Next Article in Journal
Enhancing the Performance of Novel Archimedes Spiral Hydrokinetic Turbines Utilizing Blade Winglets in Deep-Sea Power Generation for Autonomous Underwater Vehicles
Previous Article in Journal
Finite-Time Path-Following Control of Underactuated AUVs with Actuator Limits Using Disturbance Observer-Based Backstepping Control
Previous Article in Special Issue
A Unified Collision Avoidance Trajectory Planning with Dual Variables for Collaborative Aerial Transportation Systems
 
 
Font Type:
Arial Georgia Verdana
Font Size:
Aa Aa Aa
Line Spacing:
Column Width:
Background:
Article

SINDy and PD-Based UAV Dynamics Identification for MPC

by
Bryan S. Guevara
1,†,
José Varela-Aldás
2,*,†,
Daniel C. Gandolfo
1 and
Juan M. Toibero
1
1
Instituto de Automática, Universidad Nacional de San Juan—CONICET, Av. San Martín Oeste 1109, San Juan J5400ARL, Argentina
2
Centro de Investigación en Mecatrónica y Sistemas Interactivos (MIST), Carrera de Ingeniería Industrial, Universidad Tecnológica Indoamérica, Ambato 180103, Ecuador
*
Author to whom correspondence should be addressed.
These authors contributed equally to this work.
Drones 2025, 9(1), 71; https://doi.org/10.3390/drones9010071
Submission received: 13 November 2024 / Revised: 4 January 2025 / Accepted: 16 January 2025 / Published: 18 January 2025

Abstract

This study proposes a comprehensive framework for the identification of nonlinear dynamics in Unmanned Aerial Vehicles (UAVs), integrating data-driven methodologies with theoretical modeling approaches. Two principal techniques are employed: Proportional-Derivative (PD)-based control input approximation and Sparse Identification of Nonlinear Dynamics (SINDy). Addressing the inherent platform constraints—where control inputs are restricted to specific attitude angles and z-axis velocities—thrust and torque are approximated via a PD controller, which serves as a practical intermediary for facilitating nonlinear system identification. Both methodologies leverage data-driven strategies to construct compact and interpretable models from experimental data, capturing significant nonlinearities with high fidelity. The resulting models are rigorously evaluated within a Model Predictive Control (MPC) framework, demonstrating their efficacy in precise trajectory tracking. Furthermore, the integration of data-driven insights enhances the accuracy of the identified models and improves control performance. This framework offers a robust and adaptable solution for analyzing UAV dynamics under realistic operational conditions, emphasizing the comparative strengths and applicability of each modeling approach.

1. Introduction

In recent years, UAVs have become a focus of attention in various fields, including environmental monitoring, disaster response, industrial inspections, and package delivery. As UAV platforms evolve, the demand for robust control systems that ensure stability and precision in dynamic environments has become increasingly critical. Accurate modeling of UAV dynamics is essential for the development of advanced control strategies, such as Model Predictive Control (MPC) and other optimization-based approaches [1,2,3].
Traditional control methods often rely on simplified linear models of UAV dynamics. While these models are effective for simple flight control, they fail to capture the nonlinear behavior inherent in UAVs, which becomes particularly evident during aggressive maneuvers or when operating in dynamic environments. UAVs exhibit significant nonlinearities due to aerodynamic effects, thrust vectoring, and coupling between translational and rotational dynamics [4]. Therefore, the development of models that accurately reflect these dynamics is essential for improving control precision and stability.
In response to these challenges, control engineers have progressively shifted towards more sophisticated modeling techniques that better account for the nonlinearities present in UAV systems. Early methods, such as PD control, offered a practical and computationally essential solution for basic flight stabilization, although they were limited in their ability to handle more complex flight conditions. As UAV missions have expanded in scope and complexity, the need for more advanced control algorithms capable of dealing with nonlinear dynamics, multivariable interactions, and external disturbances, has become evident.
Recent research has also highlighted innovative approaches to tackle challenges in cooperative systems, such as event-triggered and sensor-tolerant control mechanisms for USV-UAV formations in maritime search missions [5], meta-analyses of UAV applications in logistics, mobility, and monitoring [6], and advanced cooperative tracking strategies for multiple UAV systems [7]. These studies demonstrate the growing versatility and adaptability of UAV systems, further motivating the development of robust and scalable control frameworks.
In recent years, data-driven approaches have emerged as effective methods for identifying nonlinear dynamic systems, leveraging real-world data to develop models that better capture the system’s complex behaviors [8,9,10]. These methods offer a way to bypass some of the limitations associated with purely theoretical models, particularly when the physical properties of the UAV or its operational environment are difficult to quantify. Among these approaches, Sparse Identification of Nonlinear Dynamics (SINDy) has proven particularly useful in deriving compact, interpretable models of nonlinear systems [11,12]. SINDy is a methodology designed to identify the underlying governing equations of a system by promoting sparsity in the selection of active terms. This is achieved through an iterative process of regression, where the method selects only the most relevant terms from a library of potential functions to represent the dynamics [13]. By assuming that many physical systems can be described by only a few active terms, SINDy is especially effective in capturing complex nonlinear behaviors while maintaining model simplicity and interpretability.
The key advantage of SINDy lies in its ability to condense complex, high-dimensional data into simplified models that retain the essential dynamics of the system [12], or alternatively, to effectively handle low-data scenarios while still capturing the system’s core behaviors [14]. By applying sparse regression techniques, SINDy identifies only the most relevant terms needed to describe the system, reducing the complexity of the model while preserving accuracy [15]. This makes it particularly suitable for real-time control applications, where computational efficiency is a priority. SINDy has been successfully applied in fields such as fluid dynamics and robotics, providing an efficient method for discovering governing equations from experimental data [16]. For UAVs, SINDy offers a way to derive accurate dynamic models from limited data while maintaining computational efficiency, which is crucial in applications where obtaining large datasets may be impractical or expensive [14].
Moreover, the use of data-driven models like SINDy addresses one of the critical challenges in UAV control: the ability to adapt to changing conditions in real-time. UAVs often operate in unpredictable environments, where factors such as wind, turbulence, and varying payloads introduce complex disturbances that are challenging to model a priori. Traditional model-based control methods struggle to cope with these uncertainties, relying on predefined models that may not account for certain external variables. In contrast, SINDy allows real-time data to continuously refine the dynamic model, enhancing the system’s adaptability and robustness [17].
Despite these advances, accurately modeling UAV dynamics remains challenging due to inherent nonlinearities and external disturbances, such as wind, payload variations, and sensor noise. These factors complicate the development of a single model that can account for all operational conditions [17]. Furthermore, UAV dynamics exhibit a strong coupling between translational and rotational movements, making it difficult to separate individual effects and model them independently. Data-driven methods, such as SINDy, balance capturing complex system behaviors while maintaining computational efficiency, which is essential for real-time control applications [16,18].
Once the UAV dynamics are identified using a data-driven approach like SINDy, these models can be integrated into an MPC framework for tasks such as trajectory tracking and path following. MPC is well-suited for UAV applications because it handles multivariable systems, enforces input and state constraints, and optimizes control performance over a prediction horizon. The success of MPC, however, relies heavily on the precision of the dynamic model. Poorly identified models can lead to degraded tracking performance or system instability [11]. Recent advancements in Nonlinear Model Predictive Control (NMPC) have shown great potential for real-time trajectory optimization and collision avoidance in dynamic environments [19]. However, these approaches often rely on predefined dynamic models, limiting adaptability to changing conditions. Building on this, our work integrates Sparse Identification of Nonlinear Dynamics (SINDy) to enhance NMPC frameworks by deriving interpretable models directly from data. This combination improves the accuracy and adaptability of UAV control in uncertain environments.
Integrating accurate models within the MPC framework ensures that UAVs can operate efficiently in both structured and unstructured environments, enabling them to perform complex maneuvers while maintaining safety and reliability.
Both the PD-approximated and SINDy-identified models offer distinct advantages within the MPC framework. The PD model provides a simple, computationally efficient approximation for control inputs, making it suitable for real-time applications. Meanwhile, the SINDy model captures more of the system’s nonlinearities, improving trajectory tracking accuracy, particularly in the presence of external disturbances [13]. Each of these two approaches provides a distinct toolset for UAV control, enabling robust performance across various operational scenarios.

1.1. Contributions

This paper presents a comprehensive approach to UAV dynamics identification using PD approximation and SINDy, where the UAV dynamics are modeled through the Euler–Lagrange formulation to derive the system’s equations of motion. The main contributions of this work are as follows:
  • PD-based modeling of system inputs: Development of a simple and effective model to approximate thrust and torque inputs under platform constraints, providing a practical tool for control-oriented dynamic modeling.
  • Sparse identification of nonlinear dynamics using SINDy: Derivation of compact, interpretable models from experimental data, capturing the UAV’s inherent nonlinearities.
  • Evaluation within an MPC framework: Independent assessment of the PD-based and SINDy models within a Model Predictive Control (MPC) framework, highlighting the strengths and limitations of each approach for trajectory tracking and control performance.
The performance of these models is evaluated through simulations and experimental validation, demonstrating the effectiveness of the proposed approach.

1.2. Paper Outline

The remainder of the paper is structured as follows: Section 2 covers the UAV dynamic modeling process. Section 3 addresses the PD-Based Input Modeling. Section 4 discusses the Sparse Identification of Nonlinear Dynamics. Section 5 focuses on System Identification. Section 6 provides an Analysis of Results. Finally, Section 7 concludes the paper and outlines directions for future work.

2. Dynamic Model

Figure 1 shows the quadcopter platform, where the inertial reference frame, fixed to the world, is labeled as I and denoted by the superscript e. The body-fixed reference frame, which moves with the quadcopter and is aligned with its motion, is designated as B and denoted by the superscript b; its origin is located at the quadcopter’s center of mass (CoM).
The dynamic model of the UAV is derived using the Euler–Lagrange formalism [20], which describes the equations of motion based on the system’s kinetic energy, potential energy, and generalized forces. The system’s state is represented as x = q q ˙ R 12 , where q = η Ω R 6 and q ˙ = η ˙ Ω ˙ R 6 . Here, η = η x η y η z represents the position coordinates, and η ˙ = η ˙ x η ˙ y η ˙ z denotes the linear velocities in the inertial frame. Similarly, Ω = ϕ θ ψ is the vector of Euler angles (roll, pitch, yaw), and Ω ˙ = ϕ ˙ θ ˙ ψ ˙ is the vector of corresponding angular velocities in the body frame.
To derive the dynamic model, the Lagrangian function must satisfy the Euler–Lagrange equation:
d d t L q ˙ L q = F τ .
The generalized forces applied in the inertial reference frame are given by F = R F = f x e f y e f z e , while the torques acting on the system in the body reference frame are represented by τ = τ ϕ b τ θ b τ ψ b [21]. Here, R is the rotation matrix that transforms vectors from the body reference frame to the inertial reference frame, and F = 0 0 f z b , where f z b represents the total thrust along the body’s z-axis.
The Lagrangian function, L , represents the difference between the kinetic and potential energies of the system and is given by the following:
L = 1 2 m η ˙ η ˙ + 1 2 ω I ω m g η z ,
where m is the mass of the rigid body, η ˙ represents the linear velocity, ω the angular velocity, and I ω the inertia tensor. The term m g η z represents the gravitational potential energy.
Using this framework, the dynamics of a rigid body with six degrees of freedom can be expressed in a compact form as follows:
F τ = m I 3 × 3 0 3 × 3 0 3 × 3 M ( Ω ) η ¨ Ω ¨ + 0 3 × 3 0 3 × 3 0 3 × 3 C ( Ω , Ω ˙ ) η ˙ Ω ˙ + m g e 3 0 .
Here, M ( Ω ) and C ( Ω , Ω ˙ ) represent the rotational inertia and Coriolis matrices, respectively. Additionally, e 3 is a unit vector in the vertical direction.
The dynamic model can be rewritten in its more compact form as follows:
M ¯ ( q ) q ¨ + C ¯ ( q , q ˙ ) q ˙ + G ¯ = T ,
where M ¯ ( q ) is the generalized inertia matrix, C ¯ ( q , q ˙ ) is the Coriolis generalized matrix, G ¯ represents the gravitational forces, and T = F τ corresponds to the applied forces and torques.
The matrix M ( Ω ) and its components are given by the following:
M ( Ω ) = I x 0 I x S θ 0 I z + ( I y I z ) C ϕ 2 C ϕ S ϕ C θ ( I y I z ) I x S θ C ϕ S ϕ C θ ( I y I z ) I z C ϕ 2 C θ 2 + I y S ϕ 2 C θ 2 + I x S θ 2 .
The Coriolis matrix C ( Ω , Ω ˙ ) contains the gyroscopic and centripetal terms and is given by the following:
C ( Θ , Θ ˙ ) = c 11 c 12 c 13 c 21 c 22 c 23 c 31 c 32 c 33 ,
where the elements of the Coriolis matrix are defined as follows:
c 11 = 0 , c 12 = ( I y I z ) ( θ p C ϕ S ϕ + ψ p S ϕ 2 C θ ) + ( I z I y ) ( ψ p C ϕ 2 C θ ) I x ψ p C θ , c 13 = ( I z I y ) ψ p C ϕ S ϕ C θ 2 , c 21 = ( I z I y ) ( θ p C ϕ S ϕ + ψ p S ϕ C θ ) + ( I y I z ) ( ψ p C ϕ 2 C θ ) + I x ψ p C θ , c 22 = ( I z I y ) ϕ p C ϕ S ϕ , c 23 = I x ψ p S θ C θ + I y ψ p S ϕ 2 S θ C θ + I z ψ p C ϕ 2 S θ C θ , c 31 = ( I y I z ) ψ p C θ 2 S ϕ C ϕ I x θ p C θ , c 32 = ( I z I y ) ( θ p C ϕ S ϕ S θ + ϕ p S ϕ 2 C θ ) + ( I y I z ) ϕ p C ϕ 2 C θ + I x ψ p S θ C θ , c 33 = ( I y I z ) ϕ p C ϕ S ϕ C θ 2 I y θ p S ϕ 2 C θ S θ I z θ p C ϕ 2 C θ S θ + I x θ p C θ S θ .

3. PD-Based Input Modeling

A PD-based approach is employed to approximate control inputs, such as thrust and torque, under specific platform constraints. This model is not intended to serve as a system identification method but rather as a practical tool for approximating the dynamic inputs required for stabilization and control.
The PD-based approach assumes that the torques responsible for horizontal motion, τ h b = τ x τ y , are controlled by a low-level attitude PD controller. This controller regulates the torques in the x- and y-axes to ensure stability in the horizontal plane. These torques are applied as follows:
τ h b = K p h ( Ω h d Ω h ) + K d h ( Ω ˙ h d Ω ˙ h ) ,
where Ω h = ϕ θ represents the current roll and pitch angles, and Ω h d = ϕ d θ d represents the desired attitude. The proportional and derivative gains are denoted by K p h and K d h , respectively. Assuming no change in the desired attitude, Ω h d = 0 , then
lim t τ h = 0 and lim t Ω ˜ h = 0 ,
where Ω ˜ h = Ω h d Ω h . This ensures that over time, the applied torque and attitude error in the horizontal plane will tend to zero.
For yaw control, the torque is governed by a PD controller with acceleration feedback:
τ ψ = k p ψ ( ψ ˙ d ψ ˙ ) + k d ψ ( ψ ¨ d ψ ¨ ) ,
where ψ ˙ d is the desired yaw rate, ψ ¨ d is the desired yaw acceleration, ψ ˙ is the current yaw rate, and ψ ¨ is the current yaw acceleration. Therefore, we assume that if ψ ˙ d = 0 then
lim t τ ψ = 0 and lim t ψ ˜ ˙ = 0 ,
where ψ ˜ ˙ = ψ d ˙ ψ ˙ , implying that both the applied yaw torque and yaw angle error will tend to zero over time.
In hover, with gravity compensation, the vertical thrust force is given by the following:
f z = k p z ( η ˙ z d η ˙ z ) + k d z ( η ¨ z d η ¨ z ) + m g ,
where η ˙ z d is the reference vertical velocity, η ¨ z d and η ¨ z are the time derivatives of the reference and actual vertical velocities, and k p z and k d z are the proportional and derivative gains. It is assumed that if η ˙ z d = 0 , then
lim t f z = m g and lim t η ˜ ˙ z = 0 ,
where η ˜ ˙ z = η ˙ z d η ˙ z , implying that the thrust force stabilizes at the hover value and the vertical velocity error tends to zero.
Based on the above, the general PD controller structure with vertical velocity and attitude angles as inputs can be expressed as follows:
f x e f y e f z e τ ϕ b τ θ b τ ψ b = R 0 0 k p z ( η ˙ z d η ˙ z ) + k d z ( η ¨ z d η ¨ z ) + m g k p ϕ ( ϕ d ϕ ) + k p ϕ ( ϕ ˙ d ϕ ˙ ) k p θ ( θ d θ ) + k p θ ( θ ˙ d θ ˙ ) k p ψ ( ψ ˙ d ψ ˙ ) + k p ψ ( ψ ¨ d ψ ¨ )
Here, R is the same rotation matrix between the body and the inertial frame.
The Equation (4) can be rewritten as follows:
T P D = R ¯ S ¯ 1 μ S ¯ 2 q S ¯ 3 q ˙ S ¯ 4 q ¨ + S ¯ 5 .
The input signals applied to the quadcopter are represented by T P D : = F e τ b R 6 and μ = 0 0 η ˙ z d ϕ d θ d ψ ˙ d , which correspond to the signals received from the UAV system using the Onboard SDK based on ROS [22]. The diagonal matrices that encapsulate the relevant parameters are S ¯ 1 = diag ( 0 , 0 , ξ 1 , ξ 2 , ξ 3 , ξ 4 ) , S ¯ 2 = diag ( 0 , 0 , ξ 5 , ξ 6 ) , S ¯ 3 = diag ( 0 , 0 , ξ 7 , ξ 8 , ξ 9 , ξ 10 ) , S ¯ 4 = diag ( 0 , 0 , ξ 11 , 0 , ξ 12 ) , and S ¯ 5 = 0 0 ξ 13 0 0 0 . Here, the terms ξ i represent the controller’s PD gains. The inertias I x , I y , I z are included as parameters ξ 14 ξ 16 , which must also be identified.
Moreover, the matrix R ¯ is an expanded rotation matrix, expressed as follows:
R ¯ = R 0 3 × 3 0 3 × 3 0 3 × 3 .
The dynamic model in (2) is equated to (5), and it is obtained:
M ¯ q ¨ + C ¯ q ˙ + G ¯ = R ¯ S ¯ 1 μ S ¯ 2 q S ¯ 3 q ˙ S ¯ 4 q ¨ + S ¯ 5 ,
where the dynamic model based on vertical velocity and desired attitude is expressed as follows:
q ¨ = M ¯ + R ¯ S 4 1 R ¯ S ¯ 1 μ S ¯ 2 q S ¯ 3 q ˙ + S ¯ 5 C ¯ q ˙ G ¯ .

4. Sparse Identification of Nonlinear Dynamics

The Sparse Identification of Nonlinear Dynamics method provides a data-driven framework for identifying parsimonious models of dynamical systems [10]. The core assumption of SINDy is that most dynamical systems can be represented by only a few active terms, while the majority of potential candidate functions remain inactive. This approach leverages sparse regression techniques to select the most relevant terms in the governing equations of the system.
Consider a nonlinear dynamical system governed by the ordinary differential equation (ODE):
x ˙ ( t ) = f ( x ( t ) , u ( t ) ) ,
where x ( t ) R n is the state vector, u ( t ) R q is the control input, and f : R n R n represents the nonlinear dynamics. The objective of SINDy is to find a sparse approximation of f ( x , u ) using time-series data of x ( t ) and its derivatives x ˙ ( t ) .
The goal is to express f ( x , u ) as a sparse linear combination of the columns of Θ ( x , u ) . This leads to the following approximation:
X ˙ Θ ( X , U ) Ξ ,
where X ˙ R m × n contains the derivative data, Θ ( X , U ) R m × p is the evaluation of the function library over the dataset where p is the number of candidate functions; U R m × q contains the control input data, and Ξ R p × n is the sparse matrix that includes both the dynamics of the system and the effects of the control inputs.
By including control terms in the function library, SINDy can identify the influence of external forces or control actions on the system dynamics, making it suitable for applications in robotics, autonomous systems, and control theory.
The library of candidate functions can include polynomial, trigonometric, and other nonlinear functions of the states x ( t ) and can be expressed as follows:
Θ = 1 x u x 2 x u sin ( x ) cos ( x ) x sin ( x ) x cos ( x ) .
To determine Ξ , a sparse regression problem is formulated as follows:
min Ξ X ˙ Θ ( X , U ) Ξ 2 2 + λ Ξ 1 .
Thus, the fully identified dynamics with control are the following:
x ˙ = Ξ 1 Constant + Ξ 2 x Linear + Ξ 3 u Control + Ξ 4 x 2 Quadratic + Ξ 6 x u Cross Terms + Ξ 7 sin ( x ) + Ξ 8 cos ( x ) Trigonometric + Ξ 9 x sin ( x ) + Ξ 10 x cos ( x ) Mixed ,
where the Ξ i terms represent constant, linear, quadratic, cross, and trigonometric interactions between the state vector, control inputs, and Euler angles, capturing the essential dynamics and control effects. In practical applications, the time derivatives x ˙ ( t ) are not directly measured and must be calculated through numerical differentiation of the state data.

5. System Identification

The system identification process for the quadcopter leverages both PD approximation and SINDy to capture its nonlinear dynamics, as shown in Figure 2. Using velocity and acceleration data from experimental flights with a DJI Matrice 100 quadcopter, the process consists of several stages that guide the development of mathematical models from observed data [23]:
  • Prior knowledge. This includes understanding the system’s characteristics, which enables the selection of appropriate candidate structures for SINDy. This foundational knowledge guides both model selection and experimental design.
  • Experiment design. Defines the input-output data to capture system behavior under open-loop or closed-loop setups.
  • Data recording. Gathers input-output data from the experiments to fit the model.
  • Model selection and calculation. Based on the experimental data, either the PD or SINDy model is selected.
  • Model validation. Sets a criterion for validating the identified model. If it meets accuracy standards, the model is adopted; otherwise, previous steps are revisited.

5.1. PD-Based Approximation for Input Modeling

The Euler–Lagrange formalism is employed to derive the equations of motion that govern the UAV’s dynamics. These equations define the structure of the dynamic model, which is then used in conjunction with data-driven approaches, to identify the system’s nonlinear behaviors from experimental data.
The objective is to minimize the quadratic error between the forces and torques generated by the nonlinear model based on the Euler–Lagrange method and those generated by the parametrized model, which is based on the dynamic parameters and PD constants ξ R 16 , encapsulating the UAV’s dynamic properties. Quadratic programming techniques are applied iteratively to adjust the parameters of the diagonal matrices S ¯ 1 , S ¯ 2 , S ¯ 3 , S ¯ 4 , S ¯ 5 until the cost function J reaches a minimum. The optimization problem is formulated as follows:
min ξ 0 t + t f J = T ( t ) T PD ( ξ , t ) 2 d t .
The presence of noise in the measurements is addressed using a low-pass filter of the form λ s + λ , with λ = 1 , and is applied to both the system’s measurements and the reference values. This ensures that the noise does not affect the identification process, and since the time derivatives x ˙ ( t ) are not directly measured, they must be estimated from the state data and pass through the same filter.
The identified diagonal matrices are presented in Table 1.
These values provide the best approximation of the UAV’s dynamic behavior and are suitable for further modeling and MPC design. The system’s dynamics are characterized in a concise form based on the control inputs, and the identified model is formulated as a vector function, given by the following:
x ˙ = f ( x , μ , ξ ) .

5.2. SINDy Approximation

Given the dataset of states x ( t ) , control inputs u ( t ) , and numerically computed derivatives x ˙ ( t ) , the SINDy algorithm outputs a sparse coefficient matrix Ξ , which contains mostly zeros, with nonzero entries corresponding to the active terms that describe the system’s true dynamics. This matrix identifies the relevant terms in the function library Θ ( x , u ) that contribute to the dynamics. This work employed numerical differentiation techniques and smoothing methods, such as the Savitzky–Golay filter to obtain x ˙ ( t ) , as facilitated by the approach in [24].
The function library Θ ( x , u ) was reduced to balance simplicity and expressiveness in the identified dynamics. This reduction is based on the following considerations:
  • Dominance of linear and trigonometric terms: The dynamics are primarily captured by linear terms ( Ξ 2 x ) and trigonometric terms ( Ξ 7 sin ( Ω ) , Ξ 8 cos ( Ω ), which represent the key interactions in the system.
  • Inclusion of control inputs: The control inputs ( Ξ 3 u ) account for external forces or control actions influencing the dynamics.
  • Exclusion of higher-order terms: Quadratic ( Ξ 4 x 2 ), cross terms ( Ξ 6 x u ), and mixed terms ( Ξ 9 x sin ( x ) , Ξ 10 x cos ( x ) ) were excluded due to their negligible contribution within the operating range, simplifying the model.
The resulting matrix Θ ( x , u ) contains
Θ ( x , u ) = x u sin ( Ω ) cos ( Ω ) .
This structure retains the dominant dynamics while ensuring the model is interpretable, efficient, and generalizable to unseen scenarios.
The problem is solved using the SR3 optimization method, which applies both l 1 and l 2 regularization to enforce sparsity. SR3 aligns well with the desired objective, as it promotes a parsimonious model by eliminating insignificant terms [24,25]. While alternative methods like STLSQ use l 2 regularization (Ridge), SR3 ensures better sparsity by introducing a thresholding mechanism and regularization gain λ = 0.05 , resulting in a compact model for f ( x , u ) .
As shown in Figure 3, the contributions of the terms in Θ ( x , u ) reveal that the angular states ϕ (roll) and θ (pitch) dominate the system dynamics. The trigonometric interactions are also significant, reflecting their role in capturing non-linear behaviors. Additionally, the control inputs contribute to the stabilization and correction of the system, emphasizing the critical influence of these terms in the dynamics represented by Θ ( x , u ) .
Figure 4 and Figure 5 show the results of the identification process, where the suffix ref refers to the reference values received by the UAV, the suffix sindy refers to the values generated by the SINDy-identified model, and the suffix PD corresponds to the Euler–Lagrange approximation model.
Table 2 presents a comparison of the RMSE, MAE, and Concordance Index for both the SINDy and PD models. The comparison is explicitly performed for each state, as well as globally for the full state vector.

6. Analysis of Results

The performance of the identified models within the NMPC framework is validated by evaluating control tracking errors in a real-world experimental setup, which spans the interval l [ t , t + N ] , where N denotes the prediction horizon, as illustrated in the block diagram of the MPC framework shown in Figure 6.
In this setup, the UAV is tasked with following a predefined reference trajectory, as detailed in Table 3, allowing for a comprehensive assessment of each model’s effectiveness.
MPC optimizes control inputs over a finite prediction horizon to minimize both tracking errors and control effort. The cost function for the OCP is defined as follows:
min x ˜ ( . ) μ ( . ) 1 2 x ˜ N Q x ˜ N + k = 0 N 1 1 2 x ˜ k Q x ˜ k + 1 2 μ k R μ k s . t . : x k + 1 = f d i n ( x k , μ k ) , k [ 0 , N 1 ] , x 0 = [ η 0 Ω 0 ] , | η ˙ z d |     5 m / s , | ϕ d |     0.611 rad , | θ d |     0.611 rad , | ψ ˙ d |     5 6 π rad / s .
Here, x k represents the state vector at the time step k, and x ˜ = x k x ref , k denotes the deviation from the reference state vector x ref , k . The term Q = 2 I 3 × 3 is the state weighting matrix and R = 0.1 I 3 × 3 is the control input weighting matrix. The prediction horizon is N, and the system dynamics are modeled by f d i n ( x k , μ k ) . The initial conditions for the system are given by x 0 = 3 3 5 0 0 0 . The control input constraints, such as the limits on vertical velocity, desired angles, and yaw rate, are imposed due to the limitations of the DJI Onboard SDK, which governs the control signals received by the UAV.
The optimization is solved at each time step, and the first control input is applied in a receding horizon of N = 30 , with a sampling frequency of 30 Hz. The optimization is performed using Acados and CasADi through a sequential quadratic programming (SQP) method, executed within a real-time iteration (RTI) scheme. The system communicates using ROS (Robot Operating System), enabling real-time communication within the UAV architecture. The onboard PC of the UAV is equipped with a Jetson Orin 16 GB (275 TOPS), ensuring accurate real-time control.

6.1. Overall Performance

Figure 7 presents the spatial behavior during the execution of the desired task for both models in the trajectory tracking task. These results highlight the effectiveness of the identified models when integrated into an MPC framework for real-world UAV control applications.
The real-time implementation of the MPC controller, combined with the data-driven models, enabled precise UAV control with minimal tracking error and reduced control effort. This highlights the potential of the identified models to improve performance in dynamic environments.

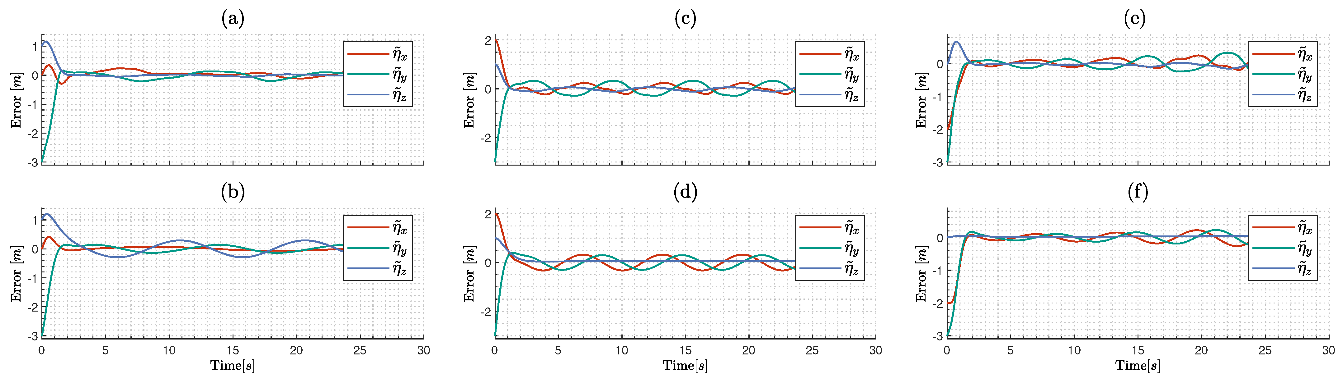
6.2. Control Errors

The position errors across the three experimental setups can be observed in Figure 8. The errors demonstrated that both the PD-based and SINDy models could accurately track the reference trajectory.
Additionally, the errors obtained in tracking the desired trajectory during the MPC validation process are summarized in Table 4. The table provides a comparative analysis of RMSE, MAE, and the Concordance Index for both models. The results highlight that SINDy consistently achieves superior tracking accuracy, with lower error metrics across all experiments. Although the Concordance Index remains high for both models, indicating strong alignment with the reference trajectory, SINDy demonstrates marginally better consistency. These findings confirm that SINDy offers a more accurate and reliable solution, making it the preferred model in this validation process.

6.3. Time Loop

It is noteworthy that the SINDy model converges faster than the PD-Euler Lagrange approximation, as shown in Figure 9. Specifically, the average solver time for the SINDy model is approximately 2.5 ms (400 Hz), compared to 7 ms (143 Hz) for the PD-Euler Lagrange model. Additionally, the main loop operates at a constant frequency of 30 Hz. This difference is because the PD-Euler Lagrange model involves a more complex and nonlinear structure compared to the simpler formulation used by the SINDy model. The reduced computational complexity of the SINDy model enables faster execution, making it more efficient for real-time applications, despite a trade-off in steady-state error performance.

7. Conclusions

The findings indicate that, in all experiments, the SINDy-based model demonstrated superior performance in tracking accuracy and computational efficiency compared to the PD-based model, confirming its suitability for real-time application scenarios. While both models exhibit strong tracking capabilities, the SINDy model achieves lower error metrics, including RMSE and MAE, highlighting its clear advantage in trajectory tracking accuracy. Furthermore, the Concordance Index for both models remains high, indicating their robustness in maintaining alignment with the reference trajectory. However, the SINDy model presents better consistency, as evidenced by its lower error metrics across all experiments, suggesting it is more reliable under varied operating conditions.
In addition to its accuracy, the SINDy model offers significant computational benefits. Its more straightforward structure reduces computational complexity, making it highly suitable for real-time applications where processing speed is critical. In contrast, the PD model, while effective, has a more complex structure that can slow down computations. Therefore, the SINDy model not only delivers improved precision but also ensures faster execution, making it the preferred choice for applications requiring both accuracy and efficiency.
Although the experiments were conducted using the DJI Matrice 100 platform, the proposed models exhibit potential for generalization to other UAV platforms. For the PD-based model, proportional and derivative gains would need to be identified based on the specific dynamics of the new UAV. Similarly, the SINDy model would require additional experimental data if the operational envelope of the new platform differs significantly. These adjustments highlight the adaptability of the proposed models and their potential application across diverse UAV configurations. Future work should extend the validation process to other platforms and explore enhancements to improve the generalization and adaptability of the models further.
Finally, while the SINDy model excels under the tested conditions, its performance may degrade if the UAV operates outside the parameter space used for model identification. Maintaining consistency between the identification and operating conditions is essential to ensuring reliable performance in real-world applications. Future work could explore expanding the parameter space and integrating adaptive techniques, such as reinforcement learning or hybrid control strategies, to enhance the model’s robustness in diverse scenarios. Additionally, further testing in more complex and dynamic environments will provide deeper insights into the models’ scalability and practical limitations.

Author Contributions

Conceptualization, B.S.G. and J.V.-A.; methodology, B.S.G. and J.M.T.; software, J.V.-A. and B.S.G.; validation, B.S.G., J.V.-A. and D.C.G.; formal analysis, J.M.T. and D.C.G.; investigation, B.S.G. and J.V.-A.; resources, J.V.-A. and B.S.G.; data curation, D.C.G. and J.V.-A.; writing—original draft preparation, B.S.G. and J.V.-A.; writing—review and editing, D.C.G. and J.M.T.; visualization, B.S.G. and J.V.-A.; supervision, J.M.T. and B.S.G.; project administration, J.M.T. All authors have read and agreed to the published version of the manuscript.

Funding

The APC was funded by the Universidad Indoamérica with funding code number INV-0022-010.

Institutional Review Board Statement

Not applicable.

Informed Consent Statement

Not applicable.

Data Availability Statement

If anyone wants to obtain the original data of this paper, please contact with Bryan S. Guevara.

Acknowledgments

The authors would like to express their gratitude to Universidad Indoamérica for its support of this research through the “Tecnologías de la Industria 4.0 en Educación, Salud, Empresa e Industria” program. Special thanks are extended to the MIST Research Center and the SISAu Research Group for their valuable contributions. The authors also acknowledge the Instituto de Automática of Universidad Nacional de San Juan and CONICET for providing the facilities and workspace necessary to conduct this research. This work was supported in part by collaboration with RITACI CYTED program.

Conflicts of Interest

The authors declare no conflicts of interest.

References

  1. Nguyen, H.; Kamel, M.; Alexis, K.; Siegwart, R. Model Predictive Control for Micro Aerial Vehicles: A Survey. In Proceedings of the 2021 European Control Conference, ECC 2021, Rotterdam, The Netherlands, 29 June–2 July 2021; pp. 1556–1563. [Google Scholar] [CrossRef]
  2. Shi, Y.; Zhang, K. Advanced model predictive control framework for autonomous intelligent mechatronic systems: A tutorial overview and perspectives. Annu. Rev. Control 2021, 52, 170–196. [Google Scholar] [CrossRef]
  3. Schwenzer, M.; Ay, M.; Bergs, T.; Abel, D. Review on model predictive control: An engineering perspective. Int. J. Adv. Manuf. Technol. 2021, 117, 1327–1349. [Google Scholar] [CrossRef]
  4. Nwaforo, S.C.; Eneho, J.N.; Ndefoo, M.I.; Ugbeo, O.C.; Ugwuo, H.I.; Anio, O. An optimal hybrid quadcopter control technique with MPC-based backstepping. Arch. Control Sci. 2024, 34, 39–62. [Google Scholar] [CrossRef]
  5. Li, J.; Zhang, G.; Zhang, X.; Zhang, W. Integrating Dynamic Event-Triggered and Sensor-Tolerant Control: Application to USV-UAVs Cooperative Formation System for Maritime Parallel Search. IEEE Trans. Intell. Transp. Syst. 2024, 25, 3986–3998. [Google Scholar] [CrossRef]
  6. Wandelt, S.; Wang, S.; Zheng, C.; Sun, X. AERIAL: A Meta Review and Discussion of Challenges Toward Unmanned Aerial Vehicle Operations in Logistics, Mobility, and Monitoring. IEEE Trans. Intell. Transp. Syst. 2024, 25, 6276–6289. [Google Scholar] [CrossRef]
  7. Zhou, Y.; Chen, Y.; Zhang, L.; Pan, C. Distributed Finite-Time Prescribed Performance for Multiple Unmanned Aerial Vehicle with Time-Varying External Disturbance. IEEE Internet Things J. 2024, 11, 16969–16980. [Google Scholar] [CrossRef]
  8. Chee, K.Y.; Jiahao, T.Z.; Hsieh, M.A. KNODE-MPC: A Knowledge-Based Data-Driven Predictive Control Framework for Aerial Robots. IEEE Robot. Autom. Lett. 2022, 7, 2819–2826. [Google Scholar] [CrossRef]
  9. Torrente, G.; Kaufmann, E.; Föhn, P.; Scaramuzza, D. Data-Driven MPC for Quadrotors. IEEE Robot. Autom. Lett. 2021, 6, 3769–3776. [Google Scholar] [CrossRef]
  10. Brunton, S.L.; Kutz, J.N. Data-Driven Science and Engineering: Machine Learning, Dynamical Systems, and Control. In Data-Driven Science and Engineering: Machine Learning, Dynamical Systems, and Control; Cambridge University Press: Cambridge, UK, 2019; pp. 1–472. [Google Scholar] [CrossRef]
  11. Fasel, U.; Kaiser, E.; Kutz, J.N.; Brunton, B.W.; Brunton, S.L. SINDy with Control: A Tutorial. In Proceedings of the IEEE Conference on Decision and Control, Austin, TX, USA, 14–17 December 2021; pp. 16–21. [Google Scholar] [CrossRef]
  12. Kaiser, E.; Kutz, J.; Brunton, S. Sparse identification of nonlinear dynamics for model predictive control in the low-data limit. Proc. R. Soc. A 2018, 474, 20180335. [Google Scholar] [CrossRef] [PubMed]
  13. Manaa, Z.M.; Elbalshy, M.R.; Abdallah, A.M. Data-driven Discovery of The Quadrotor Equations of Motion Via Sparse Identification of Nonlinear Dynamics. In Proceedings of the AIAA SciTech Forum and Exposition, Orlando, FL, USA, 8–12 January 2024. [Google Scholar] [CrossRef]
  14. Quade, M.; Abel, M.; Kutz, J.N.; Brunton, S.L. Sparse identification of nonlinear dynamics for rapid model recovery. Chaos 2018, 28, 063116. [Google Scholar] [CrossRef] [PubMed]
  15. Brunton, S.L.; Proctor, J.L.; Kutz, J.N. Discovering governing equations from data by sparse identification of nonlinear dynamical systems. Proc. Natl. Acad. Sci. USA 2016, 113, 3932–3937. [Google Scholar] [CrossRef]
  16. Fonzi, N.; Brunton, S.L.; Fasel, U. Data-driven nonlinear aeroelastic models of morphing wings for control. Proc. R. Soc. Math. Phys. Eng. Sci. 2020, 476, 20200079. [Google Scholar] [CrossRef] [PubMed]
  17. Kaiser, E.; Kutz, J.; Brunton, S. Data-Driven Approximations of Dynamical Systems Operators for Control. In The Koopman Operator in Systems and Control; Lecture Notes in Control and Information Sciences; Springer: Cham, Switzerland, 2019. [Google Scholar] [CrossRef]
  18. Zolman, N.; Fasel, U.; Kutz, J.N.; Brunton, S.L. SINDy-RL: Interpretable and Efficient Model-Based Reinforcement Learning. arXiv 2024, arXiv:2403.09110. [Google Scholar] [CrossRef]
  19. Lindqvist, B.; Mansouri, S.S.; Agha-mohammadi, A.a.; Nikolakopoulos, G. Nonlinear MPC for Collision Avoidance and Control of UAVs With Dynamic Obstacles. IEEE Robot. Autom. Lett. 2020, 5, 6001–6008. [Google Scholar] [CrossRef]
  20. Brandão, A.S.; Sarcinelli-Filho, M.; Carelli, R. A nonlinear underactuated controller for 3D-trajectory tracking with a miniature helicopter. In Proceedings of the IEEE International Conference on Industrial Technology, Via del Mar, Chile, 14–17 March 2010; pp. 1421–1426. [Google Scholar] [CrossRef]
  21. Castillo, P.; García, P.; Lozano, R.; Albertos, P. Modelado y estabilización de un helicóptero con cuatro rotores. Rev. Iberoam. Automática Informática Ind. RIAI 2007, 4, 41–57. [Google Scholar] [CrossRef]
  22. DJI. DJI ROS Onboard SDK; GitHub Repository. Available online: https://github.com/dji-sdk/Onboard-SDK (accessed on 28 October 2024).
  23. Quan, Q. Introduction to Multicopter Design and Control; Springer: Berlin/Heidelberg, Germany, 2017; pp. 1–384. [Google Scholar] [CrossRef]
  24. Kaheman, K.; Kutz, J.N.; Brunton, S.L. SINDy-PI: A robust algorithm for parallel implicit sparse identification of nonlinear dynamics: SINDy-PI. Proc. R. Soc. A Math. Phys. Eng. Sci. 2020, 476, 20200279. [Google Scholar] [CrossRef] [PubMed]
  25. Zheng, P.; Askham, T.; Brunton, S.L.; Kutz, J.N.; Aravkin, A.Y. A Unified Framework for Sparse Relaxed Regularized Regression: SR3. IEEE Access 2019, 7, 1404–1423. [Google Scholar] [CrossRef]
Figure 1. UAV reference frame DJI Matrice 100.
Figure 1. UAV reference frame DJI Matrice 100.
Drones 09 00071 g001
Figure 2. System identification process for the UAV.
Figure 2. System identification process for the UAV.
Drones 09 00071 g002
Figure 3. Heatmap of the sparse matrix Ξ from Θ ( x , u ) .
Figure 3. Heatmap of the sparse matrix Ξ from Θ ( x , u ) .
Drones 09 00071 g003
Figure 4. Comparison of the UAV’s linear and angular positions with respect to the reference values.
Figure 4. Comparison of the UAV’s linear and angular positions with respect to the reference values.
Drones 09 00071 g004
Figure 5. Comparison of the UAV’s linear and angular velocities with respect to the reference values.
Figure 5. Comparison of the UAV’s linear and angular velocities with respect to the reference values.
Drones 09 00071 g005
Figure 6. General scheme of NMPC.
Figure 6. General scheme of NMPC.
Drones 09 00071 g006
Figure 7. Spatial behavior of the UAV under the PD-Euler Lagrange and SINDy models for three different reference trajectories: (a) Sinusoidal, (b) circular, and (c) spiral.
Figure 7. Spatial behavior of the UAV under the PD-Euler Lagrange and SINDy models for three different reference trajectories: (a) Sinusoidal, (b) circular, and (c) spiral.
Drones 09 00071 g007
Figure 8. Position errors for sinusoidal (a,b), circular (c,d), and spiral (e,f) trajectories, with SINDy (top) and PD (bottom) models.
Figure 8. Position errors for sinusoidal (a,b), circular (c,d), and spiral (e,f) trajectories, with SINDy (top) and PD (bottom) models.
Drones 09 00071 g008
Figure 9. Time loop comparative.
Figure 9. Time loop comparative.
Drones 09 00071 g009
Table 1. Values of ξ .
Table 1. Values of ξ .
ξ 1 = 0.6756 ξ 2 = 1.0000 ξ 3 = 0.6344 ξ 4 = 1.0000
ξ 5 = 0.4080 ξ 6 = 1.0000 ξ 7 = 1.0000 ξ 8 = 1.0000
ξ 9 = 0.2953 ξ 10 = 0.5941 ξ 11 = 0.8109 ξ 12 = 1.0000
ξ 13 = 0.3984 ξ 14 = 0.00546 ξ 15 = 0.0035 ξ 16 = 0.00659
Table 2. Comparison of RMSE, MAE, and Concordance Index for SINDy and PD.
Table 2. Comparison of RMSE, MAE, and Concordance Index for SINDy and PD.
RMSEMAEConcordance Index
StateSINDyPDSINDyPDSINDyPD
η x 33.138953.446127.197841.67800.13000.0887
η y 1.270432.87571.024923.71010.74350.0779
η z 0.03990.68110.03340.57030.98610.7705
η ˙ x 0.01791.01540.01330.91510.99270.1133
η ˙ y 0.02521.10490.01721.01930.99160.0515
η ˙ z 0.00421.14530.00350.94360.99640.4652
ϕ 0.02902.12260.02311.84310.90750.0575
θ 0.02381.94200.01941.52670.83330.0355
ψ 0.80330.94640.60570.78300.74980.5414
ϕ ˙ 0.04380.26390.02850.19910.95970.6997
θ ˙ 0.17880.24680.12240.17140.67440.4701
ψ ˙ 0.00490.16840.00330.13430.99660.8588
x 9.576418.14452.42446.12450.83010.3525
Note: Values in bold correspond to metrics computed globally for the full state vector x .
Table 3. Desired positions for different trajectory types.
Table 3. Desired positions for different trajectory types.
Trajectory x d ( t ) y d ( t ) z d ( t )
Sinusoidal 4 sin ( 0.32 t ) + 3 4 sin ( 0.64 t ) 2 sin ( 0.64 t ) + 6
Circular 5 cos ( t ) 5 sin ( t ) 6
Spiral e 0.06 t cos ( t ) e 0.06 t sin ( t ) 0.1 t + 5
Table 4. Comparative Results for MPC validation.
Table 4. Comparative Results for MPC validation.
ExperimentModelRMSEMAEConcordance Index
SinusoidalPD0.48230.43190.9868
SINDy0.47910.33720.9869
CircularPD0.52090.55600.9895
SINDy0.48420.47520.9909
SpiralPD0.57110.40680.9704
SINDy0.49580.42390.9777
AveragePD0.52480.46490.9822
SINDy0.48640.41210.9852
Disclaimer/Publisher’s Note: The statements, opinions and data contained in all publications are solely those of the individual author(s) and contributor(s) and not of MDPI and/or the editor(s). MDPI and/or the editor(s) disclaim responsibility for any injury to people or property resulting from any ideas, methods, instructions or products referred to in the content.

Share and Cite

MDPI and ACS Style

Guevara, B.S.; Varela-Aldás, J.; Gandolfo, D.C.; Toibero, J.M. SINDy and PD-Based UAV Dynamics Identification for MPC. Drones 2025, 9, 71. https://doi.org/10.3390/drones9010071

AMA Style

Guevara BS, Varela-Aldás J, Gandolfo DC, Toibero JM. SINDy and PD-Based UAV Dynamics Identification for MPC. Drones. 2025; 9(1):71. https://doi.org/10.3390/drones9010071

Chicago/Turabian Style

Guevara, Bryan S., José Varela-Aldás, Daniel C. Gandolfo, and Juan M. Toibero. 2025. "SINDy and PD-Based UAV Dynamics Identification for MPC" Drones 9, no. 1: 71. https://doi.org/10.3390/drones9010071

APA Style

Guevara, B. S., Varela-Aldás, J., Gandolfo, D. C., & Toibero, J. M. (2025). SINDy and PD-Based UAV Dynamics Identification for MPC. Drones, 9(1), 71. https://doi.org/10.3390/drones9010071

Article Metrics

Back to TopTop