Evaluation of Low Cost Piezoelectric Sensors for the Identification of Partial Discharges Evolution †
Abstract
:1. Introduction
1.1. Partial Discharge in Power Transformers
1.2. Piezoelectric Sensors
1.3. Acoustic Signal Analysis (Energy and Spectral Density)
2. Experimental Set-Up
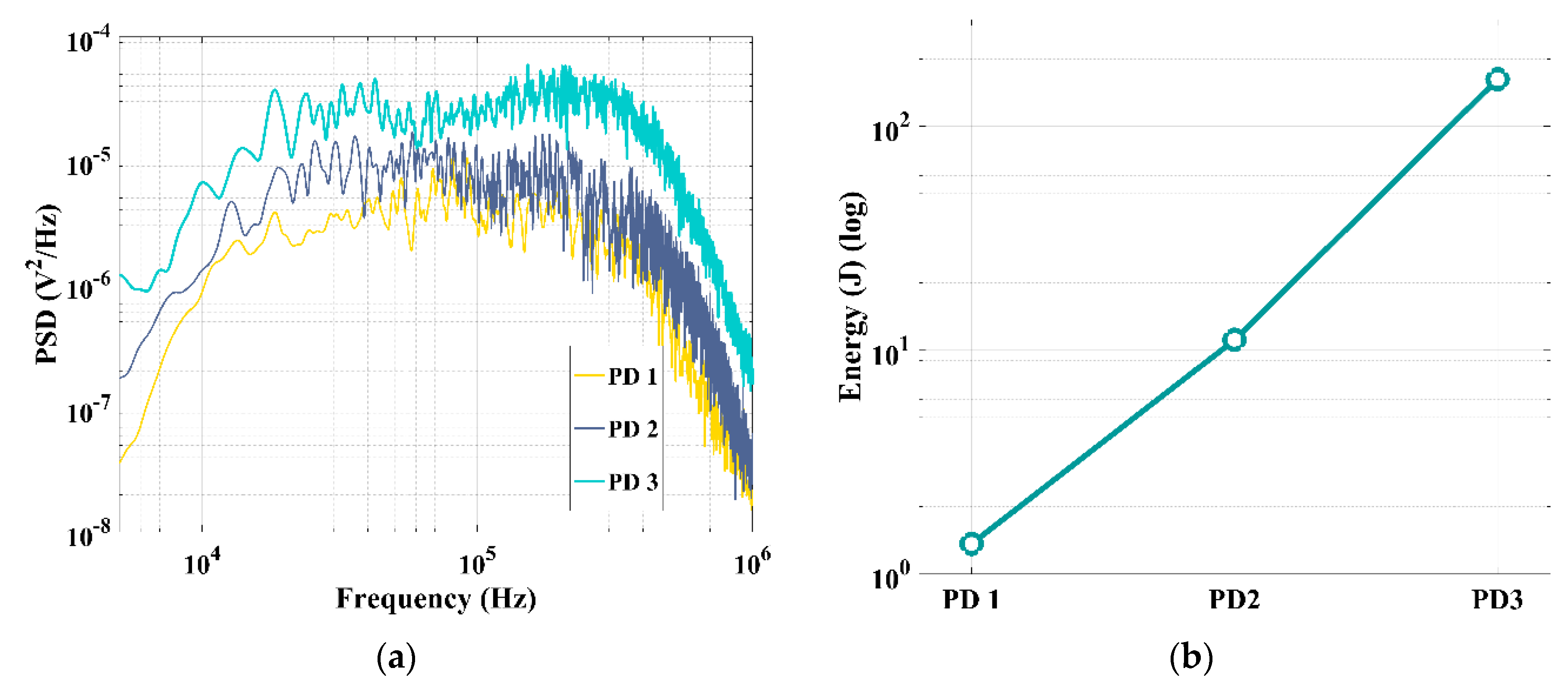
3. Results and Discussion
4. Conclusions
References
- Okabe, S.; Ueta, G.; Wada, H.; Okubo, H. Partial discharge-induced degradation characteristics of insulating structure constituting oil-immersed power transformers. IEEE Trans. Dielectr. Electr. Insul. 2010, 17, 1649–1656. [Google Scholar] [CrossRef]
- Markalous, S.; Tenbohlen, S.; Feser, K. Detection and Location of Partial Discharges in Power Transformers using Acoustic and Electromagnetic Signals. IEEE Trans. Dielectr. Electer. Insul. 2008, 15, 1576–1583. [Google Scholar] [CrossRef]
- Castro, B.A.; Brunini, D.M.; Baptista, F.G.; Andreoli, A.L.; Ulson, J.A.C. Assessment of Macro Fiber Composite Sensors for Measurement of Acoustic Partial Discharge Signals in Power Transformers. IEEE Sens. J. 2017, 17, 6090–6099. [Google Scholar] [CrossRef]
- Castro, B.A.; Clerice, G.; Ramos, C.; Andreoli, A.L.; Baptista, F.G.; Campos, F.S.; Ulson, J.A.C. Partial Discharge Monitoring in Power Transformers Using Low-Cost Piezoelectric Sensors. Sensors 2016, 16, 1266. [Google Scholar] [CrossRef] [PubMed]
- Assagra, Y.A.O.; Gutnik, Y.; Altafim, R.A.P.; Cavalcanti, A.C.; Altafim, R.A.C. Different piezoelectric structures applied to acoustic detection of impulse and corona partial discharges. In Proceedings of the Annual Report Conference on Electrical Insulation and Dielectric Phenomena, Shenzhen, China, 20–23 October 2013; pp. 1242–1245. [Google Scholar]
- IEC-TS-62478:2016. High-Voltage Test Techniques-Measurement of Partial Discharges by Electromagnetic and Acoustic Methods; Standard, International Electrotechnical Comission: Geneva, Switzerland, 2016. [Google Scholar]
- International Electrotechnical Commission (IEC). IEC 60270—High Voltage Test Techniques, 3rd ed.; IEC: Geneva, Switzerland, 2000. [Google Scholar]
- Wang, X.; Li, B.; Roman, T.H.; Russo, O.L.; Chin, K.; Famer, R.K. Acousto-optical PD Detection for Transformers. IEEE Trans. Power Deliv. 2006, 21, 1068–1073. [Google Scholar] [CrossRef]
- Mohammadi, E.; Niroomand, M.; Rezaeian, M.; Amini, Z. Partial discharge localization and classification using acoustic emission analysis in power transformer. In Proceedings of the 31st International Telecommunications Energy Conference (INTELEC 2009), Incheon, Korea, 18–22 October 2009. [Google Scholar]
- Álvarez, F.; Garnacho, F.; Ortego, J.; Urán, M.A.S. Application of HFCT and UHF sensors in on-line partial discharge measurements for insulation diagnosis of high voltage equipment. Sensors 2015, 15, 7360–7387. [Google Scholar] [CrossRef] [PubMed]
- Ardila-Rey, J.A.; Barrueto, A.; Zerene, A.; Castro, B.A.; Ulson, J.A.C.; Mas’ud, A.A.; Valdivia, P. Behavior of an Inductive Loop Sensor in the Measurement of Partial Discharge Pulses with Variations in Its Separation from the Primary Conductor. Sensors 2018, 18, 2324. [Google Scholar] [CrossRef] [PubMed]
- Wang, L.; Cavallini, A.; Montanari, G.; Testa, L. Evolution of PD patterns in polyethylene insulation cavities under ac voltage. IEEE Trans. Dielectr. Electr. Insul. 2012, 19, 533–542. [Google Scholar] [CrossRef]
- IEEE Standard on Piezoelectricity: An American National Standard; IEEE-ANSI: New York, NY, USA, 1987.
- Castro, B.A.; Clerice, G.A.M.; Andreoli, A.L.; Campos, F.S.; Ulson, J.A.C. A low cost system for acoustic monitoring of partial discharge in power transformer by Piezoelectric Sensor. IEEE Lat. Am. Trans. 2016, 14, 3225–3231. [Google Scholar] [CrossRef]
- Ardila-Rey, J.A.; Montaña, J.; Castro, B.A.; Schurch, R.; Ulson, J.A.C.; Muhammad-Sukki, F.; Bani, N.A. A comparison of inductive sensors in the characterization of partial discharges and electrical noise using the chromatic technique. Sensors 2018, 18, 1021. [Google Scholar] [CrossRef] [PubMed]




© 2018 by the authors. Licensee MDPI, Basel, Switzerland. This article is an open access article distributed under the terms and conditions of the Creative Commons Attribution (CC BY) license (https://creativecommons.org/licenses/by/4.0/).
Share and Cite
Akiyoshi, D.F.; Castro, B.A.d.; Leão, J.V.F.; Rocha, M.A.; Rey, J.A.A.; Riehl, R.R.; Andreoli, A.L. Evaluation of Low Cost Piezoelectric Sensors for the Identification of Partial Discharges Evolution. Proceedings 2019, 4, 36. https://doi.org/10.3390/ecsa-5-05722
Akiyoshi DF, Castro BAd, Leão JVF, Rocha MA, Rey JAA, Riehl RR, Andreoli AL. Evaluation of Low Cost Piezoelectric Sensors for the Identification of Partial Discharges Evolution. Proceedings. 2019; 4(1):36. https://doi.org/10.3390/ecsa-5-05722
Chicago/Turabian StyleAkiyoshi, Daniele F., Bruno A. de Castro, José V. F. Leão, Marco A. Rocha, Jorge A. A. Rey, Rudolf R. Riehl, and André L. Andreoli. 2019. "Evaluation of Low Cost Piezoelectric Sensors for the Identification of Partial Discharges Evolution" Proceedings 4, no. 1: 36. https://doi.org/10.3390/ecsa-5-05722
APA StyleAkiyoshi, D. F., Castro, B. A. d., Leão, J. V. F., Rocha, M. A., Rey, J. A. A., Riehl, R. R., & Andreoli, A. L. (2019). Evaluation of Low Cost Piezoelectric Sensors for the Identification of Partial Discharges Evolution. Proceedings, 4(1), 36. https://doi.org/10.3390/ecsa-5-05722

