Synthesis and Some Physical Properties of New Organometallic Compounds Containing Si and Sn Atoms †
Abstract
:1. Introduction
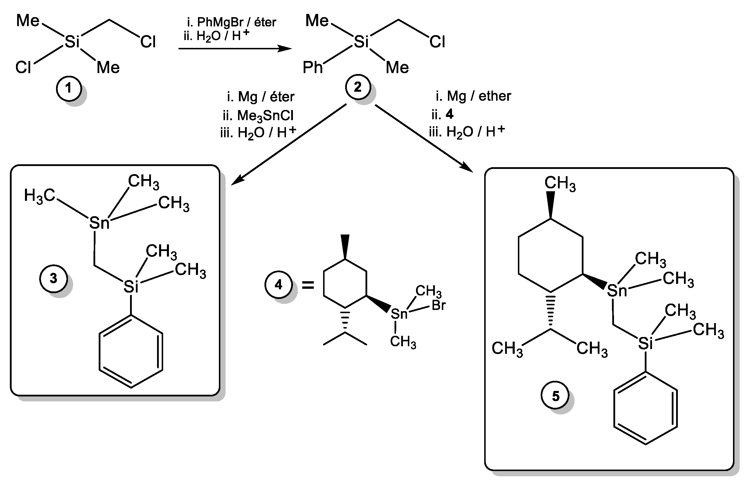
2. Results and Discussion
Acknowledgments
Conflicts of Interest
References
- Davies, A. Organotin Chemistry; VCH Verlagsgesellschaft: Weinheim, Alemania, 2004. [Google Scholar]
- Organotin Reagents in Cross-Coupling, Chapter 4. In Metal-Catalyzed Cross-Coupling Reactions; Diederich, F.; Stang, P.J. (Eds.) Wiley-VCH: Weinheim, Alemania, 2001. [Google Scholar]
- Marshall, J.A. Organotin Chemistry. In Organometallics in Synthesis: A Manual; Schlosser, M., Ed.; John Wiley & Sons Ltd.: Hoboken, NJ, USA, 2002. [Google Scholar]
- Dodero, V.I.; Koll, L.C.; Mandolesi, S.D.; Podestá, J.C. Stereoselective Hydrostannation of Substituted Alkynes with Trineophyltin Hydride. J. Organomet. Chem. 2002, 650, 173. [Google Scholar] [CrossRef]
- Dodero, V.I.; Mitchell, T.N.; Podestá, J.C. Synthesis and some Reactions of Tris(phenyldimethylsilyl methyl)tin Hydride. Organometallics 2003, 22, 856. [Google Scholar] [CrossRef]
- Faraoni, M.B.; Dodero, V.I.; Podestá, J.C. Synthesis and some stereoselective radical additions of bis[(phenyldi methylsilyl)methyl]tin dihydride. Arkivoc 2005, 12, 88–97. [Google Scholar] [CrossRef]



![]() | |||
| Comp. 3 | Comp. 6 | Comp. 7 | |
| 13C-NMR | |||
| Me-Sn (1J) | −7.93 (334.0) | −0.01 (362.0) | −10.46 (347.8) |
| -CH2Sn (1J) | −5.30 (242.4) | 3.88 (257.7) | −7.32 (258.0) |
| Me-Si [3J(C-Sn)] | 0.28 (12.1) | −0.16 | −0.09 (14.1) |
| Ph-Si-CH2-Sn [3J(Ph-Sn)] | 141.72 (18.4) | 139.70 (20.1) | 141.10 (16.6) |
| 1H-NMR | |||
| Me-Sn [2J(Sn,H), Hz] | −0.02 (s, 2H, NO) | 0.57 (56.7) | −0.01 (s, 3H, 56.5); 0.00 (s, 3H, 56.5) |
| Me-Si | 0.57 (s, 6H) | 0.47 s, 6H) | 0.25 (s, 6H) |
| Sn-CH2 | 0.00 (s, 9H, 51,7) | 0.72 (s, 2H) | −0.12 & −0.11 (2s, 2H) |
| Sn-H [1J(Sn,H)] | -- | -- | 4.85 (m, 1H, 1739.5) |
| 119Sn-NMR | |||
| 9 | 135 | −96 [(1J(Sn,C) = 468)] [1J(Sn,H) = 1383] | |
![]() | |||
| Comp. 5 | Comp. 8 | Comp. 9 | |
| 13C-NMR | |||
| Me-Sn (1J) | −9.13 (297.5) −8.83 (298.2) | 2.58 (202.1) | −13.27 (NO) |
| −CH2Sn (1J) | −7.19 (210.1) | 1.95 (197.3) | −8.76 (NO) −8.36 (NO) |
| C-1-Sn (1J) | 32.60 (406.8) | 40.08 (426.4) 40.39 (427.0) | 32.61 (NO) |
| Me-Si [3J(C-Sn)] | −7.19 (2101) | −0.32 (18.7) −0.21 (NO) −0.17 (NO) −0.07 (NO) | −11.72 (NO) −11.58 (8.6) |
| Ph-Si-CH2-Sn [3J(Ph-Sn)] | 141.71 (15.9) | 140.31 (17.7) | 141.21 (14.8). |
| 1H-NMR | |||
| Compound 5 | −0.20–0.20 (m, 9H); 0.21–0.42 (m, 6H); 0.60–1.12 (m, 11H); 1.12–1.42 (m, 3h); 1.45–1.90 (m, 4H); 7.25–7.40 (m, 3H); 7.45–7.65 (m, 2H). | ||
| Compound 8 b | 0.32 (s, 6H, SiMe2); 0.42–0.48 (m, 2H); 0.49–0.56 (m,3H); 0.59–0.71 (m, 2H); 0.72–0.91 (m, 8H); 0.92–1.92 (m, 9H); 7.26–7.35 (m, 3H); 7.40–7.52 (m, 2H). | ||
| Compound 9 b | −0.27–0.16 (m, 9H); 0.24–0.39 (m, 6H); 0.65–1.08 (m, 9H); 1.12–1.42 (m, 3H); 1.44–1.95 (m, 3H); 4.91–5.01 [m, 1H, 1J(Sn,H) 1637 Hz]; 6.96–7.23 (m); 7.29–7.40 (m, 3H); 7.41–7.52 (m, 2H). | ||
| 119Sn-NMR | |||
| Comp. 5 Comp. 8 Comp. 9 | |||
| 0.79 | 132 | −214 [(1J(Sn,C) = 464)] [1J(Sn,H) = 1388] | |
© 2018 by the authors. Licensee MDPI, Basel, Switzerland. This article is an open access article distributed under the terms and conditions of the Creative Commons Attribution (CC BY) license (http://creativecommons.org/licenses/by/4.0/).
Share and Cite
Terraza, V.F.; Gerbino, D.C.; Podestá, J.C. Synthesis and Some Physical Properties of New Organometallic Compounds Containing Si and Sn Atoms. Proceedings 2019, 9, 62. https://doi.org/10.3390/ecsoc-22-05687
Terraza VF, Gerbino DC, Podestá JC. Synthesis and Some Physical Properties of New Organometallic Compounds Containing Si and Sn Atoms. Proceedings. 2019; 9(1):62. https://doi.org/10.3390/ecsoc-22-05687
Chicago/Turabian StyleTerraza, V. Fabricio, Darío C. Gerbino, and Julio C. Podestá. 2019. "Synthesis and Some Physical Properties of New Organometallic Compounds Containing Si and Sn Atoms" Proceedings 9, no. 1: 62. https://doi.org/10.3390/ecsoc-22-05687
APA StyleTerraza, V. F., Gerbino, D. C., & Podestá, J. C. (2019). Synthesis and Some Physical Properties of New Organometallic Compounds Containing Si and Sn Atoms. Proceedings, 9(1), 62. https://doi.org/10.3390/ecsoc-22-05687


