Effects of Bio-Inspired Wing Dihedral Variations on Dynamic Soaring Performance of Unmanned Aerial Vehicles
Abstract
1. Introduction
2. Dynamic Modeling
2.1. Models of Wind Shear
2.2. Flight Dynamic Modeling
2.3. Energy Equation
3. Optimal Dynamic Soaring Problem Setup
3.1. Conceptual Parameters of the Prototype
3.2. Optimization Model
3.3. Optimal Problem Solving
4. Results and Discussion
4.1. Optimal Dynamic Soaring Trajectory
4.2. Airspeed Variation
4.3. Energy Variation
4.4. Minimum Wind Gradient Required for Dynamic Soaring
4.5. Aerodynamic Coefficient and Angle of Attack Variation
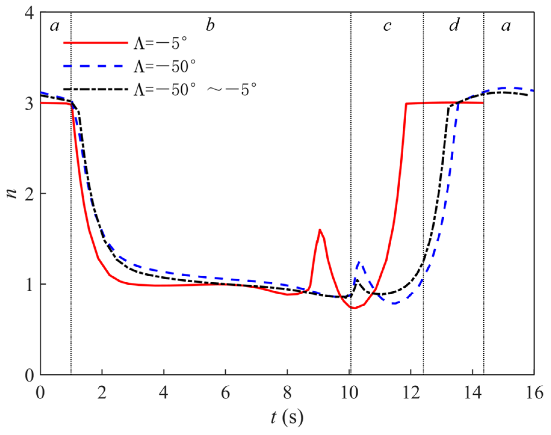
4.6. Load Factor Variation
4.7. Maneuvering Angle Variations
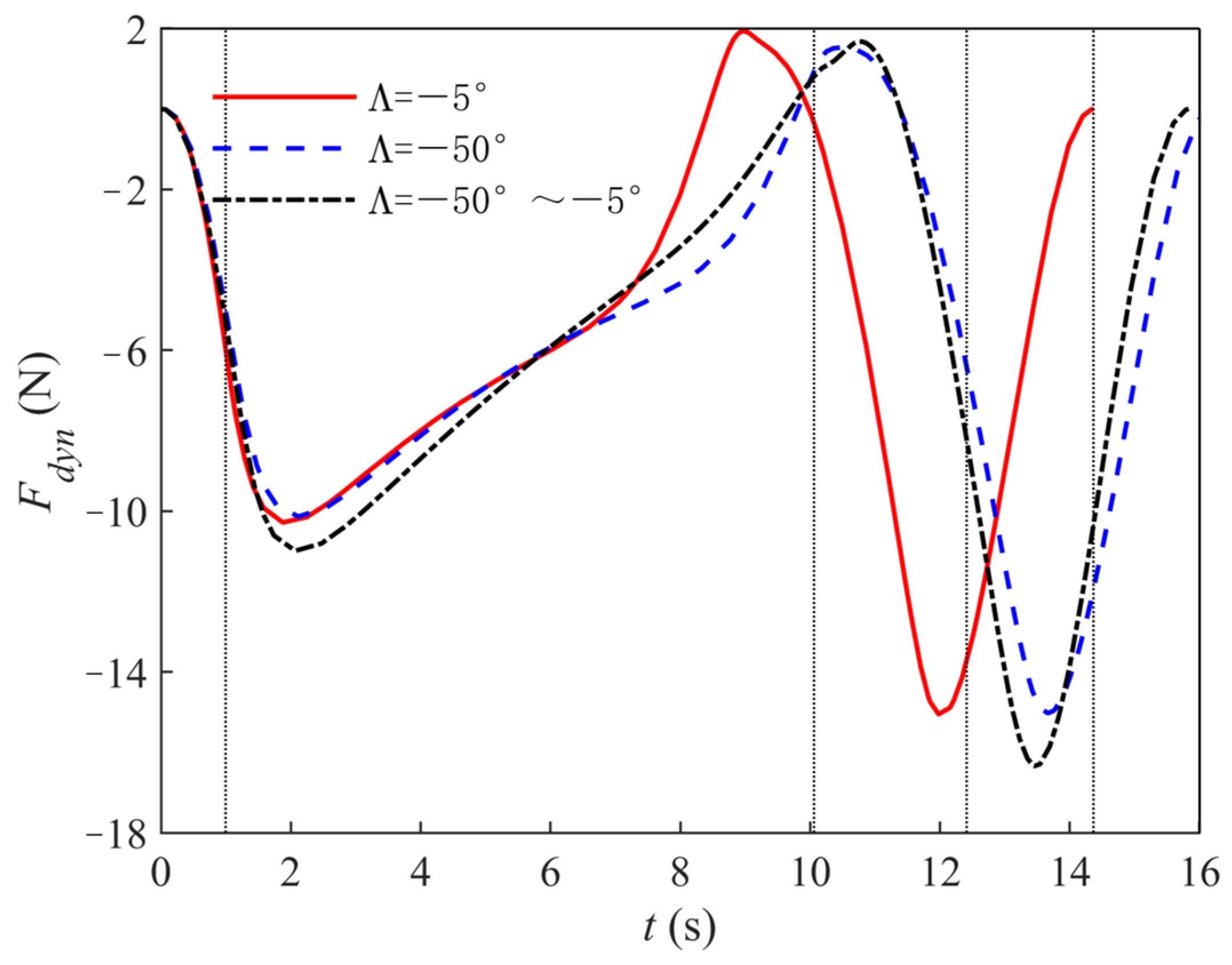
4.8. Dynamic Soaring Force Variation
5. Conclusions
Author Contributions
Funding
Data Availability Statement
Conflicts of Interest
References
- Lissaman, P. Wind Energy Extraction by Birds and Flight Vehicles. In Proceedings of the 43rd AIAA Aerospace Sciences Meeting & Exhibit, Reno, NV, USA, 10 January–13 January 2005. [Google Scholar]
- Pfeifhofer, G.; Tributsch, H. The Flight of Albatross—How to Transform It into Aerodynamic Engineering? Engineering 2014, 6, 427–438. [Google Scholar] [CrossRef]
- Williamson, C.J.; Spelt, A.; Windsor, S.P. Bird Velocity Optimization as Inspiration for Unmanned Aerial Vehicles in Urban Environments. AIAA J. 2021, 59, 2503–2516. [Google Scholar] [CrossRef]
- Imran, M.; Eisa, S.A.; Adnan, M. Review of dynamic soaring: Technical aspects, nonlinear modeling perspectives and future directions. Nonlinear Dyn. 2018, 94, 3117–3144. [Google Scholar]
- Sachs, G.; Traugott, J.; Nesterova, A.P.; Bonadonna, F. Experimental verification of dynamic soaring in albatrosses. J. Exp. Biol. 2013, 216, 4222–4232. [Google Scholar] [CrossRef]
- Sahcs, G. Minimum shear wind strength required for dynamic soaring of albatrosses. IBIS 2005, 147, 1–10. [Google Scholar]
- Bonnin, V.; Benard, E.; Moschetta, J.M.; Toomer, C.A. Energy-Harvesting Mechanisms for UAV Flight by Dynamic Soaring. Int. J. Micro Air Veh. 2015, 7, 213–229. [Google Scholar] [CrossRef]
- Barnes, J.P. How Flies the Albatross–the Flight Mechanics of Dynamic Soaring. In SAE Technical Paper; SAE: Warrendale, PA, USA, 2004. [Google Scholar]
- Duoneng, L. Research on Mechanism and Trajectory Optimization for Dynamic Soaring with Fixed-Wing Unmanned Aerial Vehicles; National University of Defense Technology: Changsha, China, 2016. [Google Scholar]
- Bonnin, V. From Albatross to Long Range UAV Flight by Dynamic Soaring. Ph.D. Thesis, University of The West of England, Bristol, UK, 2016. [Google Scholar]
- Richardson, P.L. How do albatrosses fly around the world without flapping their wings? Prog. Oceanogr. 2011, 88, 46–58. [Google Scholar] [CrossRef]
- Mir, I.; Maqsood, A.; Eisa, S.A.; Taha, H.; Akhtar, S. Optimal morphing-augmented dynamic soaring maneuvers for unmanned air vehicle capable of span and sweep morphologies. Aerosp. Sci. Technol. 2018, 79, 17–36. [Google Scholar] [CrossRef]
- Joseph, G. Design and Flight-Path Simulation of a Dynamic-Soaring UAV. Master’s Thesis, Embry-Riddle Aeronautical University, Daytona Beach, FL, USA, 2021. [Google Scholar]
- Sanchez, G.; Salazar, R.D.; Hassanalian, M.; Abdelkefi, A. Sizing and performance analysis of albatross-inspired tilt-wing unmanned air vehicle. In Proceedings of the 2018 AIAA/ASCE/AHS/ASC Structures, Structural Dynamics, and Materials Conference, Kissimmee, FL, USA, 8–12 January 2018; AIAA: Kissimmee, FL, USA, 2018. [Google Scholar]
- Bower, G.; Flanzer, T.; Kroo, I. Conceptual Design of a Small UAV for Continuous Flight Over the Ocean. In Proceedings of the 11th AIAA Aviation Technology, Integration, and Operations (ATIO) Conference, Virginia Beach, VA, USA, 20–22 September 2011; pp. 1–17. [Google Scholar]
- Bencatel, R.; Kabamba, P.; Girard, A. Perpetual Dynamic Soaring in Linear Wind Shear. J. Guid. Control. Dyn. 2014, 37, 1712–1716. [Google Scholar] [CrossRef]
- Joseph, G.; Adamski, J.; Golubev, V.V.; Gudmundsson, S. Towards Development of a Dynamic-Soaring, Morphing-Wing UAV. In Proceedings of the Aiaa Aviation 2020 Forum, Virtual, 15–19 June 2020; pp. 1–17. [Google Scholar]
- Bencatel, R.; Sousa, J.T.D.; Girard, A. Atmospheric flow field models applicable for aircraft endurance extension. Prog. Aeosp. Sci. 2013, 61, 1–25. [Google Scholar] [CrossRef]
- Gao, X.Z.; Hou, Z.X.; Guo, Z.; Chen, X.Q. Energy extraction from wind shear: Reviews of dynamic soaring. Proc. Inst. Mech. Eng. Part G J. Aerosp. Eng. 2015, 229, 2336–2348. [Google Scholar] [CrossRef]
- Zhao, J.Y. Optimal patterns of glider dynamic soaring. Optim. Control Appl. Methods 2004, 25, 67–89. [Google Scholar] [CrossRef]
- Sachs, G.P.; Grüter, B. Dynamic soaring−kinetic energy and inertial speed. In Proceedings of the AIAA Atmospheric Flight Mechanics Conference, Grapevine, TX, USA, 9–13 January 2017; p. 1862. [Google Scholar]
- Akhtar, N.; Whidborne, J.F.; Cooke, A.K. Real-time optimal techniques for unmanned air vehicles fuel saving. Proc. Inst. Mech. Eng. Part G J. Aerosp. Eng. 2012, 226, 1315–1328. [Google Scholar] [CrossRef]
- Raymer, D. Aircraft Design: A Conceptual Approach, 6th ed.; American Institute of Aeronautics and Astronautics, Inc.: Reston, VA, USA, 2018; pp. 444–450. [Google Scholar]
- Patterson, M.A.; Rao, A.V. GPOPS-II: A MATLAB Software for Solving Multiple-Phase Optimal Control Problems Using hp-Adaptive Gaussian Quadrature Collocation Methods and Sparse Nonlinear Programming. Acm Trans. Math. Softw. 2014, 41, 1–37. [Google Scholar] [CrossRef]













| Parameter/Unit | Definition | Value |
|---|---|---|
| m/kg | Take-off mass | 4.2 |
| S/m2 | Wing reference area | 0.5124 |
| CD0 | Zero-lift drag coefficient | 0.023 |
| AR | Aspect ratio | 8.2 |
| e | Oswald efficiency factor | 0.6 |
| b1/m | Semi-span of the inner wing | 0.33 |
| b2/m | Semi-span of the middle and outer wing | 0.695 |
| S1/m2 | Half of the inner wing area | 0.1036 |
| S2/m2 | Half of the middle and outer wing area | 0.153 |
| Λ1/° | Initial dihedral angle of inner wing | 5 |
| Λ2/° | Initial dihedral angle of middle and outer wing | −5 |
| Parameter/Unit | Value Range | Parameter/Unit | Value Range |
|---|---|---|---|
| βw/s−1 | [0.001, 0.5] | x/m | [−300, 300] |
| Va/m·s−1 | [15, 50] | y/m | [−300, 300] |
| ψ/° | [−540, 90] | h/m | [0, 300] |
| γ/° | [−40, 40] | n | [0, 3] |
| φ/° | [−60, 60] | tf/s | [1, 50] |
| Λ/° | [−50, −5] | α/° | [−8, 8] |
| Field | Value | Guess of Solution | Value |
|---|---|---|---|
| Setup.nlp.solver | snopt | basetime | linspace(0,24,100) |
| Setup.derivatives.supplier | sparseCD | x/m | 150cos(2π·basetime/24) − 150 |
| Setup.derivatives.derivativelevel | second | y/m | 150sin(2π·basetime/24) |
| Setup.scales.method | automatic-bounds | h/m | −100cos(2π·basetime/24) + 100 |
| Setup.mesh.method | hp1 | [βw/s−1, Va/m·s−1] | [0.1, 12·(1.5 + cos(2π·basetime/24))] |
| Setup.mesh.tolerance | 1 × 10−5 | [ψ, φ, γ]/° | [-1-basetime/4, -ones(100,1)/4, π/6·sin(2π·basetime/24)] |
| Parameters | Λ = −50° | Λ = −5° | Λ = −50°~−5° | Compare to Λ = −50° | Compare to Λ = −5° |
|---|---|---|---|---|---|
| x/m | 123.629 | 102.841 | 129.754 | 4.95% | 26.17% |
| y/m | 101.853 | 82.898 | 104.199 | 2.3% | 25.7% |
| h/m | 57.510 | 45.315 | 60.215 | 4.7% | 32.88% |
| Va/m·s−1 | 36.793 | 33.310 | 37.175 | 1.04% | 11.6% |
| E/J | 2572.3 | 3146.8 | 3226.3 | 2.52% | 25.43% |
| βw/s−1 | 0.266 | 0.309 | 0.261 | −2.07% | −15.56% |
| CL | 0.957 | 0.954 | 0.789 | −17.59% | −17.3% |
| CD | 0.076 | 0.069 | 0.062 | −18.08% | −9.92% |
Disclaimer/Publisher’s Note: The statements, opinions and data contained in all publications are solely those of the individual author(s) and contributor(s) and not of MDPI and/or the editor(s). MDPI and/or the editor(s) disclaim responsibility for any injury to people or property resulting from any ideas, methods, instructions or products referred to in the content. |
© 2024 by the authors. Licensee MDPI, Basel, Switzerland. This article is an open access article distributed under the terms and conditions of the Creative Commons Attribution (CC BY) license (https://creativecommons.org/licenses/by/4.0/).
Share and Cite
Zhang, H.; Zhang, S.; Xiang, T. Effects of Bio-Inspired Wing Dihedral Variations on Dynamic Soaring Performance of Unmanned Aerial Vehicles. Drones 2024, 8, 623. https://doi.org/10.3390/drones8110623
Zhang H, Zhang S, Xiang T. Effects of Bio-Inspired Wing Dihedral Variations on Dynamic Soaring Performance of Unmanned Aerial Vehicles. Drones. 2024; 8(11):623. https://doi.org/10.3390/drones8110623
Chicago/Turabian StyleZhang, Hang, Shenwei Zhang, and Tao Xiang. 2024. "Effects of Bio-Inspired Wing Dihedral Variations on Dynamic Soaring Performance of Unmanned Aerial Vehicles" Drones 8, no. 11: 623. https://doi.org/10.3390/drones8110623
APA StyleZhang, H., Zhang, S., & Xiang, T. (2024). Effects of Bio-Inspired Wing Dihedral Variations on Dynamic Soaring Performance of Unmanned Aerial Vehicles. Drones, 8(11), 623. https://doi.org/10.3390/drones8110623

