A Hybrid Improved Symbiotic Organisms Search and Sine–Cosine Particle Swarm Optimization Method for Drone 3D Path Planning
Abstract
:1. Introduction
2. Drone Path Planning Modeling
2.1. Path Representation Method
2.2. The Modeling Methods of Flight Environment
2.2.1. The Mountain Environment
2.2.2. The Urban Environment
2.3. The Cost Function of Optimization Method
2.3.1. Flight Distance Cost
2.3.2. Flight Altitude Cost
2.3.3. Path Smoothness Cost
2.3.4. Collision Avoidance Constraint
2.3.5. Minimum Flight Altitude Constraint
2.3.6. Maximum Flight Altitude Constraint
2.3.7. Maximum Horizontal Turn Angles Constraint
2.3.8. Maximum Climbing Slopes Constraint
3. Optimization Method
3.1. The Basic PSO
3.2. The Basic SOS Algorithm
3.3. The Proposed HISOS-SCPSO Method
| Algorithm 1: Pseudocode of the HISOS-SCPSO | |
| Input: Number of population NOP; dimension of population DOP; number of iterations T; parameters of HISOS-SCPSO kv, wmax, wmin, c1max, c1min, H and L. | |
| Output: The Optimal individual XSC,best. | |
| 1. | Initialize population position XSC and velocity VSC using chaotic Logistic map. |
| 2. | for p = 1 to NOP do |
| 3. | Calculate the fitness value f(XSC,p) of individual XSC,p. |
| 4. | end for |
| 5. | Evaluate XSC,best. |
| 6. | count = 0 |
| 7. | for t = 1 to T do |
| 8. | for p = 1 to NOP do |
| 9. | Randomly select individual XSC,q where q ≠ p |
| 10. | Calculate the mutually beneficial vector MVSC by (34) |
| 11. | Acquire offspring XSC,pq_new by (33) |
| 12. | if f(XSC,pq_new) < f(XSC,p) then |
| 13. | Replace XSC,p with XSC,pq_new, and replace f(XSC,p) with f(XSC,pq_new) |
| 14. | end if |
| 15. | Acquire offspring XSC,pnew and VSC,pnew using (35) and (38) |
| 16. | if f(XSC,pnew) < f(XSC,p) then |
| 17. | Replace XSC,p with XSC,pnew, replace VSC,p with VSC,pnew, and replace f(XSC,p) with f(XSC,pnew) |
| 18. | end if |
| 19. | end for |
| 20. | Update R1, w, and c1 by (37), (40) and (41) |
| 21. | if f(XSC,best,t) − f(XSC,best,t-1) < δ then |
| 22. | count = count + 1 |
| 23. | else |
| 24. | count = 0 |
| 25. | end if |
| 26. | if count ≥ Nstag then |
| 27. | Select the worst Nworst individuals from the population and delete them |
| 28. | Generate Nworst individuals by (42) |
| 29. | count = 0 |
| 30. | end if |
| 31. | Evaluate XSC,best. |
| 32. | end for |
| 33. | Return XSC,best as optimal solotion |
4. Simulation Results and Discussions
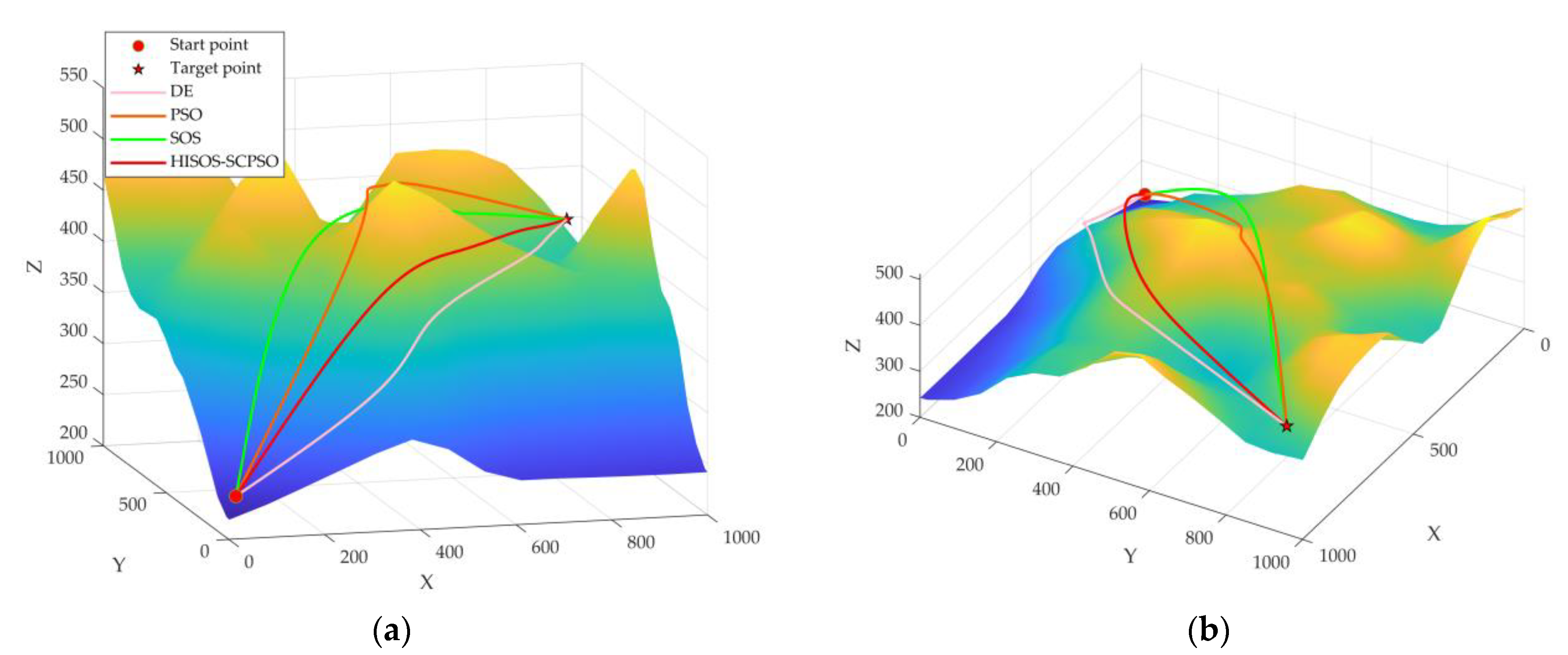
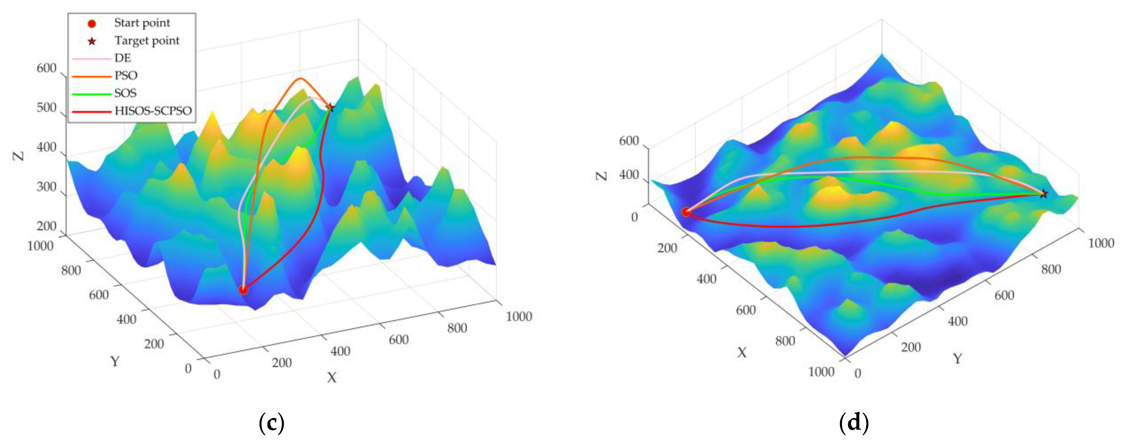
4.1. Evaluation Experiment of 3D Simulated Mountain Terrain
4.2. Evaluation Experiment of 3D Simulated Urban Terrain
4.3. Discussion
5. Conclusions
Author Contributions
Funding
Data Availability Statement
Conflicts of Interest
References
- Liu, J.; Song, Y.; An, S.; Dong, C. How to improve the cooperation mechanism of emergency rescue and optimize the cooperation strategy in China: A tripartite evolutionary game model. Int. J. Environ. Res. Public Health 2022, 19, 1326. [Google Scholar] [CrossRef] [PubMed]
- Meng, Y.; Xu, J.; He, J.; Tao, S.; Gupta, D.; Moreira, C.; Tiwari, P.; Guo, C. A cluster UAV inspired honeycomb defense system to confront military IoT: A dynamic game approach. Soft Comput. 2021, 27, 1033–1043. [Google Scholar]
- Tsouros, D.C.; Bibi, S.; Sarigiannidis, P.G. A review on UAV-based applications for precision agriculture. Information 2019, 10, 349. [Google Scholar]
- Sziroczak, D.; Rohacs, D.; Rohacs, J. Review of using small UAV based meteorological measurements for road weather management. Prog. Aerosp. Sci. 2022, 134, 100859. [Google Scholar]
- Menouar, H.; Guvenc, I.; Akkaya, K.; Uluagac, A.S.; Kadri, A.; Tuncer, A. UAV-enabled intelligent transportation systems for the smart city: Applications and challenges. IEEE Commun. Mag. 2017, 55, 22–28. [Google Scholar] [CrossRef]
- Luo, C.; Miao, W.; Ullah, H.; McClean, S.; Parr, G.; Min, G. Unmanned aerial vehicles for disaster management. In Geological Disaster Monitoring Based on Sensor Networks; Springer: Singapore, 2019; pp. 83–107. [Google Scholar]
- Whitehurst, D.; Joshi, K.; Kochersberger, K.; Weeks, J. Post-flood analysis for damage and restoration assessment using drone imagery. Remote Sens. 2022, 14, 4952. [Google Scholar]
- Khan, S.I.; Qadir, Z.; Munawar, H.S.; Nayak, S.R.; Budati, A.K.; Verma, K.D.; Prakash, D. UAVs path planning architecture for effective medical emergency response in future networks. Phys. Commun. 2021, 47, 101337. [Google Scholar]
- Mishra, B.; Garg, D.; Narang, P.; Mishra, V. Drone-surveillance for search and rescue in natural disaster. Comput. Commun. 2020, 156, 1–10. [Google Scholar]
- Sun, Z.; Yen, G.G.; Wu, J.; Ren, H.; An, H.; Yang, J. Mission planning for energy-efficient passive UAV radar imaging system based on substage division collaborative search. IEEE Trans. Cybern. 2023, 53, 275–288. [Google Scholar] [CrossRef]
- Ramirez-Atencia, C.; Bello-Orgaz, G.; Camacho, D. Solving complex multi-UAV mission planning problems using multi-objective genetic algorithms. Soft Comput. 2017, 21, 4883–4900. [Google Scholar]
- Fu, Z.; Yu, J.; Xie, G.; Chen, Y.; Mao, Y. A heuristic evolutionary algorithm of UAV path planning. Wirel. Commun. Mob. Comput. 2018, 2018, 2851964. [Google Scholar]
- Aggarwal, S.; Kumar, N. Path planning techniques for unmanned aerial vehicles: A review, solutions, and challenges. Comput. Commun. 2020, 149, 270–299. [Google Scholar]
- Debnath, S.K.; Omar, R.; Latip, N.B.A. A review on energy efficient path planning algorithms for unmanned air vehicles. In Proceedings of the Computational Science and Technology: 5th ICCST 2018, Kota Kinabalu, Malaysia, 29–30 August 2018; pp. 523–532. [Google Scholar]
- Mokrane, A.; Choukchou Braham, A.; Cherki, B. UAV path planning based on dynamic programming algorithm on photogrammetric DEMs. In Proceedings of the International Conference on Electrical Engineering, Istanbul, Turkey, 25–27 September 2020; pp. 1–5. [Google Scholar]
- Radmanesh, M.; Kumar, M. Flight formation of UAVs in presence of moving obstacles using fast-dynamic mixed integer linear programming. Aerosp. Sci. Technol. 2016, 50, 149–160. [Google Scholar]
- Santiago, R.M.C.; De Ocampo, A.L.; Ubando, A.T.; Bandala, A.A.; Dadios, E.P. Path planning for mobile robots using genetic algorithm and probabilistic roadmap. In Proceedings of the IEEE 9th International Conference on Humanoid, Nanotechnology, Information Technology, Communication and Control, Environment and Management, Manila, Philippines, 1–3 December 2017; pp. 1–5. [Google Scholar]
- Yang, K.; Keat Gan, S.; Sukkarieh, S. A Gaussian process-based RRT planner for the exploration of an unknown and cluttered environment with a UAV. Adv. Robot. 2013, 27, 431–443. [Google Scholar] [CrossRef]
- Zhou, Y.L.; Huang, N.N. Airport AGV path optimization model based on ant colony algorithm to optimize Dijkstra algorithm in urban systems. Sustain. Comput. Inform. Syst. 2022, 35, 100716. [Google Scholar]
- Li, X.; Hu, X.; Wang, Z.; Du, Z. Path planning based on combination of improved A-star algorithm and DWA algorithm. In Proceedings of the 2nd International Conference on Artificial Intelligence and Advanced Manufacture, Manchester, UK, 15–17 October 2020; pp. 99–103. [Google Scholar]
- Wu, J.; Yi, J.; Gao, L.; Li, X. Cooperative path planning of multiple UAVs based on PH curves and harmony search algorithm. In Proceedings of the 2017 IEEE 21st International Conference on Computer Supported Cooperative Work in Design, Wellington, New Zealand, 26–28 April 2017; pp. 540–544. [Google Scholar]
- He, N.; Su, Y.; Guo, J.; Fan, X.; Liu, Z.; Wang, B. Dynamic path planning of mobile robot based on artificial potential field. In Proceedings of the International Conference on Intelligent Computing and Human-Computer Interaction, Sanya, China, 4–6 December 2020; pp. 259–264. [Google Scholar]
- Chen, Z.; Xu, B. AGV path planning based on improved artificial potential field method. In Proceedings of the IEEE International Conference on Power Electronics, Computer Applications, Shenyang, China, 22–24 January 2021; pp. 32–37. [Google Scholar]
- Cheng, M.Y.; Prayogo, D. Symbiotic organisms search: A new metaheuristic optimization algorithm. Comput. Struct. 2014, 139, 98–112. [Google Scholar]
- Phung, M.D.; Ha, Q.P. Safety-enhanced UAV path planning with spherical vector-based particle swarm optimization. Appl. Soft Comput. 2021, 107, 107376. [Google Scholar]
- Chai, X.; Zheng, Z.; Xiao, J.; Yan, L.; Qu, B.; Wen, P.; Wang, H.; Zhou, Y.; Sun, H. Multi-strategy fusion differential evolution algorithm for UAV path planning in complex environment. Aerosp. Sci. Technol. 2021, 121, 107287. [Google Scholar]
- Yu, Z.; Si, Z.; Li, X.; Wang, D.; Song, H. A novel hybrid particle swarm optimization algorithm for path planning of UAVs. IEEE Internet Things J. 2022, 9, 22547–22558. [Google Scholar] [CrossRef]
- Shao, S.; Peng, Y.; He, C.; Du, Y. Efficient path planning for UAV formation via comprehensively improved particle swarm optimization. ISA Trans. 2020, 97, 415–430. [Google Scholar]
- Qu, C.; Gai, W.; Zhang, J.; Zhong, M. A novel hybrid grey wolf optimizer algorithm for unmanned aerial vehicle (UAV) path planning. Knowl. Based Syst. 2020, 194, 105530. [Google Scholar]
- Miao, F.; Zhou, Y.; Luo, Q. A modified symbiotic organisms search algorithm for unmanned combat aerial vehicle route planning problem. J. Oper. Res. Soc. 2019, 70, 21–52. [Google Scholar]
- Yu, X.; Li, C.; Zhou, J. A constrained differential evolution algorithm to solve UAV path planning in disaster scenarios. Knowl. Based Syst. 2020, 204, 106209. [Google Scholar]
- Adhikari, D.; Kim, E.; Reza, H. A fuzzy adaptive differential evolution for multi-objective 3D UAV path optimization. In Proceedings of the 2017 IEEE Congress on Evolutionary Computation, San Sebastián, Spain, 5–8 June 2017; pp. 2258–2265. [Google Scholar]
- Xin, J.; Zhong, J.; Yang, F.; Cui, Y.; Sheng, J. An improved genetic algorithm for path-planning of unmanned surface vehicle. Sensors 2019, 19, 2640. [Google Scholar] [PubMed]
- Miao, C.; Chen, G.; Yan, C.; Wu, Y. Path planning optimization of indoor mobile robot based on adaptive ant colony algorithm. Comput. Ind. Eng. 2021, 156, 107230. [Google Scholar] [CrossRef]
- Črepinšek, M.; Liu, S.H.; Mernik, M. Exploration and exploitation in evolutionary algorithms: A survey. ACM Comput. Surv. 2013, 45, 1–33. [Google Scholar]
- Tsai, C.C.; Huang, H.C.; Chan, C.K. Parallel elite genetic algorithm and its application to global path planning for autonomous robot navigation. IEEE Trans. Ind. Electron. 2011, 58, 4813–4821. [Google Scholar] [CrossRef]
- Wang, G.G.; Chu, H.E.; Mirjalili, S. Three-dimensional path planning for UCAV using an improved bat algorithm. Aerosp. Sci. Technol. 2016, 49, 231–238. [Google Scholar]
- Wan, Y.; Zhong, Y.; Ma, A.; Zhang, L. An accurate UAV 3-D path planning method for disaster emergency response based on an improved multiobjective swarm intelligence algorithm. IEEE Trans. Cybern. 2022, 53, 2658–2671. [Google Scholar] [CrossRef]
- Xiong, T.; Liu, F.; Liu, H.; Ge, J.; Li, H.; Ding, K.; Li, Q. Multi-drone optimal mission assignment and 3D path planning for disaster rescue. Drones 2023, 7, 394. [Google Scholar]
- Tian, D.; Shi, Z. MPSO: Modified particle swarm optimization and its applications. Swarm Evol. Comput. 2018, 41, 49–68. [Google Scholar]
- Erdos, D.; Erdos, A.; Watkins, S.E. An experimental UAV system for search and rescue challenge. IEEE Aerosp. Electron. Syst. Mag. 2013, 28, 32–37. [Google Scholar] [CrossRef]
- Fernandez Galarreta, J.; Kerle, N.; Gerke, M. UAV-based urban structural damage assessment using object-based image analysis and semantic reasoning. Nat. Hazards Earth Syst. Sci. 2015, 15, 1087–1101. [Google Scholar]
- Liu, H.; Ge, J.; Wang, Y.; Li, J.; Ding, K.; Zhang, Z.; Guo, Z.; Li, W.; Lan, J. Multi-UAV optimal mission assignment and path planning for disaster rescue using adaptive genetic algorithm and improved artificial bee colony method. Actuators 2022, 11, 4. [Google Scholar]
- Zhang, Y.; Yu, W.; Zhu, D. Terrain feature-aware deep learning network for digital elevation model superresolution. ISPRS J. Photogramm. Remote Sens. 2022, 189, 143–162. [Google Scholar]
- Zhou, Q.; Luo, Y.; Zhou, X.; Cai, M.; Zhao, C. Response of vegetation to water balance conditions at different time scales across the karst area of southwestern China–a remote sensing approach. Sci. Total Environ. 2018, 645, 460–470. [Google Scholar] [PubMed]











| Algorithm Category | Representative Approach |
|---|---|
| Mathematical Model-Based Method | Dynamic programming (DP) [15], mixed-integer linear programming (MILP) [16], etc. |
| Sampling-Based Search Method | Probabilistic roadmap (PRM) [17], rapidly-exploring random tree (RRT) [18], etc. |
| Node-Based Search Method | Dijkstra algorithm [19], A-star (A*) [20], harmony search (HS) [21], etc. |
| Artificial Potential Field Method | Artificial potential field (APF) [22], improved artificial potential field (IAPF) [23], etc. |
| Evolutionary Method | Symbiotic organisms search (SOS) [24], particle swarm optimization (PSO) [25], differential evolution (DE) [26], etc. |
| Case 1 | |||
|---|---|---|---|
| No. | Center Coordinate (x0, y0), Slope (xsl, ysl), and Height hm | No. | Center Coordinate (x0, y0), Slope (xsl, ysl), and Height hm |
| 1 | (200, 220), (60, 90), 400 | 4 | (700, 850), (65, 75), 700 |
| 2 | (250, 750), (80, 100), 600 | 5 | (650, 600), (100, 80), 400 |
| 3 | (350, 450), (85, 70), 500 | 6 | (650, 250), (150, 90), 500 |
| Case 2 | |||
| No. | Center Coordinate (x0, y0), Slope (xsl, ysl), and Height hm | No. | Center Coordinate (x0, y0), Slope (xsl, ysl), and Height hm |
| 1 | (200, 220), (60, 90), 400 | 7 | (450, 770), (80, 90), 480 |
| 2 | (200, 800), (80, 100), 600 | 8 | (100, 450), (60, 65), 430 |
| 3 | (350, 450), (85, 70), 500 | 9 | (880, 720), (80, 100), 520 |
| 4 | (700, 850), (65, 75), 700 | 10 | (850, 430), (90, 100), 570 |
| 5 | (650, 600), (100, 80), 400 | 11 | (375, 180), (70, 75), 650 |
| 6 | (630, 270), (105, 90), 550 | 12 | (840, 180), (65, 60), 410 |
| Fitness Function Value | Mean Runtime(s) | |||||
|---|---|---|---|---|---|---|
| Best | Worst | Mean | SDV | |||
| Case 1 | DE | 82.1279 | 84.0127 | 82.8650 | 0.5083 | 0.7037 |
| PSO | 80.9122 | 96.2893 | 87.4288 | 5.4346 | 0.3907 | |
| SOS | 80.3621 | 82.9940 | 80.9154 | 0.4617 | 1.4419 | |
| HISOS-SCPSO | 79.3535 | 80.9505 | 80.0901 | 0.5757 | 0.7411 | |
| Case 2 | DE | 92.1415 | 121.3694 | 110.9071 | 7.0153 | 0.8338 |
| PSO | 81.2971 | 146.9696 | 120.8978 | 16.3509 | 0.4639 | |
| SOS | 83.3610 | 91.3682 | 85.0827 | 1.9332 | 1.6631 | |
| HISOS-SCPSO | 80.2106 | 83.7557 | 82.5933 | 1.0675 | 0.8985 | |
| Case 3 | |||
|---|---|---|---|
| No. | Base Vertex Projection Coordinates (xu, yu) and Height hu | No. | Base Vertex Projection Coordinates (xu, yu) and Height hu |
| 1 | (150, 120), (165, 235), (300, 235), (285, 120), 600 | 4 | (520, 240), (390, 370), (520, 500), (650, 370), 400 |
| 2 | (210, 500), (210, 600), (270, 680), (270, 835), (330, 835), (330, 500), 550 | 5 | (480, 610), (480, 780), (680, 780), (680, 610), 750 |
| 3 | (750, 265), (750, 425), (900, 425), (900, 345), (850, 345), (850, 260), 464 | 6 | (800, 700), (800, 850), (896, 850), (896, 700), 700 |
| Case 4 | |||
| No. | Base vertex projection coordinates (xu, yu) and Height hu | No. | Base vertex projection coordinates (xu, yu) and Height hu |
| 1 | (150, 120), (165, 235), (300, 235), (285, 120), 600 | 7 | (80, 750), (80, 960), (200, 855), 650 |
| 2 | (210, 500), (210, 600), (270, 600), (270, 750), (330, 750), (330, 500), 550 | 8 | (450, 50), (450, 130), (550, 130), (550, 50), 380 |
| 3 | (750, 265), (750, 425), (900, 425), (900, 345), (850, 345), (850, 260), 464 | 9 | (450, 960), (450, 850), (550, 850), (550, 960), 480 |
| 4 | (520, 240), (390, 370), (520, 500), (650, 370), 400 | 10 | (700, 50), (700, 120), (870, 120), (870, 170), (930, 170), (930, 50), 530 |
| 5 | (480, 610), (480, 780), (680, 780), (680, 610), 750 | 11 | (120, 350), (120, 450), (250, 450), (250, 350), 610 |
| 6 | (800, 700), (800, 850), (896, 850), (896, 700), 700 | 12 | (780, 500), (920, 500), (920, 590), (780, 590), 600 |
| Fitness Function Value | Mean Runtime(s) | |||||
|---|---|---|---|---|---|---|
| Best | Worst | Mean | SDV | |||
| Case 3 | DE | 106.8336 | 116.5442 | 111.4591 | 3.2049 | 12.5984 |
| PSO | 107.1219 | 123.9882 | 115.0130 | 4.3659 | 7.0010 | |
| SOS | 105.6032 | 114.7277 | 107.3764 | 1.6444 | 29.4895 | |
| HISOS-SCPSO | 105.5132 | 107.2462 | 105.9946 | 0.4795 | 16.0002 | |
| Case 4 | DE | 115.8751 | 149.7513 | 133.0243 | 10.1384 | 32.2909 |
| PSO | 109.9397 | 204.0947 | 162.3170 | 27.3219 | 15.8544 | |
| SOS | 110.8745 | 122.7170 | 114.0504 | 3.1358 | 62.9520 | |
| HISOS-SCPSO | 106.1866 | 112.7962 | 110.5901 | 2.0190 | 32.6177 | |
| Longitude Range | Latitude Range | Approximate Horizontal Size | Approximate Altitude Range | |
|---|---|---|---|---|
| Case 5 | (110.40758 °E, 110.41832 °E) | (25.002104 °N, 25.010851 °N) | 1000 m × 1000 m | (219.5 m, 511.43 m) |
| Case 6 | (110.39329 °E, 110.41675 °E) | (25.041794 °N, 25.062988 °N) | 2000 m × 2000 m | (277.93 m, 547.93 m) |
| Fitness Function Value | Mean Runtime(s) | |||||
|---|---|---|---|---|---|---|
| Best | Worst | Mean | SDV | |||
| Case 5 | DE | 89.5573 | 92.5589 | 90.3620 | 0.7807 | 0.8723 |
| PSO | 88.3561 | 103.4429 | 95.7157 | 4.5199 | 0.4924 | |
| SOS | 87.1556 | 91.1553 | 87.5514 | 0.7445 | 1.7136 | |
| HISOS-SCPSO | 86.8542 | 87.1995 | 87.0527 | 0.0963 | 0.9508 | |
| Case 6 | DE | 134.5873 | 142.2764 | 138.0679 | 1.7252 | 0.8624 |
| PSO | 133.3932 | 156.3994 | 145.3721 | 6.0941 | 0.4879 | |
| SOS | 130.7048 | 136.3455 | 133.1975 | 1.6763 | 1.7055 | |
| HISOS-SCPSO | 128.1872 | 130.8253 | 129.3975 | 0.7641 | 0.9442 | |
| Fitness Function Value | |||||
|---|---|---|---|---|---|
| Best | Worst | Mean | SDV | ||
| Case 1’ | DE | 79.3573 | 81.4145 | 79.9616 | 0.7025 |
| HISOS-SCPSO | 79.2017 | 79.4372 | 79.3451 | 0.0549 | |
| Case 2’ | DE | 80.3101 | 88.2632 | 82.8565 | 2.0621 |
| HISOS-SCPSO | 79.7006 | 82.9885 | 81.5449 | 1.0538 | |
| Case 3’ | DE | 105.6835 | 113.6417 | 106.4429 | 1.4856 |
| HISOS-SCPSO | 105.4441 | 106.7621 | 105.8085 | 0.2671 | |
| Case 4’ | DE | 108.7765 | 118.4722 | 113.2985 | 2.5803 |
| HISOS-SCPSO | 106.1029 | 112.1629 | 109.4320 | 2.0709 | |
| Case 5’ | DE | 86.9648 | 87.5806 | 87.2246 | 0.1510 |
| HISOS-SCPSO | 86.6914 | 87.3818 | 86.9389 | 0.1346 | |
| Case 6’ | DE | 129.3128 | 134.8471 | 132.3557 | 1.1669 |
| HISOS-SCPSO | 127.8550 | 129.0246 | 128.4205 | 0.2861 | |
Disclaimer/Publisher’s Note: The statements, opinions and data contained in all publications are solely those of the individual author(s) and contributor(s) and not of MDPI and/or the editor(s). MDPI and/or the editor(s) disclaim responsibility for any injury to people or property resulting from any ideas, methods, instructions or products referred to in the content. |
© 2023 by the authors. Licensee MDPI, Basel, Switzerland. This article is an open access article distributed under the terms and conditions of the Creative Commons Attribution (CC BY) license (https://creativecommons.org/licenses/by/4.0/).
Share and Cite
Xiong, T.; Li, H.; Ding, K.; Liu, H.; Li, Q. A Hybrid Improved Symbiotic Organisms Search and Sine–Cosine Particle Swarm Optimization Method for Drone 3D Path Planning. Drones 2023, 7, 633. https://doi.org/10.3390/drones7100633
Xiong T, Li H, Ding K, Liu H, Li Q. A Hybrid Improved Symbiotic Organisms Search and Sine–Cosine Particle Swarm Optimization Method for Drone 3D Path Planning. Drones. 2023; 7(10):633. https://doi.org/10.3390/drones7100633
Chicago/Turabian StyleXiong, Tao, Hao Li, Kai Ding, Haoting Liu, and Qing Li. 2023. "A Hybrid Improved Symbiotic Organisms Search and Sine–Cosine Particle Swarm Optimization Method for Drone 3D Path Planning" Drones 7, no. 10: 633. https://doi.org/10.3390/drones7100633
APA StyleXiong, T., Li, H., Ding, K., Liu, H., & Li, Q. (2023). A Hybrid Improved Symbiotic Organisms Search and Sine–Cosine Particle Swarm Optimization Method for Drone 3D Path Planning. Drones, 7(10), 633. https://doi.org/10.3390/drones7100633

