Nonlinear Analysis and Bifurcation Characteristics of Whirl Flutter in Unmanned Aerial Systems
Abstract
1. Introduction
2. Nonlinear Aeroelastic Modeling
3. Linear Characteristics of the System: Onset Speed of Whirl Flutter
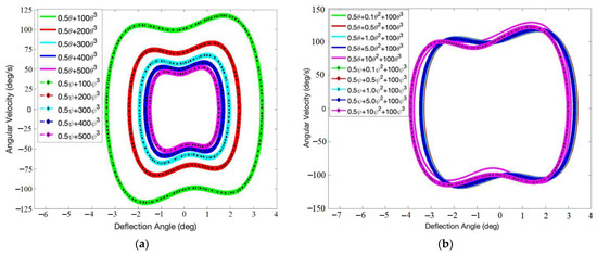
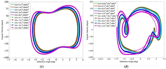
4. Bifurcation Analysis: Effects of the Nonlinear Stiffnesses on the System’s Response
5. Effects of the System’s Properties and Number of Blades on the Nonlinear Response of the System
6. Conclusions
Author Contributions
Funding
Institutional Review Board Statement
Informed Consent Statement
Data Availability Statement
Conflicts of Interest
References
- Green, N.D.C.; Ford, S.A. G-induced loss of consciousness: Retrospective survey results from 2259 military aircrew. Aviat. Space Environ. Med. 2006, 77, 619–623. [Google Scholar]
- Park, J.-S.; Jung, S.N.; Lee, M.-K.; Kim, J.M. Design optimization framework for tiltrotor composite wings considering whirl flutter stability. Compos. Part B Eng. 2010, 41, 257–267. [Google Scholar] [CrossRef]
- Taylor, E.S.; Browne, K.A. Vibration Isolation of Aircraft Power Plants. J. Aeronaut. Sci. 1938, 6, 43–49. [Google Scholar] [CrossRef]
- Reed, W.H., III. Propeller-rotor whirl flutter: A state-of-the-art review. J. Sound Vib. 1966, 4, 526–544. [Google Scholar] [CrossRef]
- Čečrdle, J. Aeroelastic Stability of Turboprop Aircraft: Whirl Flutter. In Flight Physics–Models, Techniques and Technologies; BoD–Books on Demand: Norderstedt, Germany, 2018; pp. 139–158. [Google Scholar]
- Janetzke, D.C.; Kaza, K.R. Whirl flutter analysis of a horizontal-axis wind turbine with a two-bladed teetering rotor. Sol. Energy 1983, 31, 173–182. [Google Scholar] [CrossRef]
- Zhang, X.; Zhao, M.; Liang, H.; Zhu, M. Structural and aeroelastic analyses of a wing with tip rotor. J. Fluids Struct. 2019, 86, 44–69. [Google Scholar] [CrossRef]
- Mair, C.; Rezgui, D.; Titurus, B. Nonlinear stability analysis of whirl flutter in a rotor-nacelle system. Nonlinear Dyn. 2018, 94, 2013–2032. [Google Scholar] [CrossRef] [PubMed]
- Black Hornet PRS SQUAD-LEVEL IMMEDIATE SITUATIONAL AWARENESS Save Lives and Minimize Collateral Damage. Detect and Identify Threats Day and Night without Being Detected. Increase Speed of Movement and Expand Maneuver Options. (n.d.). Available online: https://flir.netx.net/file/asset/14121/original (accessed on 15 May 2021).
- Curtis, J.; Charette, J.; Spear, D.; Bode, J.; Brandt, S. Aerodynamic optimization of the Lockheed-Martin FPASS/desert hawk UAV. In Proceedings of the AIAA 3rd Unmanned Unlimited Technical Conference, Workshop and Exhibit, Chicago, IL, USA, 20–23 September 2004; p. 6607. [Google Scholar]
- Sisto, J. Soldiers of the Future Will Generate Their Own Power; NSRDEC Public Affairs: 2014. Available online: https://static.dvidshub.net/media/pubs/pdf_23866.pdf (accessed on 15 May 2021).
- Zaporozhets, A. Overview of quadrocopters for energy and ecological monitoring. In Systems, Decision and Control in Energy I; Springer: Cham, Switzerland, 2020; pp. 15–36. [Google Scholar]
- Mansur, M.H.; Tischler, M.B.; Bielefield, M.D.; Bacon, J.W.; Cheung, K.K.; Berrios, M.G.; Rothman, K.E. Full Flight Envelope Inner Loop Control Law Development for the Unmanned K-MAX. ARMY AVIATION AND MISSILE RESEARCH DEVELOPMENT AND ENG CTR MOFFETT FIELD CA MOFFETT FIELD United States. 2011. Available online: https://apps.dtic.mil/sti/pdfs/AD1021688.pdf (accessed on 15 May 2021).
- Sheet, U.A.F.F. MQ-1 PREDATOR. US Airforce Web Page. (May 2008). Available online: http://www.af.mil/library (accessed on 15 May 2021).
- Chen, C.; Edwards, M.W.; Gill, B.; Smearcheck, S.; Adami, T.; Calhoun, S.; Wu, M.G.; Cone, A.; Lee, S.M. Defining Well Clear Separation for Unmanned Aircraft Systems Operating with Noncooperative Aircraft. In Proceedings of the AIAA Aviation 2019 Forum, Dallas, TX, USA, 17–21 June 2019. [Google Scholar]
- Cote, C.P. MQ-1C Gray Eagle Unmanned Aircraft System (MQ-1C Gray Eagle); US Army Redstone Arsenal United States: Huntsville, AL, USA, 2015. [Google Scholar]
- Airbus, B. MQ-25 Contract to Boeing. Available online: https://www.militaryaerospace.com/unmanned/article/14190147/unmanned-groundcontrol-station-mq25 (accessed on 15 May 2021).
- Bergmann, K. MQ-4C: Northrop Grumman gears up for ‘Triton’ full rate production. Asia-Pac. Def. Rep. (2002) 2019, 45, 50. [Google Scholar]
- Hernandez, M.; Jackson, H.; Meza, O.; McKenney, C.; Morgan, R.; Palermo, B.; Roach, S.; Spaterna, A.; Wathen, D. MH-60 Seahawk/MQ-8 Fire Scout Interoperability; NAVAL POSTGRADUATE SCHOOL MONTEREY CA DEPT OF SYSTEMS ENGINEERING: 2010. Available online: https://apps.dtic.mil/sti/pdfs/ADA530149.pdf (accessed on 15 May 2021).
- Ouma, J.A.; Chappelle, W.L.; Salinas, A. Facets of Occupational Burnout among US Air Force Active Duty and National Guard/Reserve MQ-1 Predator and MQ-9 Reaper Operators; School of Aerospace Medicine Wright Patterson AFB OH: 2011. Available online: https://apps.dtic.mil/sti/pdfs/ADA548103.pdf (accessed on 15 May 2021).
- Root, A.M. Crimson Viper 2015; US Marine Corps Forces, Technology Experimentation Center Camp Smith United States: 2015. Available online: https://apps.dtic.mil/sti/pdfs/AD1048631.pdf (accessed on 15 May 2021).
- Dahlgren, R.P.; Pinsker, E.A.; Dary, O.G.; Ogunbiyi, J.A.; Mazhari, A.A. 3D scanning and printing of airfoils for modular UAS. In Laser 3D Manufacturing IV; International Society for Optics and Photonics: Bellingham, WA, USA; Volume 10095, p. 100950J.
- Slocombe, G. Army unnamed surface and aerial vehicles. Asia-Pac. Def. Rep. (2002) 2020, 46, 22–24. [Google Scholar]
- Hartmann, K.; Steup, C. The vulnerability of UAVs to cyber attacks-An approach to the risk assessment. In Proceedings of the 2013 5th International Conference on Cyber Conflict (CYCON 2013), Tallinn, Estonia, 4–7 June 2013; IEEE: Piscataway Township, NJ, USA, 2013; pp. 1–23. [Google Scholar]
- Smagin, A.A.; Dolgov, O.S.; Pocebneva, I.V. On the Issue of Increasing the Stability and Controllability of Aircraft of Non-Traditional Schemes When Moving on the Ground. In Proceedings of the 2020 International Russian Automation Conference (RusAutoCon), Sochi, Russia, 6–12 September 2020; IEEE: Piscataway Township, NJ, USA, 2020; pp. 920–925. [Google Scholar]
- Perez, C.; Krishna Rao, K.V. Increasing Performance of the RQ-20 Puma With Photovoltaic Cells; Naval Postgraduate School Monterey United States: 2018. Available online: https://apps.dtic.mil/sti/pdfs/AD1065464.pdf (accessed on 15 May 2021).
- Caddigan, E. Reconstructing Simulator Control Inputs: A Machine Learning Approach. In Proceedings of the Human Factors and Ergonomics Society Annual Meeting, Philadelphia, PA, USA, 1–5 October 2018; SAGE Publications: Los Angeles, CA, USA, 2018; Volume 62, pp. 54–56. [Google Scholar]
- Liu, D.W.; Sun, J.; Huang, D.G.; Wang, X.Y.; Cheng, K.; Yang, W.Q.; Ding, J.Y. Research on development status and technology trend of intelligent autonomous ammunition. J. Phys. Conf. Ser. 2021, 1721, 012032. [Google Scholar] [CrossRef]
- Billingsley, T.B. Safety Analysis of TCAS on Global Hawk Using Airspace Encounter Models. Doctoral Dissertation, Massachusetts Institute of Technology, Cambridge, MA, USA, 2006. [Google Scholar]
- Ahuja, V.; Hartfield, R. Optimization of UAV designs for aerodynamic performance using genetic algorithms. In Proceedings of the 51st AIAA/ASME/ASCE/AHS/ASC Structures, Structural Dynamics, and Materials Conference 18th AIAA/ASME/AHS Adaptive Structures Conference 12th, Orlando, FL, USA, 12–15 April 2010; p. 2759. [Google Scholar]
- Tatham, P. An investigation into the suitability of the use of unmanned aerial vehicle systems (UAVS) to support the initial needs assessment process in rapid onset humanitarian disasters. Int. J. Risk Assess. Manag. 2009, 13, 60–78. [Google Scholar] [CrossRef]
- LaBonte, G. Airplanes at constant speeds on inclined circular trajectories. Adv. Aircr. Spacecr. Sci. 2016, 3, 399–425. [Google Scholar] [CrossRef]
- Kendall, K.; Liang, B.; Kendall, M. Microtubular SOFC (mSOFC) system in mobile robot applications. ECS Trans. 2017, 78, 237. [Google Scholar] [CrossRef]
- Gettinger, D. Drones Operating in Syria and Iraq; Center for the Study of the Drone at Bard College: 2016. Available online: https://picture.iczhiku.com/resource/paper/WyIRJWYQEijpobvB.pdf (accessed on 18 October 2021).
- Ma, T.; Yang, C.; Gan, W.; Xue, Z.; Zhang, Q.; Zhang, X. Analysis of technical characteristics of fixed-wing VTOL UAV. In Proceedings of the 2017 IEEE International Conference on Unmanned Systems (ICUS), Beijing, China, 27–29 October 2017; IEEE: Piscataway Township, NJ, USA, 2017; pp. 293–297. [Google Scholar]
- Murphy, R.R. International Cooperation in Deploying Robots for Disasters: Lessons for the Future from the Great East Japan Earthquake. J. Robot. Soc. Jpn. 2014, 32, 104–109. [Google Scholar] [CrossRef][Green Version]
- Stanković, M.; Mirza, M.M.; Karabiyik, U. UAV Forensics: DJI Mini 2 Case Study. Drones 2021, 5, 49. [Google Scholar] [CrossRef]
- Shin, J.I. A Study for Possibility to Detect Missing Sidewalk Blocks using Drone. J. Korea Acad.-Ind. Coop. Soc. 2021, 22, 34–41. [Google Scholar]
- Yousef, M.; Iqbal, F.; Hussain, M. Drone Forensics: A Detailed Analysis of Emerging DJI Models. In Proceedings of the 2020 11th International Conference on Information and Communication Systems (ICICS), Irbid, Jordan, 7–9 April 2020; IEEE: Piscataway Township, NJ, USA, 2020; pp. 66–71. [Google Scholar]
- Zolkepli, M.F. Slope Mapping using Unmanned Aerial Vehicle (UAV). Turk. J. Comput. Math. Educ. (TURCOMAT) 2021, 12, 1781–1789. [Google Scholar]
- Peppa, M.V.; Hall, J.; Goodyear, J.; Mills, J.P. Photogrammetric assessment and comparison of DJI Phantom 4 pro and phantom 4 RTK small unmanned aircraft systems. ISPRS Geospat. Week 2019. Available online: https://ui.adsabs.harvard.edu/abs/2019ISPAr4213..503P/abstract (accessed on 15 June 2021).
- Lu, Y.C.; Chen, C.W.; Pu, C.C.; Lin, Y.T.; Jhan, J.K.; Liang, S.P.; Tseng, W.L.; Chen, C.S.; Yu, C.Y.; Wang, H.W.; et al. An 176.3 GOPs Object Detection CNN Accelerator Emulated in a 28nm CMOS Technology. In Proceedings of the 2021 IEEE 3rd International Conference on Artificial Intelligence Circuits and Systems (AICAS), Washington, DC, USA, 6–9 June 2021; IEEE: Piscataway Township, NJ, USA, 2021; pp. 1–4. [Google Scholar]
- Home-BRINC|Official Website. (n.d.). Available online: https://brincdrones.com (accessed on 15 June 2021).
- Varga, L.A.; Kiefer, B.; Messmer, M.; Zell, A. SeaDronesSee: A Maritime Benchmark for Detecting Humans in Open Water. arXiv 2021, arXiv:2105.01922. [Google Scholar]
- Censys Technologies Home. (n.d.). Censys Technologies Corporation. Available online: https://censystech.com (accessed on 15 June 2021).
- Jayavarman; Al-Obaidi, A.S.M.; Phang, S.K.; How, Y.G. Improving aerodynamic efficiency of a Skywalker drone. AIP Conf. Proc. 2020, 2233, 020011. [Google Scholar]
- Durafly™ P-47 THUNDERBOLT w/flaps/retracts/lights 1100 mm (pnf). Hobbyking. (n.d.). Available online: https://hobbyking.com/en_us/duraflytm-p-47-thunderbolt-w-flaps-retracts-lights-1100mm-pnf.html (accessed on 15 June 2021).
- Avios (PNF) KINGTWIN 1700 Sports/Scale EXECUTIVE Turboprop Airplane (1700 mm). Hobbyking. (n.d.). Available online: https://hobbyking.com/en_us/avios-pnf-kingtwin-1700-sports-scale-executive-turboprop-airplane-1700mm.html (accessed on 15 June 2021).
- Original Unique P-51 Drone RC Warbird 1200 mm WINGSPAN EPO Aircraft Pnp Version RC Airplane with Electric Retractable Landing Gear. Rcmoment. (n.d.). Available online: https://www.rcmoment.com/p-rm6618.html (accessed on 15 June 2021).
- Ramesh, P.S.; Jeyan, J.V.M.L. Comparative analysis of the impact of operating parameters on military and civil applications of mini unmanned aerial vehicle (UAV). AIP Conf. Proc. 2020, 2311, 030034. [Google Scholar]
- UAVOS. Uavos. (n.d.). Available online: https://www.uavos.com/ (accessed on 15 June 2021).
- Albatross Uav: Bvlos Drone. Applied Aeronautics. (n.d.). Available online: https://www.appliedaeronautics.com/ (accessed on 15 June 2021).
- UKRSPECSYSTEMS. (n.d.). Available online: https://ukrspecsystems.com/ (accessed on 15 June 2021).
- Threod Systems. (n.d.). Available online: https://threod.com/ (accessed on 15 June 2021).
- Marshall, D.M.; Barnhart, R.K.; Shappee, E.; Most, M.; Semke, W.H. Chapter 14. In Introduction to Unmanned Aircraft Systems; CRC Press, Taylor & Francis Group, 2016; Available online: https://www.taylorfrancis.com/books/edit/10.1201/9781315372044/introduction-unmanned-aircraft-systems-douglas-marshall-kurt-barnhart-eric-shappee-michael (accessed on 18 October 2021).
- Mair, C.; Rezgui, D.; Titurus, B. Stability Analysis of Whirl Flutter in a Nonlinear Gimballed Rotor-Nacelle System. In Proceedings of the Vertical Flight Society 75th Annual Forum, Philadelphia, PA, USA, 13–16 May 2019. [Google Scholar]
- Yeo, H.; Bosworth, J.; Acree, C.W., Jr.; Kreshock, A.R. Comparison of CAMRAD II and RCAS Predictions of Tiltrotor Aeroelastic Stability. J. Am. Helicopter Soc. 2018, 63, 1–13. [Google Scholar] [CrossRef]
- Shen, J.; Kang, H. Comparison Study of Tiltrotor Whirl Flutter Using Two Rotorcraft Comprehensive Analyses. J. Aircr. 2017, 54, 845–850. [Google Scholar] [CrossRef]
- Higgins, R.J.; Barakos, G.N. Whirl and stall flutter simulation using CFD. In Proceedings of the 43rd European Rotorcraft Forum, Milan, Italy, 12–15 September 2017. [Google Scholar]
- Piatak, D.J.; Kvaternik, R.G.; Nixon, M.W.; Langston, C.W.; Singleton, J.D.; Bennett, R.L.; Brown, R.K. A wind-tunnel parametric investigation of tiltrotor whirl-flutter stability boundaries. In Proceedings of the American Helicopter Society 57th Annual Forum, Washington, DC, USA, 9–11 May 2001. [Google Scholar]
- Wilson, W.C.; Moore, J.P. Passive Wireless Vibration Sensing for Measuring Aerospace Structural Flutter. In IEEE WiSEE 2017, Passive Wireless Sensor Workshop, NASA Technical Report Server. 2017. Available online: https://ntrs.nasa.gov/api/citations/20170010142/downloads/20170010142.pdf (accessed on 15 June 2021).
- Acree, C.W., Jr.; Peyran, R.J.; Johnson, W. Rotor Design for Whirl Flutter: An Examination of Options for Improving Tiltrotor Aeroelastic Stability Margins; National Aeronautics and Space Administration Moffett Field Ca Ames Research Center: 1999. Available online: https://apps.dtic.mil/sti/pdfs/ADA480521.pdf (accessed on 15 June 2021).
- Heeg, J.; Stanford, B.K.; Kreshock, A.; Shen, J.; Hoover, C.B.; Truax, R. Whirl Flutter and the Development of the NASA X-57 Maxwell. 2019. Available online: https://ntrs.nasa.gov/api/citations/20200002633/downloads/20200002633.pdf (accessed on 15 June 2021).
- Ribner, H.S. Propellers in Yaw; National Aeronautics and Space Admin Langley Research Center: Hampton VA, USA, 1943. [Google Scholar]
- Kim, T.; Shin, S.; Kim, T. Analysis of tiltrotor whirl flutter in time and frequency domain. J. Mech. Sci. Technol. 2009, 23, 3281–3291. [Google Scholar] [CrossRef]
- Bielawa, R.L. Rotary Wing Structural Dynamics and Aeroelasticity; American Institute of Aeronautics and Astronautics: Reno, NV, USA, 2006. [Google Scholar]
- Ward, L.K.; Head, A.L.; Smith, W.D. 1964 Proceeding of Symposium on Aeroelastic and Dynamic Modeling Technology. September 1963, Dayton, Ohio. Research and Technology Div. Bolling AFB DC, 1964; RTDTDR-63-4197, Part I. Dynamic Model Testing of the XC-142. 723–762.
- Jones, M.; Bernascone, A.; Masarati, P.; Quaranta, G.; Rezgui, D. Ongoing developments in the use of continuation bifurcation methodology at AgustaWestland. In Proceedings of the 40th European Rotorcraft Forum, Southampton, UK, 2–5 September 2014; pp. 905–918. [Google Scholar]
- MATLAB; The MathWorks Inc.: Natick, MA, USA, 2019.
- Kuznetsov, Y.A. Elements of Applied Bifurcation Theory; Springer Science & Business Media: Berlin, Germany, 2013; Volume 112. [Google Scholar]
- Kovacic, I.; Brennan, M.J. The Duffing Equation: Nonlinear Oscillators and Their Behaviour; John Wiley & Sons: Hoboken, NJ, USA, 2011. [Google Scholar]
- Homburg, A.J.; Sandstede, B. Homoclinic and Heteroclinic Bifurcations in Vector Fields. Handb. Dyn. Syst. 2010, 3, 379–524. [Google Scholar]
- Farokhi, H.; Ghayesh, M.H. Supercritical nonlinear parametric dynamics of Timoshenko microbeams. Commun. Nonlinear Sci. Numer. Simul. 2018, 59, 592–605. [Google Scholar] [CrossRef]
- Pellicano, F.; Vestroni, F. Nonlinear Dynamics and Bifurcations of an Axially Moving Beam. J. Vib. Acoust. 1999, 122, 21–30. [Google Scholar] [CrossRef]












| Reference Citation # | Application | Model | Manufacturer | Type | Maximum Speed (Km/h) | Wingspan (m) | Length (m) |
|---|---|---|---|---|---|---|---|
| [9] | Military | Black Hornet | FLIR | Rw | 18 | 0.12 | 0.168 |
| [10] | Military | Desert Hawk III | Lockheed Martin | Fw | 92 | 1.5 | |
| [11] | Military | InstantEye (Gen3) | Physical Sciences | Rw | |||
| [12] | Military | Karma | GoPro | Rw | |||
| [13] | Military | K-MAX | Kaman | Rw | 185 | 14.7 | 15.8 |
| [14] | Military | MQ-1 Predator | GA-ASI | Fw | 215 | 16.8 | 8.22 |
| [15] | Military | MQ-19 Aerosonde | AAI | Fw | 11 | ||
| [16] | Military | MQ-1C Gray Eagle | GA-ASI | Fw | 305 | 17 | 9 |
| [17] | Military | MQ-25 Stingray | Boeing | Fw | |||
| [18] | Military | MQ-4C Triton | Northrop Grumman | Fw | 613 | 40 | 14.5 |
| [19] | Military | MQ-8 Fire Scout | Northrop Grumman | Rw | 250 | 10.7 | 12.6 |
| [20] | Military | MQ-9 Reaper | GA-ASI | Fw | 445 | 20 | 11 |
| [21] | Military | Phoenix 30 | UAV Solutions | Rw | 0.5 | 0.5 | |
| [22] | Military | RQ-11 | AeroVironment | Fw | 81 | 1.4 | 1 |
| [23] | Military | RQ-12 Wasp | AeroVironment | Fw | 83 | 1 | 0.8 |
| [24] | Military | RQ-170 Sentinel | Lockheed Martin | Fw | |||
| [25] | Military | RQ-180 | Northrop Grumman | Fw | |||
| [26] | Military | RQ-20 Puma | AeroVironment | Fw | 83 | 2.8 | 1.4 |
| [27] | Military | RQ-21 Blackjack | Insitu | Fw | 167 | 4.9 | 2.5 |
| [28] | Military | RQ-23 Tiger Shark | Navmar Applied Sciences Corporation | Fw | 148 | 6.7 | 4.5 |
| [29] | Military | RQ-4 Global Hawk | Northrop Grumman | Fw | 39.9 | 14.5 | |
| [30] | Military | RQ-7 Shadow | AAI | Fw | 200 | 6 | 3.6 |
| [31] | Military | ScanEagle | Insitu | Fw | 150 | 3.11 | 1.71 |
| [32] | Military | Silver Fox | BAE, Raytheon | Fw | 93 | 2.4 | |
| [33] | Military | Stalker | Lockheed Martin | Fw | 72 | 3.7 | |
| [34] | Military | Switchblade | AeroVironment | Fw | 157 | ||
| [35] | Military | T-20 JUMP | Arcturus | Fw | 139 | 5.3 | 2.7 |
| [36] | Military | T-Hawk | Honeywell | Rw | |||
| [37] | Hobby | Mini 2 | DJI | Rw | 57 | 0.29 | 0.25 |
| [38] | Hobby | Matrice 300 | DJI | Rw | 82.8 | 0.43 | 0.42 |
| [39] | Hobby | Mavic 2 | DJI | Rw | 68 | 0.18 | 0.25 |
| [40] | Hobby | Inspire 2 | DJI | Rw | 94 | 0.42 | 0.31 |
| [41] | Hobby | Phantom 4 Pro | DJI | Rw | 72 | 0.35 | 0.35 |
| [42] | Hobby | Autel EVO II Pro | Autel | Rw | 72 | 0.40 | 0.40 |
| [43] | Hobby | Brinc Lemur Tactical Drone | Brinc | Rw | 80 | ||
| [44] | Hobby | TRINITY F90+ | QUANTUM | Tw | 61 | 2.39 | 1.20 |
| [45] | Hobby | Sentaero | Censys technologies | Tw | 72 | 1.20 | |
| [46] | Hobby | XENO FX | HiTech | Fw | 61 | 1.25 | 1.00 |
| [47] | Hobby | P-47 Thunderbolt | Durafly | Fw | 1.1 | 0.99 | |
| [48] | Hobby | KingTwin 1700 | Avios (PNF) | Fw | 1.7 | 1.2 | |
| [49] | Hobby | P-51 Warbird | RC Moment | Fw | 1.2 | 1.1 | |
| [50] | Hobby | BOREY 20 | Uavos | Fw | 108 | 4.4 | 0.9 |
| [51] | Hobby | ALBATROSS 2.2 | Uavos | Fw | 275 | 15.0 | 6.5 |
| [51] | Hobby | Apus Duo 15 | Uavos | Fw | 97 | 15 | |
| [51] | Hobby | SAT-i | Uavos | Fw | 50 | 7.30 | 3.20 |
| [50] | Hobby | SITARIA E | Uavos | Fw | 140 | 5.2 | 2.8 |
| [52] | Hobby | Albatross UAV | Applied Aeronautics | Fw | 129 | 3.0 | |
| [53] | Hobby | PD-2 | Ukrspec Systems | Fw/Rw | 140 | 5 | |
| [54] | Hobby | EOS C VTOL | Threod | Fw/Rw | 122 | 5.0 | 1.8 |
| [55] | Hobby | PENGUIN B | UAV Factory | Fw | 130 | 3.3 | 2.3 |
| Description | Symbol | Value |
|---|---|---|
| Rotor radius | R | 0.152 m |
| Rotor angular velocity | 2291.83 deg-s−1 | |
| Freestream velocity | V | 6.7 m s−1 |
| Pivot length to rotor radius ratio | 0.25 | |
| Rotor moment of inertia | 0.000103 kg m2 | |
| Nacelle moment of inertia | 0.000178 kg m2 | |
| Structural pitch damping | 0.05729578 Nm s deg−1 | |
| Structural pitch stiffness | 22.9183 Nm deg−1 | |
| Structural yaw damping | 0.05729578 Nm s deg−1 | |
| Structural yaw stiffness | 22.9183 Nm deg−1 | |
| Number of blades | 4 | |
| Blade chord | c | 0.026 m |
| Blade lift slope | 0.10966 deg−1 |
| Equation | Max (deg) @ Point after Onset of Flutter (6 m/s) Pitch-θ | Max (deg) @ End of Simulation (10 m/s) Pitch-θ | Max (deg) @ Point after Onset of Flutter (6 m/s) Yaw-ψ | Max (deg) @ End of Simulation (10 m/s) Yaw-ψ |
|---|---|---|---|---|
| Cubic nonlinearities | ||||
| 1.753 | 6.720 | 1.753 | 6.720 | |
| 1.239 | 4.752 | 1.239 | 4.752 | |
| 1.012 | 3.880 | 1.012 | 3.880 | |
| 0.876 | 3.360 | 0.876 | 3.360 | |
| 0.784 | 3.005 | 0.784 | 3.005 | |
| Quadratic & cubic nonlinearities | ||||
| 1.753 | 6.720 | 1.753 | 6.720 | |
| 1.752 | 6.720 | 1.752 | 6.720 | |
| 1.748 | 6.720 | 1.748 | 6.720 | |
| 1.733 | 6.725 | 1.735 | 6.725 | |
| 1.360 | 6.870 | 1.390 | 6.880 | |
| Cubic & fifth-order nonlinearities | ||||
| 4.6525 | 6.695 | 4.653 | 6.695 | |
| 4.7255 | 6.755 | 4.726 | 6.755 | |
| 5.065 | 7.000 | 5.066 | 7.000 | |
| 5.503 | 7.305 | 5.504 | 7.305 | |
| 6.398 | 7.370 | 6.399 | 7.370 | |
| Quadratic, cubic, and fifth-order nonlinearities | ||||
| 12.389 | 14.735 | 12.392 | 14.735 | |
| 12.386 | 14.735 | 12.388 | 14.735 | |
| 12.197 | 14.735 | 12.195 | 14.725 | |
| 12.188 | 14.730 | 12.187 | 14.710 | |
| 11.256 | 14.950 | 11.257 | 14.845 | |
Publisher’s Note: MDPI stays neutral with regard to jurisdictional claims in published maps and institutional affiliations. |
© 2021 by the authors. Licensee MDPI, Basel, Switzerland. This article is an open access article distributed under the terms and conditions of the Creative Commons Attribution (CC BY) license (https://creativecommons.org/licenses/by/4.0/).
Share and Cite
Quintana, A.; Vasconcellos, R.; Throneberry, G.; Abdelkefi, A. Nonlinear Analysis and Bifurcation Characteristics of Whirl Flutter in Unmanned Aerial Systems. Drones 2021, 5, 122. https://doi.org/10.3390/drones5040122
Quintana A, Vasconcellos R, Throneberry G, Abdelkefi A. Nonlinear Analysis and Bifurcation Characteristics of Whirl Flutter in Unmanned Aerial Systems. Drones. 2021; 5(4):122. https://doi.org/10.3390/drones5040122
Chicago/Turabian StyleQuintana, Anthony, Rui Vasconcellos, Glen Throneberry, and Abdessattar Abdelkefi. 2021. "Nonlinear Analysis and Bifurcation Characteristics of Whirl Flutter in Unmanned Aerial Systems" Drones 5, no. 4: 122. https://doi.org/10.3390/drones5040122
APA StyleQuintana, A., Vasconcellos, R., Throneberry, G., & Abdelkefi, A. (2021). Nonlinear Analysis and Bifurcation Characteristics of Whirl Flutter in Unmanned Aerial Systems. Drones, 5(4), 122. https://doi.org/10.3390/drones5040122

