Estimation of Cotton LAI and Yield Through Assimilation of the DSSAT Model and Unmanned Aerial System Images
Highlights
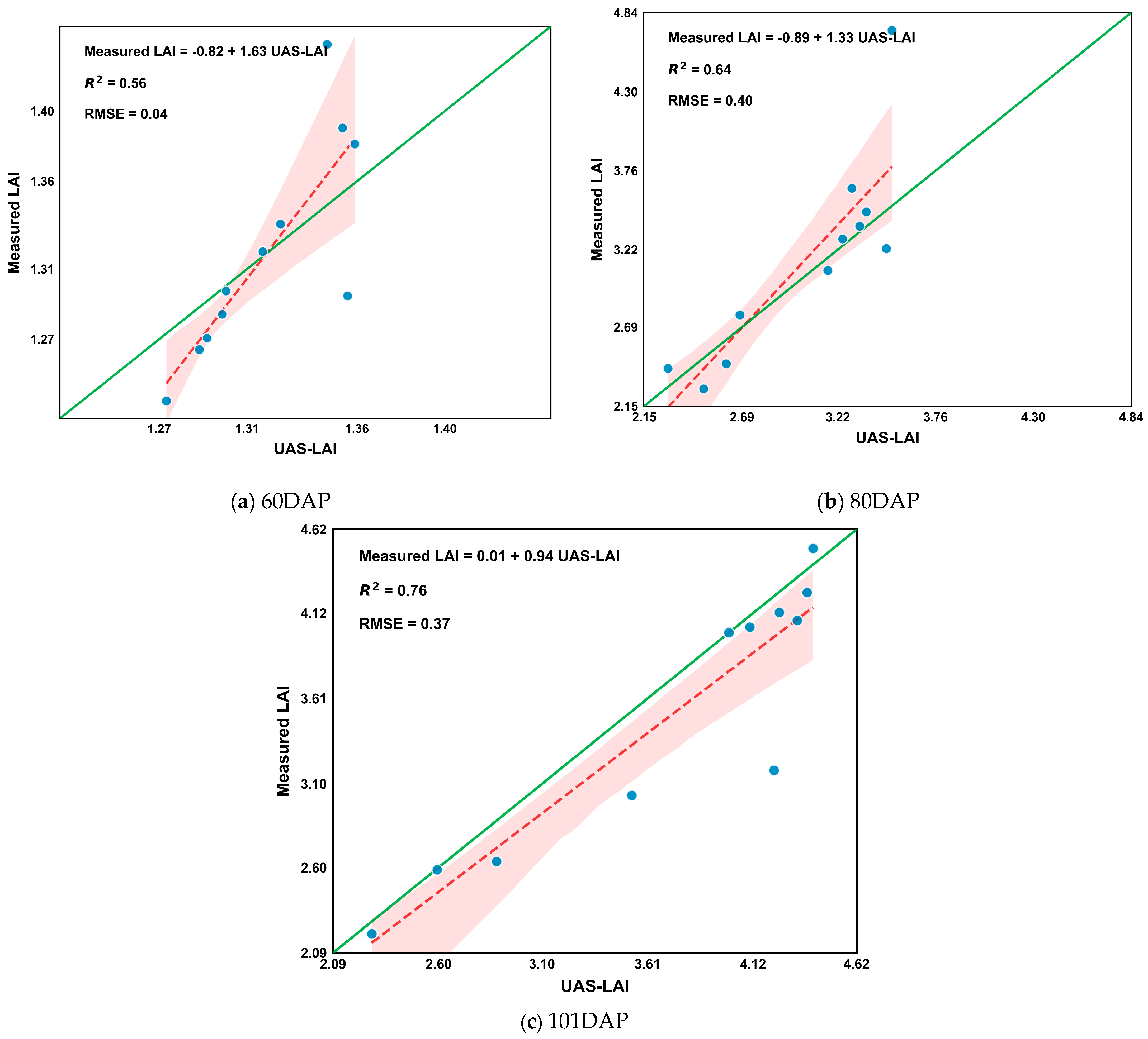
- The NDVI exhibited higher estimation accuracy for cotton LAI during the early growth stage (R2 = 0.56, p < 0.05), whereas the MTVI and EVI demonstrated higher and more stable accuracy in cotton LAI estimation during the late growth stages (R2 = 0.64 and R2 = 0.76, p < 0.05).
- By integrating LAI data retrieved from a UAS, the simulation bias of cotton yield in the DSSAT model can be dynamically corrected, reducing the yield prediction error from 40–52% to approximately 5%.
- UAS-based remote sensing enables the quantitative monitoring of key cotton growth traits (e.g., LAI) across different growth stages.
- The combination of UAS and DSSAT models can improve the prediction accuracy of cotton yield under different drought stress conditions, providing a theoretical and practical basis for precision water management in cotton production.
Abstract
1. Introduction
2. Materials and Methods
2.1. Study Site
2.2. Experimental Design
2.3. Data Acquisition
2.3.1. UAS Image Data Acquisition
2.3.2. Field Data Collection
2.4. Data Processing
| VIs | Value Range | Description | Calculation Formula | Refs |
|---|---|---|---|---|
| NDVI | [−1, 1] | Higher values indicating denser vegetation | [45] | |
| EVI | [−1, 1] | Less saturation in dense canopy | [46] | |
| NDRE | [−1, 1] | Higher values indicate higher chlorophyll | [47] | |
| GNDVI | [−1, 1] | Estimate the moisture and nitrogen conditions within the tree canopy | [48] | |
| TVI | [>0] | Vegetation vigor index | [49] | |
| MSAVI | [−1, 1] | Higher values mean denser vegetation and less soil effect | [50] | |
| OSAVI | [−1, 1] | Reduces soil background effects and is suitable for early canopy growth | [51] | |
| GCI | [≥0] | Related to leaf chlorophyll/nitrogen | [52] | |
| CCI | [≥0] | Canopy chlorophyll index; red-edge is more sensitive | [53] | |
| DVI | Depends on reflectance scale | Reflects the changes in vegetation coverage | [54] | |
| MTVI | No fixed range | Reduced saturation under dense vegetation | [55] |
2.5. Basic Data for DSSAT Modeling
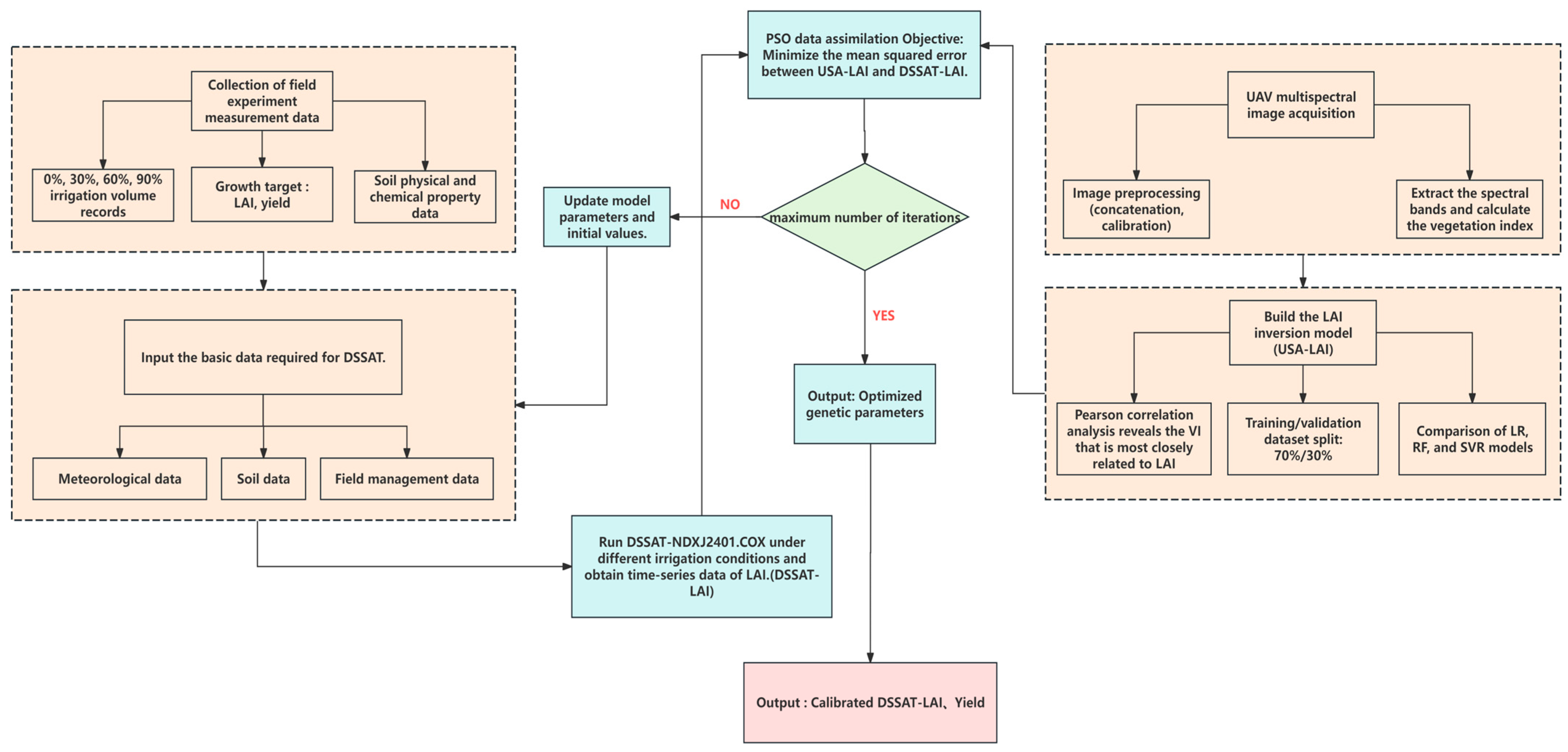
2.6. PSO-Based Parameter Calibration and LAI Assimilation
2.7. Data Analysis
3. Results
3.1. The Relationship Between VIs and Cotton LAI over the Growing Season
3.2. The Performance of Different Models in LAI Estimation
3.3. Cotton Growth Simulation Based on UAS Assimilation DSSAT Model
3.4. Yield Prediction Using Assimilated DSSAT Model
4. Discussion
5. Conclusions
Author Contributions
Funding
Data Availability Statement
Acknowledgments
Conflicts of Interest
References
- Ma, Y.; Zhang, Q.; Yi, X.; Ma, L.; Zhang, L.; Huang, C.; Zhang, Z.; Lv, X. Estimation of Cotton Leaf Area Index (LAI) Based on Spectral Transformation and Vegetation Index. Remote Sens. 2022, 14, 136. [Google Scholar] [CrossRef]
- Yan, P.; Han, Q.; Feng, Y.; Kang, S. Estimating LAI for Cotton Using Multisource UAV Data and a Modified Universal Model. Remote Sens. 2022, 14, 4272. [Google Scholar] [CrossRef]
- Feng, A.; Zhou, J.; Vories, E.D.; Sudduth, K.A.; Zhang, M. Yield Estimation in Cotton Using UAV-Based Multi-Sensor Imagery. Biosyst. Eng. 2020, 194, 182–192. [Google Scholar] [CrossRef]
- Morgan, G.R.; Stevenson, L. Unoccupied-Aerial-Systems-Based Biophysical Analysis of Montmorency Cherry Orchards: A Comparative Study. Drones 2024, 8, 494. [Google Scholar] [CrossRef]
- Shi, G.; Du, X.; Du, M.; Li, Q.; Tian, X.; Ren, Y.; Zhang, Y.; Wang, H. Cotton Yield Estimation Using the Remotely Sensed Cotton Boll Index from UAV Images. Drones 2022, 6, 254. [Google Scholar] [CrossRef]
- Cheng, Q.; Xu, H.; Fei, S.; Li, Z.; Chen, Z. Estimation of Maize LAI Using Ensemble Learning and UAV Multispectral Imagery under Different Water and Fertilizer Treatments. Agriculture 2022, 12, 1267. [Google Scholar] [CrossRef]
- Sun, X.; Yang, Z.; Su, P.; Wei, K.; Wang, Z.; Yang, C.; Song, X.; Feng, M. Non-Destructive Monitoring of Maize LAI by Fusing UAV Spectral and Textural Features. Front. Plant Sci. 2023, 14, 1158837. [Google Scholar] [CrossRef]
- Maimaitijiang, M.; Sagan, V.; Sidike, P.; Daloye, A.M.; Erkbol, H.; Fritschi, F.B. Crop Monitoring Using Satellite/UAV Data Fusion and Machine Learning. Remote Sens. 2020, 12, 1357. [Google Scholar] [CrossRef]
- Gu, H.; Xue, C.; Wang, G.; Lan, Y.; Wang, H.; Song, C. UAV-Based Multispectral Inversion of Integrated Cotton Growth. Agronomy 2024, 14, 2903. [Google Scholar] [CrossRef]
- Parida, P.K.; Somasundaram, E.; Krishnan, R.; Radhamani, S.; Sivakumar, U.; Parameswari, E.; Raja, R.; Rangasami, S.R.S.; Sangeetha, S.P.; Selvi, R.G. Unmanned Aerial Vehicle-Measured Multispectral Vegetation Indices for Predicting LAI, SPAD Chlorophyll, and Yield of Maize. Agriculture 2024, 14, 1110. [Google Scholar] [CrossRef]
- Tang, Y.; Zhou, Y.; Cheng, M.; Sun, C. Comprehensive Growth Index (CGI): A Comprehensive Indicator from UAV-Observed Data for Winter Wheat Growth Status Monitoring. Agronomy 2023, 13, 2883. [Google Scholar] [CrossRef]
- Zhang, L.; Wang, X.; Zhang, H.; Zhang, B.; Zhang, J.; Hu, X.; Du, X.; Cai, J.; Jia, W.; Wu, C. UAV-Based Multispectral Winter Wheat Growth Monitoring with Adaptive Weight Allocation. Agriculture 2024, 14, 1900. [Google Scholar] [CrossRef]
- Simic Milas, A.; Romanko, M.; Reil, P.; Abeysinghe, T.; Marambe, A. The Importance of Leaf Area Index in Mapping Chlorophyll Content of Corn under Different Agricultural Treatments Using UAV Images. Int. J. Remote. Sens. 2018, 39, 5415–5431. [Google Scholar] [CrossRef]
- Ghansah, B.; Landivar Scott, J.L.; Zhao, L.; Starek, M.J.; Foster, J.; Landivar, J.; Bhandari, M. Satellite vs Uncrewed Aircraft Systems (UAS): Combining High-Resolution SkySat and UAS Images for Cotton Yield Estimation. Comput. Electron. Agric. 2025, 234, 110280. [Google Scholar] [CrossRef]
- Yu, X.; Huo, X.; Qian, L.; Du, Y.; Liu, D.; Cao, Q.; Wang, W.; Hu, X.; Yang, X.; Fan, S. Combining UAV Multispectral and Thermal Infrared Data for Maize Growth Parameter Estimation. Agriculture 2024, 14, 2004. [Google Scholar] [CrossRef]
- Akumaga, U.; Gao, F.; Anderson, M.; Dulaney, W.P.; Houborg, R.; Russ, A.; Hively, W.D. Integration of Remote Sensing and Field Observations in Evaluating DSSAT Model for Estimating Maize and Soybean Growth and Yield in Maryland, USA. Agronomy 2023, 13, 1540. [Google Scholar] [CrossRef]
- Pazhanivelan, S.; Geethalakshmi, V.; Tamilmounika, R.; Sudarmanian, N.S.; Kaliaperumal, R.; Ramalingam, K.; Sivamurugan, A.P.; Mrunalini, K.; Yadav, M.K.; Quicho, E.D. Spatial Rice Yield Estimation Using Multiple Linear Regression Analysis, Semi-Physical Approach and Assimilating SAR Satellite Derived Products with DSSAT Crop Simulation Model. Agronomy 2022, 12, 2008. [Google Scholar] [CrossRef]
- Ajilogba, C.F.; Walker, S. Modeling Climate Change Impact on Dryland Wheat Production for Increased Crop Yield in the Free State, South Africa, Using GCM Projections and the DSSAT Model. Front. Environ. Sci. Eng. 2023, 11, 1067008. [Google Scholar] [CrossRef]
- Kumar, K.; Parihar, C.M.; Nayak, H.S.; Sena, D.R.; Godara, S.; Dhakar, R.; Patra, K.; Sarkar, A.; Bharadwaj, S.; Ghasal, P.C.; et al. Modeling Maize Growth and Nitrogen Dynamics Using CERES-Maize (DSSAT) under Diverse Nitrogen Management Options in a Conservation Agriculture-Based Maize-Wheat System. Sci. Rep. 2024, 14, 11743. [Google Scholar] [CrossRef] [PubMed]
- Ma, X.; Wang, X.; He, Y.; Zha, Y.; Chen, H.; Han, S. Variability in Estimating Crop Model Genotypic Parameters: The Impact of Different Sampling Methods and Sizes. Agriculture 2023, 13, 2207. [Google Scholar] [CrossRef]
- Chen, Y.; Wang, S.; Xue, Z.; Hu, J.; Chen, S.; Lv, Z. Rice Growth Estimation and Yield Prediction by Combining the DSSAT Model and Remote Sensing Data Using the Monte Carlo Markov Chain Technique. Plants 2025, 14, 1206. [Google Scholar] [CrossRef]
- Ma, H.; Malone, R.W.; Jiang, T.; Yao, N.; Chen, S.; Song, L.; Feng, H.; Yu, Q.; He, J. Estimating Crop Genetic Parameters for DSSAT with Modified PEST Software. Eur. J. Agron. 2020, 115, 126017. [Google Scholar] [CrossRef]
- Wang, Y.; Jiang, K.; Shen, H.; Wang, N.; Liu, R.; Wu, J.; Ma, X. Decision-Making Method for Maize Irrigation in Supplementary Irrigation Areas Based on the DSSAT Model and a Genetic Algorithm. Agric. Water Manag. 2023, 280, 108231. [Google Scholar] [CrossRef]
- Hernandez-Ochoa, I.M.; Gaiser, T.; Grahmann, K.; Engels, A.M.; Ewert, F. Within-Field Temporal and Spatial Variability in Crop Productivity for Diverse Crops—A 30-Year Model-Based Assessment. Agron. J. 2025, 15, 661. [Google Scholar] [CrossRef]
- Nouri, M.; Hoogenboom, G.; Veysi, S. Input Uncertainty in CSM-CERES-Wheat Modeling: Dry Farming and Irrigated Conditions Using Alternative Weather and Soil Data. Eur. J. Agron. 2025, 162, 127401. [Google Scholar] [CrossRef]
- Mena, F.; Pathak, D.; Najjar, H.; Sanchez, C.; Helber, P.; Bischke, B.; Habelitz, P.; Miranda, M.; Siddamsetty, J.; Nuske, M.; et al. Adaptive Fusion of Multi-Modal Remote Sensing Data for Optimal Sub-Field Crop Yield Prediction. Remote Sens. Environ. 2025, 318, 114547. [Google Scholar] [CrossRef]
- Son, N.-T.; Chen, C.-F.; Cheng, Y.-S.; Chen, C.-R.; Syu, C.-H.; Zhang, Y.-T.; Chen, S.-L.; Chen, S.-H. Combining Satellite Data and Artificial Intelligence with a Crop Growth Model to Enhance Rice Yield Estimation and Crop Management Practices. Appl. Geomat. 2024, 16, 639–654. [Google Scholar] [CrossRef]
- Lu, J.; Li, J.; Fu, H.; Zou, W.; Kang, J.; Yu, H.; Lin, X. Estimation of Rice Yield Using Multi-Source Remote Sensing Data Combined with Crop Growth Model and Deep Learning Algorithm. Agric. For. Meteorol. 2025, 370, 110600. [Google Scholar] [CrossRef]
- Zhu, B.; Chen, S.; Xu, Z.; Ye, Y.; Han, C.; Lu, P.; Song, K. The Estimation of Maize Grain Protein Content and Yield by Assimilating LAI and LNA, Retrieved from Canopy Remote Sensing Data, into the DSSAT Model. Remote Sens. 2023, 15, 2576. [Google Scholar] [CrossRef]
- Zhang, F.; Hassanzadeh, A.; Letendre, P.; Kikkert, J.; Pethybridge, S.; Van Aardt, J. Enhancing Snap Bean Yield Prediction through Synergistic Integration of UAS-Based LiDAR and Multispectral Imagery. Comput. Electron. Agric. 2025, 230, 109923. [Google Scholar] [CrossRef]
- Yokoyama, Y.; De Wit, A.; Matsui, T.; Tanaka, T.S.T. Accuracy and Robustness of a Plant-Level Cabbage Yield Prediction System Generated by Assimilating UAV-Based Remote Sensing Data into a Crop Simulation Model. Precis. Agric. 2024, 25, 2685–2702. [Google Scholar] [CrossRef]
- Guo, Y.; Hao, F.; Zhang, X.; He, Y.; Fu, Y.H. Improving Maize Yield Estimation by Assimilating UAV-Based LAI into WOFOST Model. Field Crops Res. 2024, 315, 109477. [Google Scholar] [CrossRef]
- Ge, H.; Ma, F.; Li, Z.; Du, C. Estimating Rice Yield by Assimilating UAV-Derived Plant Nitrogen Concentration into the DSSAT Model: Evaluation at Different Assimilation Time Windows. Field Crops Res. 2022, 288, 108705. [Google Scholar] [CrossRef]
- Wang, C.; Ling, L.; Kuai, J.; Xie, J.; Ma, N.; You, L.; Batchelor, W.D.; Zhang, J. Integrating UAV and Satellite LAI Data into a Modified DSSAT-Rapeseed Model to Improve Yield Predictions. Field Crops Res. 2025, 327, 109883. [Google Scholar] [CrossRef]
- Ntakos, G.; Prikaziuk, E.; Ten Den, T.; Reidsma, P.; Vilfan, N.; Van Der Wal, T.; Van Der Tol, C. Coupled WOFOST and SCOPE Model for Remote Sensing-Based Crop Growth Simulations. Comput. Electron. Agric. 2024, 225, 109238. [Google Scholar] [CrossRef]
- Kheir, A.M.S.; Govind, A.; Nangia, V.; El-Maghraby, M.A.; Elnashar, A.; Ahmed, M.; Aboelsoud, H.; Gamal, R.; Feike, T. Hybridization of Process-Based Models, Remote Sensing, and Machine Learning for Enhanced Spatial Predictions of Wheat Yield and Quality. Comput. Electron. Agric. 2025, 234, 110317. [Google Scholar] [CrossRef]
- Weinman, A.; Malachy, N.; Linker, R.; Rozenstein, O. Assimilation of UAV Multispectral Imagery into a Coupled DSSAT-CROPGRO − SCOPE Model for Processing Tomatoes. Comput. Electron. Agric. 2025, 236, 110460. [Google Scholar] [CrossRef]
- Jeong, S.; Ko, J.; Ban, J.; Shin, T.; Yeom, J. Deep Learning-Enhanced Remote Sensing-Integrated Crop Modeling for Rice Yield Prediction. Ecol. Inform. 2024, 84, 102886. [Google Scholar] [CrossRef]
- Yan, N.; Qin, Y.; Wang, H.; Wang, Q.; Hu, F.; Wu, Y.; Zhang, X.; Li, X. The Inversion of SPAD Value in Pear Tree Leaves by Integrating Unmanned Aerial Vehicle Spectral Information and Textural Features. Sensors 2025, 25, 618. [Google Scholar] [CrossRef] [PubMed]
- Barbosa, H.A.; Huete, A.R.; Baethgen, W.E. A 20-Year Study of NDVI Variability over the Northeast Region of Brazil. J. Arid Environ. 2006, 67, 288–307. [Google Scholar] [CrossRef]
- Din, M.; Zheng, W.; Rashid, M.; Wang, S.; Shi, Z. Evaluating Hyperspectral Vegetation Indices for Leaf Area Index Estimation of Oryza Sativa L. at Diverse Phenological Stages. Front. Plant Sci. 2017, 8, 820. [Google Scholar] [CrossRef]
- Fan, X.; Gao, P.; Zhang, M.; Cang, H.; Zhang, L.; Zhang, Z.; Wang, J.; Lv, X.; Zhang, Q.; Ma, L. The Fusion of Vegetation Indices Increases the Accuracy of Cotton Leaf Area Prediction. Front. Plant Sci. 2024, 15, 1357193. [Google Scholar] [CrossRef]
- Ma, J.; Chen, P.; Wang, L. A Comparison of Different Data Fusion Strategies’ Effects on Maize Leaf Area Index Prediction Using Multisource Data from Unmanned Aerial Vehicles (UAVs). Drones 2023, 7, 605. [Google Scholar] [CrossRef]
- Qiao, D.; Yang, J.; Bai, B.; Li, G.; Wang, J.; Li, Z.; Liu, J.; Liu, J. Non-Destructive Monitoring of Peanut Leaf Area Index by Combing UAV Spectral and Textural Characteristics. Remote Sens. 2024, 16, 2182. [Google Scholar] [CrossRef]
- Miller, J.R.; Hare, E.W.; Wu, J. Quantitative Characterization of the Vegetation Red Edge Reflectance 1. An Inverted-Gaussian Reflectance Model. Int. J. Remote Sens. 1990, 11, 1755–1773. [Google Scholar] [CrossRef]
- Huete, A.; Didan, K.; Miura, T.; Rodriguez, E.P.; Gao, X.; Ferreira, L.G. Overview of the Radiometric and Biophysical Performance of the MODIS Vegetation Indices. Remote Sens. Environ. 2002, 83, 195–213. [Google Scholar] [CrossRef]
- Thompson, C.N.; Mills, C.; Pabuayon, I.L.B.; Ritchie, G.L. Time-based Remote Sensing Yield Estimates of Cotton in Water-limiting Environments. Agron. J. 2020, 112, 975–984. [Google Scholar] [CrossRef]
- Huete, A.; Justice, C.; Liu, H. Development of Vegetation and Soil Indices for MODIS-EOS. Remote Sens. Environ. 1994, 49, 224–234. [Google Scholar] [CrossRef]
- Broge, N.H.; Leblanc, E. Comparing Prediction Power and Stability of Broadband and Hyperspectral Vegetation Indices for Estimation of Green Leaf Area Index and Canopy Chlorophyll Density. Remote Sens. Environ. 2001, 76, 156–172. [Google Scholar] [CrossRef]
- Qi, J.; Chehbouni, A.; Huete, A.R.; Kerr, Y.H.; Sorooshian, S. A Modified Soil Adjusted Vegetation Index. Remote Sens. Environ. 1994, 48, 119–126. [Google Scholar] [CrossRef]
- Rondeaux, G.; Steven, M.; Baret, F. Optimization of Soil-Adjusted Vegetation Indices. Remote Sens. Environ. 1996, 55, 95–107. [Google Scholar] [CrossRef]
- Gitelson, A.A.; Gritz, Y.; Merzlyak, M.N. Relationships between Leaf Chlorophyll Content and Spectral Reflectance and Algorithms for Non-Destructive Chlorophyll Assessment in Higher Plant Leaves. J. Plant Physiol. 2003, 160, 271–282. [Google Scholar] [CrossRef]
- Sims, D.A.; Gamon, J.A. Relationships between Leaf Pigment Content and Spectral Reflectance across a Wide Range of Species, Leaf Structures and Developmental Stages. Remote Sens. Environ. 2002, 81, 337–354. [Google Scholar] [CrossRef]
- Tucker, C.J. Red and Photographic Infrared Linear Combinations for Monitoring Vegetation. Remote Sens. Environ. 1979, 8, 127–150. [Google Scholar] [CrossRef]
- Haboudane, D. Hyperspectral Vegetation Indices and Novel Algorithms for Predicting Green LAI of Crop Canopies: Modeling and Validation in the Context of Precision Agriculture. Remote Sens. Environ. 2004, 90, 337–352. [Google Scholar] [CrossRef]
- Jones, J.W.; Hoogenboom, G.; Porter, C.H.; Boote, K.J.; Batchelor, W.D.; Hunt, L.A.; Wilkens, P.W.; Singh, U.; Gijsman, A.J.; Ritchie, J.T. The DSSAT Cropping System Model. Eur. J. Agron. 2003, 18, 235–265. [Google Scholar] [CrossRef]
- Hong, S.-Y.; Pan, H.-L. Nonlocal Boundary Layer Vertical Diffusion in a Medium-Range Forecast Model. Mon. Weather Rev. 1996, 124, 2322–2339. [Google Scholar] [CrossRef]
- Li, Z.; Wang, J.; Xu, X.; Zhao, C.; Jin, X.; Yang, G.; Feng, H. Assimilation of Two Variables Derived from Hyperspectral Data into the DSSAT-CERES Model for Grain Yield and Quality Estimation. Remote Sens. 2015, 7, 12400–12418. [Google Scholar] [CrossRef]
- Madvar, H.R.; Dehghani, M.; Memarzadeh, R.; Salwana, E.; Mosavi, A.; S, S. Derivation of Optimized Equations for Estimation of Dispersion Coefficient in Natural Streams Using Hybridized ANN With PSO and CSO Algorithms. IEEE Access 2020, 8, 156582–156599. [Google Scholar] [CrossRef]
- Lifeng, W.; Fucang, Z.; Junliang, F.; Hanmi, Z.; Yingying, X.; Shengcai, Q. Sensitivity and Uncertainty Analysis for CROPGRO-Cotton Model at Different Irrigation Levels. Trans. Chin. Soc. Agric. Eng. 2015, 31, 55–64. [Google Scholar] [CrossRef]
- Abdulsalam, G.; Ahmad, I. Comparative Investigation of Quantum and Classical Kernel Functions Applied in Support Vector Machine Algorithms. Quantum Inf. Process. 2025, 24, 109. [Google Scholar] [CrossRef]
- Fushiki, T. Estimation of Prediction Error by Using K-Fold Cross-Validation. Stat. Comput. 2011, 21, 137–146. [Google Scholar] [CrossRef]
- Jin, Z.; Liu, H.; Cao, H.; Li, S.; Yu, F.; Xu, T. Hyperspectral Remote Sensing Estimation of Rice Canopy LAI and LCC by UAV Coupled RTM and Machine Learning. Agriculture 2024, 15, 11. [Google Scholar] [CrossRef]
- Yang, J.; Xing, M.; Tan, Q.; Shang, J.; Song, Y.; Ni, X.; Wang, J.; Xu, M. Estimating Effective Leaf Area Index of Winter Wheat Based on UAV Point Cloud Data. Drones 2023, 7, 299. [Google Scholar] [CrossRef]
- Lv, F.; Sun, K.; Li, W.; Miao, S.; Hu, X. Estimation of Leaf Area Index across Biomes and Growth Stages Combining Multiple Vegetation Indices. Sensors 2024, 24, 6106. [Google Scholar] [CrossRef] [PubMed]
- Li, W.; Wang, J.; Zhang, Y.; Yin, Q.; Wang, W.; Zhou, G.; Huo, Z. Combining Texture, Color, and Vegetation Index from Unmanned Aerial Vehicle Multispectral Images to Estimate Winter Wheat Leaf Area Index during the Vegetative Growth Stage. Remote Sens. 2023, 15, 5715. [Google Scholar] [CrossRef]
- Yan, K.; Gao, S.; Yan, G.; Ma, X.; Chen, X.; Zhu, P.; Li, J.; Gao, S.; Gastellu-Etchegorry, J.-P.; Myneni, R.B.; et al. A Global Systematic Review of the Remote Sensing Vegetation Indices. Int. J. Appl. Earth Obs. Geoinf. 2025, 139, 104560. [Google Scholar] [CrossRef]
- Li, W.; Li, D.; Warner, T.A.; Liu, S.; Baret, F.; Yang, P.; Jiang, J.; Dong, M.; Cheng, T.; Zhu, Y.; et al. Improved Generality of Wheat Green LAI Models through Mitigation of the Effect of Leaf Chlorophyll Content Variation with Red Edge Vegetation Indices. Remote Sens. Environ. 2025, 318, 114589. [Google Scholar] [CrossRef]
- Sun, Y.; Wang, B.; Zhang, Z. Improving Leaf Area Index Estimation With Chlorophyll Insensitive Multispectral Red-Edge Vegetation Indices. IEEE J. Sel. Top. Appl. Earth Obs. Remote. Sens. 2023, 16, 3568–3582. [Google Scholar] [CrossRef]
- Zheng, H.; Ma, J.; Zhou, M.; Li, D.; Yao, X.; Cao, W.; Zhu, Y.; Cheng, T. Enhancing the Nitrogen Signals of Rice Canopies across Critical Growth Stages through the Integration of Textural and Spectral Information from Unmanned Aerial Vehicle (UAV) Multispectral Imagery. Remote Sens. 2020, 12, 957. [Google Scholar] [CrossRef]
- Peng, X.; Han, W.; Ao, J.; Wang, Y. Assimilation of LAI Derived from UAV Multispectral Data into the SAFY Model to Estimate Maize Yield. Remote Sens. 2021, 13, 1094. [Google Scholar] [CrossRef]
- Wang, F.; Fu, Q.; Hong, M.; Tang, W.; Su, L.; Zhu, D.; Wang, Q. Optimization of Cotton Field Irrigation Scheduling Using the AquaCrop Model Assimilated with UAV Remote Sensing and Particle Swarm Optimization. Agriculture 2025, 15, 1815. [Google Scholar] [CrossRef]
- Li, Z.; Jin, X.; Zhao, C.; Wang, J.; Xu, X.; Yang, G.; Li, C.; Shen, J. Estimating Wheat Yield and Quality by Coupling the DSSAT-CERES Model and Proximal Remote Sensing. Eur. J. Agron. 2015, 71, 53–62. [Google Scholar] [CrossRef]
- Chiu, M.S.; Wang, J. Evaluation of Machine Learning Regression Techniques for Estimating Winter Wheat Biomass Using Biophysical, Biochemical, and UAV Multispectral Data. Drones 2024, 8, 287. [Google Scholar] [CrossRef]
- Gu, H.; Mills, C.; Ritchie, G.L.; Guo, W. Water Stress Assessment of Cotton Cultivars Using Unmanned Aerial System Images. Remote Sens. 2024, 16, 2609. [Google Scholar] [CrossRef]
- Anda, A.; Simon, B.; Soós, G.; Teixeira Da Silva, J.A.; Menyhárt, L. Water Stress Modifies Canopy Light Environment and Qualitative and Quantitative Yield Components in Two Soybean Varieties. Irrig. Sci. 2021, 39, 549–566. [Google Scholar] [CrossRef]
- Sun, B.; Wang, C.; Yang, C.; Xu, B.; Zhou, G.; Li, X.; Xie, J.; Xu, S.; Liu, B.; Xie, T.; et al. Retrieval of Rapeseed Leaf Area Index Using the PROSAIL Model with Canopy Coverage Derived from UAV Images as a Correction Parameter. Int. J. Appl. Earth Obs. 2021, 102, 102373. [Google Scholar] [CrossRef]
- Li, Y.; Zhou, Q.; Zhou, J.; Zhang, G.; Chen, C.; Wang, J. Assimilating Remote Sensing Information into a Coupled Hydrology-Crop Growth Model to Estimate Regional Maize Yield in Arid Regions. Ecol. Model. 2014, 291, 15–27. [Google Scholar] [CrossRef]
- Guo, X.; Wang, W.; Meng, F.; Li, M.; Xu, Z.; Zheng, X. LAI Mapping of Winter Moso Bamboo Forests Using Zhuhai-1 Hyperspectral Images and a PSO-SVM Model. Forests 2025, 16, 464. [Google Scholar] [CrossRef]
- Jin, N.; Tao, B.; Ren, W.; He, L.; Zhang, D.; Wang, D.; Yu, Q. Assimilating Remote Sensing Data into a Crop Model Improves Winter Wheat Yield Estimation Based on Regional Irrigation Data. Agric. Water Manag. 2022, 266, 107583. [Google Scholar] [CrossRef]









| Day After Planting (DAP) | Irrigation Treatment (m3/ha) | ||
|---|---|---|---|
| 30% | 60% | 90% | |
| 6 | 300 | 300 | 300 |
| 59 | 81 | 162 | 243 |
| 71 | 82.5 | 165 | 247.5 |
| 79 | 126 | 252 | 378 |
| 90 | 123 | 246 | 369 |
| 97 | 127.5 | 255 | 382.5 |
| 106 | 124.5 | 249 | 373.5 |
| 114 | 93 | 186 | 279 |
| 120 | 90 | 180 | 270 |
| 127 | 91.5 | 183 | 274.5 |
| Year | Day After Planting (DAP) | UAS Sensor | Cotton Growth Stage |
|---|---|---|---|
| 2024 | 63 | Multispectral | Squaring (early-mid-season) |
| 80 | Multispectral | Flowering (mid-season) | |
| 101 | Multispectral | Boll-setting (mid-late-season) |
| Data Type | Specific Variables | Source | DSSAT Files/Parameters |
|---|---|---|---|
| Weather | Max/min temperature, precipitation, sunshine hours, solar radiation, etc. | Weather station | Weather file (*. WTH), solar radiation estimated from sunshine hours. |
| Soil | Texture, water content, organic carbon, pH, layer depth, soil bulk density, saturation moisture content, etc. | Field sampling and lab analysis (0–40 cm) | Soil file (*. SOL) for water and nutrient simulation. |
| Management | Sowing date, planting distance, irrigation date, irrigation method, crop variety parameters, etc. | Field records | Management file (*. X) for scenario definition. |
| Parameters | Description | Initial Value | Range |
|---|---|---|---|
| EM-FL | Time from emergence to flowering. | 45 | 29~45 |
| FL-SH | Time from flowering to shoot harvest. | 11 | 10~13 |
| LFMAX | Maximum leaf area. | 1.2 | 0.7~1.2 |
| SLAVR | Specific leaf area (leaf area per unit dry mass). | 180 | 90~250 |
| SIZLF | Leaf size. | 230 | 170~230 |
| XFRT | Fruit set or fruiting period. | 0.69 | 0.5~0.9 |
| DAP | Vegetation Index | LR | SRV | RF | ||||||
|---|---|---|---|---|---|---|---|---|---|---|
| R2 | RESE | MAE | R2 | RESE | MAE | R2 | RESE | MAE | ||
| 63 | NDVI | 0.30 ± 0.21 | 0.05 ± 0.01 | 0.04 ± 0.01 | −0.20 ± 0.46 | 0.06 ± 0.02 | 0.05 ± 0.02 | −0.32 ± 0.57 | 0.07 ± 0.03 | 0.05 ± 0.02 |
| 80 | MTVI | 0.56 ± 0.36 | 0.42 ± 0.25 | 0.34 ± 0.19 | 0.55 ± 0.36 | 0.42 ± 0.25 | 0.34 ± 0.19 | 0.21 ± 0.50 | 0.52 ± 0.22 | 0.41 ± 0.18 |
| 101 | MTVI | 0.68 ± 0.23 | 0.52 ± 0.14 | 0.43 ± 0.14 | 0.59 ± 0.17 | 0.62 ± 0.16 | 0.48 ± 0.16 | 0.67 ± 0.10 | 0.57 ± 0.14 | 0.45 ± 0.14 |
Disclaimer/Publisher’s Note: The statements, opinions and data contained in all publications are solely those of the individual author(s) and contributor(s) and not of MDPI and/or the editor(s). MDPI and/or the editor(s) disclaim responsibility for any injury to people or property resulting from any ideas, methods, instructions or products referred to in the content. |
© 2026 by the authors. Licensee MDPI, Basel, Switzerland. This article is an open access article distributed under the terms and conditions of the Creative Commons Attribution (CC BY) license.
Share and Cite
Peng, H.; Esirige; Gu, H.; Gao, R.; Zhou, Y.; Men, X.; Wang, Z. Estimation of Cotton LAI and Yield Through Assimilation of the DSSAT Model and Unmanned Aerial System Images. Drones 2026, 10, 27. https://doi.org/10.3390/drones10010027
Peng H, Esirige, Gu H, Gao R, Zhou Y, Men X, Wang Z. Estimation of Cotton LAI and Yield Through Assimilation of the DSSAT Model and Unmanned Aerial System Images. Drones. 2026; 10(1):27. https://doi.org/10.3390/drones10010027
Chicago/Turabian StylePeng, Hui, Esirige, Haibin Gu, Ruhan Gao, Yueyang Zhou, Xinna Men, and Ze Wang. 2026. "Estimation of Cotton LAI and Yield Through Assimilation of the DSSAT Model and Unmanned Aerial System Images" Drones 10, no. 1: 27. https://doi.org/10.3390/drones10010027
APA StylePeng, H., Esirige, Gu, H., Gao, R., Zhou, Y., Men, X., & Wang, Z. (2026). Estimation of Cotton LAI and Yield Through Assimilation of the DSSAT Model and Unmanned Aerial System Images. Drones, 10(1), 27. https://doi.org/10.3390/drones10010027

