What Are the Preferences of Chinese Farmers for Drones (UAVs): Machine Learning in Technology Adoption Behavior
Highlights
- ACO-DT model outperforms traditional ML in identifying potential drone users.
- Promotion time and UAV agriculture understanding are core for farmers’ adoption.
- Guidance for formulating phased agricultural drone promotion mechanisms is meaningful during optimal promotion cycle.
- Building hierarchical UAV cognitive education system for farmers can improve technology adoption level.
Abstract
1. Introduction
2. Literature Review
- ①
- Regarding agricultural drones, most current studies focus on the innovation and research and development of related engineering technologies, while relatively few studies focus on the acceptance and recognition of drones among farmers at the downstream of the industry (i.e., the application end) [80]. Additionally, there are few studies that use existing theories to explain (expected) adoption [81]. Issues such as which factors affect the promotion of agricultural drones and how to identify potential agricultural drone users lack in-depth discussion.
- ②
- The research scope of existing studies is relatively narrow, usually limited to a specific province or crop-producing area and rarely reveals the application characteristics and market demand trends of agricultural drones from a national perspective.
- ③
- In current studies, only questionnaire survey methods are mainly used to analyze the factors that farmers care about, but there is a lack of quantitative explanation and prediction of farmers’ preferences and potential purchase intentions.
- ①
- We designed our own survey questionnaire to obtain first-hand survey data from all over the country, covering a wide range of technology adoption preferences and survey subjects from different backgrounds.
- ②
- This study adopts a relatively novel machine learning method “Ant Colony Optimization-Decision Tree” (ACO-DT) and elaborates on it by combining SHAP value analysis. Particularly, this article compares the performance of the ACO-DT model with existing classical machine learning algorithms to ensure model fit, and based on the results of SHAP value analysis, provides targeted suggestions for the shortcomings of the current policy system.
3. Materials and Methods
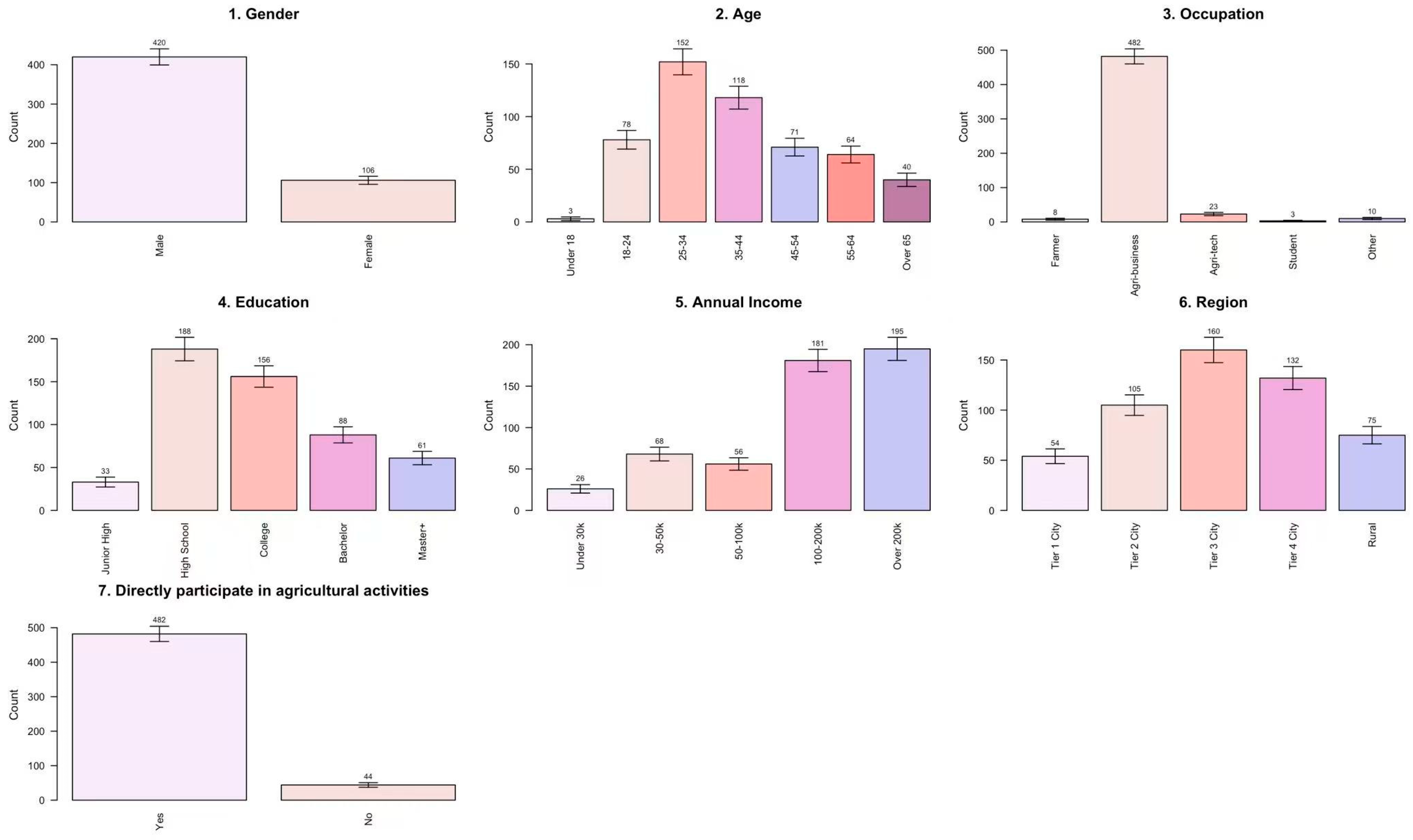
3.1. Data
3.2. Methodology
3.2.1. Reliability Analysis
3.2.2. Ant Colony Optimization-Decision Tree Classifier (ACO-DT)
- Step 1: Parameter Initialization
- ①
- Number of ants m: The number of artificial ants participating in the search determines the scale of parallel search. Here, we choose m = 10 to match the research data dimension, cover key feature combinations, and avoid computational redundancy.
- ②
- Number of iterations N: The maximum number of iterations before the algorithm terminates balancing search efficiency and accuracy. Here, we choose N = 15 to ensure the ACO fully searches for the optimal feature subset while avoiding increased computational costs due to excessive iterations.
- ③
- Pheromone (α,β): controls the importance of pheromones, while controlling the weight of heuristic information (such as the gain of feature splitting). Here, we choose α = 1 and β = 2 to balance the dependence on historical pheromone paths and the stability of search direction, while strengthening the guidance of heuristic information on feature selection, to avoid search disorder, and balance the target-oriented nature and diversity of search.
- ④
- Initial pheromone level τ0: The initial pheromone values of all feature splitting point paths, usually set as a constant. Here, we choose to ensure that the probability of each feature being selected by ants in the initial stage is equal.
- ⑤
- Maximum tree depth: Limit the complexity of the decision tree to avoid overfitting. Here, we choose maximum tree depth as 4 to limit model complexity and avoid overfitting.
- ⑥
- Number of features to consider at each split: Randomly select the number of candidates features during each round of splitting to reduce computational costs.
- ⑦
- Pheromone evaporation rate (ρ): Control the proportion of pheromone volatilization within the range of . Here, we choose ρ = 0.1 to retain search flexibility through moderate pheromone evaporation while maintaining the guiding value of effective paths.
- Step 2: Pheromone Matrix Initialization
- Step 3: Iterative Search Process
- ①
- Ants construct decision trees
- ②
- Fitness Evaluation
- ③
- Pheromone Update
- ④
- Track Global Best Tree
- Step 4: Termination Criterion
3.2.3. Other Typical Machine Learning (ML) Models for Classification
- ExtraTrees
- XGBoost
- LightGBM
- Support Vector Machine (SVM)
- The K-Nearest Neighbors (KNN)
- BP neural network (BP)
3.2.4. SHAP (Shapley Additive exPlanations) Value Analysis
4. Results
4.1. Reliability Test
4.2. Classification Performance of ACO-DT Model
4.3. Comparison Between ACO-DT and Other Machine Learning Models
4.4. Results of SHAP Value Analysis
4.4.1. Global Analysis
4.4.2. Local Analysis
4.4.3. Analysis of the Interaction Between Important Indicators
5. Discussion
5.1. The Current Policy System Still Has Limitations
5.2. Policy Suggestions Based on Results Can Be Established
5.2.1. Promote the Scientific Design Cycle and Establish a Phased Promotion Mechanism
5.2.2. Strengthen the Guidance of Technological Cognition and Establish a Hierarchical Education System
5.2.3. Improve Financial Support Measures and Reduce the Cost of Technology Application
5.2.4. Breaking Down Institutional and Data Barriers, Building a Collaborative Application Environment
5.3. Limitations and Future Research Directions
5.3.1. Limitation of the Study
5.3.2. Future Research Directions
6. Conclusions
Supplementary Materials
Author Contributions
Funding
Data Availability Statement
Conflicts of Interest
References
- Gu, D.; Andreev, K.; Dupre, M.E. Major trends in population growth around the world. China CDC Wkly. 2021, 3, 604. [Google Scholar] [CrossRef] [PubMed]
- Sadigov, R. Rapid growth of the world population and its socioeconomic results. Sci. World J. 2022, 2022, 8110229. [Google Scholar] [CrossRef]
- Van Dijk, M.; Morley, T.; Rau, M.L.; Saghai, Y. A meta-analysis of projected global food demand and population at risk of hunger for the period 2010–2050. Nat. Food 2021, 2, 494–501. [Google Scholar] [CrossRef] [PubMed]
- Wijerathna-Yapa, A.; Pathirana, R. Sustainable agro-food systems for addressing climate change and food security. Agriculture 2022, 12, 1554. [Google Scholar] [CrossRef]
- United Nations Department of Economic and Social Affairs. World Population Outlook: The Global Population is Expected to Reach 10.3 Billion by 2080. 2024. Available online: https://www.un.org/zh/node/137174 (accessed on 18 August 2025).
- Food and Agriculture Organization of the United Nations. FAO: Food Production Needs to Increase by 70% Within 40 Years to Feed Global Population. 2009. Available online: https://www.chinacourt.cn/article/detail/2009/09/id/376021.shtml (accessed on 18 August 2025).
- Hasegawa, T.; Sakurai, G.; Fujimori, S.; Takahashi, K.; Hijioka, Y.; Masui, T. Extreme climate events increase risk of global food insecurity and adaptation needs. Nat. Food 2021, 2, 587–595. [Google Scholar] [CrossRef]
- Barbieri, P.; Pellerin, S.; Seufert, V.; Smith, L.; Ramankutty, N.; Nesme, T. Global option space for organic agriculture is delimited by nitrogen availability. Nat. Food 2021, 2, 363–372. [Google Scholar] [CrossRef]
- Pomoni, D.I.; Koukou, M.K.; Vrachopoulos, M.G.; Vasiliadis, L. A review of hydroponics and conventional agriculture based on energy and water consumption, environmental impact, and land use. Energies 2023, 16, 1690. [Google Scholar] [CrossRef]
- Follmann, A.; Willkomm, M.; Dannenberg, P. As the city grows, what do farmers do? A systematic review of urban and peri-urban agriculture under rapid urban growth across the Global South. Landsc. Urban Plan. 2021, 215, 104186. [Google Scholar] [CrossRef]
- Henderson, K.; Loreau, M. A model of Sustainable Development Goals: Challenges and opportunities in promoting human well-being and environmental sustainability. Ecol. Model. 2023, 475, 110164. [Google Scholar] [CrossRef]
- Subedi, Y.R.; Kristiansen, P.; Cacho, O.; Ojha, R.B. Agricultural land abandonment in the hill agro-ecological region of Nepal: Analysis of extent, drivers and impact of change. Environ. Manag. 2021, 67, 1100–1118. [Google Scholar] [CrossRef] [PubMed]
- Li, H.; Song, W. Spatial transformation of changes in global cultivated land. Sci. Total Environ. 2023, 859, 160194. [Google Scholar] [CrossRef] [PubMed]
- Khondoker, M.; Mandal, S.; Gurav, R.; Hwang, S. Freshwater shortage, salinity increase, and global food production: A need for sustainable irrigation water desalination—A scoping review. Earth 2023, 4, 223–240. [Google Scholar] [CrossRef]
- Yuan, X.; Li, S.; Chen, J.; Yu, H.; Yang, T.; Wang, C.; Huang, S.; Chen, H.; Ao, X. Impacts of global climate change on agricultural production: A comprehensive review. Agronomy 2024, 14, 1360. [Google Scholar] [CrossRef]
- Rejeb, A.; Abdollahi, A.; Rejeb, K.; Treiblmaier, H. Drones in agriculture: A review and bibliometric analysis. Comput. Electron. Agric. 2022, 198, 107017. [Google Scholar] [CrossRef]
- Xiao, Y.; Zhao, J.; Zhang, Y.; Wang, S. Grain Self-Sufficiency in Guangdong, China: Current Trends and Future Perspectives. Foods 2025, 14, 1126. [Google Scholar] [CrossRef]
- Ren, X.; Zhao, J.; Wang, S.; Zhang, C.; Zhang, H.; Wei, N. Exploration of Dual-Carbon Target Pathways Based on Machine Learning Stacking Model and Policy Simulation—A Case Study in Northeast China. Land 2025, 14, 844. [Google Scholar] [CrossRef]
- Wang, S.; Yang, Y.; Yin, H.; Zhao, J.; Wang, T.; Yang, X.; Ren, J.; Yin, C. Towards Digital Transformation of Agriculture for Sustainable Development in China: Experience and Lessons Learned. Sustainability 2025, 17, 3756. [Google Scholar] [CrossRef]
- Zhao, J.; Yang, F.; Zhang, Y.; Wang, S. Increase in Grain Production Potential of China Under 2030 Well-Facilitated Farmland Construction Goal. Land 2025, 14, 1538. [Google Scholar] [CrossRef]
- Ray, S.; Haqiqi, I.; Hill, A.E.; Taylor, J.E.; Hertel, T.W. Labor markets: A critical link between global-local shocks and their impact on agriculture. Environ. Res. Lett. 2023, 18, 035007. [Google Scholar] [CrossRef]
- Al-Maruf, A.; Pervez, A.K.; Sarker, P.K.; Rahman, M.S.; Ruiz-Menjivar, J. Exploring the factors of farmers’ rural–urban migration decisions in Bangladesh. Agriculture 2022, 12, 722. [Google Scholar] [CrossRef]
- Chen, D.; Ma, Y. Effect of industrial structure on urban–rural income inequality in China. China Agric. Econ. Rev. 2022, 14, 547–566. [Google Scholar] [CrossRef]
- Zou, B.; Mishra, A.K. Modernizing smallholder agriculture and achieving food security: An exploration in machinery services and labor reallocation in China. Appl. Econ. Perspect. Policy 2024, 46, 1662–1691. [Google Scholar] [CrossRef]
- Shi, Y.; Osewe, M.; Anastacia, C.; Liu, A.; Wang, S.; Latif, A. Agricultural supply-side structural reform and path optimization: Evidence from China. Int. J. Environ. Res. Public Health 2022, 20, 113. [Google Scholar] [CrossRef] [PubMed]
- Trappey, A.J.; Lin, G.-B.; Chen, H.-K.; Chen, M.-C. A comprehensive analysis of global patent landscape for recent R&D in agricultural drone technologies. World Pat. Inf. 2023, 74, 102216. [Google Scholar] [CrossRef]
- Guebsi, R.; Mami, S.; Chokmani, K. Drones in precision agriculture: A comprehensive review of applications, technologies, and challenges. Drones 2024, 8, 686. [Google Scholar] [CrossRef]
- Borikar, G.P.; Gharat, C.; Deshmukh, S.R. Application of drone systems for spraying pesticides in advanced agriculture: A Review. In IOP Conference Series: Materials Science and Engineering; IOP Publishing: Bristol, UK, 2022; p. 012015. [Google Scholar]
- Patil, A.S.; Mailapalli, D.R.; Singh, P.K. Drone Technology Reshaping Agriculture: A Meta-Review and Bibliometric Analysis on Fertilizer and Pesticide Deployment. J. Biosyst. Eng. 2024, 49, 382–398. [Google Scholar] [CrossRef]
- Istiak, M.A.; Syeed, M.M.; Hossain, M.S.; Uddin, M.F.; Hasan, M.; Khan, R.H.; Azad, N.S. Adoption of Unmanned Aerial Vehicle (UAV) imagery in agricultural management: A systematic literature review. Ecol. Inform. 2023, 78, 102305. [Google Scholar] [CrossRef]
- Castaldo, J.H. Revolutionizing agriculture from the skies: Exploring the potential of spraying drones in precision farming. Cad. Ciência Tecnol. 2023, 40, e27284. [Google Scholar] [CrossRef]
- Quan, X.; Guo, Q.; Ma, J.; Doluschitz, R. The economic effects of unmanned aerial vehicles in pesticide application: Evidence from Chinese grain farmers. Precis. Agric. 2023, 24, 1965–1981. [Google Scholar] [CrossRef]
- Aslan, M.F.; Durdu, A.; Sabanci, K.; Ropelewska, E.; Gültekin, S.S. A comprehensive survey of the recent studies with UAV for precision agriculture in open fields and greenhouses. Appl. Sci. 2022, 12, 1047. [Google Scholar] [CrossRef]
- Awais, M.; Li, W.; Cheema, M.; Zaman, Q.; Shaheen, A.; Aslam, B.; Zhu, W.; Ajmal, M.; Faheem, M.; Hussain, S. UAV-based remote sensing in plant stress imagine using high-resolution thermal sensor for digital agriculture practices: A meta-review. Int. J. Environ. Sci. Technol. 2023, 20, 1135–1152. [Google Scholar] [CrossRef]
- Wu, T.; Li, M.; Qu, Y.; Wang, H.; Wei, Z.; Cao, J. Joint UAV Deployment and Edge Association for Energy-Efficient Federated Learning. IEEE Trans. Cogn. Commun. Netw. 2025. [Google Scholar] [CrossRef]
- Hu, J.; Chen, B.; Ghosh, B.K. Formation–circumnavigation switching control of multiple ODIN systems via finite-time intermittent control strategies. IEEE Trans. Control. Netw. Syst. 2024, 11, 1986–1997. [Google Scholar] [CrossRef]
- Daniel Lawrence, I.; Pavitra, A.R.R.; Karu, R.; Saravanan, M. An Advanced Application of UAV–Drone Technologies in Precision Agriculture for Seed Dropping, Fertilizers and Pesticides Spraying and Field Monitoring. Comput. Vis. Smart Agric. Crop Manag. 2025, 139–157. [Google Scholar]
- Safaeinejad, M.; Ghasemi-Nejad-Raeini, M.; Taki, M. Reducing energy and environmental footprint in agriculture: A study on drone spraying vs. conventional methods. PLoS ONE 2025, 20, e0323779. [Google Scholar] [CrossRef]
- Mahasneh, H. Drones in Agriculture: Real-World Applications and Impactful Case Studies. J. Nat. Sci. Rev. 2024, 2, 643–656. [Google Scholar] [CrossRef]
- Baskaya, E.; Bronz, M. Machine learning for drone operations: Challenge accepted. In Proceedings of the 2020 AIAA/IEEE 39th Digital Avionics Systems Conference (DASC), San Antonio, TX, USA, 11–15 October 2020; pp. 1–10. [Google Scholar]
- Zhang, H.; Wang, L.; Tian, T.; Yin, J. A review of unmanned aerial vehicle low-altitude remote sensing (UAV-LARS) use in agricultural monitoring in China. Remote Sens. 2021, 13, 1221. [Google Scholar] [CrossRef]
- Hassan, M.U.; Ullah, M.; Iqbal, J. Towards autonomy in agriculture: Design and prototyping of a robotic vehicle with seed selector. In Proceedings of the 2016 2nd International Conference on Robotics and Artificial Intelligence (ICRAI), Los Angeles, LA, USA, 22–26 April 2016; pp. 37–44. [Google Scholar]
- Sibanda, M.; Mutanga, O.; Chimonyo, V.G.; Clulow, A.D.; Shoko, C.; Mazvimavi, D.; Dube, T.; Mabhaudhi, T. Application of drone technologies in surface water resources monitoring and assessment: A systematic review of progress, challenges, and opportunities in the global south. Drones 2021, 5, 84. [Google Scholar] [CrossRef]
- Meivel, S.; Maheswari, S. Remote sensing analysis of agricultural drone. J. Indian Soc. Remote Sens. 2021, 49, 689–701. [Google Scholar] [CrossRef]
- Parmaksiz, O.; Cinar, G. Technology acceptance among farmers: Examples of agricultural unmanned aerial vehicles. Agronomy 2023, 13, 2077. [Google Scholar] [CrossRef]
- Idris, N.; Zulkifli, Z. Knowledge, attitude and practices of smart farming technology for small scale farmers in paddy production: A case study in Melaka. In IOP Conference Series: Earth and Environmental Science; IOP Publishing: Bristol, UK, 2024; p. 012032. [Google Scholar]
- Westbrooke, V.; Lucock, X.; Greenhalgh, I. Drone use in on-farm environmental compliance: An investigation of regulators’ perspectives. Sustainability 2023, 15, 2153. [Google Scholar] [CrossRef]
- Azizul, A.S.; El Pebrian, D.; Mustaffha, S.; Shamsi, S.M.; Zahari, M.K.; Ruslan, N.A. The use of drone for rice cultivation in Malaysia: Identification of factors influencing its farmers’ acceptance. J. Saudi Soc. Agric. Sci. 2023, 22, 461–468. [Google Scholar] [CrossRef]
- Nafar, N.; Fatemi, M.; Rezaei-Moghaddam, K. Decoding drone adoption in agriculture: A comparative analysis of behavioral models. Inf. Process. Agric. 2025, in press. [CrossRef]
- Biondo, A.; Rizzo, G.; Migliore, G.; Galati, A. Wine growers’ propensity to adopt digital precision farming technologies: Integrating risk attitudes to the Technology Acceptance Model. Res. Glob. 2025, 11, 100298. [Google Scholar] [CrossRef]
- Wu, X.; Li, L.; Tao, X.; Yuan, J.; Xie, H. Towards the Explanation Consistency of Citizen Groups in Happiness Prediction via Factor Decorrelation. IEEE Trans. Emerg. Top. Comput. Intell. 2025, 9, 1392–1405. [Google Scholar] [CrossRef]
- Wu, X.; Li, L.; Tao, X.; Xing, F.; Yuan, J. Happiness prediction with domain knowledge integration and explanation consistency. IEEE Trans. Comput. Soc. Syst. 2025, 12, 2949–2962. [Google Scholar] [CrossRef]
- Yang, Y.; Liu, J.; Meng, W.; Zhuo, Y.; Wu, Z. An integrated consensus reaching process for product appearance design decision-making: Combining trust and empathy relationships. Adv. Eng. Inform. 2025, 67, 103562. [Google Scholar] [CrossRef]
- Heiets, I.; Kuo, Y.-W.; La, J.; Yeun, R.C.; Verhagen, W. Future trends in UAV applications in the Australian market. Aerospace 2023, 10, 555. [Google Scholar] [CrossRef]
- Khan, N.; Ray, R.L.; Sargani, G.R.; Ihtisham, M.; Khayyam, M.; Ismail, S. Current progress and future prospects of agriculture technology: Gateway to sustainable agriculture. Sustainability 2021, 13, 4883. [Google Scholar] [CrossRef]
- Xu, W.; Wu, X.Y.; Liu, J.Z.; Yan, Y.S. Design of anti-load perturbation flight trajectory stability controller for agricultural UAV. Front. Plant Sci. 2023, 14, 1030203. [Google Scholar] [CrossRef]
- Shakhatreh, H.; Sawalmeh, A.H.; Al-Fuqaha, A.; Dou, Z.; Almaita, E.; Khalil, I.; Othman, N.S.; Khreishah, A.; Guizani, M. Unmanned aerial vehicles (UAVs): A survey on civil applications and key research challenges. IEEE Access 2019, 7, 48572–48634. [Google Scholar] [CrossRef]
- Olson, D.; Anderson, J. Review on unmanned aerial vehicles, remote sensors, imagery processing, and their applications in agriculture. Agron. J. 2021, 113, 971–992. [Google Scholar] [CrossRef]
- Bhosle, K.; Musande, V. Evaluation of CNN model by comparing with convolutional autoencoder and deep neural network for crop classification on hyperspectral imagery. Geocarto Int. 2022, 37, 813–827. [Google Scholar] [CrossRef]
- Tsouros, D.C.; Triantafyllou, A.; Bibi, S.; Sarigannidis, P.G. Data acquisition and analysis methods in UAV-based applications for Precision Agriculture. In Proceedings of the 2019 15th International Conference on Distributed Computing in Sensor Systems (DCOSS), Santorini Island, Greece, 29–31 May 2019; pp. 377–384. [Google Scholar]
- Uzhinskiy, A. Advanced technologies and artificial intelligence in agriculture. AppliedMath 2023, 3, 799–813. [Google Scholar] [CrossRef]
- Frankelius, P.; Norrman, C.; Johansen, K. Agricultural innovation and the role of institutions: Lessons from the game of drones. J. Agric. Environ. Ethics 2019, 32, 681–707. [Google Scholar] [CrossRef]
- Jang, G.; Kim, J.; Yu, J.-K.; Kim, H.-J.; Kim, Y.; Kim, D.-W.; Kim, K.-H.; Lee, C.W.; Chung, Y.S. Cost-effective unmanned aerial vehicle (UAV) platform for field plant breeding application. Remote Sens. 2020, 12, 998. [Google Scholar] [CrossRef]
- Cavalaris, C. Challenges and opportunities for cost-effective use of unmanned aerial system in agriculture. Unmanned Aer. Syst. Agric. 2023, 197–229. [Google Scholar]
- Cornejo-Velazquez, E.; Romero-Trejo, H.; Acevedo-Sandoval, O.-A.; Toriz-Palacios, A.; Clavel-Maqueda, M. Use of unmanned aerial vehicles (UAV) as an innovation in agriculture. Afr. J. Agric. Res. 2020, 16, 1665–1673. [Google Scholar] [CrossRef]
- Wang, L.; Lan, Y.; Zhang, Y.; Zhang, H.; Tahir, M.N.; Ou, S.; Liu, X.; Chen, P. Applications and prospects of agricultural unmanned aerial vehicle obstacle avoidance technology in China. Sensors 2019, 19, 642. [Google Scholar] [CrossRef]
- Wang, L.; Huang, X.; Li, W.; Yan, K.; Han, Y.; Zhang, Y.; Pawlowski, L.; Lan, Y. Progress in agricultural unmanned aerial vehicles (UAVs) applied in China and prospects for Poland. Agriculture 2022, 12, 397. [Google Scholar] [CrossRef]
- McCarthy, C.; Nyoni, Y.; Kachamba, D.J.; Banda, L.B.; Moyo, B.; Chisambi, C.; Banfill, J.; Hoshino, B. Can drones help smallholder farmers improve agriculture efficiencies and reduce food insecurity in Sub-Saharan Africa? Local perceptions from Malawi. Agriculture 2023, 13, 1075. [Google Scholar] [CrossRef]
- Velusamy, P.; Rajendran, S.; Mahendran, R.K.; Naseer, S.; Shafiq, M.; Choi, J.-G. Unmanned Aerial Vehicles (UAV) in precision agriculture: Applications and challenges. Energies 2021, 15, 217. [Google Scholar] [CrossRef]
- Gago, J.; Estrany, J.; Estes, L.; Fernie, A.R.; Alorda, B.; Brotman, Y.; Flexas, J.; Escalona, J.M.; Medrano, H. Nano and micro unmanned aerial vehicles (UAVs): A new grand challenge for precision agriculture? Curr. Protoc. Plant Biol. 2020, 5, e20103. [Google Scholar] [CrossRef] [PubMed]
- Testa, R.; Galati, A.; Schifani, G.; Migliore, G. Cost-effectiveness of conventional and precision agriculture sprayers in Southern Italian vineyards: A break-even point analysis. Precis. Agric. 2025, 26, 39. [Google Scholar] [CrossRef]
- Rodriguez, R. Perspective: Agricultural aerial application with unmanned aircraft systems: Current regulatory framework and analysis of operators in the United States. Trans. ASABE 2021, 64, 1475–1481. [Google Scholar] [CrossRef]
- Chavez, J.L.; Torres-Rua, A.F.; Woldt, W.E.; Zhang, H.; Robertson, C.C.; Marek, G.W.; Wang, D.; Heeren, D.M.; Taghvaeian, S.; Neale, C.M. A decade of unmanned aerial systems in irrigated agriculture in the Western US. Appl. Eng. Agric. 2020, 36, 423–436. [Google Scholar] [CrossRef]
- Nafar, N.; Fatemi, M.; Rezaei-Moghaddam, K.; Ghafouri, M. From Intention to Action: A Predictive Model for Drone Adoption towards Sustainability Among Iranian Farmers. Sustain. Futures 2025, 10, 101010. [Google Scholar] [CrossRef]
- Chuang, J.-H.; Wang, J.-H.; Liou, Y.-C. Farmers’ knowledge, attitude, and adoption of smart agriculture technology in Taiwan. Int. J. Environ. Res. Public Health 2020, 17, 7236. [Google Scholar] [CrossRef]
- Bai, A.; Kovách, I.; Czibere, I.; Megyesi, B.; Balogh, P. Examining the adoption of drones and categorisation of precision elements among Hungarian precision farmers using a trans-theoretical model. Drones 2022, 6, 200. [Google Scholar] [CrossRef]
- Michels, M.; von Hobe, C.-F.; Musshoff, O. A trans-theoretical model for the adoption of drones by large-scale German farmers. J. Rural Stud. 2020, 75, 80–88. [Google Scholar] [CrossRef]
- Zheng, S.; Wang, Z.; Wachenheim, C.J. Technology adoption among farmers in Jilin Province, China: The case of aerial pesticide application. China Agric. Econ. Rev. 2019, 11, 206–216. [Google Scholar] [CrossRef]
- Wachenheim, C.; Fan, L.; Zheng, S. Adoption of unmanned aerial vehicles for pesticide application: Role of social network, resource endowment, and perceptions. Technol. Soc. 2021, 64, 101470. [Google Scholar] [CrossRef]
- Zuo, A.; Wheeler, S.A.; Sun, H. Flying over the farm: Understanding drone adoption by Australian irrigators. Precis. Agric. 2021, 22, 1973–1991. [Google Scholar] [CrossRef]
- Degieter, M.; De Steur, H.; Tran, D.; Gellynck, X.; Schouteten, J.J. Farmers’ acceptance of robotics and unmanned aerial vehicles: A systematic review. Agron. J. 2023, 115, 2159–2173. [Google Scholar] [CrossRef]
- Adam, N.S.; El Pebrian, D. Factors affecting farmers’ satisfactions with mechanized rice harvesting in Malaysian paddy fields: A case study of hiring custom operators. Agric. Eng. Int. CIGR J. 2017, 19, 120–128. [Google Scholar]
- Chisnall, P.M. Questionnaire Design, Interviewing and Attitude Measurement. J. Mark. Res. Soc. 1993, 35, 392–393. [Google Scholar]
- Kalkbrenner, M.T. Alpha, omega, and H internal consistency reliability estimates: Reviewing these options and when to use them. Couns. Outcome Res. Eval. 2023, 14, 77–88. [Google Scholar] [CrossRef]
- Cronbach, L.J. Coefficient alpha and the internal structure of tests. Psychometrika 1951, 16, 297–334. [Google Scholar] [CrossRef]
- Bujang, M.A.; Omar, E.D.; Baharum, N.A. A review on sample size determination for Cronbach’s alpha test: A simple guide for researchers. Malays. J. Med. Sci. 2018, 25, 85. [Google Scholar] [CrossRef]
- Lu, M.-Y.; Ahorsu, D.K.; Kukreti, S.; Strong, C.; Lin, Y.-H.; Kuo, Y.-J.; Chen, Y.-P.; Lin, C.-Y.; Chen, P.-L.; Ko, N.-Y. The prevalence of post-traumatic stress disorder symptoms, sleep problems, and psychological distress among COVID-19 frontline healthcare workers in Taiwan. Front. Psychiatry 2021, 12, 705657. [Google Scholar] [CrossRef]
- Schmidt, F.L.; Le, H.; Ilies, R. Beyond alpha: An empirical examination of the effects of different sources of measurement error on reliability estimates for measures of individual-differences constructs. Psychol. Methods 2003, 8, 206. [Google Scholar] [CrossRef]
- De Ville, B. Decision trees. Wiley Interdiscip. Rev. Comput. Stat. 2013, 5, 448–455. [Google Scholar] [CrossRef]
- Quinlan, J.R. Induction of decision trees. Mach. Learn. 1986, 1, 81–106. [Google Scholar] [CrossRef]
- Quinlan, J.R. Simplifying decision trees. Int. J. Man-Mach. Stud. 1987, 27, 221–234. [Google Scholar] [CrossRef]
- Fidanova, S. Ant colony optimization. In Ant Colony Optimization and Applications; Springer: Berlin/Heidelberg, Germany, 2021; pp. 3–8. [Google Scholar]
- Abdullah, A.S. Assessment of the risk factors of type II diabetes using ACO with self-regulative update function and decision trees by evaluation from Fisher’s Z-transformation. Med. Biol. Eng. Comput. 2022, 60, 1391–1415. [Google Scholar] [CrossRef] [PubMed]
- Mahawar, K.; Rattan, P. Empowering education: Harnessing ensemble machine learning approach and ACO-DT classifier for early student academic performance prediction. Educ. Inf. Technol. 2025, 30, 4639–4667. [Google Scholar] [CrossRef]
- Havaeji, H.; Dao, T.-M.; Wong, T. Supervised learning by evolutionary computation tuning: An application to blockchain-based pharmaceutical supply chain cost model. Mathematics 2023, 11, 2021. [Google Scholar] [CrossRef]
- Otto, A.; Agatz, N.; Campbell, J.; Golden, B.; Pesch, E. Optimization approaches for civil applications of unmanned aerial vehicles (UAVs) or aerial drones: A survey. Networks 2018, 72, 411–458. [Google Scholar] [CrossRef]
- Breiman, L. Random forests. Mach. Learn. 2001, 45, 5–32. [Google Scholar] [CrossRef]
- Berrouachedi, A.; Jaziri, R.; Bernard, G. Deep extremely randomized trees. In Proceedings of the International Conference on Neural Information Processing, Vancouver, BC, Canada, 8–14 December 2019; pp. 717–729. [Google Scholar]
- Chen, T.; Guestrin, C. Xgboost: A scalable tree boosting system. In Proceedings of the 22nd Acm Sigkdd International Conference on Knowledge Discovery and Data Mining, San Francisco, CA, USA, 13–17 August 2016; pp. 785–794. [Google Scholar]
- Ke, G.; Meng, Q.; Finley, T.; Wang, T.; Chen, W.; Ma, W.; Ye, Q.; Liu, T.-Y. Lightgbm: A highly efficient gradient boosting decision tree. Adv. Neural Inf. Process. Syst. 2017, 30, 52. [Google Scholar]
- Suthaharan, S. Support vector machine. In Machine Learning Models and Algorithms for Big Data Classification: Thinking with Examples for Effective Learning; Springer: Berlin/Heidelberg, Germany, 2016; pp. 207–235. [Google Scholar]
- Peterson, L.E. K-nearest neighbor. Scholarpedia 2009, 4, 1883. [Google Scholar] [CrossRef]
- Li, J.; Cheng, J.-h.; Shi, J.-y.; Huang, F. Brief introduction of back propagation (BP) neural network algorithm and its improvement. In Advances in Computer Science and Information Engineering; Springer: Berlin/Heidelberg, Germany, 2012; Volume 2, pp. 553–558. [Google Scholar]
- Ponce-Bobadilla, A.V.; Schmitt, V.; Maier, C.S.; Mensing, S.; Stodtmann, S. Practical guide to SHAP analysis: Explaining supervised machine learning model predictions in drug development. Clin. Transl. Sci. 2024, 17, e70056. [Google Scholar] [CrossRef]
- Wang, H.; Liang, Q.; Hancock, J.T.; Khoshgoftaar, T.M. Feature selection strategies: A comparative analysis of SHAP-value and importance-based methods. J. Big Data 2024, 11, 44. [Google Scholar] [CrossRef]
- Ursachi, G.; Horodnic, I.A.; Zait, A. How Reliable are Measurement Scales? External Factors with Indirect Influence on Reliability Estimators. Procedia Econ. Financ. 2015, 20, 679–686. [Google Scholar] [CrossRef]
- Ministry of Agriculture and Rural Affairs. 14th Five Year Plan for National Agricultural Green Development. 2021. Available online: https://www.gov.cn/zhengce/zhengceku/2021-09/07/content_5635867.htm (accessed on 22 August 2025).
- Ministry of Agriculture and Rural Affairs. Action Plan for Digital Rural Development, 2022–2025. 2022. Available online: https://www.gov.cn/xinwen/2022-01/26/content_5670637.htm (accessed on 22 August 2025).
- Ministry of Agriculture and Rural Affairs. Implementation Opinions on Subsidies for Agricultural Machinery Purchase and Application from 2024 to 2026. 2024. Available online: https://www.gov.cn/zhengce/zhengceku/202406/content_6955539.htm (accessed on 22 August 2025).
- Ministry of Agriculture and Rural Affairs. Guiding Opinions on Accelerating the High-Quality Development of Agricultural Insurance. 2019. Available online: https://www.gov.cn/zhengce/zhengceku/2019-12/03/content_5458076.htm (accessed on 22 August 2025).
- The State Council of the People’s Republic of China. Interim Regulations on the Management of Unmanned Aerial Vehicle Flights. 2023. Available online: https://www.gov.cn/zhengce/zhengceku/202306/content_6888800.htm (accessed on 22 August 2025).
- The State Council of the People’s Republic of China. Management Measures for the Transfer of Rural Land Management Rights. 2021. Available online: https://www.gov.cn/zhengce/zhengceku/2021-02/04/content_5584785.htm (accessed on 22 August 2025).
- Ministry of Agriculture and Rural Affairs. Regulations on Training and Management of Agricultural Unmanned Aerial Vehicle Operators (Trial). 2025. Available online: https://www.moa.gov.cn/ztzl/zhnyzxd/zcfg/bmzc/202503/t20250314_6471783.htm (accessed on 22 August 2025).
- Office of the Central Cybersecurity and Informatization Commission. Guidelines for Digital Rural Construction 1.0. 2021. Available online: https://www.cac.gov.cn/2021-09/03/c_1632256398120331.htm (accessed on 22 August 2025).
- The State Council of the People’s Republic of China. 14th Five Year Plan for Promoting Agricultural and Rural Modernization. 2021. Available online: https://www.gov.cn/zhengce/content/2022-02/11/content_5673082.htm (accessed on 22 August 2025).











| Indicator | Result |
|---|---|
| Accuracy | 0.8479 |
| Precision | 0.8322 |
| Recall | 0.9839 |
| F1 Score | 0.9017 |
| Runtime | 9.365 s |
| Indicator | ACO-DT | RF | ExtraTrees | XGBoost | LightGBM | SVM | KNN | BP |
|---|---|---|---|---|---|---|---|---|
| Accuracy | 0.8479 | 0.430 | 0.405 | 0.519 | 0.481 | 0.411 | 0.468 | 0.667 |
| Precision | 0.8322 | 0.402 | 0.378 | 0.502 | 0.472 | 0.409 | 0.483 | 0.762 |
| Recall | 0.9839 | 0.430 | 0.405 | 0.519 | 0.481 | 0.411 | 0.468 | 0.667 |
| F1 Score | 0.9017 | 0.369 | 0.384 | 0.502 | 0.474 | 0.402 | 0.436 | 0.662 |
| AUC | 0.7501 | 0.811 | 0.798 | 0.827 | 0.809 | 0.816 | 0.769 | 0.853 |
| Runtime | 9.365 s | 1.025 s | 1.108 s | 7.022 s | 0.744 s | 0.337 s | 0.029 s | 18.438 s |
Disclaimer/Publisher’s Note: The statements, opinions and data contained in all publications are solely those of the individual author(s) and contributor(s) and not of MDPI and/or the editor(s). MDPI and/or the editor(s) disclaim responsibility for any injury to people or property resulting from any ideas, methods, instructions or products referred to in the content. |
© 2025 by the authors. Licensee MDPI, Basel, Switzerland. This article is an open access article distributed under the terms and conditions of the Creative Commons Attribution (CC BY) license (https://creativecommons.org/licenses/by/4.0/).
Share and Cite
Yang, F.; Zhao, J.; Liu, J.; Luo, Z.; Gu, X.; Wang, S. What Are the Preferences of Chinese Farmers for Drones (UAVs): Machine Learning in Technology Adoption Behavior. Drones 2025, 9, 817. https://doi.org/10.3390/drones9120817
Yang F, Zhao J, Liu J, Luo Z, Gu X, Wang S. What Are the Preferences of Chinese Farmers for Drones (UAVs): Machine Learning in Technology Adoption Behavior. Drones. 2025; 9(12):817. https://doi.org/10.3390/drones9120817
Chicago/Turabian StyleYang, Fanhao, Jianya Zhao, Jinteng Liu, Zijia Luo, Xingchen Gu, and Shu Wang. 2025. "What Are the Preferences of Chinese Farmers for Drones (UAVs): Machine Learning in Technology Adoption Behavior" Drones 9, no. 12: 817. https://doi.org/10.3390/drones9120817
APA StyleYang, F., Zhao, J., Liu, J., Luo, Z., Gu, X., & Wang, S. (2025). What Are the Preferences of Chinese Farmers for Drones (UAVs): Machine Learning in Technology Adoption Behavior. Drones, 9(12), 817. https://doi.org/10.3390/drones9120817

