A Hierarchical Control Algorithm for a Pursuit–Evasion Game Based on Fuzzy Actor–Critic Learning and Model Predictive Control
Abstract
1. Introduction
- (1)
- We combine fuzzy logic with RL and effectively solve learning problems involving fuzzy information and continuous state spaces through the FACL algorithm. By combining FACL with MPC, we propose a hierarchical framework to address the PEG of quadrotors.
- (2)
- We construct an underactuated quadrotor model and introduce an MPC approach for quadrotor control. Based on the reference signal provided by the FACL algorithm for MPC, we design altitude, translation, and attitude controllers for the quadrotor.
- (3)
- We provide experimental data based on the Gazebo platform and the actual quadrotor platform, which offer valuable reference cases for research on quadrotor PEG algorithms and system design.
2. The Algorithm for the Pursuit–Evasion Game Based on FACL
2.1. The Model of the Pursuit–Evasion Game
2.2. The Fuzzy Actor–Critic Learning Algorithm
3. MPC-Based Quadrotor Control
3.1. The Model of the Six-Degree-of-Freedom Quadrotor
3.2. The Control Objective of the PEG
3.3. Altitude Controller Design
3.4. Translation Controller Design
3.5. Attitude Controller Design
| Algorithm 1 The hierarchical control algorithm. |
|
4. Simulation and Experiment
4.1. Quadrotor PEG Results Based on FACL
4.2. Quadrotor PEG Results Based on MPC
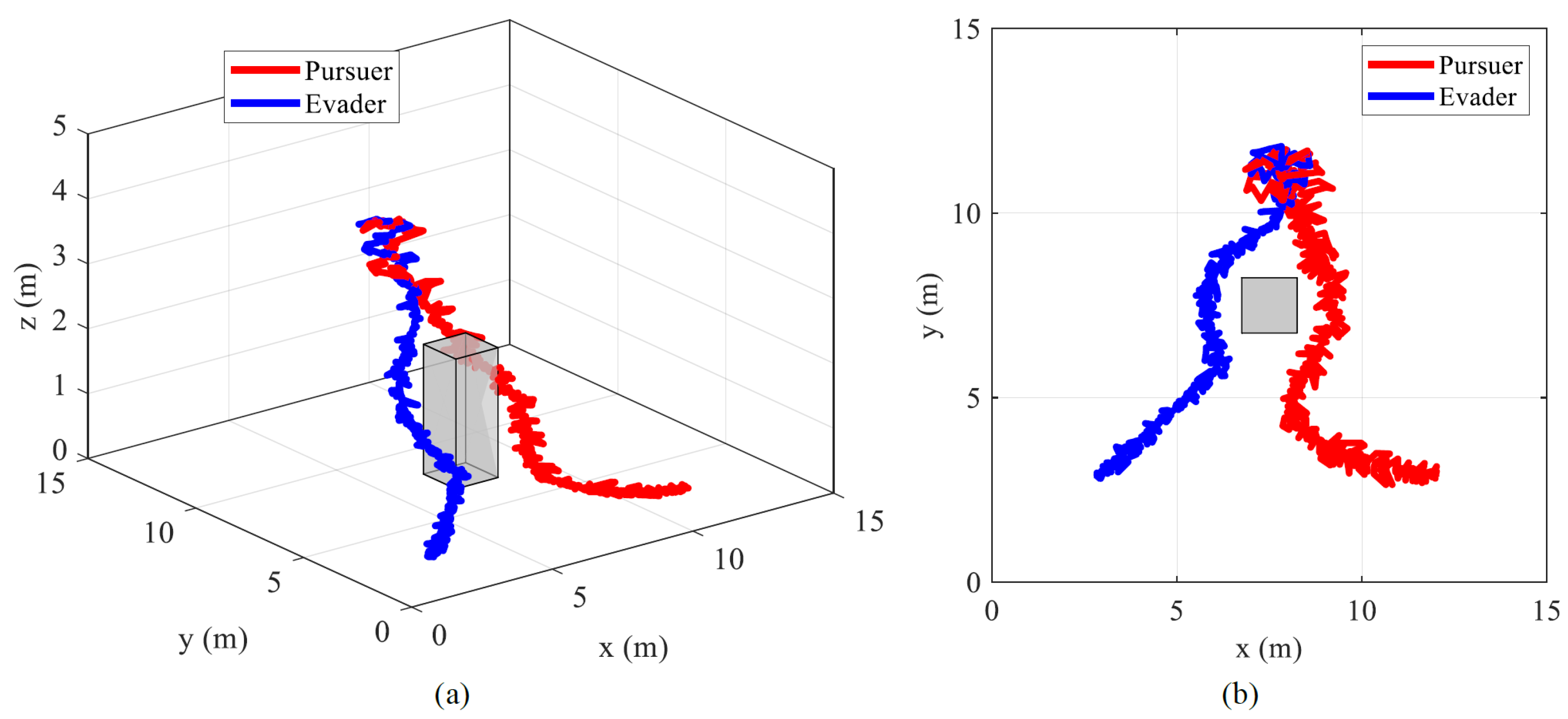
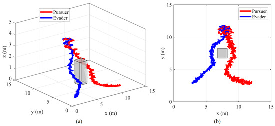
4.3. Quadrotor PEG Results Based on FACL and MPC
4.4. Indoor Experiment of Quadrotor PEG
4.5. Outdoor Experiment of Quadrotor PEG
5. Conclusions
Author Contributions
Funding
Data Availability Statement
Conflicts of Interest
References
- Weintraub, I.E.; Pachter, M.; Garcia, E. An introduction to pursuit-evasion differential games. In Proceedings of the 2020 American Control Conference (ACC), Denver, CO, USA, 1–3 July 2020; pp. 1049–1066. [Google Scholar]
- Isaacs, R. Differential Games; John Wiley and Sons: Hoboken, NJ, USA, 1965. [Google Scholar]
- Ho, Y.; Bryson, A.; Baron, S. Differential games and optimal pursuit-evasion strategies. IEEE Trans. Autom. Control 1965, 10, 385–389. [Google Scholar] [CrossRef]
- Sani, M.; Robu, B.; Hably, A. Pursuit-evasion game for nonholonomic mobile robots with obstacle avoidance using NMPC. In Proceedings of the 2020 28th Mediterranean Conference on Control and Automation (MED), Saint-Raphael, France, 15–18 September 2020; pp. 978–983. [Google Scholar]
- Sani, M.; Robu, B.; Hably, A. Limited information model predictive control for pursuit-evasion games. In Proceedings of the 2021 60th IEEE Conference on Decision and Control (CDC), Austin, TX, USA, 13–17 December 2021; pp. 265–270. [Google Scholar]
- Wang, C.; Chen, H.; Pan, J.; Zhang, W. Encirclement guaranteed cooperative pursuit with robust model predictive control. In Proceedings of the 2021 IEEE/RSJ International Conference on Intelligent Robots and Systems (IROS), Prague, Czech Republic, 27 September–1 October 2021; pp. 1473–1479. [Google Scholar]
- Qiu, T.; Zhang, H.; Wang, J. Nash pursuit strategy for nonzero-sum MPC game via inverse optimal control. In Proceedings of the 2022 13th Asian Control Conference (ASCC), Jeju, Republic of Korea, 4–7 May 2022. [Google Scholar]
- Manoharan, A.; Sujit, P.B. NMPC-Based cooperative strategy to lure two attackers into collision by two targets. IEEE Control. Syst. Lett. 2022, 7, 496–501. [Google Scholar] [CrossRef]
- Peng, Y.; Mo, T.; Zheng, D.; Deng, Q.; Wang, J.; Qu, D.; Xie, Y. Model Predictive Control-Based Pursuit-Evasion Games for Unmanned Surface Vessel. In Proceedings of the International Conference on Intelligent Robotics and Applications; Springer Nature: Singapore, 2023. [Google Scholar]
- Tang, L.; Wang, Z.; Du, H. A Game Guidance Law Based on Model Predictive Control. In Proceedings of the International Symposium on Automatic Control and Emerging Technologies, Kenitra, Morocco, 11–13 July 2023; pp. 142–154. [Google Scholar]
- Rodrigues, P.; Guerreiro, B. Non-cooperative Model Predictive Control for Capturing a Remotely Piloted Target Drone. In Iberian Robotics Conference; Springer Nature: Cham, Switzerland, 2023; pp. 74–85. [Google Scholar]
- Manoharan, A.; Baliyarasimhuni, S. Nonlinear Model Predictive Control Framework for Cooperative Three-Agent Target Defense Game. J. Intell. Robot. Syst. 2023, 108, 21. [Google Scholar] [CrossRef]
- De Souza, C.; Newbury, R.; Cosgun, A.; Castillo, P.; Vidolov, B.; Kulić, D. Decentralized multi-agent pursuit using deep reinforcement learning. IEEE Robot. Autom. Lett. 2021, 6, 4552–4559. [Google Scholar] [CrossRef]
- Zhang, R.; Zong, Q.; Zhang, X.; Dou, L.; Tian, B. Game of drones: Multi-UAV pursuit-evasion game with online motion planning by deep reinforcement learning. IEEE Trans. Neural Netw. Learn. Syst. 2022, 34, 7900–7909. [Google Scholar] [CrossRef] [PubMed]
- Kokolakis, N.M.T.; Vamvoudakis, K.G. Safety-aware pursuit-evasion games in unknown environments using gaussian processes and finite-time convergent reinforcement learning. IEEE Trans. Neural Netw. Learn. Syst. 2022, 35, 3130–3143. [Google Scholar] [CrossRef] [PubMed]
- Xu, J.; Zhang, Z.; Wang, J.; Han, Z.; Ren, Y. Multi-AUV Pursuit-Evasion Game in The Internet of Underwater Things: An Efficient Training Framework via Offline Reinforcement Learning. IEEE Internet Things J. 2024, 11, 31273–31286. [Google Scholar] [CrossRef]
- Ma, X.; Yuan, Y.; Guo, L. Hierarchical Reinforcement Learning for UAV-PE Game With Alternative Delay Update Method. IEEE Trans. Neural Netw. Learn. Syst. 2024, 1–13. [Google Scholar] [CrossRef] [PubMed]
- Zhang, H.; Zhao, W.; Ge, H.; Xie, X.; Yue, D. Distributed Model-Free Optimal Control for Multiagent Pursuit-Evasion Differential Games. IEEE Trans. Netw. Sci. Eng. 2024, 11, 3800–3811. [Google Scholar] [CrossRef]
- Li, F.; Yin, M.; Wang, T.; Huang, T.; Yang, C.; Gui, W. Distributed Pursuit-Evasion Game of Limited Perception USV Swarm Based on Multiagent Proximal Policy Optimization. IEEE Trans. Syst. Man, Cybern. Syst. 2024, 54, 6435–6446. [Google Scholar] [CrossRef]
- Chen, N.; Li, L.; Mao, W. Equilibrium Strategy of the Pursuit-Evasion Game in Three-Dimensional Space. IEEE/CAA J. Autom. Sin. 2024, 11, 446–458. [Google Scholar] [CrossRef]
- Xu, Z.; Yu, D.; Liu, Y.J.; Wang, Z. Approximate Optimal Strategy for Multiagent System Pursuit–Evasion Game. IEEE Syst. J. 2024, 18, 1669–1680. [Google Scholar] [CrossRef]
- Meng, Y.; Liu, C.; Wang, Q.; Tan, L. Cooperative Advantage Actor-critic Reinforcement Learning for Multi-agent Pursuit-evasion Games on Communication Graphs. IEEE Trans. Artif. Intell. 2024, 5, 6509–6523. [Google Scholar] [CrossRef]
- Hu, P.; Pan, Q.; Tan, Z. Pursuit-Evasion Game Based on Fuzzy Actor-Critic Learning with Obstacle in Continuous Environment. In Proceedings of the 2023 China Automation Congress (CAC), Chongqing, China, 17–19 November 2023; pp. 4822–4827. [Google Scholar]
- Hu, P.; Zhao, C.; Pan, Q. A Novel Method for a Pursuit–Evasion Game Based on Fuzzy Q-Learning and Model-Predictive Control. Drones 2024, 8, 509. [Google Scholar] [CrossRef]
- Schwartz, H.M. Multi-Agent Machine Learning: A Reinforcement Approach; John Wiley and Sons: Hoboken, NJ, USA, 2014. [Google Scholar]
- Xu, C.; Qin, T.; Wang, G.; Liu, T.Y. An Actor-critic Algorithm for Learning Rate Learning. In Proceedings of the 5th International Conference on Learning Representations, Toulon, France, 24–26 April 2016. [Google Scholar]
- Fan, B.; Sun, J.; Yu, Y. A LQR controller for a quadrotor: Design and experiment. In Proceedings of the 2016 31st Youth Academic Annual Conference of Chinese Association of Automation, Wuhan, China, 11–13 November 2016. [Google Scholar]
- Ihnak, M.S.A.; Mohamed, M.E. Comparing LQR and PID controllers for quadcopter control effectiveness and cost analysis. In Proceedings of the 2023 IEEE 11th International Conference on Systems and Control, Sousse, Tunisia, 18–20 December 2023. [Google Scholar]
- Asl, S.B.F.; Moosapour, S.S. Adaptive backstepping fast terminal sliding mode controller design for ducted fan engine of thrust-vectored aircraft. Aerosp. Sci. Technol. 2017, 71, 521–529. [Google Scholar]
- PX4 Vision Autonomy Development Kit | PX4 User Guide (main). 2023. Available online: https://docs.px4.io/main/en/complete_vehicles/px4_vision_kit.html#px4-vision-autonomy-development-kit (accessed on 26 February 2025).





















Disclaimer/Publisher’s Note: The statements, opinions and data contained in all publications are solely those of the individual author(s) and contributor(s) and not of MDPI and/or the editor(s). MDPI and/or the editor(s) disclaim responsibility for any injury to people or property resulting from any ideas, methods, instructions or products referred to in the content. |
© 2025 by the authors. Licensee MDPI, Basel, Switzerland. This article is an open access article distributed under the terms and conditions of the Creative Commons Attribution (CC BY) license (https://creativecommons.org/licenses/by/4.0/).
Share and Cite
Hu, P.; Zhao, C.; Pan, Q. A Hierarchical Control Algorithm for a Pursuit–Evasion Game Based on Fuzzy Actor–Critic Learning and Model Predictive Control. Drones 2025, 9, 184. https://doi.org/10.3390/drones9030184
Hu P, Zhao C, Pan Q. A Hierarchical Control Algorithm for a Pursuit–Evasion Game Based on Fuzzy Actor–Critic Learning and Model Predictive Control. Drones. 2025; 9(3):184. https://doi.org/10.3390/drones9030184
Chicago/Turabian StyleHu, Penglin, Chunhui Zhao, and Quan Pan. 2025. "A Hierarchical Control Algorithm for a Pursuit–Evasion Game Based on Fuzzy Actor–Critic Learning and Model Predictive Control" Drones 9, no. 3: 184. https://doi.org/10.3390/drones9030184
APA StyleHu, P., Zhao, C., & Pan, Q. (2025). A Hierarchical Control Algorithm for a Pursuit–Evasion Game Based on Fuzzy Actor–Critic Learning and Model Predictive Control. Drones, 9(3), 184. https://doi.org/10.3390/drones9030184

