Predicting Grape Yield with Vine Canopy Morphology Analysis from 3D Point Clouds Generated by UAV Imagery
Abstract
1. Introduction
2. Materials and Methods
2.1. Field Experimental Site
2.2. Data Collection
2.3. Data Processing
2.4. Grape Yield Assessment
2.5. Statistical Analysis
3. Results
3.1. Grape Yield
3.2. 3D Point Cloud
3.3. Correlation and Regression Analysis
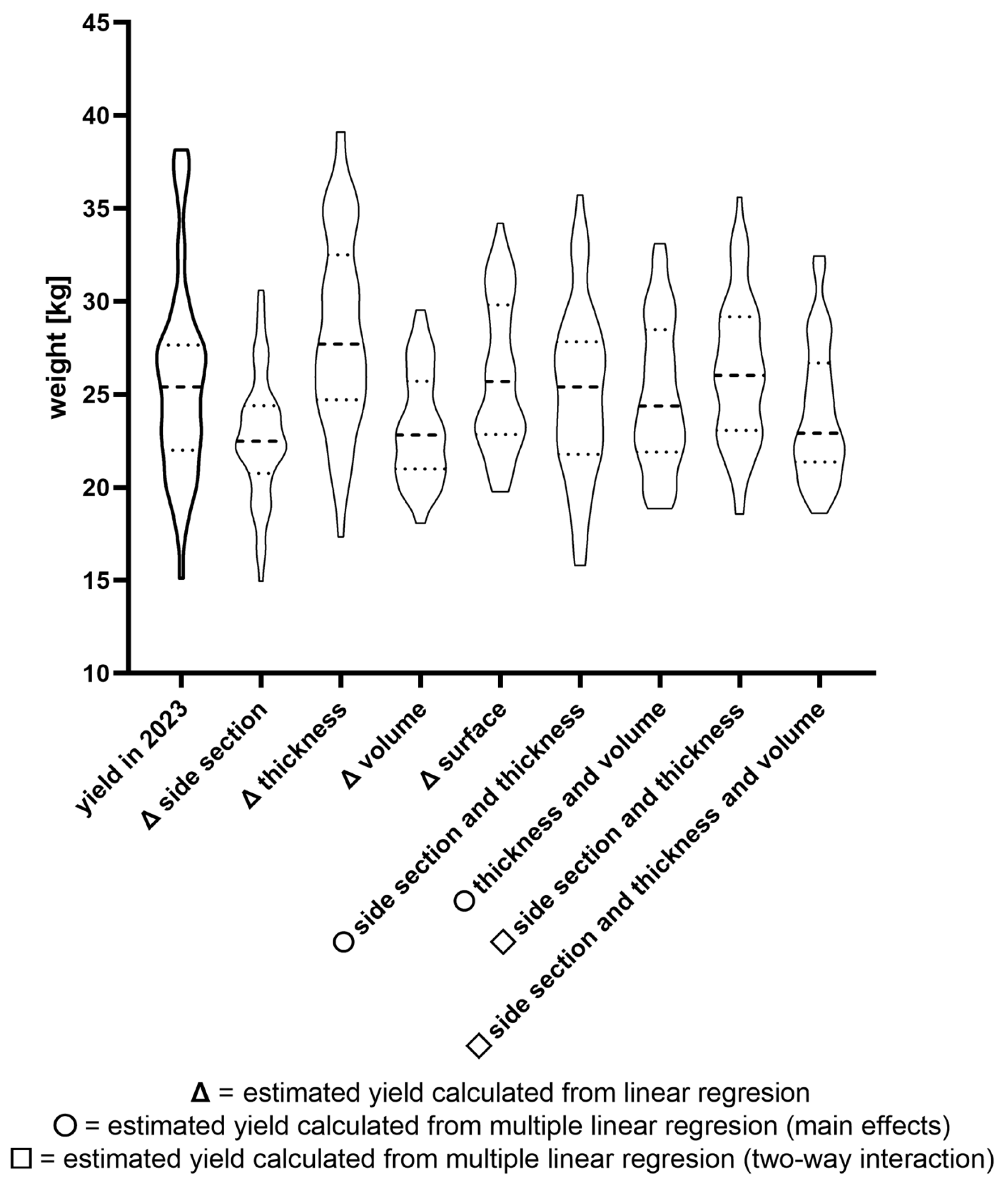
3.4. Prediction of Grape Yield
4. Discussion
5. Conclusions
Author Contributions
Funding
Data Availability Statement
Acknowledgments
Conflicts of Interest
References
- Uhlig, B.A. Effects of Solar Radiation on Grape (Vitis vinifera L.) Composition and Dried Fruit Colour. J. Hortic. Sci. Biotechnol. 1998, 73, 111–123. [Google Scholar] [CrossRef]
- Sirera, À.P.; Antichi, D.; Raffa, D.W.; Rallo, G. Application of Remote Sensing Techniques to Discriminate the Effect of Different Soil Management Treatments over Rainfed Vineyards in Chianti Terroir. Remote Sens. 2021, 13, 716. [Google Scholar] [CrossRef]
- Asproudi, A.; Petrozziello, M.; Cavalletto, S.; Ferrandino, A.; Mania, E.; Guidoni, S. Bunch Microclimate Affects Carotenoids Evolution in Cv. Nebbiolo (V. vinifera L.). Appl. Sci. 2020, 10, 3846. [Google Scholar] [CrossRef]
- Zheng, G.; Moskal, L.M. Retrieving Leaf Area Index (LAI) Using Remote Sensing: Theories, Methods and Sensors. Sensors 2009, 9, 2719–2745. [Google Scholar] [CrossRef] [PubMed]
- Miranda-Fuentes, A.; Llorens, J.; Gamarra-Diezma, J.L.; Gil-Ribes, J.A.; Gil, E. Towards an Optimized Method of Olive Tree Crown Volume Measurement. Sensors 2015, 15, 3672–3687. [Google Scholar] [CrossRef] [PubMed]
- Tsialtas, J.T.; Koundouras, S.; Zioziou, E. Leaf Area Estimation by Simple Measurements and Evaluation of Leaf Area Prediction Models in Cabernet-Sauvignon Grapevine Leaves. Photosynthetica 2008, 46, 452–456. [Google Scholar] [CrossRef]
- Cohen, S.; Striem, M.J.; Bruner, M.; Klein, I. Grapevine Leaf Area Index Evaluation by Gap Fraction Inversion. Acta Hortic. 2000, 537, 87–94. [Google Scholar] [CrossRef]
- De Castro, A.I.; Jiménez-Brenes, F.M.; Torres-Sánchez, J.; Peña, J.M.; Borra-Serrano, I.; López-Granados, F. 3-D Characterization of Vineyards Using a Novel UAV Imagery-Based OBIA Procedure for Precision Viticulture Applications. Remote Sens. 2018, 10, 584. [Google Scholar] [CrossRef]
- Zhang, J.; Cheng, T.; Guo, W.; Xu, X.; Qiao, H.; Xie, Y.; Ma, X. Leaf Area Index Estimation Model for UAV Image Hyperspectral Data Based on Wavelength Variable Selection and Machine Learning Methods. Plant Methods 2021, 17, 49. [Google Scholar] [CrossRef]
- Chakraborty, M.; Khot, L.R.; Sankaran, S.; Jacoby, P.W. Evaluation of Mobile 3D Light Detection and Ranging Based Canopy Mapping System for Tree Fruit Crops. Comput. Electron. Agric. 2019, 158, 284–293. [Google Scholar] [CrossRef]
- Ouyang, J.; de Bei, R.; Fuentes, S.; Collins, C. UAV and Ground-Based Imagery Analysis Detects Canopy Structure Changes after Canopy Management. OENO One 2020, 54, 1093–1103. [Google Scholar] [CrossRef]
- Arnó, J.; Escolà, A.; Vallès, J.M.; Llorens, J.; Sanz, R.; Masip, J.; Palacín, J.; Rosell-Polo, J.R. Leaf Area Index Estimation in Vineyards Using a Ground-Based LiDAR Scanner. Precis. Agric. 2013, 14, 290–306. [Google Scholar] [CrossRef]
- García-Fernández, M.; Sanz-Ablanedo, E.; Pereira-Obaya, D.; Rodríguez-Pérez, J.R. Vineyard Pruning Weight Prediction Using 3D Point Clouds Generated from UAV Imagery and Structure from Motion Photogrammetry. Agronomy 2021, 11, 924. [Google Scholar] [CrossRef]
- Sassu, A.; Ghiani, L.; Salvati, L.; Mercenaro, L.; Deidda, A.; Gambella, F. Integrating UAVs and Canopy Height Models in Vineyard Management: A Time-Space Approach. Remote Sens. 2022, 14, 130. [Google Scholar] [CrossRef]
- Catania, P.; Comparetti, A.; Febo, P.; Morello, G.; Orlando, S.; Roma, E.; Vallone, M. Positioning Accuracy Comparison of GNSS Receivers Used for Mapping and Guidance of Agricultural Machines. Agronomy 2020, 10, 924. [Google Scholar] [CrossRef]
- Pagliai, A.; Ammoniaci, M.; Sarri, D.; Lisci, R.; Perria, R.; Vieri, M.; Arcangelo, M.E.D.; Storchi, P.; Kartsiotis, S. Comparison of Aerial and Ground 3D Point Clouds for Canopy Size Assessment in Precision Viticulture. Remote Sens. 2022, 14, 1145. [Google Scholar] [CrossRef]
- Jurado, J.M.; Pádua, L.; Feito, F.R.; Sousa, J.J. Automatic Grapevine Trunk Detection on UAV-Based Point Cloud. Remote Sens. 2020, 12, 3043. [Google Scholar] [CrossRef]
- Di Gennaro, S.F.; Matese, A. Evaluation of Novel Precision Viticulture Tool for Canopy Biomass Estimation and Missing Plant Detection Based on 2.5D and 3D Approaches Using RGB Images Acquired by UAV Platform. Plant Methods 2020, 16, 91. [Google Scholar] [CrossRef]
- Gil, E.; Arnó, J.; Llorens, J.; Sanz, R.; Llop, J.; Rosell-Polo, J.R.; Gallart, M.; Escolà, A. Advanced Technologies for the Improvement of Spray Application Techniques in Spanish Viticulture: An Overview. Sensors 2014, 14, 691–708. [Google Scholar] [CrossRef]
- Ouyang, J.; De Bei, R.; Collins, C. Assessment of Canopy Size Using UAV-Based Point Cloud Analysis to Detect the Severity and Spatial Distribution of Canopy Decline. OENO One 2021, 55, 253–266. [Google Scholar] [CrossRef]
- Šupčík, A.; Beranová, V. Grape Yield Prediction Based on Vine Canopy Morphology Obtained by 3D Point Clouds from UAV Images. In Precision Agriculture’23; Wageningen Academic Publishers: Wageningen, The Netherlands, 2023; pp. 619–625. [Google Scholar]
- Tu, Y.H.; Phinn, S.; Johansen, K.; Robson, A.; Wu, D. Optimising Drone Flight Planning for Measuring Horticultural Tree Crop Structure. ISPRS J. Photogramm. Remote Sens. 2020, 160, 83–96. [Google Scholar] [CrossRef]
- Torres-Sánchez, J.; López-Granados, F.; Borra-Serrano, I.; Manuel Peña, J. Assessing UAV-Collected Image Overlap Influence on Computation Time and Digital Surface Model Accuracy in Olive Orchards. Precis. Agric. 2018, 19, 115–133. [Google Scholar] [CrossRef]
- Ballesteros, R.; Intrigliolo, D.S.; Ortega, J.F.; Ramírez-Cuesta, J.M.; Buesa, I.; Moreno, M.A. Vineyard Yield Estimation by Combining Remote Sensing, Computer Vision and Artificial Neural Network Techniques. Precis. Agric. 2020, 21, 1242–1262. [Google Scholar] [CrossRef]
- Di Gennaro, F.S.; Toscano, P.; Cinat, P.; Berton, A.; Matese, A. A Low-Cost and Unsupervised Image Recognition Methodology for Yield Estimation in a Vineyard. Front. Plant Sci. 2019, 10, 559. [Google Scholar] [CrossRef] [PubMed]






| 2021 | 2022 | 2023 | |
|---|---|---|---|
| Flight time | 22.9. | 6.10. | 26.9. |
| Drone | DJI Mavic Pro | DJI Mavic Pro, DJI Matrice 300 with Zenmuse P1 | DJI Matrice 300 with Zenmuse P1 |
| Harvest | 18.10. | 12.10. | 3.10. |
| Parameter | 2021 | 2022 | 2023 | |||
|---|---|---|---|---|---|---|
| Mean | SD | Mean | SD | Mean | SD | |
| Side section [m2] | 10.81 | 1.13 | 11.91 | 0.53 | 11.39 | 0.57 |
| Thickness [m2] | 4.16 | 0.75 | 5.10 | 0.35 | 5.42 | 0.64 |
| Volume [m3] | 4.14 | 0.72 | 4.93 | 1.07 | 4.02 | 1.08 |
| Surface [m2] | 40.46 | 4.23 | 42.72 | 4.32 | 43.24 | 7.01 |
| Parameter | 2021 | 2022 | 2022 Matrice | 2023 Matrice | ||||
|---|---|---|---|---|---|---|---|---|
| r | p-Value | r | p-Value | r | p-Value | r | p-Value | |
| Side section | 0.27 | <0.05 | 0.27 | <0.05 | 0.64 | <0.001 | 0.61 | <0.001 |
| Thickness | 0.05 | 0.68 | −0.29 | <0.05 | 0.64 | <0.001 | 0.57 | <0.001 |
| Volume | 0.04 | 0.78 | 0.58 | <0.001 | 0.6 | <0.001 | 0.53 | <0.001 |
| Surface | 0.06 | 0.63 | 0.45 | <0.001 | 0.51 | <0.001 | 0.45 | <0.001 |
| Equation Used for Prediction | Discrepancy |
|---|---|
| 1: Y = −43.8 + 5.836 × side section | −11.8% |
| 2: Y = −16.06 + 8.187 × thickness | 10.2% |
| 3: Y = 12.28 + 2.719 × volume | −9.9% |
| 4: Y = 1.32 + 0.5705 × surface | 1.0% |
| 5: Y = −47.72 + 4.159 × side section + 4.687 × thickness | −2.5% |
| 6: Y = 3.123 × thickness + 1.988 × volume | −3.2% |
| 7: Y = 0.4237 × side section × thickness | 2.0% |
| 8: Y = 14.9 + 0.03545 × side section × thickness × volume | −7.0% |
| Equation |
|---|
| 9: Y = −44.234 + 6.141 × side section |
| 10: Y = −2.81 + 5.262 × thickness |
| 11: Y = 13.68 + 3.002 × volume |
| 12: Y = 7.492 + 0.422 × surface |
| 13: Y = −42.06 + 4.338 × side section + 3.386 × thickness |
| 14: Y = 3.802 × thickness + 1.267 × volume |
| 15: Y = 0.4154 × side section × thickness |
| 16: Y = 16.54 + 0.03577 × side section × thickness × volume |
Disclaimer/Publisher’s Note: The statements, opinions and data contained in all publications are solely those of the individual author(s) and contributor(s) and not of MDPI and/or the editor(s). MDPI and/or the editor(s) disclaim responsibility for any injury to people or property resulting from any ideas, methods, instructions or products referred to in the content. |
© 2024 by the authors. Licensee MDPI, Basel, Switzerland. This article is an open access article distributed under the terms and conditions of the Creative Commons Attribution (CC BY) license (https://creativecommons.org/licenses/by/4.0/).
Share and Cite
Šupčík, A.; Milics, G.; Matečný, I. Predicting Grape Yield with Vine Canopy Morphology Analysis from 3D Point Clouds Generated by UAV Imagery. Drones 2024, 8, 216. https://doi.org/10.3390/drones8060216
Šupčík A, Milics G, Matečný I. Predicting Grape Yield with Vine Canopy Morphology Analysis from 3D Point Clouds Generated by UAV Imagery. Drones. 2024; 8(6):216. https://doi.org/10.3390/drones8060216
Chicago/Turabian StyleŠupčík, Adam, Gabor Milics, and Igor Matečný. 2024. "Predicting Grape Yield with Vine Canopy Morphology Analysis from 3D Point Clouds Generated by UAV Imagery" Drones 8, no. 6: 216. https://doi.org/10.3390/drones8060216
APA StyleŠupčík, A., Milics, G., & Matečný, I. (2024). Predicting Grape Yield with Vine Canopy Morphology Analysis from 3D Point Clouds Generated by UAV Imagery. Drones, 8(6), 216. https://doi.org/10.3390/drones8060216

