Next Article in Journal
Research and Design of an Active Light Source System for UAVs Based on Light Intensity Matching Model
Next Article in Special Issue
Multi-Rotor Drone-Based Thermal Target Tracking with Track Segment Association for Search and Rescue Missions
Previous Article in Journal
Mapping Stratigraphy and Artifact Distribution with Unmanned Aerial Vehicle-Based Three-Dimensional Models—A Case Study from the Post Research Area in Northwestern Texas, USA
Previous Article in Special Issue
A Novel Fuzzy Image-Based UAV Landing Using RGBD Data and Visual SLAM
 
 
Font Type:
Arial Georgia Verdana
Font Size:
Aa Aa Aa
Line Spacing:
Column Width:
Background:
Article

T–S Fuzzy Observer-Based Output Feedback Lateral Control of UGVs Using a Disturbance Observer

1
Department of Electronics and Electrical Engineering, Dankook University, Yongin 16890, Republic of Korea
2
School of Aeronautics and Astronautics, Purdue University, West Lafayette, IN 47907, USA
*
Author to whom correspondence should be addressed.
Drones 2024, 8(11), 685; https://doi.org/10.3390/drones8110685
Submission received: 29 September 2024 / Revised: 15 November 2024 / Accepted: 15 November 2024 / Published: 19 November 2024

Abstract

This paper introduces a novel observer-based fuzzy tracking controller that integrates disturbance estimation to improve state estimation and path tracking in the lateral control systems of Unmanned Ground Vehicles (UGVs). The design of the controller is based on linear matrix inequality (LMI) conditions derived from a Takagi–Sugeno fuzzy model and a relaxation technique that incorporates additional null terms. The state observer is developed to estimate both the vehicle’s state and external disturbances, such as road curvature. By incorporating the disturbance observer, the proposed approach effectively mitigates performance degradation caused by discrepancies between the system and observer dynamics. The simulation results, conducted in MATLAB and a commercial autonomous driving simulator, demonstrate that the proposed control method substantially enhances state estimation accuracy and improves the robustness of path tracking under varying conditions.

1. Introduction

With the growing interest in Unmanned Ground Vehicles (UGVs) across various industries such as defense, agriculture, and logistics, the need for research in this area has significantly increased [1,2]. Similar to autonomous vehicles, UGV control systems can be broadly divided into longitudinal and lateral control. Longitudinal control [3] is crucial for managing vehicle speed and ensuring a safe distance, both of which are essential for UGV operations in structured and unstructured environments. On the other hand, lateral control ensures accurate path tracking and maneuverability, playing a critical role in UGV autonomous navigation. Various lateral control methods have been applied to UGVs, including Stanley, pure pursuit, model predictive control (MPC), state feedback control, and sliding mode control [4,5,6]. Recent studies have focused on improving the robustness and accuracy of UGV control techniques in unpredictable terrains. For example, Ref. [7] proposed an LQG (linear quadratic Gaussian) control method that incorporates an adaptive Q-matrix to enhance path accuracy and reduce noise. Additionally, Ref. [8] developed an MPC-based look-ahead distance optimization technique to address common path-following errors in rough terrains, significantly improving UGV path-following accuracy.
The aforementioned studies have been effectively utilized in designing lateral control systems for vehicles; however, they primarily rely on linear models for controller design, even though the system exhibits nonlinear dynamics. In the LQG approach [7], system noise is assumed to follow a Gaussian distribution to calculate optimal control gains. Nonetheless, there is potential for enhanced control performance by directly estimating the disturbances acting on the vehicle. Additionally, despite recent successful applications of MPC, it still faces practical limitations due to its high computational demands for achieving adequate performance. Consequently, a nonlinear control approach that efficiently compensates for estimated disturbances is required.
As stated above, enhancing path-following performance necessitates an accurate derivation of the UGV’s dynamic model [9]. However, previous research predominantly relied on linear models, which simplify the controller design process but fail to adequately capture the nonlinear characteristics of real-world systems. Specifically, neglecting the high lateral accelerations that occur when turning tightly can degrade path-following performance. To address this issue, nonlinear path-following control techniques utilizing Takagi–Sugeno (T–S) fuzzy models [10] have been introduced. The T–S fuzzy model represents nonlinear systems as a combination of multiple linear subsystems, allowing the application of linear control theory while handling nonlinearities. Nevertheless, previous studies based on the T–S fuzzy model [11,12,13,14] predominantly used side slip angle and yaw rate as state variables with the inherent limitation that the side slip angle is difficult to measure in practice.
In contrast to the previous studies, we employ a path-following controller that utilizes lateral and heading tracking errors and their derivatives as state variables. To reduce the hardware implement costs associated with sensors, we apply an output feedback control based on a state observer, aiming to achieve high performance using only measured output variables [15,16]. The design of controllers relying solely on output feedback is an important research topic, and observer-based control systems have been widely employed in path-following control. For example, Ref. [17] presented a robust exponential stabilization method based on an observer-based approach for linear systems with parametric uncertainties, deriving stability conditions as linear matrix inequalities (LMIs). Similarly, Ref. [18] applied a backstepping technique to relax initial condition constraints and employed an adaptive fuzzy approximation method for nonlinear time-delay systems to design an observer-based output-feedback tracking control. Additionally, Ref. [19] addressed tire cornering stiffness as a variable and designed a T–S fuzzy observer-based controller robust to parameter uncertainties.
Observer-based control systems offer the advantage of enabling the simultaneous design of both the controller and the observer by constructing a state-space model that accounts for both system states and estimation errors. However, this increases the dimension of the resulting state space model, which can introduce more conservativeness to the stabilization conditions. To mitigate this issue, recent research has explored methods to decouple the controller and observer designs or reduce the conservatism of stabilization conditions. For example, Ref. [20] introduced a novel fuzzy relaxed matrix technique for fuzzy observer-based repetitive controllers, reducing the conservatism of stabilization conditions. Furthermore, Ref. [21] proposed less conservative LMI-based design conditions for decentralized fuzzy observer-based control systems. Based on this, Refs. [22,23] developed conditions for the design of digital observers using sampled-data control techniques. Despite these advances, the need for further research to relax the conservatism of observer-based controller design conditions remains.
Additionally, considerable research has focused on mitigating the impact of disturbances on control performance. In path-following control, road curvature often acts as a significant disturbance, and accurately estimating these disturbances can greatly enhance tracking performance. Traditional robust control methods, such as H control and energy-to-peak control, have been widely employed [24,25,26]. However, recent studies have increasingly focused on disturbance observers (DOBs) to estimate disturbances and improve control performance [27,28]. Ref. [29] utilized state and disturbance observers to enhance control performance in conditions of disturbances and uncertainties, incorporating integral sliding mode control to reduce chattering and improve computational efficiency. Ref. [30] applied a DOB to systems with uncertainties and time delays, deriving control design conditions in the form of LMIs. Furthermore, ref. [31] analyzed non-periodic disturbances using Fourier transforms, applying this analysis to DOB design, while [32] explored the application of DOBs to spacecraft systems with robust non-fragile control performance. Additionally, ref. [33] has developed a method that focuses solely on estimating the external disturbance included in the state estimator.
Based on the above observations, this study presents an LMI-based design condition for the observer-based fuzzy tracking controller utilizing the disturbance observer. We summarize the main contributions of this paper as follows:
  • This paper introduces a novel method that integrates disturbance estimation into the state observer, effectively mitigating performance degradation due to discrepancies between system and observer dynamics.
  • An accurate T–S fuzzy model representing the UGV lateral tracking control system using lateral and heading tracking errors and their derivatives as state variables is proposed, enhancing the reliability of control design and analysis by precisely representing nonlinear dynamics.
  • A relaxation technique utilizing null terms is applied to address the conservatism in the previous LMI-based conditions resulting from the inclusion of a disturbance observer.
  • The effectiveness of the proposed method in estimating road curvature and improving path-tracking performance is demonstrated through the simulation results obtained from both MATLAB and commercial autonomous driving simulator.
Notations: The notation R n , R n × m , and S n represent the spaces of n × 1 real vectors, n × m real matrices, and n × n symmetric real matrices, respectively. The n × n identity matrix is denoted by I n , while 0 signifies a zero matrix with dimensions appropriate to the context. For a positive integer p, I p denotes the integer set 1 , 2 , , p . The shorthand Sym X = X + X T is used to indicate the symmetrization of a matrix X. For symmetric matrices, the notation X 0 ( X 0 ) is used to denote positive (negative) definiteness. We employ col and diag to denote a column vector and a block-diagonal matrix, respectively, and we use * to represent the transposed element in symmetric positions of matrices. Additionally, for any matrix M i j and scalar functions h i ( ν ( t ) ) , the following shorthand notation is utilized:
M h h : = i = 1 r j = 1 r h i ( ν ( t ) ) h j ( ν ( t ) ) M i j and M h : = i = 1 r h i ( ν ( t ) ) M i .
All symbols related to the UGV are summarized in Table 1.

2. Problem Statement

In this section, we establish the control objective by first deriving the lateral UGV dynamics and expressing it through a T–S fuzzy model representation. Subsequently, we present the structure of the proposed control system, which incorporates an observer designed to estimate both the UGV states and external disturbances.

2.1. Dynamics of Nonlinear UGV Lateral Model

Figure 1 presents the UGV path-following control system model used in this study, where the UGV is represented as a simplified bicycle model. The thick solid line denotes the target trajectory, which could correspond to lane centerlines or GPS waypoints for tracking. The UGV’s center of gravity (c.g.) and the closest target point in the inertial frame are represented by ( X , Y ) and ( X r , Y r ) , respectively. The UGV’s heading angle, ψ , and the target point’s tangential angle, ψ des , are illustrated in the figure. The front wheel’s steering angle is denoted by δ . In this paper, we do not consider the actuator dynamics of the front wheel steering, which is used as a control input. Meanwhile, l f and l r represent the distances from the c.g. to the front and rear wheels, respectively. Additionally, v x , v y , and γ correspond to the longitudinal velocity, lateral velocity, and yaw rate at the UGV’s c.g. Finally, e y and e ψ denote the lateral and heading tracking errors, respectively.
According to Newton’s second law, the dynamic equation governing the UGV’s lateral motion can be expressed as follows:
m y ¨ ( t ) + γ ( t ) v x ( t ) = F y f ( t ) + F y r ( t ) I z ψ ¨ ( t ) = l f F y f ( t ) l r F y r ( t ) ,
where m and I z are the mass [ kg ] and moment of inertia about the z-axis [ kg · m 2 ] , respectively; y ¨ ( t ) is the acceleration on the y-axis in the body-fixed frame [ m / s 2 ] ; F y f ( t ) and F y r ( t ) are lateral forces on the front and rear tires [ N ] , respectively.
Under the small angle assumption commonly used in UGV dynamics, the lateral tire forces can be expressed as follows [34]:
F y f ( t ) = 2 c f δ ( t ) v y ( t ) + l f γ ( t ) v x ( t ) , F y r ( t ) = 2 c r l r γ ( t ) v y ( t ) v x ( t ) ,
where c f and c r are, respectively, the tire stiffness coefficients of the front and rear tires [ N / rad ] , and δ ( t ) R n u with n u = 1 is a steering angle in [ rad ] .
Substituting (2) into (1) and performing some straightforward algebraic manipulations, we obtain the following dynamic equation for the lateral motion of the UGV:
y ˙ ( t ) y ¨ ( t ) ψ ˙ ( t ) ψ ¨ ( t ) = 0 1 0 0 0 2 c f + 2 c r m v x ( t ) 0 v x ( t ) 2 c f l f 2 c r l r m v x ( t ) 0 0 0 1 0 2 l f c f 2 l r c r I z v x ( t ) 0 2 l f 2 c f + 2 l r 2 c r I z v x ( t ) y ( t ) y ˙ ( t ) ψ ( t ) ψ ˙ ( t ) + 0 2 c f m 0 2 l f c f I z δ ( t ) .
Letting R be a radius of curvature [ m ] , then we have ψ ˙ des = v x / R . Then, the double derivative of e y , which represents the acceleration of the lateral tracking error, the difference between the actual and target acceleration of lateral motion, becomes
e ¨ y ( t ) = y ¨ ( t ) + v x ( t ) ψ ˙ ( t ) ψ ˙ des ( t ) .
Also, from the definition of e ψ ( t ) , which is e ψ ( t ) = ψ ( t ) ψ des ( t ) , it is simple to have e ˙ ψ ( t ) = ψ ˙ ( t ) ψ ˙ des ( t ) . Summarizing the above, we can convert the lateral dynamics (3) into the following lateral tracking error dynamics [34]:
x ˙ ( t ) = A ( t ) x ( t ) + B δ ( t ) + B d ( t ) ω ( t ) , y ( t ) = C x ( t ) ,
where x ( t ) = col e y ( t ) , e ˙ y ( t ) , e ψ ( t ) , e ˙ ψ R n x , y ( t ) = col e y ( t ) , e ψ ( t ) R n y , and ω ( t ) = ψ ˙ des ( t ) R n ω are the system’s state, output, and disturbance input vectors, respectively. Here, it is clear that n x = 4 , n y = 2 , and u ω = 1 . Also, matrices are defined as follows:
A ( t ) = 0 1 0 0 0 2 ( c f + c r ) m v x ( t ) 2 ( c f + c r ) m 2 l r c r 2 l f c f m v x ( t ) 0 0 0 1 0 2 l r c r 2 l f c f I z v x ( t ) 2 l f c f 2 l r c r I z 2 ( l f 2 c f + l r 2 c r ) I z v x ( t ) ; B = 0 2 c f m 0 2 l f c f I z ; B d ( t ) = 0 2 l r c r 2 l f c f m v x ( t ) v x ( t ) 0 2 ( l f 2 c f + l r 2 c r ) I z v x ( t ) ; C = 1 0 0 0 0 0 1 0 .
Remark 1.
In this paper, we used the small angle approximation when deriving the lateral control dynamics. The small-angle approximation is valid only for low-speed or mild turning scenarios. At higher speeds or larger steering angles, the approximation introduces inaccuracies as nonlinear effects and tire dynamics become significant, reducing model fidelity [34]. Despite these limitations, UGVs considered in this paper typically operate at low speeds within standard urban environments, making it suitable for the control design study.
Remark 2.
The lateral tracking error dynamics (4) is considered a nonlinear equation due to the presence of A ( t ) and B d ( t ) , which contain the time-varying variables v x ( t ) and 1 / v x ( t ) . While linear control-based approaches treat these variables as constants for simplification, practical applications reveal that v x ( t ) , and consequently 1 / v x ( t ) , fluctuate over time. To address the challenges posed by these time-varying variables, this paper introduces a T–S fuzzy model for the lateral tracking model.
Although recent research [11,12,13] has explored the use of T–S fuzzy models, these studies typically rely on the vehicle’s side slip angle to establish the model. However, obtaining the side slip angle through sensors can be challenging in practical scenarios. In contrast, the model introduced in this paper, which solely utilizes lateral tracking error, offers a more practical approach by avoiding the need for such measurements.
Remark 3.
The rate of change of the desired heading angle, ψ ˙ des , is influenced by both v x ( t ) and R. However, accurately measuring R during vehicle experiments poses significant challenges. Additionally, R is independent of the control system; it effectively acts as a virtual external force on the lateral tracking model. Therefore, we consider ψ ˙ des as an external disturbance impacting the UGV and introduce a method to enhance state estimation performance by designing a disturbance observer to estimate this. Moreover, to minimize the impact of ψ ˙ des on the system, this paper employs an H control technique, which requires ψ ˙ des to be square integrable.

2.2. T–S Fuzzy Modeling

The first step in representing the given nonlinear system as a T–S fuzzy model is to identify the premise variables and their operating regions. As we previously analyzed, A ( t ) and B i d ( t ) contain the time-varying variables v x ( t ) and 1 / v x ( t ) . Thus, let the premise variables be ν ( t ) = { ν 1 ( t ) , ν 2 ( t ) } : = { v x ( t ) , 1 / v x ( t ) } ; then, their operating regions become ν 1 ( t ) [ ν 1 min , ν 1 max ] and ν 2 ( t ) [ ν 2 min , ν 2 max ] . As ν 1 ( t ) = 1 / ν 2 ( t ) , we know that the following relations hold: ν 1 min = ν 2 max and ν 1 max = ν 2 min .
Now, we can formulate the IF–THEN rules for (4) as follows:
Rule i : IF ν 1 ( t ) is M 1 i ν 1 ( t ) and ν 2 ( t ) is M 2 i ν 2 ( t ) , THEN x ˙ ( t ) = A i x ( t ) + B i δ ( t ) + B i d ω ( t ) , y ( t ) = C i x ( t ) ,
where i I r is a rule number, and r = 4 is the total number of rules; M 1 i ν 1 ( t ) and M 2 i ν 2 ( t ) are fuzzy sets for each premise variable in the ith rule;
A i = 0 1 0 0 0 2 ( c f + c r ) m ν 1 i 2 ( c f + c r ) m 2 l r c r 2 l f c f m ν 1 i 0 0 0 1 0 2 l r c r 2 l f c f I z ν 1 i 2 l f c f 2 l r c r I z 2 ( l f 2 c f + l r 2 c r ) I z ν 1 i ; B i = 0 2 c f m 0 2 l f c f I z ; B i d = 0 2 l r c r 2 l f c f m ν 1 i ν 2 i 0 2 ( l f 2 c f + l r 2 c r ) I z ν 1 i ; C i = 1 0 0 0 0 0 1 0 ;
ν 1 i and ν 2 i are the ith element of ν 1 = { ν 1 max , ν 1 max , ν 1 min , ν 1 min } and ν 2 = { ν 2 max , ν 2 min , ν 2 max , ν 2 min } , respectively. Using the general inference process, the IF–THEN rules (5) can be inferred as the following fuzzy model:
x ˙ ( t ) = i = 1 r h i ( ν ( t ) ) A i x ( t ) + B i δ ( t ) + B i d ω ( t ) , y ( t ) = i = 1 r h i ( ν ( t ) ) C i x ( t ) ,
where h i ( ν ( t ) ) [ 0 , 1 ] is a membership function of the ith fuzzy rule, which has the following relation:
h 1 ( ν ( t ) ) = M 11 ( ν 1 ( t ) ) × M 21 ( ν 2 ( t ) ) , h 2 ( ν ( t ) ) = M 12 ( ν 1 ( t ) ) × M 22 ( ν 2 ( t ) ) , h 3 ( ν ( t ) ) = M 13 ( ν 1 ( t ) ) × M 23 ( ν 2 ( t ) ) , h 4 ( ν ( t ) ) = M 14 ( ν 1 ( t ) ) × M 24 ( ν 2 ( t ) ) ,
with
M 11 ( ν 1 ( t ) ) = M 12 ( ν 1 ( t ) ) = ν 1 ( t ) ν 1 min ν 1 max ν 1 min , M 13 ( ν 1 ( t ) ) = M 14 ( ν 1 ( t ) ) = ν 1 max ν 1 ( t ) ν 1 max ν 1 min , M 21 ( ν 2 ( t ) ) = M 23 ( ν 2 ( t ) ) = ν 2 ( t ) ν 2 min ν 2 max ν 2 min , M 22 ( ν 2 ( t ) ) = M 24 ( ν 2 ( t ) ) = ν 2 max ν 2 ( t ) ν 2 max ν 2 min .
Remark 4.
We reforumlate the nonlinear dynamics presented in (4) as the T–S fuzzy model in (6) using the sector nonlinearity concept [35]. Consequently, the resulting fuzzy model is not an approximation of (4); the two system models are mathematically equivalent. It is straightforward to verify that (4) and (6) are algebraically identical. Therefore, the designed controller stabilizing (6) will also ensure the stabilization of (4).

2.3. T–S Fuzzy Observer-Based Controller with Disturbance Observer

As the state vector contains e ˙ y and e ˙ ψ , which are not easy to measure in general, we employ the observer-based control scheme to estimate these state variables. The proposed observer-based control scheme that employs the disturbance observer is given as follows:
Rule i : IF ν 1 ( t ) is M 1 i ν 1 ( t ) and ν 2 ( t ) is M 2 i ν 2 ( t ) , THEN x ^ ˙ ( t ) = A i x ^ ( t ) + B i δ ( t ) + L i y ( t ) y ^ ( t ) + B i d ω ^ ( t ) , y ^ ( t ) = C i x ^ ( t ) , δ ( t ) = K i x ^ ( t ) ,
where x ^ ( t ) R n x and y ^ ( t ) R n y are the state observer’s state and output vectors; ω ^ ( t ) R n ω is an estimated disturbance from a disturbance observer; L i R n x × n y and K i R n u × n x are the state observer gain and control gain matrices, respectively, to be determined.
As in the system model, the general inference process gives the following inferred output of (7):
x ^ ˙ ( t ) = i = 1 r h i ( ν ( t ) ) A i x ^ ( t ) + B i δ ( t ) + L i y ( t ) y ^ ( t ) + B i d ω ^ ( t ) ,
y ^ ( t ) = i = 1 r h i ( ν ( t ) ) C i x ^ ( t ) ,
δ ( t ) = i = 1 r h i ( ν ( t ) ) K i x ^ ( t ) .
Remark 5.
A novel observer-based control scheme (8) that incorporates disturbance estimation, ω ^ ( t ) , is proposed in this paper. In scenarios where the system dynamics is affected by an external disturbance, ω ( t ) , insufficient information about ω ( t ) can result in state estimation inaccuracies due to discrepancies in system and observer dynamics. To mitigate this issue, we utilized ω ^ ( t ) into the state observer with the objective of minimizing the state estimation error and enhancing the overall system performance.
To mitigate the impact of ω ( t ) on state estimation, it is essential that ω ^ ( t ) ω ( t ) as t . We employ the following T–S fuzzy disturbance observer designed to estimate ω ( t ) :
Rule i : IF ν 1 ( t ) is M 1 i ν 1 ( t ) and ν 2 ( t ) is M 2 i ν 2 ( t ) , THEN ω ^ ˙ ( t ) = W i y ( t ) y ^ ( t ) ,
where W i R n ω × n y represents a disturbance observer gain matrix that needs to be determined. Once again, as in the previous steps, we applied the general inference process to obtain the following equation from (10):
ω ^ ˙ ( t ) = i = 1 r h i ( ν ( t ) ) W i y ( t ) y ^ ( t ) .
Let the state estimation error and disturbance estimation error be e x ( t ) : = x ( t ) x ^ ( t ) and e ω ( t ) : = ω ( t ) ω ^ ( t ) , respectively. Then, from (6), (8), and (11), we have the following state and disturbance estimation error dynamics:
e ˙ x ( t ) = x ˙ ( t ) x ^ ˙ ( t ) = i = 1 r j = 1 r h i ( ν ( t ) ) h j ( ν ( t ) ) A i x ( t ) x ^ ( t ) L i C j x ( t ) x ^ ( t ) + B i d ω ( t ) ω ^ ( t ) = i = 1 r j = 1 r h i ( ν ( t ) ) h j ( ν ( t ) ) A i L i C j e x ( t ) + B i d e ω ( t ) ,
e ˙ ω ( t ) = ω ˙ ( t ) ω ^ ˙ ( t ) = i = 1 r j = 1 r h i ( ν ( t ) ) h j ( ν ( t ) ) W i C j e x ( t ) + ω ˙ ( t ) .
Now, defining e ( t ) = col e x ( t ) , e ω ( t ) , we have the following from (12) and (13):
e ˙ ( t ) = i = 1 r j = 1 r h i ( ν ( t ) ) h j ( ν ( t ) ) ( A i e L i e C j e ) e ( t ) + I ω ˙ ( t ) ,
where
A i e = A i B i d 0 0 ; L i e = L i W i ; C j e = C j 0 ; I = 0 0 I n ω 0 .
Also, by substituting the controller into the state-space equation, we have
x ˙ ( t ) = i = 1 r j = 1 r h i ( ν ( t ) ) h j ( ν ( t ) ) A i x ( t ) + B i K j x ( t ) e x ( t ) + B i d ω ^ ( t ) + e ω ( t ) = i = 1 r j = 1 r h i ( ν ( t ) ) h j ( ν ( t ) ) ( A i + B i K j ) x ( t ) B i K j e x ( t ) + B i d e ω ( t ) + ω ^ ( t ) .
Combining (12), (13), and (15), the following closed-loop augmented system dynamics are obtained:
z ˙ ( t ) = i = 1 r j = 1 r h i ( ν ( t ) ) h j ( ν ( t ) ) A i j z z ( t ) + B i z Ω ( t ) ,
where z ( t ) : = col x ( t ) , e ( t ) ; Ω ( t ) = col ω ^ ( t ) , ω ˙ ( t ) ;
A i j z = A i j z 11 A i j z 12 0 A i j z 22 ; B i z = 0 B i d 0 0 I n ω 0 ; A i j z 11 = A i + B i K j ; A i j z 12 = B i K j B i d ; A i j z 22 = A i e L i e C j e
Finally, using the shorthand notation, we can simplify Equation (16) as follows:
z ˙ ( t ) = A h h z z ( t ) + B h z Ω ( t ) .

2.4. Control Objectives

We close this section by defining the control objectives addressed in this paper. First, we describe the analysis objectives of the proposed observer-based lateral control system.
Problem 1.
(Analysis) Given the control gain matrix K i and observer gain matrices L i and W i , show that the closed-loop augmented system (17) satisfies the following objectives:
  • Objective 1: The equilibrium of (17) is asymptotically stable if Ω ( t ) = 0 for all t 0 . In other words, if the target trajectory is a straight line, both the lateral and heading tracking errors, as well as the state estimation error, converge to zero.
  • Objective 2: Under Ω ( t ) 0 and z ( 0 ) = 0 , the following norm inequality holds:
    0 t f z T ( t ) Q z ( t ) d t β 2 0 t f Ω T ( t ) Ω ( t ) d t ,
    where t f > 0 is the terminal time of control, Q = diag Q 1 , Q 2 with Q 1 R n x × n x and Q 2 R ( n x + n ω ) × ( n x + n ω ) is a predefined diagonal matrix, and β R > 0 is a positive scalar to be minimized. In other words, the tracking and state estimation error are minimized to a certain level even if the target trajectory has some curves.
In addition, the controller design problem is defined in the following problem:
Problem 2.
(Design) Find the control gain matrix K i and observer gain matrices L i and W i that make the closed-loop augmented system (17) satisfy the objectives given in Problem 1.

3. Main Results

In this section, we provide two approaches to designing the lateral controller of the UGV using the fuzzy observer-based control technique.

3.1. Observer-Based Controller Design Using Disturbance Observer

This subsection presents LMI-based sufficient conditions that ensure the achievement of the control objectives defined in Problem 1 and Problem 2. This subsection begins by introducing the following lemmas required for deriving the main theorem:
Lemma 1.
[36] For a given positive constant ρ R > 0 and any matrices X and Y of appropriate dimensions, the following always holds: X T Y + Y T X ρ X T X + ρ 1 Y T Y .
Lemma 2.
[37] For a positive scalar ζ, a positive definite matrix M, and any matrix X, the following always holds:
X M 1 X 2 ζ X ζ 2 M .
The following theorem establishes a sufficient condition for the observer-based lateral control system in (17) to meet the control objectives outlined in Problem 1:
Theorem 1.
For given gain matrices K i , L i , and W i with i I r , positive scalars α, β, and ϵ, and given diagonal matrices Q 1 R n x × n x and Q 2 R ( n x + n ω ) × ( n x + n ω ) , whose diagonal elements are positive real numbers, if there exist positive definite matrices P 1 S n x and P 2 S ( n x + n ω ) , full rank matrices M 1 R n x × n x and M 2 R ( n x + n ω ) × ( n x + n ω ) , and symmetric full rank matrices H S ( n x + n ω ) and S S ( n x + n ω ) , such that the following matrix inequalities are satisfied, then the observer-based fuzzy lateral control system (17) achieves the control objectives in Problem 1:
Ξ 1 i i 0 , for i I r
Ξ 2 i i 0 , for i I r
Ξ 1 i j + Ξ 1 j i 0 , for ( i , j ) I ( j 1 ) × I r
Ξ 2 i j + Ξ 2 j i 0 for ( i , j ) I ( j 1 ) × I r ,
where λ B i z M = max i I r λ B i z ; P 1 : = P 1 0 0 I n ω ;
Ξ 1 i j = Sym M 2 T A i j z 22 + Q 2 * * * * * α M 2 T A i j z 22 M 2 + P 2 α ( M 2 + M 2 T ) * * * * M 2 α M 2 β 2 λ B i z M I ( n x + n ω ) * * * I n x + n ω 0 0 ϵ 1 P 1 1 * * 0 I n x + n ω 0 0 H * 0 0 I n x + n ω 0 0 S ; Ξ 2 i j = Sym M 1 T A i j z 11 + Q 1 * * * * * M 1 T A i j z 12 T ϵ P 1 * * * * α M 1 T A i j z 11 M 1 + P 1 α M 1 T A i j z 12 α ( M 1 + M 1 T ) * * * 0 0 0 H 1 * * M 1 0 α M 1 0 β 2 λ B i z M I n x * 0 0 0 0 0 S 1 .
Proof. 
Let the Lyapunov function candidate be defined as follows:
V ( t ) = z T ( t ) P z ( t ) ,
where P = P 1 0 0 P 2 S ( 2 n x + n ω ) , in which P 1 S n x and P 2 S n x + n ω , and its time derivative is
V ˙ ( t ) = 2 z T ( t ) P z ˙ ( t ) .
For any full rank matrix M = diag M 1 , M 2 R ( 2 n x + n ω ) × ( 2 n x + n ω ) , where M 1 R n x × n x and M 2 R ( n x + n ω ) × ( n x + n ω ) are full rank matrices to be determined, and a given positive scalar α , it is clear that the following holds because of the dynamic equation of (17):
0 = 2 M z ( t ) + α M z ˙ ( t ) T z ˙ ( t ) + A h h z z ( t ) + B h z Ω ( t ) .
Next, to guarantee the performance criterion (18), define the following inequality:
J ( t ) = z T ( t ) Q z ( t ) β 2 Ω T ( t ) Ω ( t ) 0 .
Summing (24)–(26) yields
V ˙ ( t ) + J ( t ) = 2 z T ( t ) P z ˙ ( t ) + 2 M z ( t ) + α M z ˙ ( t ) T z ˙ ( t ) + A h h z z ( t ) + B h z Ω ( t ) + z T ( t ) Q z ( t ) β 2 Ω T ( t ) Ω ( t ) = 2 z T ( t ) P z ˙ ( t ) + 2 M z ( t ) + α M z ˙ ( t ) T z ˙ ( t ) + A h h z z ( t ) + 2 M z ( t ) + α M z ˙ ( t ) T B h z Ω ( t ) + z T ( t ) Q z ( t ) β 2 Ω T ( t ) Ω ( t )
Applying Lemma 1 to (27), we have
V ˙ ( t ) + J ( t ) 2 z T ( t ) P z ˙ ( t ) + 2 M z ( t ) + α M z ˙ ( t ) T z ˙ ( t ) + A h h z z ( t ) + ρ M z ( t ) + α M z ˙ ( t ) T M z ( t ) + α M z ˙ ( t ) + z T ( t ) Q z ( t ) + Ω T ( t ) ρ 1 ( B h z ) T B h z β 2 I n ω Ω ( t ) = η T ( t ) { M T A h h z + ( A h h z ) T M + Q * α M T A h h z M + P α ( M + M T ) + M α M T ρ I ( 2 n x + n ω ) M α M } η ( t ) + Ω T ( t ) ρ 1 ( B h z ) T B h z β 2 I n ω Ω ( t ) ,
where ρ R > 0 is a given scalar, and η ( t ) = col z ( t ) , z ˙ ( t ) .
Now, for some ρ and β , assume that the following holds:
ρ 1 ( B h z ) T B h z β 2 I n ω 0 ,
then (28) is majorized by
V ˙ ( t ) + J ( t ) η T ( t ) { M T A h h z + ( A h h z ) T M + Q * α M T A h h z M + P α ( M + M T ) + M α M T ρ I ( 2 n x + n ω ) M α M } η ( t ) .
Also, rewriting the condition (29) without using the shorthand notation, we have
i = 1 r j = 1 r h i ( ν ( t ) ) h j ( ν ( t ) ) ρ 1 ( B i z ) T B i z β 2 I n ω 0 .
It is trivial that ( B i z ) T B i z λ B i z I n x , where λ B i z denotes the maximum eigenvalue of B i z . Therefore, letting
ρ 1 = β 2 λ B i z M ,
then (31) is guaranteed, where λ B i z M = max i I r λ B i z .
On the other hand, from (30), we can derive the following sufficient condition for guaranteeing the negative definiteness of V ˙ ( t ) + J ( t ) :
M T A h h z + ( A h h z ) T M + Q * α M T A h h z M + P α ( M + M T ) + M α M T ρ I ( 2 n x + n ω ) M α M 0 ,
which can be further manipulated as follows by applying the Schur complement:
M T A h h z + ( A h h z ) T M + Q * * α M T A h h z M + P α ( M + M T ) * M α M ρ 1 I ( 2 n x + n ω ) 0 .
From the definition, we have
M T A h h z = M 1 T 0 0 M 2 T A h h z 11 A h h z 12 0 A h h z 22 = M 1 T A h h z 11 M 1 T A h h z 12 0 M 2 T A h h z 22 .
By substituting the above equation into (33), we obtain the following:
Sym M 1 T A h h z 11 + Q 1 * * M 1 T A h h z 12 T Sym M 2 T A h h z 22 + Q 2 * α M 1 T A h h z 11 M 1 + P 1 α M 1 T A h h z 12 α ( M 1 + M 1 T ) 0 α M 2 T A h h z 22 M 2 + P 2 0 M 1 0 α M 1 0 M 2 0 * * * * * * * α ( M 2 + M 2 T ) * * 0 ρ 1 I n x * α M 2 0 ρ 1 I n x + n ω 0
By eliminating the first, third, and fifth columns and rows of the matrix in the above inequality, we can construct a new matrix that consists solely of the decision variable M 2 . Using this new matrix, we assume that the following matrix inequality is satisfied:
Sym M 2 T A h h z 22 + Q 2 * * α M 2 T A h h z 22 M 2 + P 2 α ( M 2 + M 2 T ) * M 2 α M 2 ρ 1 I ( n x + n ω ) ϵ P 1 * * 0 H 1 * 0 0 S 1 ,
where ϵ is a given positive scalar; H S n x + n ω and S S n x + n ω are symmetric matrices to be determined; P 1 : = P 1 0 0 I n ω . Applying the Schur complement on (35), we have
Sym M 2 T A h h z 22 + Q 2 * * * * * α M 2 T A h h z 22 M 2 + P 2 α ( M 2 + M 2 T ) * * * * M 2 α M 2 ρ 1 I ( n x + n ω ) * * * I n x + n ω 0 0 ϵ 1 P 1 1 * * 0 I n x + n ω 0 0 H * 0 0 I n x + n ω 0 0 S 0
Therefore, if (36) is satisfied, then from (35), we can majorize (34) as follows:
V ˙ ( t ) + J ( t ) Sym M 1 T A h h z 11 + Q 1 * * * * * M 1 T A h h z 12 T ϵ P 1 * * * * α M 1 T A h h z 11 M 1 + P 1 α M 1 T A h h z 12 α ( M 1 + M 1 T ) * * * 0 0 0 H 1 * * M 1 0 α M 1 0 ρ 1 I n x * 0 0 0 0 0 S 1 0 .
Lastly, substituting (32) into (36) and (37), we have the matrix inequality condition (19)–(22) that guarantees that V ˙ ( t ) + J ( t ) 0 .
On the other hand, assume that a solution to (19)–(22) exists. Then, by setting Ω ( t ) = 0 for all t 0 , we can guarantee that V ˙ ( t ) z T ( t ) z ( t ) 0 holds. This implies that V ( t ) 0 and V ˙ ( t ) 0 for all t 0 , ensuring that the equilibrium of (17) is asymptotically stable in the sense of Lyapunov.
Next, by assuming that z ( t ) = 0 , integrating V ˙ ( t ) + J ( t ) 0 from t = 0 to t = t f yields
V ( t f ) + 0 t f z T ( t ) z ( t ) d t β 2 0 t f Ω T ( t ) Ω ( t ) d t 0 0 t f z T ( t ) z ( t ) d t β 2 0 t f Ω T ( t ) Ω ( t ) d t V ( t f ) β 2 0 t f Ω T ( t ) Ω ( t ) .
Therefore, we can conclude that both control objectives are ensured by the matrix inequalities in (19)–(22). □
Using the matrix inequality conditions in (19)–(22), we can assess whether the specified controller and observer gains ensure that the observer-based lateral control system in (17) fulfills the control objectives stated in Problem 1.
To determine the gain matrices using Theorem 1, we must treat K i , L i , and W i as decision variables. However, doing so introduces nonlinearity into (19)–(22), which is mainly due to the product of two decision variables such as M 2 T L i . The following theorem addresses this challenge, providing a method for determining the gain matrices:
Theorem 2.
For given positive scalars α, β, ϵ, and ζ and given diagonal matrices Q 1 R n x × n x and Q 2 R ( n x + n ω ) × ( n x + n ω ) , whose diagonal elements are positive real numbers, if there exist positive definite matrices P ^ 1 S n x and P 2 S ( n x + n ω ) , full rank matrices M ^ 1 R n x × n x and M 2 R ( n x + n ω ) × ( n x + n ω ) , and symmetric full rank matrices H S ( n x + n ω ) and S S ( n x + n ω ) , and any matrices L ^ i e R ( n x + n ω ) × n y and K ^ i R n u × n x with i I r , such that the following LMIs are satisfied, then the obtained controller and observer gain matrices for the observer-based fuzzy lateral control system (17) achieve the control objectives in Problem 2:
Ξ ^ i i 1 0 , for i I r ,
Ξ ^ i i 2 0 , for i I r ,
Ξ ^ i j 1 + Ξ ^ j i 1 0 , for ( i , j ) I ( j 1 ) × I r ,
Ξ ^ i j 2 + Ξ ^ j i 2 0 , for ( i , j ) I ( j 1 ) × I r ,
where
Ξ ^ i j 1 = col Λ i j + Q 2 * * * * * α Λ i j M 2 + P 2 α ( M 2 + M 2 T ) * * * * M 2 α M 2 β 2 λ B i z M I ( n x + n ω ) * * * I n x + n ω 0 0 M 44 * * 0 I n x + n ω 0 0 H * 0 0 I n x + n ω 0 0 S ; Ξ ^ i j 2 = col χ i j 1 * * * * * * ( χ i j 2 ) T ϵ P ^ 1 * * * * * α χ i j 1 M ^ 1 T + P ^ 1 α χ i j 2 α M ^ 1 + M ^ 1 T * * * * 0 0 0 H * * * I n x 0 α I n x 0 β 2 λ B i z M I n x * * 0 0 0 0 0 S * M ^ 1 0 0 0 0 0 Q 1 1 ;
Λ i j = M 2 T A i e L ^ i e C j e ; L ^ i e = M 2 T L i e ; P ^ 1 = P ^ 1 0 0 I n ω ; M ^ 1 = M ^ 1 0 0 I n ω ; M ^ 1 = M 1 1 ; χ i j 1 = A i M ^ 1 + B i K ^ j ; χ i j 2 = B i K ^ j B i d ; K ^ i = K i M ^ 1 ; P ^ 1 = M ^ 1 T P 1 M ^ 1 ; M 44 : = ϵ 1 ζ M ^ 1 + M ^ 1 T + ζ 2 P ^ 1 .
Then, the control gain matrix is obtained by K i = K ^ i M ^ 1 1 , and the state and disturbance observers gain matrices are L i e = M 2 T L ^ i e .
Proof. 
First, let M 1 = M 1 0 0 I n ω . Then, using Lemma 2, we can refomulate the ( 4 , 4 ) th element of Ξ 1 i j in Theorem 1 as follows:
ϵ 1 P 1 1 = ϵ 1 M 1 T M 1 T P 1 1 M 1 M 1 1 ϵ 1 ζ M 1 1 + M 1 T + ζ 2 M 1 T P 1 M 1 1
= ϵ 1 ζ M ^ 1 + M ^ 1 T + ζ 2 P ^ 1 : = M 44 ,
where
P ^ 1 : = M 1 T P 1 M 1 1 = P ^ 1 0 0 I n ω , P ^ 1 : = M 1 T P 1 M 1 1 , M ^ 1 : = M ^ 1 0 0 I n ω .
Now, applying (42) to Ξ 1 i j in Theorem 1 yields
Ξ 1 i j Sym M 2 T A i j z 22 + Q 2 * * * * * α M 2 T A i j z 22 M 2 + P 2 α ( M 2 + M 2 T ) * * * * M 2 α M 2 β 2 λ B i z M I ( n x + n ω ) * * * I n x + n ω 0 0 M 44 * * 0 I n x + n ω 0 0 H * 0 0 I n x + n ω 0 0 S 0 .
In the above, M 2 T A i j z 22 is expended as
Λ i j : = M 2 T A i j z 22 = M 2 T A i e L i e C j e = M 2 T A i e L ^ i e C j e ,
where L ^ i e : = M 2 T L i e . Plugging these terms into (44), we have the LMIs in (38) and (39).
Next, applying the congruence transformation on Ξ 2 i j 0 , which is given in (20) and (22), using
diag M 1 T , M 1 T , M 1 T , H , I n x , S ,
we obtain
Sym A i j z 11 M 1 1 + M 1 T Q 1 M 1 1 * * * * * M 1 T ( A i j z 12 ) T ϵ M 1 T P 1 M 1 1 * * * * α A i j z 11 M 1 1 M 1 T + M 1 T P 1 M 1 1 α A i j z 12 M 1 1 α M 1 1 + M 1 T * * * 0 0 0 H * * I n x 0 α I n x 0 β 2 λ B i z M I n x * 0 0 0 0 0 S 0 .
Expanding A i j z 11 M 1 1 and A i j z 12 M 1 1 yields
χ i j 1 : = A i j z 11 M 1 1 = A i + B i K j M 1 1 = A i M ^ 1 + B i K ^ j , χ i j 2 : = A i j z 12 M 1 1 = B i K j B i d M 1 1 0 0 I n ω = B i K ^ j B i d ,
where M ^ 1 : = M 1 1 and K ^ i : = K i M ^ 1 . Finally, by applying the Schur complement to decouple the product of decision variables in the ( 1 , 1 ) element of the matrix in (45), we obtain the following LMI:
Sym χ i j 1 * * * * * * ( χ i j 2 ) T ϵ P ^ 1 * * * * * α χ i j 1 M ^ 1 T + P ^ 1 α χ i j 2 α M ^ 1 + M ^ 1 T * * * * 0 0 0 H * * * I n x 0 α I n x 0 β 2 λ B i z M I n x * * 0 0 0 0 0 S * M ^ 1 0 0 0 0 0 Q 1 1 0 .
Summarizing the above, the LMI conditions in (38)–(41), derived from (44) and (46), provide the gain matrices guaranteeing V ˙ ( t ) + J ( t ) 0 . Accordingly, an observer-based controller that achieves the control objectives in Problem 2 can be designed by solving the LMIs in (38)–(41). □
Remark 6.
Through Theorems 1 and 2, this paper has developed a method to prevent the degradation of state estimation performance caused by discrepancies between the system and observer dynamics by constructing a state observer that incorporates the estimated disturbance. This approach enhances estimation performance under external disturbances and mitigates the impact of unmodeled dynamics. However, the increased dimension of the augmented system, due to the inclusion of the disturbance observer, may lead to more conservative LMI conditions compared with those derived without considering the disturbance observer. To overcome this limitation, a relaxation technique using null terms was introduced. Additionally, although not addressed in this paper, further relaxation could be achieved by incorporating methods such as multiple Lyapunov functions, advanced relaxation techniques, and imperfect premise matching.

3.2. Observer-Based Controller Design Without Disturbance Estimation

To verify the effectiveness of incorporating disturbance estimation into the state observer, we derive the condition for designing a state observer-based controller for the UGV lateral control system without compensating for the disturbance in the state observer.
To this end, we construct the state observer without the disturbance estimation as follows:
x ^ ˙ ( t ) = A h x ^ ( t ) + B h δ ( t ) + L h y ( t ) y ^ ( t ) , y ^ ( t ) = C h x ^ ( t ) .
From the system dynamics (6) and the state observer (47), by defining e x o ( t ) = x ( t ) x ^ ( t ) , we can derive the state estimation error dynamics as follows:
e ˙ x o = A h x ( t ) x ^ ( t ) L h C h x ( t ) x ^ ( t ) = ( A h L h C h ) e x o ( t ) .
And then, letting z o ( t ) = col x ( t ) , e x o ( t ) , and referring to (6), (9), and (48), we can construct the following augmented system, which does not utilize the disturbance estimation:
z ˙ o ( t ) = A h h z o z o ( t ) + B h z o ω ( t ) ,
where A h h z o = A h + B h K h B h K h 0 A h L h C h and B h z o = B h d 0 .
The control objectives for (48) are defined in the following problem statements:
Problem 3.
(Analysis and Design) Find the controller gain matrix K i and the state observer gain matrix L i for (49) such that the following control objectives hold:
  • Objective 1: The equilibrium of (49) is asymptotically stable if ω ( t ) = 0 for all t 0 . In other words, if the target trajectory is a straight line, both the lateral and heading tracking errors, as well as the state estimation error, converge to zero.
  • Objective 2: Under ω ( t ) 0 and z o ( 0 ) = 0 , the following norm inequality holds:
    0 t f z o T ( t ) Q z o ( t ) d t β 2 0 t f ω T ( t ) ω ( t ) d t ,
    where t f > 0 is the terminal time of control, Q = diag Q 1 , Q 2 with Q 1 R n x × n x and Q 2 R n x × n x is a predefined diagonal matrix, and β R > 0 is a positive scalar to be minimized. In other words, the tracking and state estimation error are minimized to a certain level even if the target trajectory has some curves.
The following theorem gives the condition for determining the gain matrices for (49) satisfying the control objectives in Problem 3:
Theorem 3.
For given positive scalars α, β, ϵ, and ζ and given diagonal matrices Q 1 R n x × n x and Q 2 R n x × n x , whose diagonal elements are positive real numbers, if there exist positive definite matrices P ^ 1 S n x and P 2 S n x , full rank matrices M ^ 1 R n x × n x and M 2 R n x × n x , symmetric full rank matrices H S n x and S S n x , and any matrices L ^ i R n x × n y and K ^ i R n u × n x with i I r , such that the following LMIs are satisfied, then the obtained controller and observer gain matrices for the observer-based fuzzy lateral control system without disturbance estimation (49) achieves the control objectives in Problem 3:
Θ i i 1 0 , for i I r ,
Θ i i 2 0 , for i I r ,
Θ i j 1 + Θ j i 1 0 , for ( i , j ) I ( j 1 ) × I r ,
Θ i j 2 + Θ j i 2 0 , for ( i , j ) I ( j 1 ) × I r ,
where
Θ i j 1 = Sym M 2 T A i L ^ i C j + Q 2 * * * * * α M 2 T A i L ^ i C j M 2 + P 2 α M 2 + M 2 T * * * * M 2 α M 2 β 2 λ B i z o I n x * * * I n x 0 0 M 44 3 * * 0 I n x 0 0 H * 0 0 I n x 0 0 S ; Θ i j 2 = Sym A i M ^ 1 + B i K ^ j * * * * * * B i K ^ j T ϵ P ^ 1 * * * * * α A i M ^ 1 + B i K ^ j M ^ 1 T + P ^ 1 α B i K ^ j α M ^ 1 + M ^ 1 T * * * * 0 0 0 H * * * I n x 0 α I n x 0 β 2 λ B i z o I n x * * 0 0 0 0 0 S * M ^ 1 * * * * * Q 1 1 . ,
where M 44 3 = ϵ 1 ζ M ^ 1 + M ^ 1 T + ζ 2 P ^ 1 . Then, the control gain matrix and observer gain matrix are obtained by K i = K ^ i M ^ 1 1 and L i = M 2 T L ^ i .
Proof. 
Please refer to Appendix A. □

4. Simulation Results

In this section, we show the superiority and validity of the proposed method through three simulation examples. The first two simulations were conducted using Matlab 2024a, demonstrating that the state estimation performance is improved by incorporating disturbance estimates from the disturbance observer, which, in turn, enhances path-following control performance. In the third simulation, the feasibility of the proposed control method is validated using MORAI, which is a commercial autonomous driving simulator.
In all simulation examples, a mobile robot ERP-42 was selected as the test UGV model. The key parameters of ERP-42 are summarized in Table 2. In the simulation, the velocity of the UGV varies in the range of [ 5 m / s , 10 m / s ] . To solve the LMI conditions in Theorem 2, we set the hyperparameters as ( α , ϵ , ζ ) = ( 0.14 , 9.0 , 0.01 ) , Q 1 = diag 100 , 1 , 1 , 1 × 10 1 , and Q 2 = I 5 . For comparison purposes, we also solved the LMI conditions in Theorem 3. The hyperparameters for Theorem 3 are identical to those used for Theorem 2 except that Q 2 = 10 1 I 4 due to the difference in dimension.
The parameter combinations required for solving the LMI conditions are not unique, and no theoretical approach is available to systematically determine them. These parameters can be freely set by the designer, meaning that certain combinations may satisfy the LMI conditions, while others may not. Moreover, even with a feasible combination, poor control performance might still result. Therefore, multiple parameters combinations must be tested through simulation. The parameters provided in this paper represent the combination that yielded the best performance for the given UGV model parameters in our experiments.
Under these configurations, the controller and observer gain matrices were obtained as follows:
  • Theorem 2:
    K 1 = 0.4974 0.0082 0.9101 0.0099 , K 2 = 0.4900 0.0075 0.9167 0.0090 , K 3 = 0.5184 0.0337 0.9526 0.0429 , K 4 = 0.5126 0.0306 0.9595 0.0422 ,
    L 1 = 3.0520 1.9872 4.2322 161.5792 2.2186 7.6480 6.7363 15.3626 , L 2 = 2.9703 1.8604 3.8964 160.4221 2.0830 7.5700 6.4647 15.2006 , L 3 = 3.0210 2.0794 7.7317 164.7249 2.2269 7.4620 6.6594 21.0261 , L 4 = 2.9442 1.9470 7.2235 163.7658 2.0882 7.3802 6.5808 21.0485 ,
    W 1 = 4.1260 10.6267 , W 2 = 3.7125 10.4489 , W 3 = 4.3390 10.5552 , W 4 = 3.9278 10.3795 .
  • Theorem 3:
    K 1 = 0.4954 0.0057 0.8643 0.0036 , K 2 = 0.4954 0.0057 0.8643 0.0036 , K 3 = 0.5032 0.0322 0.9153 0.0378 , K 4 = 0.5032 0.0322 0.9153 0.0378 ,
    L 1 = 3.5882 0.8639 1.8462 156.8091 0.8487 4.2136 0.2573 1.8501 , L 2 = 3.5882 0.8639 1.8462 156.8091 0.8487 4.2136 0.2573 1.8501 , L 3 = 3.5319 0.8413 4.0196 156.8159 0.8511 4.1353 0.2544 4.0786 , L 4 = 3.5319 0.8413 4.0196 156.8159 0.8511 4.1353 0.2544 4.0786 .
In the following, we will conduct simulations using the above obtained gain matrices.

4.1. Example 1: Comparison of State Estimation Performance

In the first example, we compare the state estimation performance of the designed fuzzy observers with and without the use of disturbance estimation. Although the external disturbance in this paper represents the curvature of the tracking points, in this example, we have arbitrarily set the external disturbance as a rectangular pulse signal, whose amplitude is 1 and duration is 10 seconds, for performance comparison.
In the state estimation error dynamics (12), the term related to the disturbance, B i d ω ( t ) ω ^ ( t ) , is contained. As ω ^ ( t ) ω ( t ) as t by the disturbance observer, the effect of the term B i d ω ( t ) ω ^ ( t ) converges to zero. This can improve the state estimation performance. Without the disturbance observer, however, the state estimation error dynamics (12) continuously includes B i d ω ( t ) , leading to poorer state estimation performance.
The time responses of the state estimation error, e x ( t ) = x ( t ) x ^ ( t ) , are shown in Figure 2. The figure includes the state estimation errors from the state observer with the disturbance estimation (8) using gain matrices (56) and (57) and the state observer without the disturbance estimation (47) using gain matrices (59). The figure demonstrates that the state estimation error is significantly reduced by incorporating the estimated disturbance information. As shown in Figure 3, the disturbance observer successfully estimates the disturbance input. These simulation results align with the analysis presented in the previous paragraph.
Figure 4 presents the output responses of the control system, from which we can see that the improved state estimation performance also leads to enhanced control performance. This improvement is due to the controller feeding back more accurate state estimates. Finally, Table 3 summarizes the RMS values of the state variables for the control systems designed using Theorems 2 and 3. Since the state variables represent the tracking error with respect to the target path, a lower RMS value indicates better path-tracking performance. The results quantitatively confirm that the observer-based controller designed from Theorem 2, which utilizes disturbance estimation, outperforms the one without it.

4.2. Example 2: Evaluation of the Path-Tracking Performance

In this example, we will analyze the path-tracking performance of the proposed methods. To demonstrate the robustness of the proposed control regime to longitudinal velocity variations, we set the longitudinal velocity as v x ( t ) = 7 + sin ( 0.1 π t ) . As a result, the road curvature, ω ( t ) = ψ ˙ des ( t ) = v x ( t ) / R , is perturbed even though R remains constant.
The target path and the trajectories of the controlled UGVs are depicted in Figure 5. The target path is represented by a thick gray line, while the UGV’s trajectory controlled by the controller designed based on Theorem 2 is shown as a solid red line. In contrast, the yellow dashed line corresponds to the path from Theorem 3. As illustrated in the figure, both controllers successfully guide the UGV along the desired path. However, upon closer inspection, it becomes evident that the UGV incorporating disturbance estimation tracks the target path more accurately than the one without it.
As previously analyzed, road curvature serves as an external disturbance in the lateral tracking control system. The designed disturbance observer estimates this disturbance, which, in practice, corresponds to the road curvature. Figure 6 demonstrates that the disturbance observer accurately estimates the road curvature, ω ( t ) . By compensating for this estimated road curvature, the control system improves both the state estimation accuracy and the overall tracking control performance.
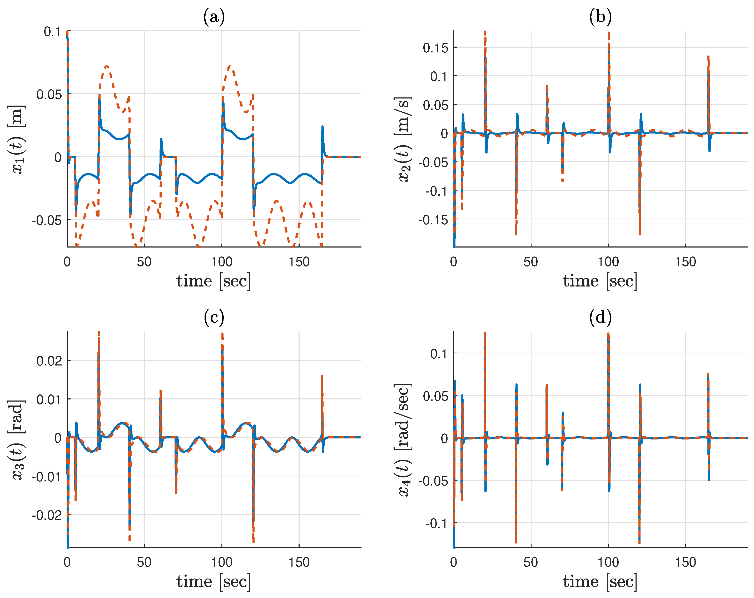
Figure 7 illustrates the time response of each state variable. In the figure, the blue solid lines represent the state variables from the observer-based controller with disturbance estimation, while the red dashed lines correspond to the state variables from the controller without disturbance estimation. It is evident that the control system without disturbance estimation is significantly influenced by the road curvature, leading to larger perturbations particularly in the lateral tracking performance, whihc are indicated as x 1 ( t ) and x 2 ( t ) . Furthermore, the RMS value of x ( t ) is calculated to be 0.01765 for the controller based on Theorem 2, whereas it is 0.02870 for the controller based on Theorem 3. Therefore, we can say that we have achieved approximately 38.5017 % improvement by using the disturbance observer. This demonstrates that the system designed with the proposed disturbance observer achieves approximately double the performance improvement compared with the system without it. In summary, the method effectively estimates not only arbitrary disturbances but also the road curvature in real path-tracking scenarios, leading to enhanced path-tracking performance.

4.3. Example 3: Validation on Commercial Simulator

In this example, we validate the effectiveness of the proposed control method (Theorem 2) through simulations conducted on MORAI, which is the commercial autonomous driving simulator. In the simulation, the observer dynamics solution was obtained in real time using the 4th-order Runge–Kutta (RK4) algorithm. Given that the MORAI simulator operates at a sampling frequency of 50 Hz , we set the sampling period of the RK4 solver to 1 / 50 s .
Figure 8 illustrates both the target path and the UGV’s trajectory, demonstrating that the proposed method achieves accurate path tracking even in a real-world simulation environment. This result confirms the practical applicability and robustness of the controller designed based on Theorem 2.
Additionally, the control input signals used to drive the system is depicted in Figure 9. By steering the UGV as depicted in Figure 9, we obtained the time response of the output vector of the proposed control system as shown in Figure 10, where y 1 ( t ) and y 2 ( t ) represent the lateral and heading tracking errors, respectively. Both output variables remain near its origin, indicating that the designed controller effectively reduces tracking errors in both dimensions. This convergence underscores the efficacy of the proposed control approach in achieving precise lateral and heading control.
Moreover, the lateral position tracking error has an RMS value of 0.0484 [ m ] , while the heading tracking error has an RMS value of 0.0243 [ rad ] . These metrics further highlight the effectiveness of the proposed control method in minimizing tracking errors.

5. Conclusions

In this paper, we introduced the observer-based fuzzy control scheme that incorporates disturbance estimation to enhance state estimation and path tracking in the UGV lateral control system. By using the disturbance observer, the proposed method compensates for external disturbances, such as road curvature, improving control accuracy. The LMI-based conservative controller design conditions were derived based on the T–S fuzzy model-based control design technique. The simulation results from MATLAB demonstrated up to a two-fold improvement in lateral tracking error, as measured by RMS values, when using the disturbance observer compared with the method without it. Further validation in the commercial autonomous driving simulator confirmed the effectiveness for real-world UGV control applications.
Our future research will focus on applying sampled-data control techniques for the digital implementation of the proposed control system as well as investigating methods to integrate the estimated disturbance information directly into the controller for further enhancing performance.

Author Contributions

Conceptualization, S.L. and H.S.K.; methodology, S.L.; software, S.L. and H.S.K.; validation, S.L., S.H. and H.S.K.; investigation, S.L.; writing—original draft preparation, S.L.; writing—review and editing, S.H. and H.S.K. All authors have read and agreed to the published version of the manuscript.

Funding

This work was supported by the National Research Foundation of Korea (NRF) grant funded by the Korea government (MSIT) (No. RS-2023-00251621) and MSIT (Ministry of Science and ICT), Korea, under the ITRC (Information Technology Research Center) support program (IITP-2024-RS-2024-00437102) supervised by the IITP (Institute for Information & Communications Technology Planning & Evaluation).

Informed Consent Statement

Informed consent was obtained from all subjects involved in the study.

Data Availability Statement

Data are contained within the article.

Conflicts of Interest

The authors declare no conflicts of interest.

Appendix A. Proof of Theorem 3

Let the Lyapunov function candidate be
V o ( t ) = z o T ( t ) P z o ( t ) ,
whose time derivative becomes
V ˙ o ( t ) = 2 z o T ( t ) P z ˙ o ( t ) ,
where P = diag P 1 , P 2 with n x × n x positive definite matrices P 1 and P 2 . From the augmented system (49), it is evident that the following holds for any given positive scalar α and any full rank matrix M = diag M 1 , M 2 with n x × n x full rank matrices M 1 and M 2 to be determined:
0 = 2 M z o ( t ) + α M z ˙ o ( t ) T z ˙ o ( t ) + A h h z o z o ( t ) + B h z o ω ( t ) .
Also, we will find the condition for guaranteeing the performance index in Problem 3 (50) by defining the following:
J o ( t ) = z o T ( t ) Q z o ( t ) β 2 ω T ( t ) ω ( t ) 0 .
By summarizing (A1)–(A3) and then applying Lemma 1, we have
V ˙ o ( t ) + J o ( t ) η o T ( t ) { M T A h h z o + ( A h h z o ) T M + Q * α M T A h h z o M + P α ( M + M T ) + M α M T ρ I 2 n x M α M } η o ( t ) + ω T ( t ) ρ 1 ( B h z o ) T B h z o β 2 I n ω ω ( t )
By letting ρ 1 = β 2 λ B i z o M , it is guaranteed that ρ 1 ( B h z o ) T B h z o β 2 I n ω 0 . Then, V ˙ o + J o ( t ) 0 is guaranteed by
M T A h h z o + ( A h h z o ) T M + Q * α M T A h h z o M + P α ( M + M T ) + M α M T ρ I 2 n x M α M 0 .
Applying the Schur complement and substituting
M T A h h z o = M 1 T 0 0 M 2 T A h + B h K h B h K h 0 A h L h C h = M 1 T A h + M 1 T B h K h M 1 T B h K h 0 M 2 T A h M 2 T L h C h
into (A4), we have
Sym M 1 T A h + M 1 T B h K h + Q 1 * * M 1 T B h K h T Sym M 2 T A h M 2 T L h C h + Q 2 * α M 1 T A h + M 1 T B h K h M 1 + P 1 α M 1 T B h K h α M 1 + M 1 T 0 α M 2 T A h M 2 T L h C h M 2 + P 2 0 M 1 0 α M 1 0 M 2 0 * * * * * * * α M 2 + M 2 T * * 0 β 2 λ B i z o I n x * α M 2 0 β 2 λ B i z o I n x 0 .
By eliminating the first, third, and fifth rows and columns, we can construct the new matrix, and using this, we introduce the following matrix inequality
Sym M 2 T A h M 2 T L h C h + Q 2 * * α M 2 T A h M 2 T L h C h M 2 + P 2 α M 2 + M 2 T * M 2 α M 2 β 2 λ B i z o I n x ϵ P 1 * * 0 H 1 * 0 0 S 1 ,
which is guaranteed by the following from the Schur complement:
Sym M 2 T A h M 2 T L h C h + Q 2 * * * * * α M 2 T A h M 2 T L h C h M 2 + P 2 α M 2 + M 2 T * * * * M 2 α M 2 β 2 λ B i z o I n x * * * I n x 0 0 ϵ 1 P 1 1 * * 0 I n x 0 0 H * 0 0 I n x 0 0 S 0 .
As in Theorem 3, applying Lemma 2 to the (4,4)th element of the above matrix, we have
ϵ 1 P 1 1 ϵ 1 ζ M ^ 1 + M ^ 1 T + ζ 2 P ^ 1 : = M 44 3 .
Then, applying the above relation to (A6), we have the LMIs in (51) and (52).
As in Theorem 1, we know that if the LMIs (51) and (52) are satisfied, then the following holds if and only if (A5):
Sym M 1 T A h + M 1 T B h K h + Q 1 * * * * * M 1 T B h K h T ϵ P 1 * * * * α M 1 T A h + M 1 T B h K h M 1 + P 1 α M 1 T B h K h α M 1 + M 1 T * * * 0 0 0 H 1 * * M 1 0 α M 1 0 β 2 λ B i z o I n x * 0 0 0 0 0 S 1 0 .
Finally, applying the congruence transformation on the above inequality using
diag M ^ 1 , M ^ 1 , M ^ 1 , H , I n x , S ,
we obtain the LMIs in (53) and (54).
Summarizing the above, if the LMIs (51)–(54) hold, it is secured that V ˙ o ( t ) + J o 0 for all t 0 . Thus, we can conclude that the control objectives in Problem 3 are satisfied if the solution to the LMI condition exists.

References

  1. Dong, H.; Xi, J. Model predictive longitudinal motion control for the nmanned round vehicle with a trajectory tracking model. IEEE Trans. Veh. Technol. 2022, 71, 1397–1410. [Google Scholar] [CrossRef]
  2. Huzaefa, F.; Liu, Y. Force distribution and estimation for cooperative transportation control on multiple unmanned ground vehicles. IEEE Trans. Cybern. 2023, 53, 1335–1347. [Google Scholar] [CrossRef] [PubMed]
  3. Jang, Y.H.; Kim, H.S. Sampled-data cooperative adaptive cruise control for string-stable vehicle platooning with communication delays: A linear matrix inequality approach. Machines 2024, 12, 165. [Google Scholar] [CrossRef]
  4. Samuel, M.; Maziah, M.; Hussien, M.; Godi, N.Y. Control of autonomous vehicle using path tracking: A review. Adv. Sci. Lett. 2018, 24, 3877–3879. [Google Scholar] [CrossRef]
  5. Zhou, X.; Wang, Z.; Wang, J. Automated ground vehicle path-following: A robust energy-to-peak control approach. IEEE Trans. Intell. Transp. Syst. 2022, 23, 14294–14305. [Google Scholar] [CrossRef]
  6. Hu, C.; Wang, R.; Yan, F.; Karimi, H.R. Robust composite nonlinear feedback path-following control for independently actuated autonomous vehicles with differential steering. IEEE Trans. Transp. Electrif. 2016, 2, 312–321. [Google Scholar] [CrossRef]
  7. Lee, K.; Jeon, S.; Kim, H.; Kum, D. Optimal path tracking control of autonomous vehicle: Adaptive full-state linear quadratic Gaussian (LQG) control. IEEE Access 2019, 7, 109120–109133. [Google Scholar] [CrossRef]
  8. Kim, S.; Lee, J.; Han, K.; Choi, S.B. Vehicle path tracking control using pure pursuit with MPC-based look-ahead distance optimization. IEEE Trans. Veh. Technol. 2023, 73, 53–66. [Google Scholar] [CrossRef]
  9. Ren, Y.; Xie, X.; Wu, J.; Xia, J. Enhanced H tracking control of autonomous ground vehicles via a novel fuzzy switching controller. IEEE Trans. Consum. Electron. 2024, 70, 1821–1832. [Google Scholar] [CrossRef]
  10. Takagi, T.; Sugeno, M. Fuzzy identification of systems and its applications to modeling and control. IEEE Trans. Syst. Man Cybern. 1985, SMC-15, 116–132. [Google Scholar] [CrossRef]
  11. Nguyen, A.-T.; Sentouh, C.; Popieul, J.-C. Fuzzy steering control for autonomous vehicles under actuator saturation: Design and experiments. J. Frankl. Inst. 2018, 355, 9374–9395. [Google Scholar] [CrossRef]
  12. Li, W.; Wong, P.K.; Xie, Z.; Gao, J.; Hu, Y.; Zhao, J. Event-based dissipative path following control for autonomous ground vehicles with external disturbances and actuator faults. IEEE Trans. Intell. Veh. 2024, 1–10. [Google Scholar] [CrossRef]
  13. Lian, Z.; Shi, P.; Lim, C.-C.; Yuan, X. Fuzzy-model-based lateral control for networked autonomous vehicle systems under hybrid cyber-attacks. IEEE Trans. Cybern. 2023, 53, 2600–2609. [Google Scholar] [CrossRef]
  14. Wei, L.; Wang, X.; Li, L.; Fan, Z.; Dou, R.; Lin, J. T-S fuzzy model predictive control for vehicle yaw stability in nonlinear region. IEEE Trans. Veh. Technol. 2021, 70, 7536–7546. [Google Scholar] [CrossRef]
  15. Bernard, P.; Andrieu, V.; Astolfi, D. Observer design for continuous-time dynamical systems. Annu. Rev. Control. 2022, 53, 224–248. [Google Scholar] [CrossRef]
  16. Hu, C.; Chen, Y.; Wang, J. Fuzzy observer-based transitional path-tracking control for autonomous vehicles. IEEE Trans. Intell. Transp. Syst. 2021, 22, 3078–3088. [Google Scholar] [CrossRef]
  17. Zhang, X.; Hu, J.; Long, L.; Zhang, W. Observer-based robust exponential stabilization for linear systems with parameter uncertainties. Int. J. Dyn. Control. 2021, 9, 257–265. [Google Scholar] [CrossRef]
  18. Liu, G.; Park, J.H.; Xu, H.; Hua, C. Reduced-order observer-based output-feedback tracking control for nonlinear time-delay systems with global prescribed performance. IEEE Trans. Cybern. 2023, 53, 5560–5571. [Google Scholar] [CrossRef]
  19. Zhang, C.; Hu, J.; Qiu, J.; Yang, W.; Sun, H.; Chen, Q. A novel fuzzy observer-based steering control approach for path tracking in autonomous vehicles. IEEE Trans. Fuzzy Syst. 2019, 27, 278–290. [Google Scholar] [CrossRef]
  20. Wang, Y.; Zheng, L.; Zhang, H.; Zheng, W.X. Fuzzy observer-based repetitive tracking control for nonlinear systems. IEEE Trans. Fuzzy Syst. 2020, 28, 2401–2415. [Google Scholar] [CrossRef]
  21. Koo, G.B.; Park, J.B.; Joo, Y.H. Decentralized fuzzy observer-based output-feedback control for nonlinear large-scale systems: An LMI approach. IEEE Trans. Fuzzy Syst. 2014, 22, 406–419. [Google Scholar] [CrossRef]
  22. Jang, Y.H.; Lee, K.; Kim, H.S. An intelligent digital redesign approach to the sampled-data fuzzy observer design. IEEE Trans. Fuzzy Syst. 2022, 31, 92–103. [Google Scholar] [CrossRef]
  23. Kim, H.S.; Lee, K. Sampled-data fuzzy observer design for nonlinear systems with a nonlinear output equation under measurement quantization. Inf. Sci. 2021, 575, 248–264. [Google Scholar] [CrossRef]
  24. Reis, M.F.; Jain, R.P.; Aguiar, A.P.; Sousa, J.B. Robust moving path following control for robotic vehicles: Theory and experiments. IEEE Robot. Autom. Lett. 2019, 4, 3192–3199. [Google Scholar] [CrossRef]
  25. Chen, C.; Shu, M.; Yang, Y.; Gau, T.; Bian, L. Robust H path tracking control of autonomous vehicles with delay and actuator saturation. J. Control. Decis. 2022, 9, 45–57. [Google Scholar] [CrossRef]
  26. Yang, A.; Ma, S. Robust control for singular systems based on the uncertainty and disturbance estimator. IEEE Access 2021, 9, 109704–109717. [Google Scholar] [CrossRef]
  27. Giap, V.; Huang, S.; Nguyen, Q.D.; Su, T. Robust control-based disturbance observer and optimal states feedback for T-S fuzzy systems. J. Low Freq. Noise Vib. Act. Control. 2020, 40, 1509–1525. [Google Scholar] [CrossRef]
  28. Vu, V.; Wang, W. State/Disturbance observer and controller synthesis for the T-S fuzzy system with an enlarged class of disturbances. IEEE Trans. Fuzzy Syst. 2018, 26, 3645–3659. [Google Scholar] [CrossRef]
  29. Echreshavi, Z.; Farbood, M.; Shasadeghi, M. Dynamic state observer-based event-triggered ISM load frequency control of power systems with disturbance observer. IEEE Syst. J. 2023, 17, 3928–3937. [Google Scholar] [CrossRef]
  30. Chen, M.; Chen, W. Disturbance-observer-based robust control for time delay uncertain systems. Int. J. Control. Autom. Syst. 2010, 8, 445–453. [Google Scholar] [CrossRef]
  31. Hwang, S.; Kim, H.S. Extended disturbance observer-based integral sliding mode control for nonlinear system via T–S fuzzy model. IEEE Access 2020, 8, 116090–116105. [Google Scholar] [CrossRef]
  32. Han, T.J.; Kim, H.S. Disturbance observer-based nonfragile fuzzy tracking control of a spacecraft. Adv. Space Res. 2022, 71, 3600–3612. [Google Scholar] [CrossRef]
  33. Koo, G.B. Decentralized fuzzy observer-based fault estimation for nonlinear large-scale systems. IEEE Access 2024, 12, 35378–35388. [Google Scholar] [CrossRef]
  34. Rajamani, R. Vehicle Dynamics and Control, 2nd ed.; Springer: Berlin/Heidelberg, Germany, 2012. [Google Scholar]
  35. Tanaka, K.; Wang, H.O. Fuzzy Control Systems Design and Analysis: A Linear Matrix Inequality Approach; John Wiley & Sons, Inc.: Hoboken, NJ, USA, 2001. [Google Scholar]
  36. Petersen, I.R. A stabilisation algorithm for a class of uncertain linear systems. Syst. Control. Lett. 1987, 8, 351–357. [Google Scholar] [CrossRef]
  37. Lam, H.K.; Leung, F.H.F. Sampled-data fuzzy controller for time-varying nonlinear systems: Fuzzy-model-based LMI approach. IEEE Trans. Syst. Man, Cybern.-Part B Cybern. 2007, 37, 617–629. [Google Scholar] [CrossRef]
Figure 1. Graphical representation of the UGV path-following control system.
Figure 1. Graphical representation of the UGV path-following control system.
Drones 08 00685 g001
Figure 2. The time responses of the state estimation error (Theorem 2: blue solid line, Theorem 3: red dashed line).
Figure 2. The time responses of the state estimation error (Theorem 2: blue solid line, Theorem 3: red dashed line).
Drones 08 00685 g002
Figure 3. The time responses of the disturbance and the estimated disturbance (disturbance: blue solid line, estimated disturbance: red dashed line).
Figure 3. The time responses of the disturbance and the estimated disturbance (disturbance: blue solid line, estimated disturbance: red dashed line).
Drones 08 00685 g003
Figure 4. The time responses of the output vectors (Theorem 2: blue solid line, Theorem 3: red dashed line).
Figure 4. The time responses of the output vectors (Theorem 2: blue solid line, Theorem 3: red dashed line).
Drones 08 00685 g004
Figure 5. Path-tracking results from MATLAB simulations. Target path (gray thick line), vehicle paths (Theorem 2: red solid line, Theorem 3: yellow dashed line).
Figure 5. Path-tracking results from MATLAB simulations. Target path (gray thick line), vehicle paths (Theorem 2: red solid line, Theorem 3: yellow dashed line).
Drones 08 00685 g005
Figure 6. The time responses of the disturbance (blue solid line) and estimated disturbance (red dashed line).
Figure 6. The time responses of the disturbance (blue solid line) and estimated disturbance (red dashed line).
Drones 08 00685 g006
Figure 7. The state responses of the lateral control system (Theorem 2: blue solid line, Theorem 3: red dashed line).
Figure 7. The state responses of the lateral control system (Theorem 2: blue solid line, Theorem 3: red dashed line).
Drones 08 00685 g007
Figure 8. Path-tracking results from Commercial Simulator, MORAI. Target path (gray thick line), UGV paths (red dashed line).
Figure 8. Path-tracking results from Commercial Simulator, MORAI. Target path (gray thick line), UGV paths (red dashed line).
Drones 08 00685 g008
Figure 9. The time responses of steering angle.
Figure 9. The time responses of steering angle.
Drones 08 00685 g009
Figure 10. The time responses of output variables.
Figure 10. The time responses of output variables.
Drones 08 00685 g010
Table 1. Summary of symbols, descriptions, and units of the UGV.
Table 1. Summary of symbols, descriptions, and units of the UGV.
SymbolDescriptionUnit
mMass of the UGVkg
I z Moment of inertia about the z-axis kg · m 2
F y f , F y r Lateral forces on the front and rear tiresN
c f , c r Tire stiffness coefficients of front and rear tiresN/rad
δ Steering anglerad
l f , l r Distances from the c.g. to the front and rear wheelsm
v x Longitudinal velocitym/s
v y Lateral velocitym/s
γ Yaw rate at the UGV’s c.g.rad/s
ψ Yaw anglerad/s
Table 2. Key parameters of the ERP-42 used in simulation.
Table 2. Key parameters of the ERP-42 used in simulation.
ParameterSymbolValue
UGV massm250 kg
Wheelbasel1.04 m
Front tire cornering stiffness c f 9832 N/rad
Rear tire cornering stiffness c r 9832 N/rad
Moment of inertia about the z-axis I z 65 kg·m2
Distance from c.g. to front axle l f 0.52 m
Distance from c.g. to rear axle l r 0.52 m
Table 3. RMS errors of state variables for control systems designed using Theorem 2 and Theorem 3. Lower values indicate better performance.
Table 3. RMS errors of state variables for control systems designed using Theorem 2 and Theorem 3. Lower values indicate better performance.
State VariableTheorem 2Theorem 3
x 1 [m]0.19970.5506
x 2 [m/s]0.29460.4072
x 3 [rad]0.04770.0646
x 4 [rad/s]0.20320.2163
Total RMS Error0.20630.3605
Disclaimer/Publisher’s Note: The statements, opinions and data contained in all publications are solely those of the individual author(s) and contributor(s) and not of MDPI and/or the editor(s). MDPI and/or the editor(s) disclaim responsibility for any injury to people or property resulting from any ideas, methods, instructions or products referred to in the content.

Share and Cite

MDPI and ACS Style

Lee, S.; Hwang, S.; Kim, H.S. T–S Fuzzy Observer-Based Output Feedback Lateral Control of UGVs Using a Disturbance Observer. Drones 2024, 8, 685. https://doi.org/10.3390/drones8110685

AMA Style

Lee S, Hwang S, Kim HS. T–S Fuzzy Observer-Based Output Feedback Lateral Control of UGVs Using a Disturbance Observer. Drones. 2024; 8(11):685. https://doi.org/10.3390/drones8110685

Chicago/Turabian Style

Lee, Seunghoon, Sounghwan Hwang, and Han Sol Kim. 2024. "T–S Fuzzy Observer-Based Output Feedback Lateral Control of UGVs Using a Disturbance Observer" Drones 8, no. 11: 685. https://doi.org/10.3390/drones8110685

APA Style

Lee, S., Hwang, S., & Kim, H. S. (2024). T–S Fuzzy Observer-Based Output Feedback Lateral Control of UGVs Using a Disturbance Observer. Drones, 8(11), 685. https://doi.org/10.3390/drones8110685

Article Metrics

Back to TopTop