Abstract
This study concerns the design of an ion-imprinted polymer (IIP) for the selective detection of mercury II ions. Compared to other electrochemical studies, the originality of this work lies to the fact that the IIP was electropolymerized on ZnO nanorods, which were themselves grown on gold/diazonium modified substrates. This strategy of diazonium salt and ZnO nanorods permits to increase considerably the specific surface and thus to improve the sensor’s performances. The limit of detection (LOD) of the designed sensor was of order of 1 pM, the lowest value ever reported in literature.
1. Introduction
As other heavy metal ions, mercury (II) presents health and ecological concerns [1]. Its presence in the ecosystem is related to its wide use in cement kilns, gold mining and trash incinerators [2]. Exposure to mercury ions, even at low doses, can lead to severe central nervous system problems and vital human organs damage [3,4]. The liberation of Hg (II) in the environment is forbidden by the European Union and World Health Organization (WHO) [5]. Its maximum permissible limit in drinking water is equal to 2 μg/L, according to the WHO. Developing reliable, sensitive and selective methods for the determination of low concentrations of mercury in food and drinking water is thus of significance.
Due to their high selectivity, sensitivity and low cost, electrochemical transducers functionalized with ion imprinted polymers (IIP) are increasingly used for heavy ions detection in both simple and complex media. In most cases, IIPs are deposited directly on the surface of a bare electrode [6]. Here, we have chosen to electropolymerize the IIP on ZnO nanorods, which are themselves grown on a gold electrode. The ultimate goal was an increase in the sensor’s sensitivity and a diminution of the limit of detection (LOD).
2. Materials and Methods
2.1. Reagents
4-Aminobenzoic acid (99%), methanol (MeOH), H2SO4 (95%) H2O2 (30%), tetrabutylammonium tetrafluoroborate (99%), zinc acetate dihydrate (99.99%), sodium hydroxide (97%), hexamethylenetetramine(99%), acetonitrile (99.8%), potassium hexacyanoferrate(III) (99%), potassium hexacyanoferrate(II) trihydrate (98.5%), potassium chloride, pyrrole (Py) (98%), lead nitrate Pb(NO3)2, copper(II) nitrate hemi(pentahydrate) (98%) and mercury (II) chloride (98%) were purchased from Sigma-Aldrich. Pyrrole was purified through alumina basic column and stored in dark at 4°C. Cadmium sulfate 8/3-hydrate (99%) was supplied by VWR Prolabo. Zinc nitrate hexahydrate (99%) was obtained from Merck, isopentyl nitrite (97%) was supplied by Alfa Aesar. All solvents were of analytical grade and all aqueous solutions were prepared using ultrapure milli-Q water.
2.2. Instruments and Characterization
Electrochemical measurements were carried out with a PG581 Bio-Logic portable potentiostat. Conventional three-electrodes cell was used, with Ag/AgCl, a platinum grid, and a gold substrate as the reference, counter and working electrodes, respectively.
2.3. Surface Functionalization by Diazonium Salt
The surface modification of bare gold electrodes was carried out with 4-carboxybenzenediazonium tetrafluoroborate, which was in-situ generated using 4-aminobenzoicacid [7]. Electroreduction of diazonium salt on gold electrodes was performed by cyclic voltammetry at a scanning rate of 100 mV/s between −1 and 0.0 V versus Ag/AgCl in a solution of acetonitrile containing 1 mM diazonium salt and 0.1 M tetrabutylammonium tetrafluoroborate. The modified electrodes were then rinsed with ultrapure water, ethanol and dried. Results (not shown here) indicate that 20, is the optimum number of cycles.
2.4. Synthesis, Deposition and ZnO Growth
A two-step process has been followed to grow ZnO nanorods from ZnO seed particles at low temperature [8].
Step 1: 0.1 M of zinc acetate and 0.03 M of NaOH were mixed, in methanol, with a constant stirring at 60 °C for one hour. The synthesized nanoparticles were then deposited by spin coating on the gold electrodes modified by the diazonium salt. The seeded substrates were after that heated for 1 h at 125 °C, to insure a good adhesion of the seed particles to the substrate.
Step 2: The gold electrodes with ZnO nanoparticles were then placed upside down inside a beaker, containing aqueous solutions of 30 mM zinc nitrate hexahydrate and 30 mM hexamethylenetetramine (HMT), and kept at 95 °C for 5 h with constant stirring. The gold modified electrodes were finally rinsed with ultra-pure water and dried in an oven preset at 125 °C for 1 h.
2.5. IIP and NIP Realization Steps
A thin polypyrrole barrier layer was first electropolymerized on Au/ZnO electrodes to prevent eventual detection of Hg2+ ions by “bare” substrates. IIPs electropolymerization was carried out by chronoamperometry (CA) in a KCl solution containing 10−2 M of purified pyrrole (functional monomer), 10−4 M of L-cysteine (cross-linker) and 10−2 M of Hg2+ (template). The non-imprinted polymer (NIP) was prepared under the same conditions in the absence of the template.
Hg2+ extraction from the vicinity of the polymeric matrix was done by immersing the electrodes in 0.1 M EDTA solution for 20 min, and then in ultra-pure water for 10 min.
3. Results and Discussion
3.1. Surface Functionalization via Quasi-Vertical Growth of ZnO
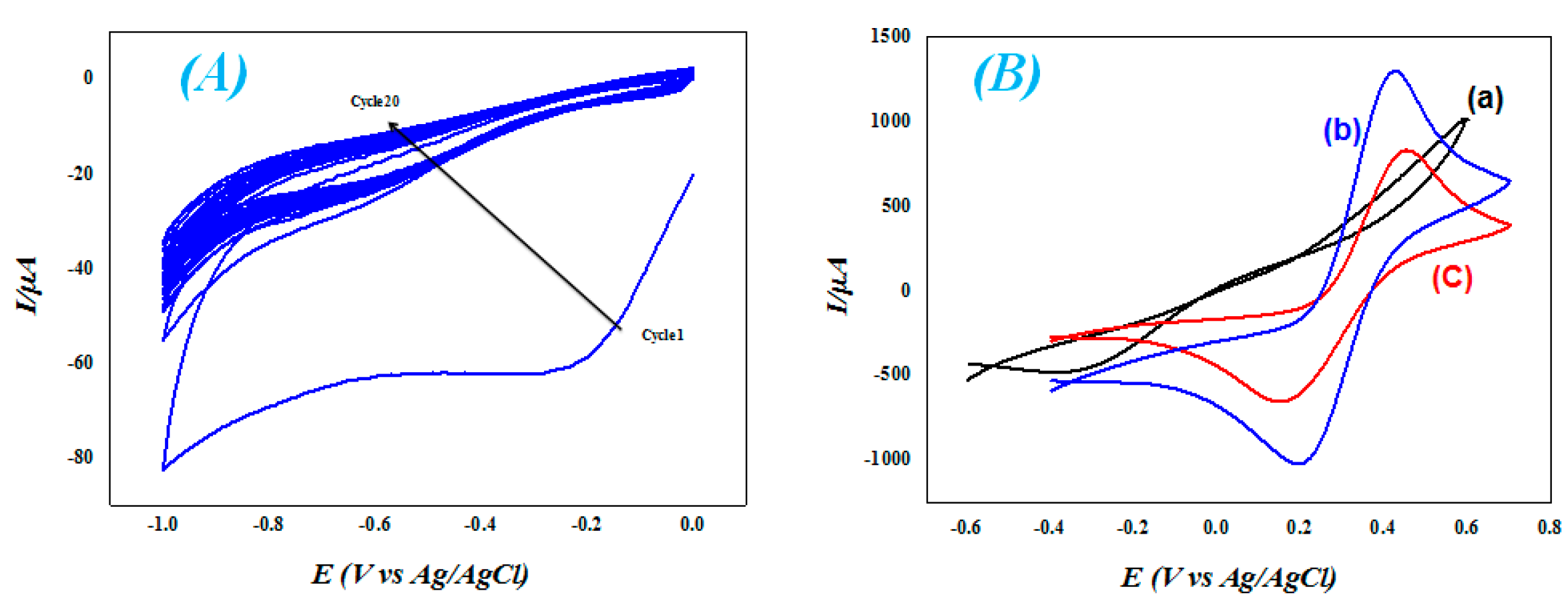
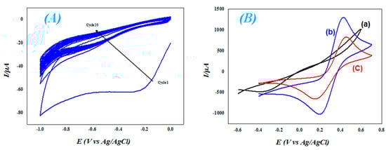
The electroreduction of the diazonium salt carried out by cyclic voltammetry in 20 cycles gave a virtually zero reduction current (Figure 1A) resulting from a passivation of the electrode following the grafting of aryl groups. The number of cycles was controlled by the ferrocyanide test (Figure 1B) to keep a good surface conductivity. The diazonium salt makes it possible to have an almost homogeneous distribution of quasi vertical growth of ZnO nanorods.
Figure 1.
Electro-grafting of 4-carboxybenzenediazonium tetrafluoroborate. (A) Electroreduction, (B) Passivation test: (a): uncleaned gold electrode; (b): cleaned electrode and (c): after electro-grafting of the diazonium salt.
3.2. Preparation of IIP & NIP-Based Electrodes
Both ZnO-IIP and the barrier layer were prepared by chronoamperometry (Figure 2A). ZnO-IIP and ZnO-NIP were compared using Square Wave Voltammetry (Figure 2B). Results indicate an obvious difference between the two films, as the characteristic peak current of Hg(II) is absent in the NIP’s response. The extraction of Hg2+ ions from ZnO-IIP by EDTA leads to voltammograms close to that of ZnO-NIP (Figure 2B), indicating that all targets were released from the vicinity of the IIP matrix, and that the extracted IIP can be reused for the recapture of the target ions.
Figure 2.
(A): Electropolymerization of pyrrole by chronoamperometry. (a) Barrier layer, (b) Polymerization of pyrrole in the presence of L-cysteine and Hg2+. (B): SWV of IIP and NIP.
3.3. Electrochemical Sensing of Mercury
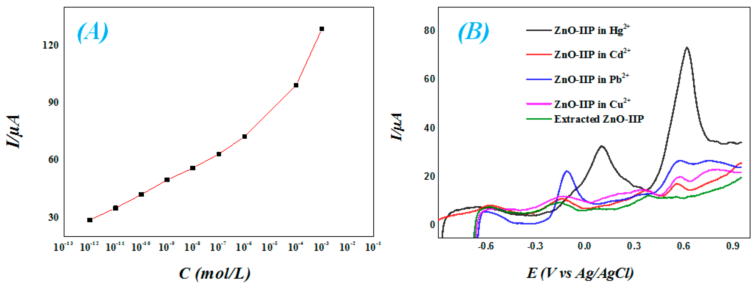
Square wave voltammetry technique was used to investigate the electrochemical response of the ZnO/Hg(II)-IIP sensor towards mercury in solution at different concentrations. Sensors response has been recorded, via the characteristic peak current, for concentrations between 10−12 and 10−3 M (Figure 3A). Up to 10−6 M, the response exhibits a logarithmic behavior, while a power law is observed for higher concentrations. The sensors limit of detection (LOD) was estimated from the lower accessible concentration, instead of the usual signal to noise ratio. The obtained LOD of 1 pM is largely lower than the WHO maximum permissible limit in drinking water). The sensor’s sensitivity, estimated from the slope at the origin of current/concentration curves (Figure 3A), was of order of 7.17 ± 0.15 (μA/M). In addition to these interesting metrological features, we also tested the selectivity of the realized sensor. This has been done with lead, cadmium and copper ions. Results presented in Figure 3B indicates that the developed sensor is selective to Hg ions, as the mercury peak current (around the characteristic potential) is largely superior to those corresponding to the other ions.
Figure 3.
(A): Follow up of pic currents variations (determined from SWV measurements) versus Hg2+ concentration; (B): Selectivity tests: SWV curves of ZnO/Hg(II)-IIP electrodes incubated in 10−4 M solutions of either mercury, cadmium, lead or copper ions for 20 min.
References
- Pacyna, E.G.; Pacyna, J.M. Global emission of mercury from anthropogenic sources in 1995. Water Air Soil Pollut. 2002, 137, 149–165. [Google Scholar] [CrossRef]
- Hande, P.E.; Samui, A.B.; Kulkarni, P.S. Selective nanomolar detection of mercury using coumarin based fluorescent Hg(II)—Ion imprinted polymer. Sens. Actuators B Chem. 2017, 246, 597–605. [Google Scholar] [CrossRef]
- D’Ltri, P.; D’Ltri, F. Mercury contamination: A human tragedy. Environ. Manag. 1978, 2, 3–16. [Google Scholar] [CrossRef]
- Tchounwou, P.B.; Ayensu, W.K.; Ninashvili, N.; Sutton, D. Review: Environmental exposure to mercury and its toxicopathologic implications for public health. Environ. Toxicol. 2003, 18, 149–175. [Google Scholar] [CrossRef] [PubMed]
- Chen, G.; Guo, Z.; Zeng, G.; Tang, L. Fluorescent and colorimetric sensors for environmental mercury detection. Analyst 2015, 140, 5400–5443. [Google Scholar] [CrossRef] [PubMed]
- Martín-Yerga, D.; González-García, M.B.; Costa-García, A. Electrochemical determination of mercury: A review. Talanta 2013, 116, 1091–1104. [Google Scholar] [CrossRef] [PubMed]
- Li, Z.-C.; Fan, H.-T.; Zhang, Y.; Chen, M.-X.; Yu, Z.-Y.; Cao, X.-Q.; Sun, T. Cd(II)-imprinted polymer sorbents prepared by combination of surface imprinting technique with hydrothermal assisted sol-gel process for selective removal of cadmium(II) from aqueous solution. Chem. Eng. J. 2011, 171, 703–710. [Google Scholar] [CrossRef]
- Mekki, A.; Ait-Touchente, Z.; Samanta, S.; Singh, A.; Mahmoud, R.; Chehimi, M.M.; Aswal, D.K. Polyaniline-Wrapped ZnO Nanorod Composite Films on Diazonium-Modified Flexible Plastic Substrates. Macromol. Chem. Phys. 2016, 217, 1136–1148. [Google Scholar] [CrossRef]
Publisher’s Note: MDPI stays neutral with regard to jurisdictional claims in published maps and institutional affiliations. |
© 2018 by the authors. Licensee MDPI, Basel, Switzerland. This article is an open access article distributed under the terms and conditions of the Creative Commons Attribution (CC BY) license (https://creativecommons.org/licenses/by/4.0/).


