Flexible Supercapacitor Fabricated on a Polyester-Cotton Textile †
Abstract
:1. Introduction
2. Materials and Methods
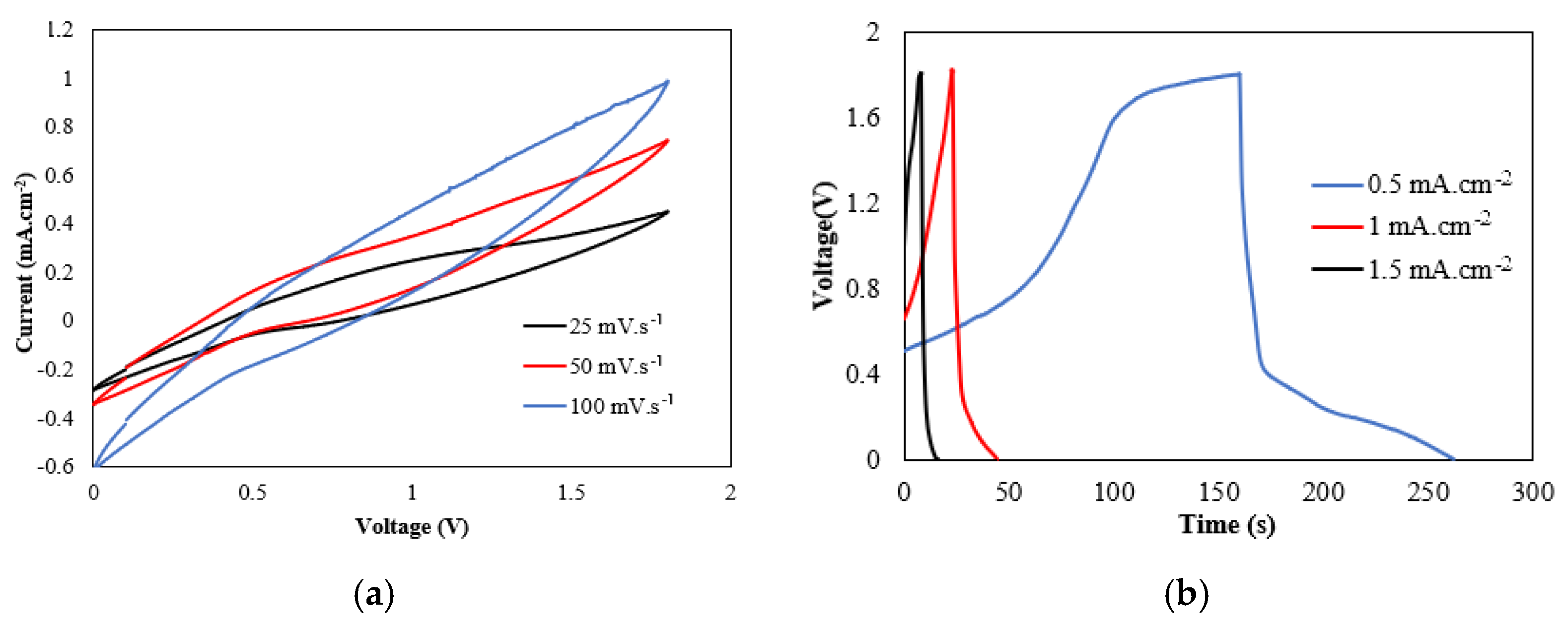
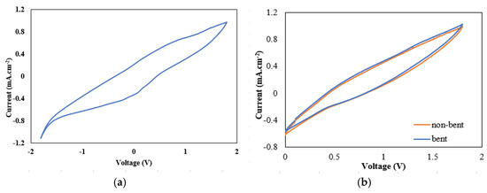
3. Results
4. Discussion and Conclusions
Funding
Conflicts of Interest
References
- Dias, T. Electronic Textiles Smart Fabrics and Wearable Technology; Woodhead Publishing: Sawston, UK, 2015. [Google Scholar]
- Zhu, J.; Zhao, S.X.; Wu, X.; Wang, Y.F.; Yu, L.; Nan, C.W. Wrapping RGO/MoO2/carbon textile as supercapacitor electrode with enhanced flexibility and areal capacitance. Electrochim. Acta 2018, 282, 784–791. [Google Scholar] [CrossRef]
- Jin, H.; Peng, Z.H.; Tang, W.M.; Chan, H.L.W. Controllable functionalized carbon fabric for high-performance all-carbon-based supercapacitors. RSC Adv. 2014, 4, 33022–33028. [Google Scholar] [CrossRef]
- Yong, S.; Owen, J.; Beeby, S. Solid-state supercapacitor fabricated in a single woven textile layer for E-textiles applications. Adv. Eng. Mater. 2018, 20, 1700860. [Google Scholar] [CrossRef]
- Yong, S.; Hiller, N.; Yang, K.; Beeby, S. Integrated Flexible Textile Supercapacitor Fabricated in a Polyester-Cotton Fabric. Proceeding 2019, 32, 15. [Google Scholar]
- Manjakkal, L.; Pullanchiyodan, A.; Yogeswaran, N.; Hosseini, E.; Dahiya, R. A Wearable Supercapacitor Based on Conductive PEDOT:PSS-Coated Cloth and a Sweat Electrolyte. Adv. Mater. 2020, 32, 1907254. [Google Scholar] [CrossRef] [PubMed]




Publisher’s Note: MDPI stays neutral with regard to jurisdictional claims in published maps and institutional affiliations. |
© 2021 by the authors. Licensee MDPI, Basel, Switzerland. This article is an open access article distributed under the terms and conditions of the Creative Commons Attribution (CC BY) license (https://creativecommons.org/licenses/by/4.0/).
Share and Cite
Yong, S.; Beeby, S.; Yang, K. Flexible Supercapacitor Fabricated on a Polyester-Cotton Textile. Proceedings 2021, 68, 7. https://doi.org/10.3390/proceedings2021068007
Yong S, Beeby S, Yang K. Flexible Supercapacitor Fabricated on a Polyester-Cotton Textile. Proceedings. 2021; 68(1):7. https://doi.org/10.3390/proceedings2021068007
Chicago/Turabian StyleYong, Sheng, Stephen Beeby, and Kai Yang. 2021. "Flexible Supercapacitor Fabricated on a Polyester-Cotton Textile" Proceedings 68, no. 1: 7. https://doi.org/10.3390/proceedings2021068007
APA StyleYong, S., Beeby, S., & Yang, K. (2021). Flexible Supercapacitor Fabricated on a Polyester-Cotton Textile. Proceedings, 68(1), 7. https://doi.org/10.3390/proceedings2021068007

