Development of All-Around SiO2/Al2O3 Gate, Suspended Silicon Nanowire Chemical Field Effect Transistors Si-nw-ChemFET †
Abstract
1. Introduction
2. Device Fabrication
3. Device Characterizations
3.1. Si-nw-MOSFET Characterizations
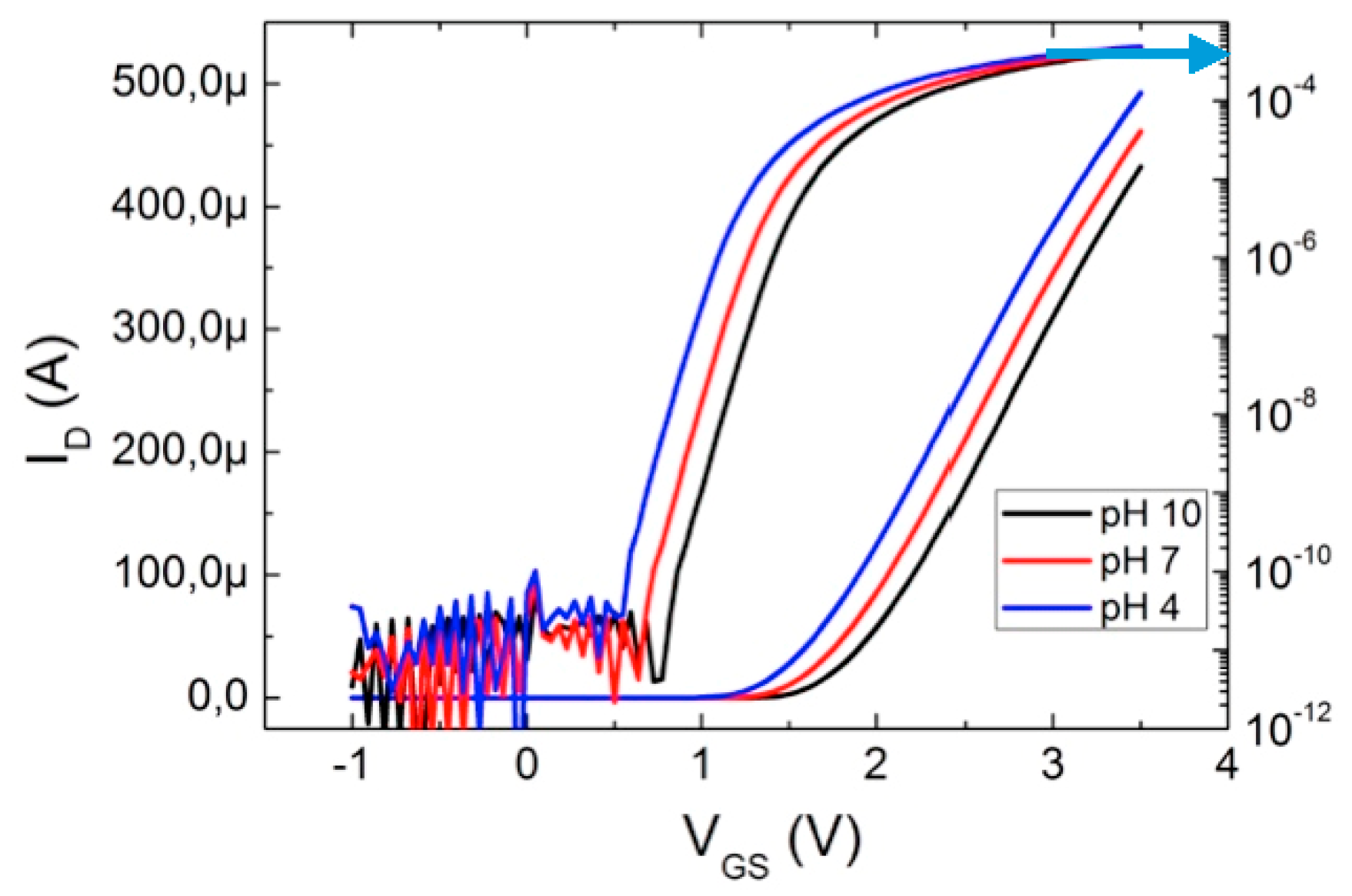
3.2. Si-nw-ChemFET Characterizations
4. Discussion
5. Conclusions
Acknowledgments
Conflicts of Interest
References
- Bergveld, P. Development of an ion-sensitive solid-state device for neurophysiological measurements. IEEE Trans. Biomed. Eng. 1970, BME-17, 70–71. [Google Scholar] [CrossRef] [PubMed]
- Fromherz, P. Joining microelectronics and microionics: Nerve cells and brain tissue on semiconductor chips. Solid-State Electron. 2008, 52, 1364–1373. [Google Scholar] [CrossRef]
- Knopfmacher, O.; Keller, D.; Calame, M.; Schönenberger, C. Dual Gated Silicon Nanowire Field Effect Transistors. Procedia Chem. 2009, 1, 678–681. [Google Scholar] [CrossRef][Green Version]
- Duan, X.; Gao, R.; Xie, P.; Cohen-Karni, T.; Qing, Q.; Choe, H.S. Tian, B.; Jiang, X.; Lieber, C.M. Intracellular recordings of action potentials by an extracellular nanoscale field-effect transistor. Nat. Nanotechnol. 2012, 7, 174–179. [Google Scholar]
- Elam, J.; Routkevitch, D.; Mardilovich, P.P.; George, S.M. Conformal Coating on Ultrahigh-Aspect-Ratio Nanopores of Anodic Alumina by Atomic Layer Deposition. Chem. Mater. 2003, 18, 3507–3517. [Google Scholar] [CrossRef]
- Matsuo, T.; Esashi, M. Methods of isfet fabrication. Sens. Actuators 1981, 1, 77–96. [Google Scholar] [CrossRef]
- Larramendy, F.; Bendali, A.; Blatche; Blatché, M.C.; Mathieu, F.; Picaud, S.; Temple-Boyer, P.; Nicu, L. MISFET-based biosensing interface for neurons guided growth and neuronal electrical activities recording. Sens. Actuators B Chem. 2014, 203, 375–381. [Google Scholar] [CrossRef]
- Fromherz, P. Electrical Interfacing of Nerve Cells and Semiconductor Chips. Chemphyschem 2002, 3, 276–284. [Google Scholar] [CrossRef]







© 2017 by the authors. Licensee MDPI, Basel, Switzerland. This article is an open access article distributed under the terms and conditions of the Creative Commons Attribution (CC BY) license (https://creativecommons.org/licenses/by/4.0/).
Share and Cite
Lale, A.; Grappin, A.; Mazenq, L.; Bourrier, D.; Lecestre, A.; Launay, J.; Temple-Boyer, P. Development of All-Around SiO2/Al2O3 Gate, Suspended Silicon Nanowire Chemical Field Effect Transistors Si-nw-ChemFET. Proceedings 2017, 1, 419. https://doi.org/10.3390/proceedings1040419
Lale A, Grappin A, Mazenq L, Bourrier D, Lecestre A, Launay J, Temple-Boyer P. Development of All-Around SiO2/Al2O3 Gate, Suspended Silicon Nanowire Chemical Field Effect Transistors Si-nw-ChemFET. Proceedings. 2017; 1(4):419. https://doi.org/10.3390/proceedings1040419
Chicago/Turabian StyleLale, Ahmet, Auriane Grappin, Laurent Mazenq, David Bourrier, Aurélie Lecestre, Jérôme Launay, and Pierre Temple-Boyer. 2017. "Development of All-Around SiO2/Al2O3 Gate, Suspended Silicon Nanowire Chemical Field Effect Transistors Si-nw-ChemFET" Proceedings 1, no. 4: 419. https://doi.org/10.3390/proceedings1040419
APA StyleLale, A., Grappin, A., Mazenq, L., Bourrier, D., Lecestre, A., Launay, J., & Temple-Boyer, P. (2017). Development of All-Around SiO2/Al2O3 Gate, Suspended Silicon Nanowire Chemical Field Effect Transistors Si-nw-ChemFET. Proceedings, 1(4), 419. https://doi.org/10.3390/proceedings1040419
