A Novel Transparent pH Sensor Based on a Nanostructured ITO Electrode Coated with [3,3′-Co(1,2-C2B9H11)2]-Doped Poly(pyrrole) †
Abstract
:1. Introduction
2. Materials and Methods
2.1. Fabrication of Transparent Nanostructured Electrode
2.2. Electropolymerization of Co(1,2-C2B9H11)2]-Doped Pyrrole
2.3. Monitoring System and Electrode Calibration
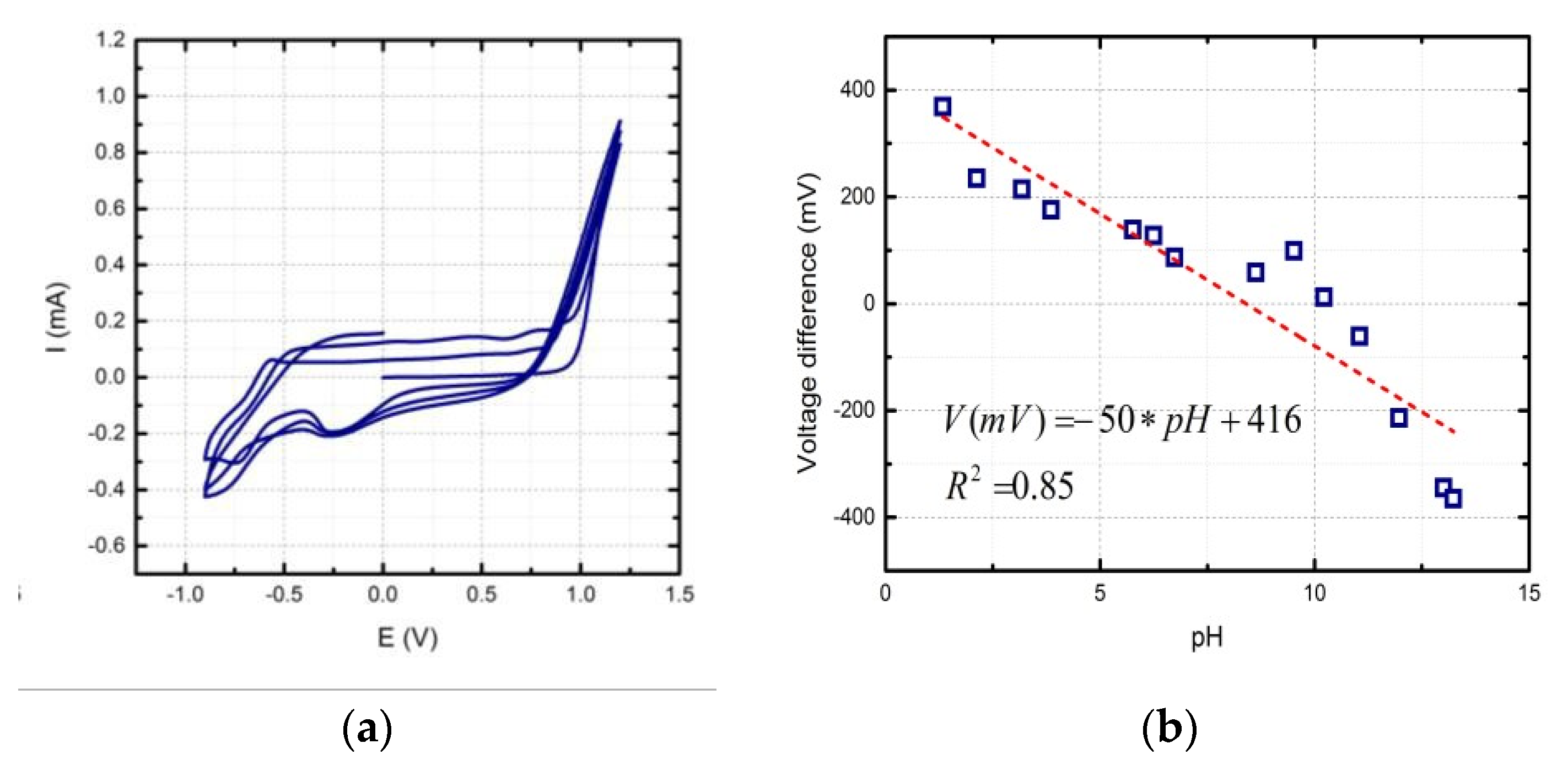
3. Results and Discussion
3.1. Electrode Characterization
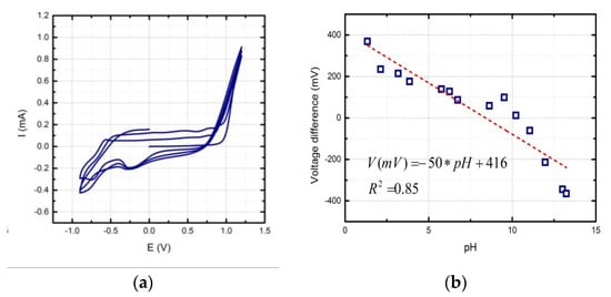
3.2. Electrode Calibration
4. Conclusions
Author Contributions
Acknowledgments
Conflicts of Interest
References
- Rahimi, R.; Brener, U.; Chittiboyina, S.; Soleimani, T.; Detwiler, D.A.; Lelièvre, S.A.; Ziaie, B. Laser-enabled fabrication of flexible and transparent pH sensor with Near-Field Communication for in-situ monitoring of wound infection. Sens. Actuators B Chem. 2018, 267, 198–207. [Google Scholar] [CrossRef]
- Barisci, J.N.; Murray, P.; Small, C.J.; Wallace, G.G. Studies of the preparation and analytical application of polypyrrole-coated microelectrodes for determination of aluminum. Electroanalysis 1996, 8, 330–335. [Google Scholar] [CrossRef]
- Arrigan, D.W.; Lowens, M.J. Polypyrrole films doped with an electroactive sulfonated chelating reagent: Electrochemical characterization and the detection of metal ions. Electroanalysis 1999, 11, 647–652. [Google Scholar] [CrossRef]
- Ogura, K.; Shiigi, H.; Nakayama, M. A New Humidity Sensor Using the Composite Film Derived from Poly(o-phenylenediamine) and Poly(vinyl alcohol). J. Electrochem. Soc. 1996, 143, 2925–2930. [Google Scholar] [CrossRef]
- Sun, B.; Fitch, P.G. Nitrate ion-selective sensor based on electrochemically prepared conducting polypyrrole films. Electroanalysis 1997, 9, 494–497. [Google Scholar] [CrossRef]
- Masalles, C.; Borros, S.; Vinas, C.; Teixidor, F. Simple PVC-PPy electrode for pH measurement and titrations. Anal. Bioanal. Chem. 2002, 3724, 513–518. [Google Scholar] [CrossRef] [PubMed]
- Viñas, C.; Gomez, S.; Bertran, J.; Teixidor, F.; Dozol, J.F.; Rouquette, H. New Polyether-Substituted Metallacarboranes as Extractants for 137Cs and 90Sr from Nuclear Wastes. Inorg. Chem. 1998, 37, 3640–3643. [Google Scholar] [CrossRef] [PubMed]
- Viñas, C.; Gomez, S.; Bertran, J.; Teixidor, F.; Dozol, J.F.; Rouquette, H. Cobaltabis (dicarbollide) derivatives as extractants for europium from nuclear wastes. Chem. Commun. 1998, 2, 191–192. [Google Scholar] [CrossRef]
- Masalles, C.; Borros, S.; Vinas, C.; Teixidor, F. Are low-coordinating anions of interest as doping agents in organic conducting polymers? Adv. Mater. 2000, 1216, 1199–1202. [Google Scholar] [CrossRef]
- Pruna, R.; Palacio, F.; López, M.; Pérez, J.; Mir, M.; Blázquez, O.; Hernández, S.; Garrido, B. Electrochemical characterization of organosilane-functionalized nanostructured ITO surfaces. Appl. Phys. Lett. 2016, 109, 063109. [Google Scholar] [CrossRef]


Publisher’s Note: MDPI stays neutral with regard to jurisdictional claims in published maps and institutional affiliations. |
© 2018 by the authors. Licensee MDPI, Basel, Switzerland. This article is an open access article distributed under the terms and conditions of the Creative Commons Attribution (CC BY) license (https://creativecommons.org/licenses/by/4.0/).
Share and Cite
Pruna, R.; Palacio, F.; Fuentes, I.; Viñas, C.; Teixidor, F.; López, M. A Novel Transparent pH Sensor Based on a Nanostructured ITO Electrode Coated with [3,3′-Co(1,2-C2B9H11)2]-Doped Poly(pyrrole). Proceedings 2018, 2, 869. https://doi.org/10.3390/proceedings2130869
Pruna R, Palacio F, Fuentes I, Viñas C, Teixidor F, López M. A Novel Transparent pH Sensor Based on a Nanostructured ITO Electrode Coated with [3,3′-Co(1,2-C2B9H11)2]-Doped Poly(pyrrole). Proceedings. 2018; 2(13):869. https://doi.org/10.3390/proceedings2130869
Chicago/Turabian StylePruna, Raquel, Francisco Palacio, Isabel Fuentes, Clara Viñas, Francesc Teixidor, and Manuel López. 2018. "A Novel Transparent pH Sensor Based on a Nanostructured ITO Electrode Coated with [3,3′-Co(1,2-C2B9H11)2]-Doped Poly(pyrrole)" Proceedings 2, no. 13: 869. https://doi.org/10.3390/proceedings2130869
APA StylePruna, R., Palacio, F., Fuentes, I., Viñas, C., Teixidor, F., & López, M. (2018). A Novel Transparent pH Sensor Based on a Nanostructured ITO Electrode Coated with [3,3′-Co(1,2-C2B9H11)2]-Doped Poly(pyrrole). Proceedings, 2(13), 869. https://doi.org/10.3390/proceedings2130869

