collection optimisation via deep reinforcement learning. IEEE Trans. Commun. 2022, 70, 2358–2371. [Google Scholar] [CrossRef]
- Zhai, D.; Wang, C.; Zhang, R.; Cao, H.; Yu, F.R. Energy-saving deployment optimization and resource management for UAV-assisted wireless sensor networks with NOMA. IEEE Trans. Veh. Technol. 2022, 71, 6609–6623. [Google Scholar] [CrossRef]
- Li, S.; Wu, F.; Luo, S.; Fan, Z.; Chen, J.; Fu, S. Dynamic online trajectory planning for a UAV-enabled data collection system. IEEE Trans. Veh. Technol. 2022, 71, 13332–13343. [Google Scholar] [CrossRef]
- Saxena, K.; Gupta, N.; Gupta, J.; Sharma, D.K.; Dev, K. Trajectory optimization for the UAV assisted data collection in wireless sensor networks. Wirel. Netw. 2022, 28, 1785–1796. [Google Scholar] [CrossRef]
- Zhang, R.; Pang, X.; Lu, W.; Zhao, N.; Chen, Y.; Niyato, D. Dual-UAV enabled secure data collection with propulsion limitation. IEEE Trans. Wirel. Commun. 2021, 20, 7445–7459. [Google Scholar] [CrossRef]
- Chen, X.; Zhao, N.; Chang, Z.; Hämäläinen, T.; Wang, X. UAV-aided secure short-packet data collection and transmission. IEEE Trans. Commun. 2023, 71, 2475–2486. [Google Scholar] [CrossRef]
- Xiong, X.; Sun, C.; Ni, W.; Wang, X. Three-dimensional trajectory design for unmanned aerial vehicle-based secure and energy-efficient data collection. IEEE Trans. Veh. Technol. 2022, 72, 664–678. [Google Scholar] [CrossRef]
- Wang, Y.; Su, Z.; Xu, Q.; Li, R.; Luan, T.H.; Wang, P. A secure and intelligent data sharing scheme for UAV-assisted disaster rescue. IEEE/ACM Trans. Netw. 2023, 31, 2422–2438. [Google Scholar] [CrossRef]
- Liu, Y.; Gao, J.; Lu, Y.; Cao, R.; Yao, L.; Xia, Y.; Han, D. Lightweight blockchain-enabled secure data sharing in dynamic and resource-limited UAV networks. IEEE Netw. 2024, 38, 25–31. [Google Scholar] [CrossRef]
- Wang, Z.; Tao, J.; Gao, Y.; Xu, Y.; Sun, W.; Gao, Y.; Li, W. Joint flight scheduling and task allocation for secure data collection in UAV-aided IoTs. Comput. Netw. 2022, 207, 108849. [Google Scholar] [CrossRef]
- Deng, Q.; Huang, S.; Li, Z.; Guo, B.; Xiang, L.; Ran, R. A secure data collection strategy using mobile vehicles joint UAVs in smart city. Comput. Netw. 2021, 199, 108440. [Google Scholar] [CrossRef]
- Wang, D.; Yang, Y.; Li, X.; Wang, C.; Liu, F.; Hu, Y. Energy-efficient and secure power allocation and trajectory optimization for UAV-enabled data collection in wireless sensor networks. J. Commun. Inf. Netw. 2022, 7, 333–348. [Google Scholar] [CrossRef]
- Lei, H.; Ran, H.; Ansari, I.S.; Park, K.H.; Pan, G.; Alouini, M.S. DDPG-based aerial secure data collection. IEEE Trans. Commun. 2024, 72, 5179–5193. [Google Scholar] [CrossRef]
- Fu, R.; Ren, X.; Li, Y.; Wu, Y.; Sun, H.; Al-Absi, M.A. Machine-learning-based UAV-assisted agricultural information security architecture and intrusion detection. IEEE Internet Things J. 2023, 10, 18589–18598. [Google Scholar] [CrossRef]
- Dang-Ngoc, H.; Nguyen, D.N.; Ho-Van, K.; Hoang, D.T.; Dutkiewicz, E.; Pham, Q.V.; Hwang, W.J. Secure swarm UAV-assisted communications with cooperative friendly jamming. IEEE Internet Things J. 2022, 9, 25596–25611. [Google Scholar] [CrossRef]
- Wang, W.; Li, X.; Zhang, M.; Cumanan, K.; Ng, D.W.K.; Zhang, G.; Tang, J.; Dobre, O.A. Energy-constrained UAV-assisted secure communications with position optimization and cooperative jamming. IEEE Trans. Commun. 2020, 68, 4476–4489. [Google Scholar] [CrossRef]
- Wang, Z.; Guo, J.; Chen, Z.; Yu, L.; Wang, Y.; Rao, H. Robust secure UAV relay-assisted cognitive communications with resource allocation and cooperative jamming. J. Commun. Netw. 2022, 24, 139–153. [Google Scholar] [CrossRef]
- Yin, Z.; Lin, Y.; Zhang, Y.; Qian, Y.; Shu, F.; Li, J. Collaborative multiagent reinforcement learning aided resource allocation for UAV anti-jamming communication. IEEE Internet Things J. 2022, 9, 23995–24008. [Google Scholar] [CrossRef]
- Zhou, J.; Wang, W.; Hong, X.; Zhang, C. Multi-UAV cooperative anti-jamming for GNSS signals based on frequency-domain power inversion. IEEE Sens. J. 2024, 24, 30778–30791. [Google Scholar] [CrossRef]
- Fang, C.; Feng, Y.; Li, X.; Yang, Y. Multi-UAV Energy-Efficient Detection Coverage Under Jamming Environment: A Hierarchical Collaborative Learning Approach. IEEE Trans. Veh. Technol. 2025, 74, 7351–7363. [Google Scholar] [CrossRef]
- Yin, Z.; Li, J.; Wang, Z.; Qian, Y.; Lin, Y.; Shu, F.; Chen, W. UAV communication against intelligent jamming: A Stackelberg game approach with federated reinforcement learning. IEEE Trans. Green Commun. Netw. 2024, 8, 1796–1808. [Google Scholar] [CrossRef]
- Hu, G.; Li, Z.; Si, J.; Xu, K.; Xu, D.; Cai, Y.; Al-Dhahir, N. Maxmin fairness for UAV-enabled proactive eavesdropping with jamming over distributed transmit beamforming-based suspicious communications. IEEE Trans. Commun. 2023, 71, 1595–1614. [Google Scholar] [CrossRef]
- Rahmatov, N.; Baek, H. RIS-carried UAV communication: Current research, challenges, and future trends. ICT Express 2023, 9, 961–973. [Google Scholar] [CrossRef]
- Guo, J.; Yu, L.; Chen, Z.; Yao, Y.; Wang, Z.; Wang, Z.; Zhao, Q. RIS-assisted secure UAV communications with resource allocation and cooperative jamming. IET Commun. 2022, 16, 1582–1592. [Google Scholar] [CrossRef]
- Shang, Y.; Peng, Y.; Ye, R.; Lee, J. RIS-assisted secure UAV communication scheme against active jamming and passive eavesdropping. IEEE Trans. Intell. Transp. Syst. 2024, 25, 16953–16963. [Google Scholar] [CrossRef]
- Ye, R.; Peng, Y.; Al-Hazemi, F.; Boutaba, R. A robust cooperative jamming scheme for secure UAV communication via intelligent reflecting surface. IEEE Trans. Commun. 2023, 72, 1005–1019. [Google Scholar] [CrossRef]
- Zou, C.; Li, C.; Li, Y.; Yan, X. RIS-assisted robust beamforming for UAV anti-jamming and eavesdropping communications: A deep reinforcement learning approach. Electronics 2023, 12, 4490. [Google Scholar] [CrossRef]
- Mughal, U.A.; Alkhrijah, Y.; Almadhor, A.; Yuen, C. Deep learning for secure UAV-assisted RIS communication networks. IEEE Internet Things Mag. 2024, 7, 38–44. [Google Scholar] [CrossRef]
- Gu, X.; Duan, W.; Zhang, G.; Sun, Q.; Wen, M.; Ho, P.H. Physical layer security for RIS-aided wireless communications with uncertain eavesdropper distributions. IEEE Syst. J. 2022, 17, 848–859. [Google Scholar] [CrossRef]
- Guo, Y.; Liu, Y.; Wu, Q.; Shi, Q.; Zhao, Y. Enhanced secure communication via novel double-faced active RIS. IEEE Trans. Commun. 2023, 71, 3497–3512. [Google Scholar] [CrossRef]
- Chen, Y.; Hao, C.; Feng, J.; Chen, G. Optimization of multi-user fairness in RIS-enhanced UAV secure transmission systems. Phys. Commun. 2024, 66, 102431. [Google Scholar] [CrossRef]
- Nguyen, T.T.; Hoang, T.M.; Tran, P.T. Secrecy performance optimization for UAV-based relay NOMA systems with friendly jamming. Comput. Commun. 2025, 235, 108086. [Google Scholar] [CrossRef]
- Liu, L.; Yao, R.; Xie, Y.; Fan, Y.; Zuo, X.; Xu, J.; Zhong, R.; Zheng, S.; Li, X. Joint Optimization of User Scheduling, Flight Path and Power Allocation in a UAV Secure Communication System. Electronics 2024, 13, 2443. [Google Scholar] [CrossRef]
- Lai, H.; Li, D.; Xu, F.; Wang, X.; Ning, J.; Hu, Y.; Duo, B. Optimization of full-duplex UAV secure communication with the aid of RIS. Drones 2023, 7, 591. [Google Scholar] [CrossRef]
- Zhao, H.; Xu, Z.; Ni, Y.; Sun, W.; Zhu, H.; Liu, Y.; Mo, Z. Optimization strategy of UAV-ARIS assisted vehicular communication system. IET Commun. 2024, 18, 1179–1190. [Google Scholar] [CrossRef]
- Dong, R.; Wang, B.; Cao, K.; Tian, J.; Cheng, T. Secure transmission design of RIS enabled UAV communication networks exploiting deep reinforcement learning. IEEE Trans. Veh. Technol. 2024, 73, 8404–8419. [Google Scholar] [CrossRef]
Disclaimer/Publisher’s Note: The statements, opinions and data contained in all publications are solely those of the individual author(s) and contributor(s) and not of MDPI and/or the editor(s). MDPI and/or the editor(s) disclaim responsibility for any injury to people or property resulting from any ideas, methods, instructions or products referred to in the content. |
© 2025 by the authors. Licensee MDPI, Basel, Switzerland. This article is an open access article distributed under the terms and conditions of the Creative Commons Attribution (CC BY) license (https://creativecommons.org/licenses/by/4.0/).








