Centrality Dependence of Deuteron Production in PbPb Collisions at 2.76 TeV via Hydrodynamics and Hadronic Afterburner †
Abstract
:1. Introduction and Methodology
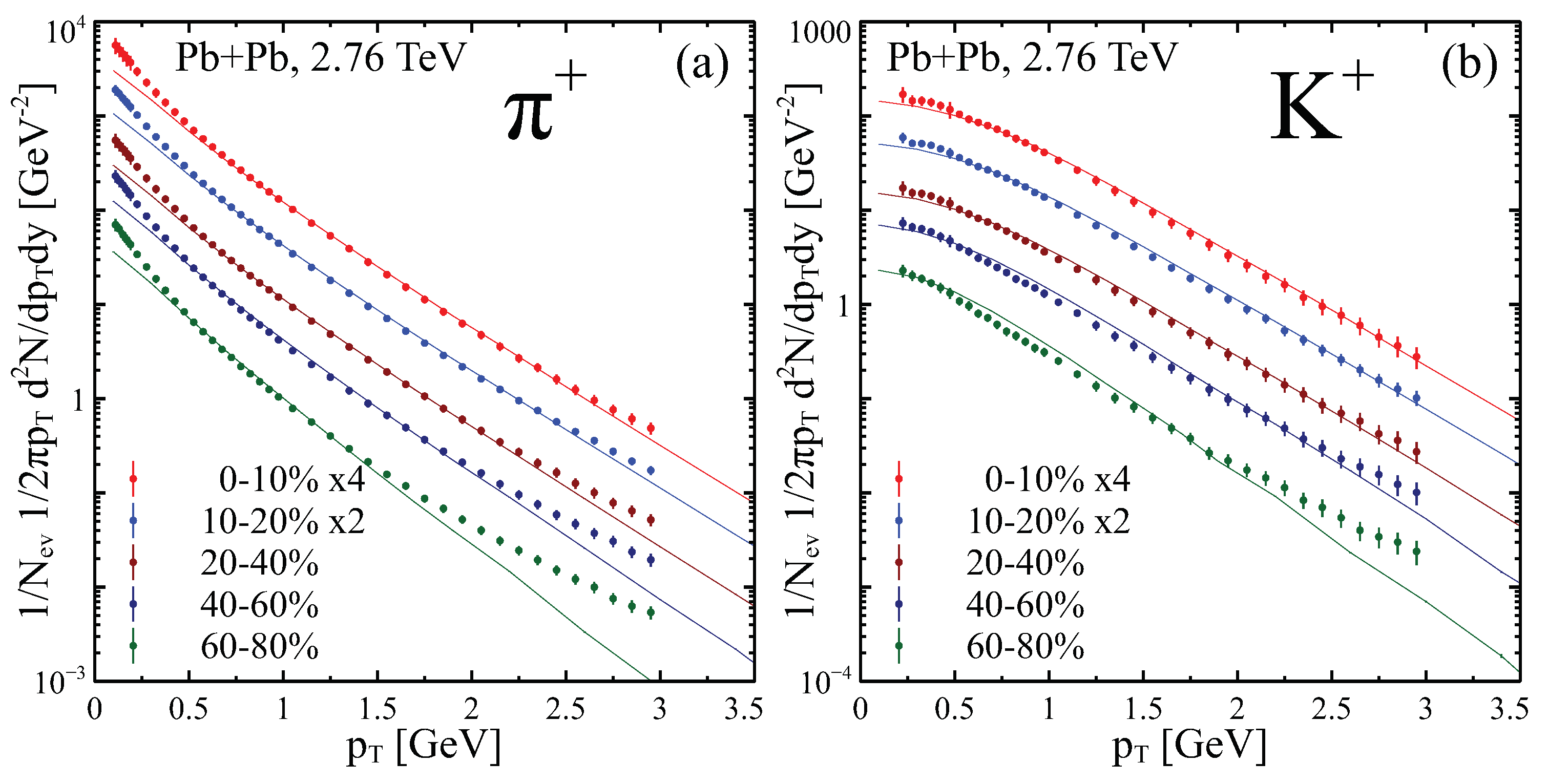
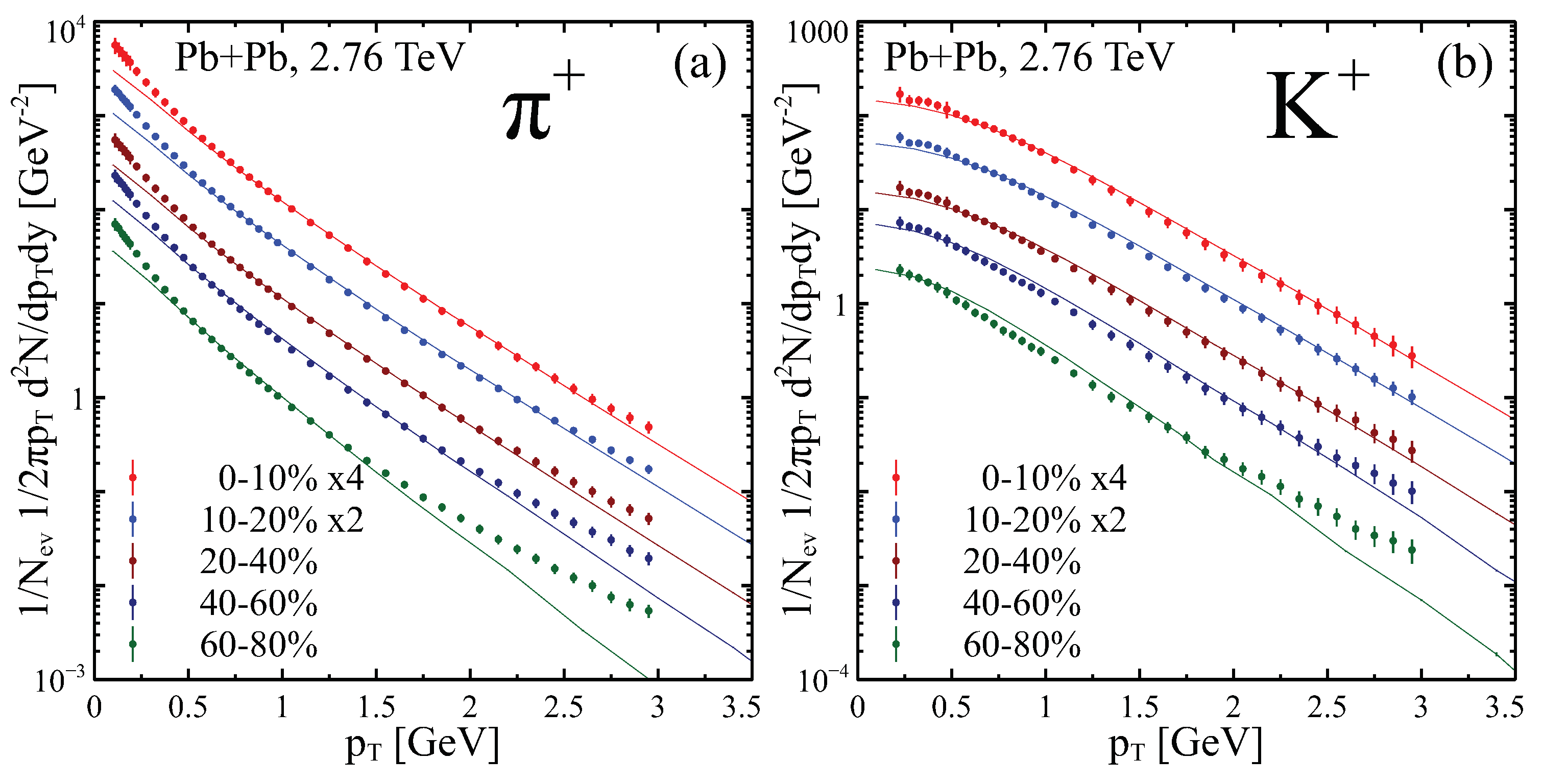
2. Results
Funding
Acknowledgments
Conflicts of Interest
References
- Adam, J.; et al. [ALICE Collaboration]. Production of light nuclei and anti-nuclei in pp and Pb-Pb collisions at energies available at the CERN Large Hadron Collider. Phys. Rev. C 2016, 93, 024917. [CrossRef]
- Andronic, A.; Braun-Munzinger, P.; Stachel, J.; Stocker, H. Production of light nuclei, hypernuclei and their antiparticles in relativistic nuclear collisions. Phys. Lett. B 2011, 697, 203. [Google Scholar] [CrossRef]
- Scheibl, R.; Heinz, U.W. Coalescence and flow in ultrarelativistic heavy ion collisions. Phys. Rev. C 1999, 59, 1585. [Google Scholar] [CrossRef]
- Oliinychenko, D.; Pang, L.G.; Elfner, H.; Koch, V. Deuterons at LHC: “snowballs in hell” via hydrodynamics and hadronic afterburner. arXiv 2018, arXiv:1809.03071. [Google Scholar]
- Bernhard, J.E.; Moreland, J.S.; Bass, S.A.; Liu, J.; Heinz, U. Applying Bayesian parameter estimation to relativistic heavy-ion collisions: simultaneous characterization of the initial state and quark-gluon plasma medium. Phys. Rev. C 2016, 94, 024907. [Google Scholar] [CrossRef]
- Schenke, B.; Tribedy, P.; Venugopalan, R. Fluctuating Glasma initial conditions and flow in heavy ion collisions. Phys. Rev. Lett. 2012, 108, 252301. [Google Scholar] [CrossRef] [PubMed]
- Pang, L.G.; Petersen, H.; Wang, X.N. Pseudorapidity distribution and decorrelation of anisotropic flow within the open-computing-language implementation CLVisc hydrodynamics. Phys. Rev. C 2018, 97, 064918. [Google Scholar] [CrossRef]
- Borsanyi, S.; Endrodi, G.; Fodor, Z.; Katz, S.D.; Szabo, K.K. Precision SU(3) lattice thermodynamics for a large temperature range. JHEP 2012, 1207, 056. [Google Scholar] [CrossRef]
- Cooper, F.; Frye, G. Comment on the Single Particle Distribution in the Hydrodynamic and Statistical Thermodynamic Models of Multiparticle Production. Phys. Rev. D 1974, 10, 186. [Google Scholar] [CrossRef]
- Weil, J.; Steinberg, V.; Staudenmaier, J.; Pang, L.G.; Oliinychenko, D.; Mohs, J.; Kretz, M.; Kehrenberg, T.; Goldschmidt, A.; Bäuchle, B.; et al. Particle production and equilibrium properties within a new hadron transport approach for heavy-ion collisions. Phys. Rev. C 2016, 94, 054905. [Google Scholar] [CrossRef]
- B. Abelev et al. [ALICE Collaboration], Phys. Rev. C 88, 044910 (2013). [arXiv:1303.0737 [hep-ex]]. [CrossRef]
- Sun, K.J.; Chen, L.W.; Ko, C.M.; Pu, J.; Xu, Z. Light nuclei production as a probe of the QCD phase diagram. Phys. Lett. B 2018, 781, 499. [Google Scholar] [CrossRef]



© 2019 by the authors. Licensee MDPI, Basel, Switzerland. This article is an open access article distributed under the terms and conditions of the Creative Commons Attribution (CC BY) license (http://creativecommons.org/licenses/by/4.0/).
Share and Cite
Oliinychenko, D.; Pang, L.-G.; Elfner, H.; Koch, V. Centrality Dependence of Deuteron Production in PbPb Collisions at 2.76 TeV via Hydrodynamics and Hadronic Afterburner. Proceedings 2019, 10, 6. https://doi.org/10.3390/proceedings2019010006
Oliinychenko D, Pang L-G, Elfner H, Koch V. Centrality Dependence of Deuteron Production in PbPb Collisions at 2.76 TeV via Hydrodynamics and Hadronic Afterburner. Proceedings. 2019; 10(1):6. https://doi.org/10.3390/proceedings2019010006
Chicago/Turabian StyleOliinychenko, Dmytro, Long-Gang Pang, Hannah Elfner, and Volker Koch. 2019. "Centrality Dependence of Deuteron Production in PbPb Collisions at 2.76 TeV via Hydrodynamics and Hadronic Afterburner" Proceedings 10, no. 1: 6. https://doi.org/10.3390/proceedings2019010006
APA StyleOliinychenko, D., Pang, L.-G., Elfner, H., & Koch, V. (2019). Centrality Dependence of Deuteron Production in PbPb Collisions at 2.76 TeV via Hydrodynamics and Hadronic Afterburner. Proceedings, 10(1), 6. https://doi.org/10.3390/proceedings2019010006

