A Comparative Study of the Physical Changes of Two Soluble Fibers during In Vitro Digestion †
Abstract
:1. Introduction
2. Materials and Methods
2.1. Materials
2.2. In Vitro Digestion
2.3. Steady Shear Flow Behavior
2.4. Determination of Degree of Aggregation/Fragmentation
3. Results
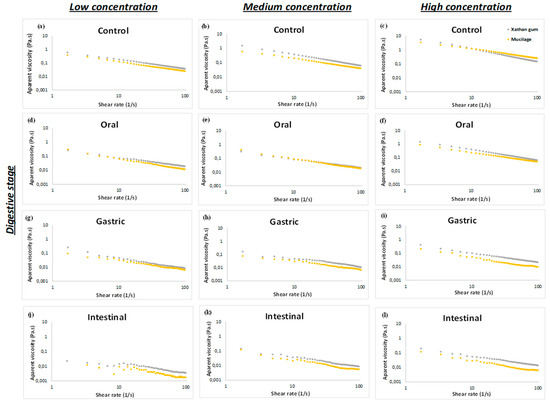
3.1. Steady Shear Flow Behaviour
3.2. Degree of Aggregation/Fragmentation
4. Conclusions
Acknowledgments
References
- FAO (Food and Agriculture Organization); WHO (World Health Organization). Report of a Joint FAO/WHO Expert Consultation, Diet, Nutrition and the Prevention of Chronic Disease; Technical Report Series; FAO; WHO: Geneva, Switzerland, 2003; No. 916 (TRS 916). [Google Scholar]
- Chawla, R.; Patil, G. Soluble Dietary Fiber. Compr. Rev. Food Sci. Food Saf. 2010, 9, 178–196. [Google Scholar] [CrossRef]
- EFSA. Scientific Opinion on principles for deriving and applying Dietary Reference Values. EFSA J. 2010, 8. [Google Scholar] [CrossRef]
- Gidley, M.J. Hydrocolloids in the digestive tract and related health implications. Curr. Opin. Colloid Interface Sci. 2013, 18, 371–378. [Google Scholar] [CrossRef]
- Capuano, E. The behavior of dietary fiber in the gastrointestinal tract determines its physiological effect. Crit. Rev. Food Sci. Nutr. 2016, 57, 3543–3564. [Google Scholar] [CrossRef]
- Repin, N.; Cui, S.W.; Goff, H.D. Rheological behavior of dietary fibre in simulated small intestinal conditions. Food Hydrocoll. 2018, 76, 216–225. [Google Scholar] [CrossRef]
- Taghipoor, M.; Barles, G.; Georgelin, C.; Licois, J.; Lescoat, P. Digestion modeling in the small intestine: Impact of dietary fiber. Math. Biosci. 2014, 258, 101–112. [Google Scholar] [CrossRef]
- Li, Y.O.; Komarek, A.R. Dietary fibre basics: Health, nutrition, analysis, and applications. Food Qual. Saf. 2017, 1, 47–59. [Google Scholar] [CrossRef]
- Tamargo, A.; Cueva, C.; Laguna, L.; Moreno-Arribas, M.V.; Muñoz, L.A. Understanding the impact of chia seed mucilage on human gut microbiota by using the dynamic gastrointestinal model simgi®. J. Funct. Foods 2018, 50, 104–111. [Google Scholar] [CrossRef]
- Brunchi, C.-E.; Bercea, M.; Morariu, S.; Dascalu, M. Some properties of xanthan gum in aqueous solutions: Effect of temperature and pH. J. Polym. Res. 2016, 23, 123. [Google Scholar] [CrossRef]
- Munoz, L.; Cobos, A.; Díaz, O.; Aguilera, J. Chia seeds: Microstructure, mucilage extraction and hydration. J. Food Eng. 2012, 108, 216–224. [Google Scholar] [CrossRef]
- Minekus, M.; Alminger, M.; Alvito, P.; Balance, S.; Bohn, T.; Bourlieu, C.; Carrière, F.; Boutrou, R.; Corredig, M.; Dupont, D.; et al. A standardised staticin vitrodigestion method suitable for food—An international consensus. Food Funct. 2014, 5, 1113–1124. [Google Scholar] [CrossRef] [PubMed]
- Timilsena, Y.; Adhikari, R.; Kasapis, S.; Adhikari, B. Rheological and microstructural properties of the chia seed polysaccharide. Int. J. Boil. Macromol. 2015, 81, 991–999. [Google Scholar] [CrossRef] [PubMed]
- Lazaro, H.; Puente, L.; Zúñiga, M.C.; Muñoz, L.A. Assessment of rheological and microstructural changes of soluble fiber from chia seeds during an in vitro micro-digestion. LWT 2018, 95, 58–64. [Google Scholar] [CrossRef]
- Fabek, H.; Messerschmidt, S.; Brulport, V.; Goff, H.D. The effect of in vitro digestive processes on the viscosity of dietary fibres and their influence on glucose diffusion. Food Hydrocoll. 2014, 35, 718–726. [Google Scholar] [CrossRef]
- Vuksan, V.; Jenkins, A.L.; Rogovik, A.L.; Fairgrieve, C.D.; Jovanovski, E.; Leiter, L.A. Viscosity rather than quantity of dietary fibre predicts cholesterol-lowering effect in healthy individuals. Br. J. Nutr. 2011, 106, 1349–1352. [Google Scholar] [CrossRef] [PubMed]
- Bornhorst, G.M.; Kostlan, K.; Singh, R. Particle Size Distribution of Brown and White Rice during Gastric Digestion Measured by Image Analysis. J. Food Sci. 2013, 78, E1383–E1391. [Google Scholar] [CrossRef] [PubMed]


| SDF | Concentration | Control (Before Digestion) | After Digestion | ||||||||||
|---|---|---|---|---|---|---|---|---|---|---|---|---|---|
| Oral | Gastric | Intestinal | |||||||||||
| n | k | R2 | n | k | R2 | n | k | R2 | n | k | R2 | ||
| Xanthan gum | Low | 0.319 b | 0.844 b | 0.9994 | 0.399 a | 0.318 b | 0.9976 | 0.249 bc | 0.254 ab | 0.9880 | 0.333 a | 0.074 b | 0.9063 |
| Medium | 0.219 bc | 2.283 b | 0.9998 | 0.376 a | 0.391 b | 0.9983 | 0.379 a | 0.226 b | 0.9710 | 0.351 b | 0.185 a | 0.9888 | |
| High | 0.081 d | 9.479 b | 0.9076 | 0.208 c | 2.441 b | 0.9506 | 0.314 a | 0.507 b | 0.9980 | 0.355 b | 0.270 a | 0.9960 | |
| Mucilage | Low | 0.306 b | 0.592 bc | 0.9978 | 0.224 b | 0.308 b | 0.9970 | 0.201 c | 0.320 a | 0.9903 | 0.178 a | 0.069 b | 0.9406 |
| Medium | 0.309 b | 0.960 b | 0.9989 | 0.363 a | 0.235 b | 0.9963 | 0.320 a | 0.096 b | 0.9839 | 0.337 b | 0.130 a | 0.9733 | |
| High | 0.339 b | 5.173 b | 0.9302 | 0.429 a | 0.230 c | 0.9991 | 0.379 a | 0.180 c | 0.9801 | 0.278 b | 0.160 a | 0.9836 | |
Publisher’s Note: MDPI stays neutral with regard to jurisdictional claims in published maps and institutional affiliations. |
© 2020 by the authors. Licensee MDPI, Basel, Switzerland. This article is an open access article distributed under the terms and conditions of the Creative Commons Attribution (CC BY) license (https://creativecommons.org/licenses/by/4.0/).
Share and Cite
Vera, N.; Laguna, L.; Zura, L.; Muñoz, L.A. A Comparative Study of the Physical Changes of Two Soluble Fibers during In Vitro Digestion. Proceedings 2020, 53, 21. https://doi.org/10.3390/proceedings2020053021
Vera N, Laguna L, Zura L, Muñoz LA. A Comparative Study of the Physical Changes of Two Soluble Fibers during In Vitro Digestion. Proceedings. 2020; 53(1):21. https://doi.org/10.3390/proceedings2020053021
Chicago/Turabian StyleVera, Natalia, Laura Laguna, Liliana Zura, and Loreto A. Muñoz. 2020. "A Comparative Study of the Physical Changes of Two Soluble Fibers during In Vitro Digestion" Proceedings 53, no. 1: 21. https://doi.org/10.3390/proceedings2020053021
APA StyleVera, N., Laguna, L., Zura, L., & Muñoz, L. A. (2020). A Comparative Study of the Physical Changes of Two Soluble Fibers during In Vitro Digestion. Proceedings, 53(1), 21. https://doi.org/10.3390/proceedings2020053021
