CFD-Based Coupling Aerodynamic–Dynamic Modeling and Full-Envelope Autonomous Flight Control of Semi-Rigid Airships
Highlights
- A CFD-based coupling aerodynamic–dynamic is established to accurately characterize full-envelope nonlinear flight dynamics of semi-rigid airships.
- A gain scheduling LQR controller preserves closed-loop stability across varying flight conditions while coordinating thrust vectoring and aerodynamic control.
- This approach balances aerodynamic modeling precision with computational efficiency, making it suitable for real-time autonomous airship control.
- The integrated framework enables robust full-envelope path following with sub-meter accuracy while effectively managing actuator redundancy.
Abstract
1. Introduction
- Existing dynamic models for semi-rigid airship control rely mostly on empirical formulas or wind tunnel data, making it challenging to obtain high-fidelity aerodynamic characteristics over the full flight envelope. Conversely, direct application of CFD methods in real-time control is hindered by computational costs.
- Control methods are generally constrained by significant model uncertainties and parameter time-variance, making it difficult to balance stability with high performance across the full flight envelope.
- A high-precision full-envelope CFD aerodynamic database is directly embedded into the 6-DOF dynamic equations, enabling an effective balance between nonlinear aerodynamic accuracy and computational efficiency.
- A full-envelope flight control law based on multivariable gain scheduling is designed to overcome the over-actuation challenge of semi-rigid airships, enabling seamless coordination between low-speed thrust vectoring and high-speed aerodynamic control while maintaining stability and high performance across the full flight envelope.
2. CFD-Based Coupling Aerodynamic–Dynamic Modeling
2.1. Airship Model
2.2. Dynamic Modeling
- Aerodynamic force : the aerodynamic force vector is transformed from the velocity frame V to the body frame B, yielding:
- 2.
- Propulsive force : Based on the classical momentum theory in rotor aerodynamics, the steady-state thrust generated by a propeller operating in free air under hovering or low-speed conditions can be expressed as [37]:
- 3.
- Gravity and Buoyancy : gravity and buoyancy forces and moments are given by:
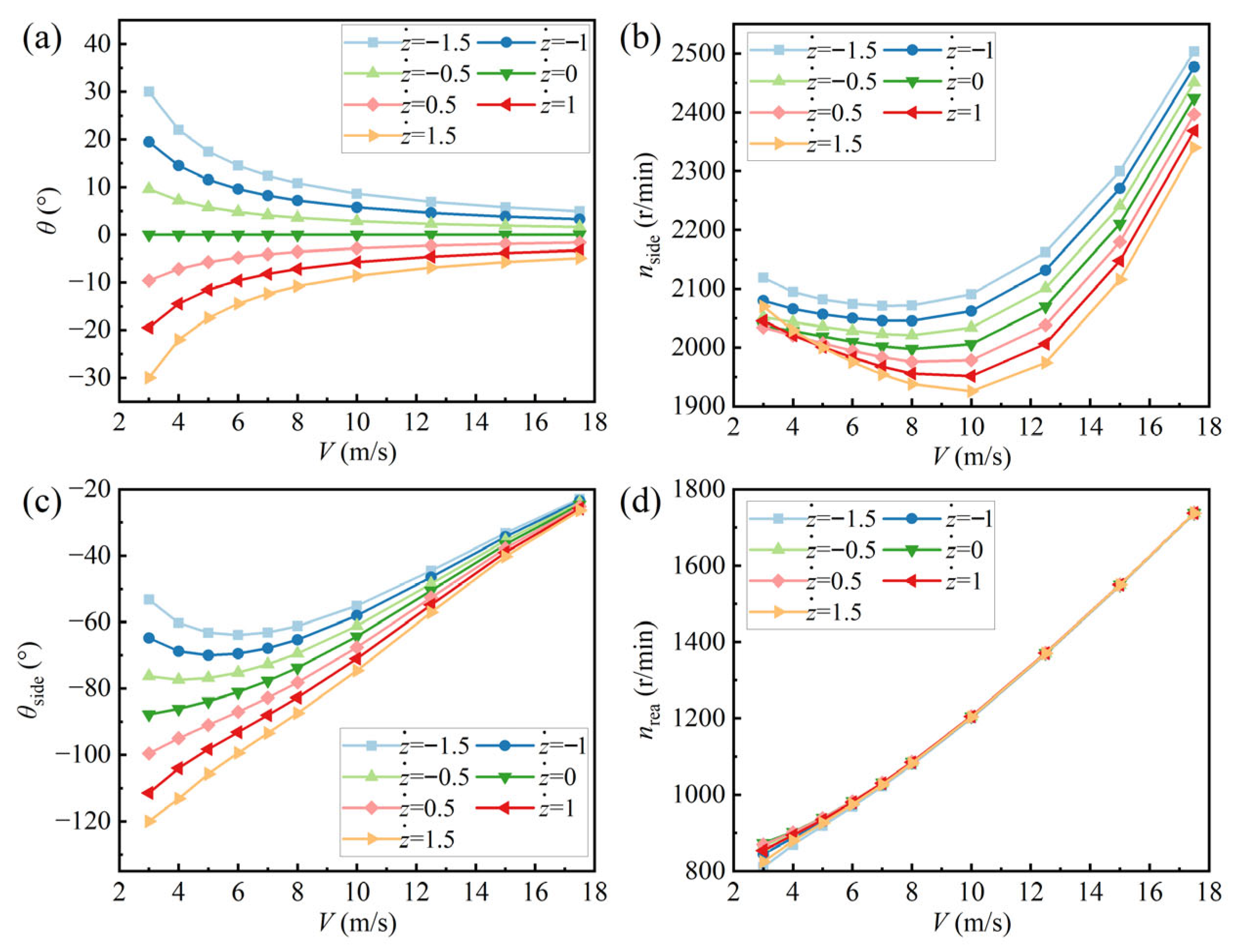
2.3. CFD-Based Aerodynamic Database
3. Full-Envelope Gain Scheduling Control System
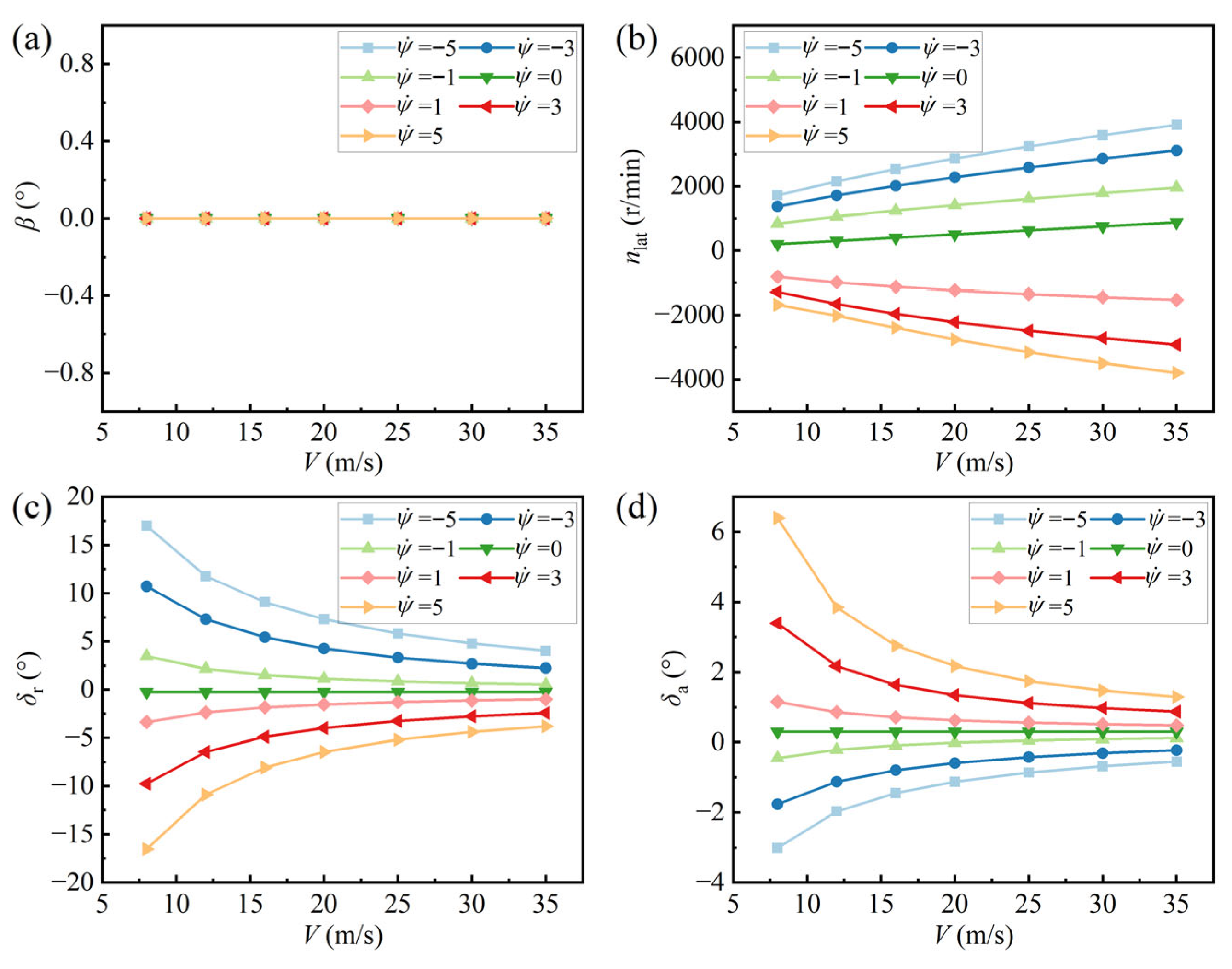
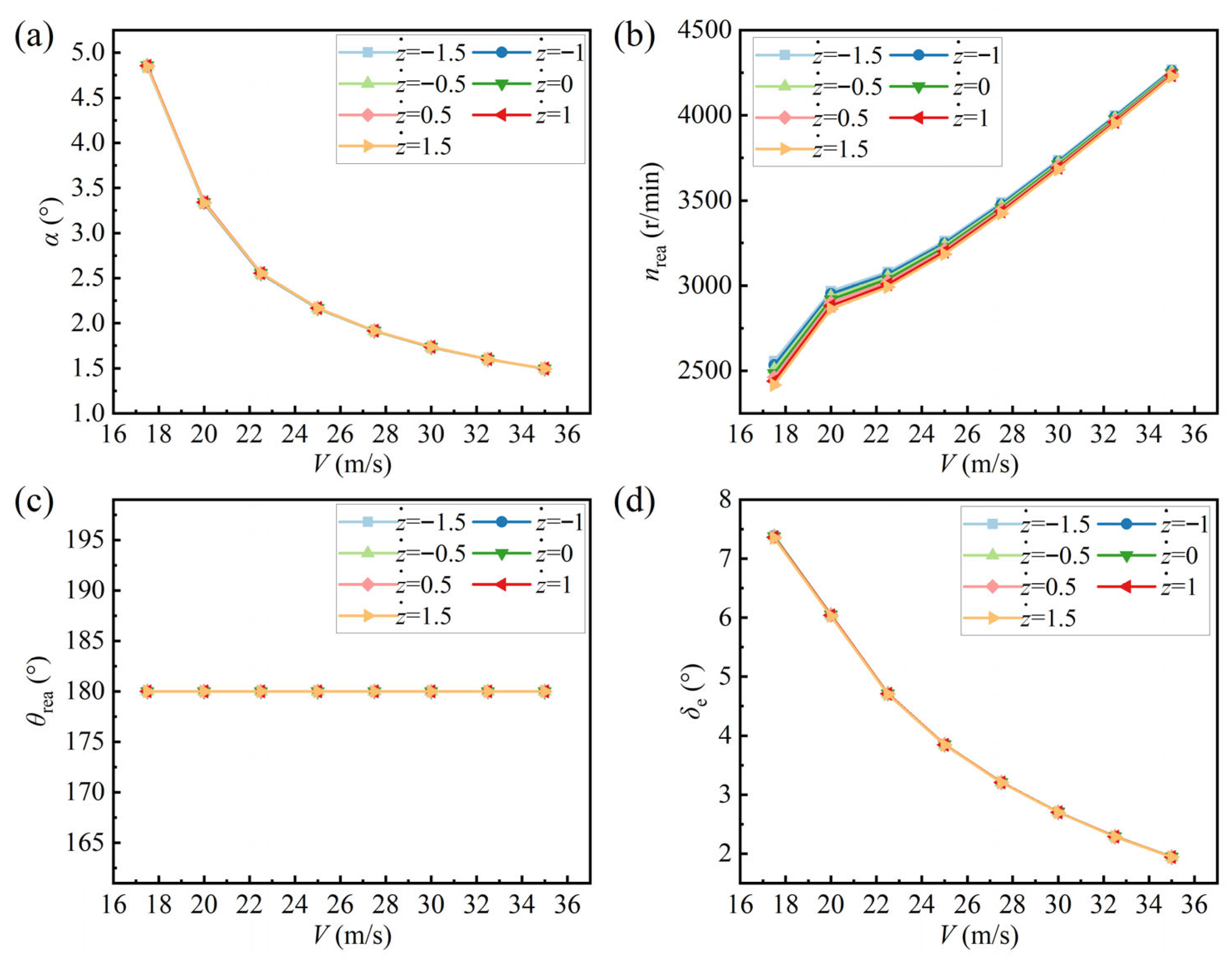
3.1. Model Linearization and Decoupling
3.2. Full-Envelope Trim
3.3. Model Decoupling Validation
3.4. Gain Scheduling Controller
4. Results and Analysis
4.1. Flight Guidance
4.2. Path Following
4.3. Wind Disturbances
5. Discussion
6. Conclusions
- A CFD-based coupling aerodynamic–dynamic method was established, embedding nonlinear aerodynamic data and added mass effects into 6-DOF equations. This significantly improves prediction accuracy in limit states, providing a robust physical basis for control design.
- A multi-variable gain scheduling controller was developed to coordinate thrust vectoring and aerodynamic surfaces. By scheduling LQR gains against flight states, the system achieves smooth mode transitions and optimal allocation across the velocity spectrum.
- Simulations verify closed-loop stability and high-precision tracking across complex profiles, including climb, cruise, and maneuvering. The ALOS strategy effectively suppresses sideslip, confirming feasibility.
Author Contributions
Funding
Data Availability Statement
Acknowledgments
Conflicts of Interest
Abbreviations
| CFD | Computational fluid dynamics |
| FSI | Fluid–structure interaction |
| LQR | Linear quadratic regulator |
| 6-DOF | Six-degree-of-freedom |
| MAE | Mean absolute error |
| CG | Center of gravity |
| CB | Center of buoyancy |
References
- Manikandan, M.; Pant, R.S. Research and advancements in hybrid airships—A review. Prog. Aerosp. Sci. 2021, 127, 100741. [Google Scholar] [CrossRef]
- Zuo, Z.; Song, J.; Zheng, Z.; Han, Q.L. A survey on modelling, control and challenges of stratospheric airships. Control Eng. Pract. 2022, 119, 104979. [Google Scholar] [CrossRef]
- Hu, S.; Wang, B.; Zhang, A.; Deng, Y. Genetic algorithm and greedy strategy-based multi-mission-point route planning for heavy-duty semi-rigid airship. Sensors 2022, 22, 4954. [Google Scholar] [CrossRef]
- Zhang, Y.; Li, S.; Mi, X.; Zhang, B.; Hu, J.; Chen, W.; Huang, X. Assembly method for large CFRP spokes designed for semi-rigid stratospheric airships. Aerosp. Sci. Technol. 2025, 168, 110673. [Google Scholar] [CrossRef]
- Chen, L.; Chen, W.; Li, S.; Zhao, B. Modal characteristics of a scaling stratospheric airship in still air. Aerosp. Sci. Technol. 2023, 141, 108521. [Google Scholar] [CrossRef]
- Fruncillo, F.; Sollazzo, A.; Baraniello, V.R.; Genito, N.; Vitale, A. Assessment of added masses effects on airship dynamics and stability. J. Aircr. 2025, 62, 649–659. [Google Scholar] [CrossRef]
- Riccio, E.; Giaquinto, C.; Baraniello, V.R.; Persechino, G.; Coiro, D. Aerodynamic and stability analysis of a closed-wing high-altitude pseudo-satellite. Eng. Proc. 2025, 90, 9. [Google Scholar] [CrossRef]
- Chaabani, S.; Azouz, N. Modelling and stabilisation of an unconventional airship: A polytopic approach. Aerospace 2022, 9, 252. [Google Scholar] [CrossRef]
- Suvarna, S.; Chung, H.; Pant, R.S. Optimization of fins to minimize directional instability in airships. J. Aircr. 2022, 59, 317–328. [Google Scholar] [CrossRef]
- Sasidharan, A.; Velamati, R.K.; Janardhanan, S.; Oruganti, V.R.M.; Mohammad, A. Stability derivatives of various lighter-than-air vehicles: A CFD-based comparative study. Drones 2022, 6, 168. [Google Scholar] [CrossRef]
- Ge, Y.; Wang, X.; Wang, Q. Equivalent mechanical model utilizing the strip method and fast estimation formulas for airship gas sloshing. Aerosp. Sci. Technol. 2024, 146, 108917. [Google Scholar] [CrossRef]
- Lin, X.; Guo, P. Airship motion modeling based on a dynamic aerodynamic model. Guid. Navig. Control 2025, 6, 93. [Google Scholar] [CrossRef]
- Suvarna, S.; Chung, H.; Sinha, A.; Pant, R.S. Revised semi-empirical aerodynamic estimation for modelling flight dynamics of an airship. Aerosp. Sci. Technol. 2022, 126, 107642. [Google Scholar] [CrossRef]
- Wasim, M.; Ali, A.; Sohail, M.U. Development of nonlinear six-degree-of-freedom dynamic modelling and high-fidelity flight simulation of an autonomous airship. Processes 2025, 13, 2688. [Google Scholar] [CrossRef]
- Gary, J.; McDermott, J.; Worden, K.; Hosder, S.; Viganò, D. A combined tomographic particle image velocimetry and numerical simulation approach for supersonic wind tunnel calibration. Aerosp. Sci. Technol. 2025, 168, 111168. [Google Scholar] [CrossRef]
- López, D.; Domínguez, D.; Delgado, A.; García-Gutiérrez, A.; Gonzalo, J. Experimental Calculation of added masses for the accurate construction of airship flight models. Aerospace 2024, 11, 872. [Google Scholar] [CrossRef]
- Tabatabaei, N.; Örlü, R.; Vinuesa, R.; Schlatter, P. Aerodynamic free-flight conditions in wind tunnel modelling through reduced-order wall inserts. Fluids 2021, 6, 265. [Google Scholar] [CrossRef]
- Sasidharan, A.; Velamati, R.K.; Mohammad, A.; Benaissa, S. Mathematical modelling of a single tethered aerostat using longitudinal stability derivatives. Sci. Rep. 2024, 14, 3697. [Google Scholar] [CrossRef]
- Xie, C.; Tao, G.; Wu, Z. Performance prediction and design of stratospheric propeller. Appl. Sci. 2021, 11, 4698. [Google Scholar] [CrossRef]
- Manikandan, M.; Vaidya, E.; Pant, R.S. Design and analysis of hybrid electric multi-lobed airship for cargo transportation. Sustain. Energy Technol. Assess. 2022, 51, 101892. [Google Scholar] [CrossRef]
- Gao, W.; Yang, X.; Wang, J.; Li, X.; Lin, B.; Bi, Y.; Dong, A. Dynamic stability of the hybrid airship influenced by added mass effect. J. Aircr. 2025, 62, 278–287. [Google Scholar] [CrossRef]
- Azouz, N.; Khamlia, M.; Lerbet, J.; Abichou, A. Stabilization of an unconventional large airship when hovering. Appl. Sci. 2021, 11, 3551. [Google Scholar] [CrossRef]
- Azinheira, J.; Carvalho, R.; Paiva, E.; Cordeiro, R. Hexa-propeller airship for environmental surveillance and monitoring in amazon rainforest. Aerospace 2024, 11, 249. [Google Scholar] [CrossRef]
- Yu, Z.; Zhang, Y.; Jiang, B.; Su, C.; Fu, J.; Jin, Y.; Chai, T. Distributed adaptive fault-tolerant time-varying formation control of unmanned airships with limited communication ranges against input saturation for smart city observation. IEEE Trans. Neural Netw. Learn. Syst. 2021, 33, 1891–1904. [Google Scholar] [CrossRef]
- Price, E.; Black, M.J.; Ahmad, A. Viewpoint-driven formation control of airships for cooperative target tracking. IEEE Robot. Autom. Lett. 2023, 8, 3653–3660. [Google Scholar] [CrossRef]
- Pheh, Y.H.; Kyi, H.W.S.; Foong, S. Spherical Indoor Coandă Effect Drone (SpICED): A spherical blimp suas for safe indoor use. Drones 2022, 6, 260. [Google Scholar] [CrossRef]
- Luo, X.; Zhu, M.; Zhang, Y.; Zhang, Z.; Chen, T. Self-triggered fuzzy trajectory tracking control for the stratospheric airship. Adv. Space Res. 2024, 74, 5874–5889. [Google Scholar] [CrossRef]
- Chen, T.; Zhu, M.; Zheng, Z. Adaptive path following control of a stratospheric airship with full-state constraint and actuator saturation. Aerosp. Sci. Technol. 2019, 95, 105457. [Google Scholar] [CrossRef]
- Zhou, P.; Lin, Q.; Wang, Q. Path-following control of underactuated stratospheric airship with constraints and disturbances using time-delay observer. Optim. Control Appl. Methods 2025, 46, 849–858. [Google Scholar] [CrossRef]
- Vieira, H.S.; Paiva, E.C.; Moriguchi, S.K.; Carvalho, J.R.H. Unified backstepping sliding mode framework for airship control design. IEEE Trans. Aerosp. Electron. Syst. 2020, 56, 3246–3258. [Google Scholar] [CrossRef]
- Wasim, M.; Ali, A.; Choudhry, M.A.; Shaikh, I.U.H.; Saleem, F. Robust design of sliding mode control for airship trajectory tracking with uncertainty and disturbance estimation. J. Syst. Eng. Electron. 2024, 35, 242–258. [Google Scholar] [CrossRef]
- Liu, S.; Whidborne, J.F.; He, L. Backstepping sliding-mode control of stratospheric airships using disturbance-observer. Adv. Space Res. 2021, 67, 1174–1187. [Google Scholar] [CrossRef]
- Yang, X.; Yang, X.; Deng, X. Horizontal trajectory control of stratospheric airships in wind field using Q-learning algorithm. Aerosp. Sci. Technol. 2020, 106, 106100. [Google Scholar] [CrossRef]
- Liao, L.; Pasternak, I. A review of airship structural research and development. Prog. Aerosp. Sci. 2009, 45, 83–96. [Google Scholar] [CrossRef]
- Li, Y.; Nahon, M. Modeling and simulation of airship dynamics. J. Guid. Control Dyn. 2007, 30, 1691–1700. [Google Scholar] [CrossRef]
- Mueller, J.; Paluszek, M.; Zhao, Y. Development of an aerodynamic model and control law design for a high altitude airship. In Proceedings of the AIAA 3rd “Unmanned Unlimited” Technical Conference, Workshop and Exhibit, Chicago, IL, USA, 20–23 September 2004; p. 6479. [Google Scholar]
- Mahony, R.; Kumar, V.; Corke, P. Multirotor aerial vehicles: Modeling, estimation, and control of quadrotor. IEEE Robot. Autom. Mag. 2012, 19, 20–32. [Google Scholar] [CrossRef]
- Beard, R.W.; McLain, T.W. Small Unmanned Aircraft: Theory and Practice; Princeton University Press: Princeton, NJ, USA, 2012; pp. 63–65. [Google Scholar]
- Jiao, J.; Song, B.; Li, Y.; Zhang, Y.; Xu, J. Development of a testing methodology for high-altitude propeller. Aircr. Eng. Aerosp. Technol. 2018, 90, 1378–1386. [Google Scholar] [CrossRef]
- Achenbach, E. Experiments on the flow past spheres at very high Reynolds numbers. J. Fluid Mech. 1972, 54, 565–575. [Google Scholar] [CrossRef]
- Shams, T.A.; Yektaei, S.; Esfahanian, V.; Abdolahipour, S. Experimental study on the effects of sideslip and rudder deflection angles on the aerodynamics of an aircraft vertical tail at low speeds. Fluids 2025, 10, 277. [Google Scholar] [CrossRef]
- Shome, B. Numerical study of oscillating boundary layer flow over a flat plate using k–kL–ω turbulence model. Int. J. Heat Fluid Flow 2013, 42, 131–138. [Google Scholar] [CrossRef]
- Tian, Y. Locally optimal aerodynamic shape design for stratospheric airships: A GA-driven MDO framework with CAD/CFD validation. Aerosp. Sci. Technol. 2025, 158, 110965. [Google Scholar] [CrossRef]
- Pai, A.; Manikandan, M. A comparative study of aerodynamic characteristics of conventional and multi-lobed airships. Aeronaut. J. 2025, 129, 2435–2459. [Google Scholar] [CrossRef]
- Lawson, N.J.; Davies, S.G.; Khanal, B.; Hoff, R.I. Wake-tailplane interaction of a slingsby firefly aircraft. Aerospace 2022, 9, 787. [Google Scholar] [CrossRef]
- Hang, X.; Su, W.; Fei, Q.; Jiang, D. Analytical sensitivity analysis of flexible aircraft with the unsteady vortex-lattice aerodynamic theory. Aerosp. Sci. Technol. 2020, 99, 105612. [Google Scholar] [CrossRef]
- Valle, R.C.; Menegaldo, L.L.; Simões, A.M. Smoothly gain-scheduled control of a tri-turbofan airship. J. Guid. Control Dynam. 2015, 38, 53–61. [Google Scholar] [CrossRef]




















| Mesh Level | Total Cells | CD | CL |
|---|---|---|---|
| Coarse | 6.30 × 106 | 0.0643 | 0.0165 |
| Medium (used) | 11.80 × 106 | 0.0625 | 0.0158 |
| Fine | 17.47 × 106 | 0.0619 | 0.0154 |
| Type | Parameter | Setting |
|---|---|---|
| Basic parameters | atmospheric pressure | 101,325 Pa |
| air density | 1.225 kg/m3 | |
| viscosity | 1.789 × 10−5 kg/(m·s) | |
| ambient temperature | 288.16 K | |
| Boundary | inlet | velocity inlet, 30 m/s |
| outlet | pressure outlet | |
| wind tunnel walls | Shear-free | |
| airship walls | No-slip | |
| Turbulence | —— | SST k-ω model |
| Solver | solution method | pressure-velocity coupling |
| discretization | second-order upwind |
| Dynamic Channel | Scheduling Variables | Sm |
|---|---|---|
| Longitudinal motion | V | 0.146 |
| 0.570 | ||
| α | 0.892 | |
| θ | 0.004 | |
| Lateral motion | V | 0.503 |
| β | 2.425 | |
| 0.260 |
| Parameter | Symbol | Description | Value |
|---|---|---|---|
| airship model | m | total mass of the airship | 8050 (kg) |
| Vhull | total volume of the airship | 8425 (m3) | |
| Ixx | moment of inertia about xB axis | 162,320 (kg·m2) | |
| Iyy | moment of inertia about yB axis | 4,544,960 (kg·m2) | |
| Izz | moment of inertia about zB axis | 4,382,640 (kg·m2) | |
| Ixz | product of inertia in xBoBzB plane | 258,575 (kg·m2) | |
| [xG, yG, zG] | CG coordinates | [0.1, 0, 0.2] (m) | |
| [xL, yL, zL] | left side vectoring thruster propeller center coordinates | [10.8, −8.3, 3.6] (m) | |
| [xR, yR, zR] | right side vectoring thruster propeller center coordinates | [10.8, 8.3, 3.6] (m) | |
| [xrea, yrea, zrea] | aft vectoring thruster propeller center coordinates | [−40.9, 0, 0.02] (m) | |
| [xlat, ylat, zlat] | aft lateral thruster propeller center coordinates | [−39.5, 1.9, −0.5] (m) | |
| kT | lumped propeller thrust coefficient | 0.165 (N·s2/rad) | |
| control parameters | Kp,1 | altitude guidance PID proportional gain | 0.35 |
| Ki,1 | altitude guidance PID integral gain | 0.01 | |
| Kd,1 | altitude guidance PID derivative gain | 5.50 | |
| Kp,2 | heading guidance PID proportional gain | 1.05 | |
| Ki,2 | heading guidance PID integral gain | 0.01 | |
| Kd,2 | heading guidance PID derivative gain | 7.95 | |
| amax | airspeed acceleration limit | 0.1 m/s2 | |
| QV | longitudinal state weighting matrix | diag([300, 40, 50, 1000]) | |
| RV | longitudinal control weighting matrix | diag([200, 200, 100, 150, 300]) | |
| QL | lateral state weighting matrix | diag([50, 200, 1000, 500]) | |
| RL | lateral control weighting matrix | diag([1000, 10, 50]) |
| Guidance Command | Initial Value | Command Value | |||
|---|---|---|---|---|---|
| altitude | 0 m | 20 m | 13.670% | 154.200 s | 0.053 m |
| airspeed | 20 m/s | 25 m/s | 0.738% | 49.040 s | 3.57 10−6 m/s |
| heading | 0 ° | 10 ° | 35.311% | 125.820 s | 0.0173 deg |
| Path Segment | Maneuver | Horizontal Channel | Altitude Channel | Airspeed Channel |
|---|---|---|---|---|
| takeoff | accelerated climb | straight flight 3 km | 0 → 50 m | 3 → 17 m/s |
| cruise | variable-speed flight | straight flight 7 km | 50 m | 17 → 25 → 20 m/s |
| turning and descent | left 45° → straight → right 45° | 50 → 40 m | 20 m/s | |
| variable-speed flight | straight 7 km | 40 m | 20 → 25 → 20 m/s | |
| steady loitering | 315° loitering turn | 40 m | 20 m/s | |
| turning and descent | left 90° → straight → right 60° | 40 → 30 m | 20 m/s | |
| variable-speed flight | straight 7 km | 30 m | 20 → 25 → 20 m/s | |
| continuous turning | left 30° → right 120° | 30 m | 20 m/s | |
| return | decelerating approach | heading alignment turn-straight flight | 30 → 0 m | 20 → 3 m/s |
| Metrics | No-Wind Baseline | Composite Wind Disturbances |
|---|---|---|
| Altitude MAE (m) | 1.790 | 2.041 |
| Altitude MAX error (m) | 6.802 | 8.440 |
| Velocity MAE (m/s) | 0.070 | 0.140 |
| Velocity MAX error (m/s) | 1.440 | 2.402 |
| Heading MAE (°) | 0.011 | 0.358 |
| Heading MAX error (°) | 0.130 | 5.321 |
| Cross-track MAE (m) | 0.010 | 0.809 |
| Cross-track MAX error (m) | 0.304 | 17.052 |
| 3D Position MAE (m) | 2.530 | 3.320 |
| 3D Position MAX error (m) | 5.480 | 17.141 |
Disclaimer/Publisher’s Note: The statements, opinions and data contained in all publications are solely those of the individual author(s) and contributor(s) and not of MDPI and/or the editor(s). MDPI and/or the editor(s) disclaim responsibility for any injury to people or property resulting from any ideas, methods, instructions or products referred to in the content. |
© 2026 by the authors. Licensee MDPI, Basel, Switzerland. This article is an open access article distributed under the terms and conditions of the Creative Commons Attribution (CC BY) license.
Share and Cite
Hu, S.; Wang, C.; Liu, J. CFD-Based Coupling Aerodynamic–Dynamic Modeling and Full-Envelope Autonomous Flight Control of Semi-Rigid Airships. Drones 2026, 10, 241. https://doi.org/10.3390/drones10040241
Hu S, Wang C, Liu J. CFD-Based Coupling Aerodynamic–Dynamic Modeling and Full-Envelope Autonomous Flight Control of Semi-Rigid Airships. Drones. 2026; 10(4):241. https://doi.org/10.3390/drones10040241
Chicago/Turabian StyleHu, Shaoxing, Chenyang Wang, and Jiazan Liu. 2026. "CFD-Based Coupling Aerodynamic–Dynamic Modeling and Full-Envelope Autonomous Flight Control of Semi-Rigid Airships" Drones 10, no. 4: 241. https://doi.org/10.3390/drones10040241
APA StyleHu, S., Wang, C., & Liu, J. (2026). CFD-Based Coupling Aerodynamic–Dynamic Modeling and Full-Envelope Autonomous Flight Control of Semi-Rigid Airships. Drones, 10(4), 241. https://doi.org/10.3390/drones10040241
