Groundwater Temperature Trend as a Proxy for Climate Variability †
Abstract
:1. Introduction
2. Materials and Methods
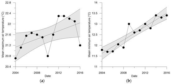
3. Results and Discussion
4. Conclusions
Author Contributions
Acknowledgments
Conflicts of Interest
References
- IPCC. Climate Change 2014 Impacts, Adaptation, and Vulnerability Part A: Global and Sectoral Aspects. In Working Group II Contribution to the Fifth Assessment Report of the Intergovernmental Panel on Climate Change; Field, C.B., Ed.; Cambridge University Press: Cambridge, UK, 2014; Volume 1. [Google Scholar]
- Candela, L.; Elorza, F.J.; Jiménez-Martínez, J.; von Igel, W. Global change and agricultural management options for groundwater sustainability. Comput. Electron. Agric. 2012, 86, 120–130. [Google Scholar] [CrossRef]
- Chaouche, K.; Neppel, L.; Dieulin, C.; Pujol, N.; Ladouche, B.; Martin, E.; Salas, D.; Caballero, Y. Analyses of precipitation, temperature and evapotranspiration in a French Mediterranean region in the context of climate change. Comptes Rendus Geosci. 2010, 342, 234–243. [Google Scholar] [CrossRef]
- Molina-Navarro, E.; Trolle, D.; Martínez-Pérez, S.; Sastre-Merlín, A.; Jepsen, E. Hydrological and water quality impact assessment of a Mediterranean limno-reservoir under climate change and land use change scenarios. J. Hydrol. 2014, 509, 354–366. [Google Scholar] [CrossRef]
- Dai, A. Increasing drought under global warming in observations and models. Nat. Clim. Chang. 2013, 3, 52–58. [Google Scholar] [CrossRef]
- Lionello, P. The Climate of the Mediterranean Region: From the Past to the Future; Elsevier: New York, NY, USA, 2012; 592p. [Google Scholar]
- Bates, B.; Kundzewicz, Z.W.; Wu, S.; Palutikof, J.P. Climate Change and Water, Intergovernmental Panel on Climate Change Secretariat; IPCC Secretariat: Geneva, Switzerland, 2008; 210p. [Google Scholar]
- Giorgi, F.; Im, E.-S.; Coppola, E.; Diffenbaugh, N.S.; Gao, X.J.; Mariotti, L.; Shi, Y. Higher hydroclimatic intensity with global warming. J. Clim. 2011, 24, 5309–5324. [Google Scholar] [CrossRef]
- Hirabayashi, Y.; Mahendran, R.; Koirala, S.; Konoshima, L.; Yamazaki, D.; Watanabe, S.; Kim, H.; Kanae, S. Global flood risk under climate change. Nat. Clim. Chang. 2013, 3, 816–821. [Google Scholar] [CrossRef]
- Garner, G.; Hannah, D.M.; Watts, G. Climate change and water in the UK: Recent scientific evidence for past and future change. Prog. Phys. Geogr. 2017, 41, 1–17. [Google Scholar] [CrossRef]
- Taylor, R.G.; Scanlon, B.; Döll, P.; Rodell, M.; Van Beek, R.; Wada, Y.; Longuevergne, L.; Leblanc, M.; Famiglietti, J.S.; Edmunds, M.; et al. Ground water and climate change. Nat. Clim. Chang. 2013, 3, 322–329. [Google Scholar] [CrossRef]
- Green, T.R.; Taniguchi, M.; Kooi, H.; Gurdak, J.J.; Allen, D.M.; Hiscock, K.M.; Treide, H.; Aureli, A. Beneath the surface of global change: Impacts of climate change on groundwater. J. Hydrol. 2011, 405, 532–560. [Google Scholar] [CrossRef]
- Jyrkama, M.I.; Sykes, J.F. The impact of climate change on spatially varying groundwater recharge in the grand river watershed (Ontario). J. Hydrol. 2007, 2007 338, 237–250. [Google Scholar] [CrossRef]
- Stuart, M.E.; Gooddy, D.C.; Bloomfield, J.P.; Williams, A.T. A review of the impact of climate change on future nitrate concentrations in groundwater of the UK. Sci. Total Environ. 2011, 409, 2859–2873. [Google Scholar] [CrossRef] [PubMed]
- Busico, G.; Kazakis, N.; Colombani, N.; Mastrocicco, M.; Voudouris, K.; Tedesco, D. A modified SINTACS method for groundwater vulnerability and pollution risk assessment in highly anthropized regions based on NO3− and SO42− concentrations. Sci. Total Environ. 2017, 609, 1512–1523. [Google Scholar] [CrossRef] [PubMed]
- ARPA Campania. Available online: http://www.arpacampania.it/web/guest/365 (accessed on 26 January 2018).
- Toreti, A.; Desiato, F.; Fioravanti, G.; Perconti, W. Seasonal temperatures over Italy and their relationship with low-frequency atmospheric circulation patterns. Clim. Chang. 2010, 99, 211–227. [Google Scholar] [CrossRef]
- Menberg, K.; Blum, P.; Kurylyk, B.L.; Bayer, P. Observed groundwater temperature response to recent climate change. Hydrol. Earth Syst. Sci. 2014, 18, 4453–4466. [Google Scholar] [CrossRef]
- Colombani, N.; Giambastiani, B.M.S.; Mastrocicco, M. Use of shallow groundwater temperature profiles to infer climate and land use change: Interpretation and measurement challenges. Hydrol. Process 2016, 30, 2512–2524. [Google Scholar] [CrossRef]



| Air Temperature | Annual Increment (°C) | R2 (-) |
|---|---|---|
| Annual mean maximum temperature | 0.076 | 0.305 |
| Annual mean minimum temperature | 0.157 | 0.867 |
| Annual mean average temperature | 0.116 | 0.778 |
| Groundwater Temperature | Annual Increment (°C) | R2 (-) |
|---|---|---|
| Annual mean maximum temperature | 0.134 | 0.510 |
| Annual mean minimum temperature | 0.166 | 0.876 |
| Annual mean average temperature | 0.131 | 0.787 |
| T av GW | T Min GW | T Max GW | T Min Air | T Max Air | T Med Air | |
|---|---|---|---|---|---|---|
| T av GW | 1.00 | |||||
| T min GW | 0.85 | 1.00 | ||||
| T max GW | 0.73 | 0.74 | 1.00 | |||
| T min Air | 0.83 | 0.87 | 0.73 | 1.00 | ||
| T max Air | 0.27 | 0.48 | 0.17 | 0.43 | 1.00 | |
| T med Air | 0.68 | 0.81 | 0.56 | 0.87 | 0.81 | 1.00 |
Publisher’s Note: MDPI stays neutral with regard to jurisdictional claims in published maps and institutional affiliations. |
© 2018 by the authors. Licensee MDPI, Basel, Switzerland. This article is an open access article distributed under the terms and conditions of the Creative Commons Attribution (CC BY) license (https://creativecommons.org/licenses/by/4.0/).
Share and Cite
Mastrocicco, M.; Busico, G.; Colombani, N. Groundwater Temperature Trend as a Proxy for Climate Variability. Proceedings 2018, 2, 630. https://doi.org/10.3390/proceedings2110630
Mastrocicco M, Busico G, Colombani N. Groundwater Temperature Trend as a Proxy for Climate Variability. Proceedings. 2018; 2(11):630. https://doi.org/10.3390/proceedings2110630
Chicago/Turabian StyleMastrocicco, Micòl, Gianluigi Busico, and Nicolò Colombani. 2018. "Groundwater Temperature Trend as a Proxy for Climate Variability" Proceedings 2, no. 11: 630. https://doi.org/10.3390/proceedings2110630
APA StyleMastrocicco, M., Busico, G., & Colombani, N. (2018). Groundwater Temperature Trend as a Proxy for Climate Variability. Proceedings, 2(11), 630. https://doi.org/10.3390/proceedings2110630
