Previous Article in Journal
Olive Tree (Olea europaea) Biochar Differentially Affects N2O and CO2 Emissions in Neutral and Alkaline Olive Orchard Soils
Previous Article in Special Issue
Optimizing Nitrogen Management Across Sowing Methods and Water Regimes for Wheat Production on the Loess Plateau
 
 
Font Type:
Arial Georgia Verdana
Font Size:
Aa Aa Aa
Line Spacing:
Column Width:
Background:
Article

Maize Yield and Nutrient Cycling in Degraded Pasture via Intercropping and Nitrogen Management During the Dry Season

by
Karina Batista
1,*,
Mayne Barboza Sarti
1,
Laíze Aparecida Ferreira Vilela
2,
Luciana Gerdes
1,
Cristina Maria Pacheco Barbosa
1 and
Gabriela Aferri
1
1
Instituto de Zootecnia—IZ, Agência Paulista de Tecnologia dos Agronegócios—APTA, 56 Heitor Penteado St., Centro, Nova Odessa 13380-011, SP, Brazil
2
Centro de Ciências da Natureza, Universidade Federal de São Carlos, Rodovia Lauri Simões de Barros, Km 12–SP-189, Bairro Aracaçú, Buri 18290-000, SP, Brazil
*
Author to whom correspondence should be addressed.
Nitrogen 2026, 7(2), 36; https://doi.org/10.3390/nitrogen7020036
Submission received: 30 January 2026 / Revised: 14 March 2026 / Accepted: 20 March 2026 / Published: 24 March 2026
(This article belongs to the Special Issue Nitrogen Management in Plant Cultivation)

Abstract

Maize–tropical grass intercropping has been adopted during the dry season as a strategy for soil cover; however, a knowledge gap remains regarding adequate nitrogen (N) supply and the efficiency of this system in degraded pasture areas. The objective of this study was to evaluate dry biomass, grain yield, and macronutrient concentrations in maize–tropical grass intercropping as a function of N rates applied as side-dressing in the dry season. The experimental design consisted of a randomized complete block design in a split-plot arrangement with four replications. Main plots comprised maize monoculture, maize intercropped with Urochloa ruziziensis (Congo grass), and maize intercropped with Megathyrsus maximus cv. Aruana (Aruana Guinea grass). Subplots consisted of N rates (0, 50, 100, and 150 kg ha−1). Maize–Aruana intercropping showed a positive linear response to N rates for grain yield; specifically, the nitrogen rate of 150 kg ha−1 resulted in a 71.71% increase in grain yield compared to the lack of nitrogen supply. Conversely, maize monoculture showed a negative linear response, where the highest N rate (150 kg ha−1) resulted in a 68.83% reduction in grain yield compared to the lack of nitrogen supply. Despite yield potential being capped by seasonal water deficits and frost events, the intercropping systems maintained essential growth dynamics. Aruana grass provided a protective effect for maize development under stress. The findings demonstrate that N side-dressing in the maize–Aruana intercropping system in a minimum of 71.83 kg ha−1 is an adequate strategy to enhance grain yield and biomass production.

Graphical Abstract

1. Introduction

Grasslands provide ecosystem services, including the regulation and storage of water flows, nutrient cycling, and carbon sequestration [1]. However, the excessive use of the same pasture area with high animal density and without nutrient reposition in the soil has promoted the expansion of degraded pasture areas in many places around the world, which have not recovered naturally [2]. Brazil maintains the largest commercial cattle herd in the world, with pastures covering approximately 177 million hectares; of this area, 41% shows moderate signs of degradation, while 21% is severely degraded [3].
From an agricultural perspective, double-cropping systems involving two cash crops in a single agricultural year have gained popularity among farmers due to their potential for short-term profitability [4]. However, the widespread adoption of soybean and maize monocultures has resulted in low crop diversity and greater uniformity of agricultural landscapes, making cropping systems less efficient and sustainable [5]. Thus, there is a necessity to adopt recovery practices in grassland and grain cropping areas to decrease or mitigate environmental damage [6] and promote diversification in production systems so that the cycle of intensification can be broken.
Diversification practices, such as intercropping systems, have been shown to increase the production and stability of cropping systems with reduced environmental impacts. In practice, the intercropping system is the simultaneous growth of two or more crops on the same land [7]. A strategy developed to increase the diversity of plant species in the grain crop, recover degraded pasture, and produce straw involves the use of tropical grasses during the dry season intercropped with maize [8].
Brazil’s total maize cultivation spans approximately 22.7 million hectares. The second crop (dry season) accounts for 18.1 million hectares, representing nearly 80% of the country’s total maize output [9]. Dry season maize intercropped with tropical grass can raise the amount of crop residue and improve nutrient cycling, favoring the soybean crop [9]. Among the species studied in this intercropping system, the genera Urochloa and Megathyrsus showed large amounts of dry biomass [10]. However, maize grown in the dry season after harvesting the summer crop develops under conditions of high climate variability with restrictions on rainfall, air temperature, and solar radiation [11]. These restrictions promote reduced soil moisture, which can lead to decreased root expansion and metabolic activity, reducing the capacity of plants to uptake the essential nutrients.
Adopting optimal N management can provide greater soil cover and synchronize the nutrient supply during the period of greatest crop demand in agroecosystems [12]. Tropical grasses and maize are N-demanding plants, and their low availability in the soil can result in variations in the dry biomass, mineral composition, and grain yield of these plants [13]. Furthermore, as noted by these authors, crop residue decomposition is slower in the no-tillage system, especially in the high biomass production system.
Low N supply in maize crop stimulates the mineralization of soil organic N and subsequent carbon loss, leading to soil degradation as the soil C/N ratio remains nearly constant. In maize monocultures, a significant portion of N fertilizer is lost to the environment. Although intercropping maize with tropical grasses can reduce N leaching, it may also induce temporary N deficiency [14]. However, this system promotes long-term nutrient cycling; according to [15], more than 60% of the nitrogen supplied remains within the system, partitioned between tropical grass biomass, maize residues, and the soil.
While maize–grass intercropping has been proposed to enhance biomass production and nutrient cycling [6,7,8], current evidence is largely derived from systems established under relatively favorable edaphoclimatic conditions [4,9]. There remains a critical gap in understanding how nitrogen side-dressing interacts with species-specific competitive dynamics in degraded pasture areas subjected to dry season climatic stress. In such environments, low soil fertility and water limitation may substantially alter nitrogen use and nutrient partitioning patterns [10,11,12]. Although the productivity of Urochloa and Megathyrsus species has been documented [8,13], direct comparisons of these grasses under identical nitrogen gradients in degraded pasture contexts remain limited. By investigating these interactions across two consecutive dry season crops, this study provides new insights into nitrogen-mediated resilience and nutrient cycling in restoration-oriented production systems.
In this context, we hypothesized that species-specific interactions and N fertilization would result in distinct responses, determining the effectiveness of the intercropping system in mitigating dry-season constraints and enhancing nutrient cycling in degraded pasture areas. Thus, the objective of this study was to evaluate the dry biomass, grain yield, and macronutrient concentrations in maize–tropical grass intercropping as a function of the N rates applied as side-dressing in the dry season in a degraded pasture area.

2. Materials and Methods

2.1. Experimental Characterization

The experiment was carried out in an area of degraded pasture in Southeastern Brazil (22°42′ S, 47°18′ W, and 570 m altitude) with soybean in summer and maize in autumn–winter (dry season). Here, maize was cultivated from March to September 2020 (first crop) and March to September 2021 (second crop). According to the Köppen classification, the local climate is Aw with rains in the summer and drought in the winter [16]. Temperature and precipitation data during the experimental period are shown in Figure 1. No irrigation was applied throughout the experimental period.
The soil is Red Yellow Argisol–Ultisol [17,18]. Prior to planting, soil samples were collected from the 0–20 cm depth layer using a Dutch auger (Sondaterra®, Piracicaba, SP, Brazil) for chemical characterization according to the methodology described by [19]. Chemical analyses revealed the following: pH (CaCl2 procedure) = 4.7; organic matter content = 30 g dm−3; phosphorus (resin procedure) = 4 mg dm−3; potassium (resin procedure) = 1.5 mmol dm−3; calcium (resin procedure) = 10.0 mmol dm−3; magnesium (resin procedure) = 7.0 mmol dm−3; potential acidity (H + Al, SMP buffer solution method) = 47 mmol dm−3; sulphate = 9.0 mg dm−3; sum of extractable bases = 19.0 mmol dm−3; cation exchange capacity = 66.00 mmolc dm−3; base saturation = 28%; clay = 239 g kg−1; silt = 91 g kg−1; total sand = 670 g kg−1; coarse sand = 120 g kg−1; and fine sand = 550 g kg−1. Soil preparation was carried out before planting the first summer crop. For liming, 2 t ha−1 of dolomitic limestone was used, and 400 kg ha−1 of simple superphosphate was applied, as recommended by [20]. Limestone was distributed in rows and its incorporation was carried out with a disc plough. The simple superphosphate was applied in rows 30 days after liming, and its incorporation was carried with a disc plough.

2.2. Treatments and Experimental Design

The experiment was conducted using a randomized complete block design in a split-plot arrangement with four replications. The main plots consisted of three cropping systems: (1) maize monoculture; (2) maize intercropped with Congo grass; and (3) maize intercropped with Aruana Guinea grass. The subplots comprised four N rates (0, 50, 100, and 150 kg ha−1), which were applied manually as ammonium nitrate side-dressing along the maize and grass rows when the maize plants were at the stage of 5–6 fully expanded leaves (V5–V6).

2.3. Experimental Development

A no-tillage seed drill, specialized for small-plot research, equipped with separate boxes for the distribution of large and small seeds, was used to plant maize and grass simultaneously specialized small-plot research. The maize cultivar ‘AG8061PRO2’ (VTPRO2, Bayer Crop Science, São Paulo, SP, Brazil) was sown with approximately five seeds per linear meter. This hybrid was developed for stalk strength and root health to withstand the water stress typical of the Brazilian second crop, and it received no irrigation. The grass seeds had a 60% cultural value, and the seeding density was approximately 6 kg ha−1, corresponding to 3.6 kg ha−1 of pure live seed. Fertilization of maize at planting involved application of 30 kg ha−1 of N, 21.8 kg ha−1 of P, and 33.2 kg ha−1 K [20]. Grass rows were not fertilized at planting. The experimental plots consisted of four maize rows, each 20 m in length, with a total plot width of 3.60 m, resulting in a total area of 72 m2 (Figure 2). Plots were separated by a zone of one meter. Grass desiccation, 30 days before each planting of the summer crop, was performed using glyphosate herbicide (1.440 kg ha−1 active ingredient; Roundup Original DI, Bayer Crop Science, São Paulo, SP, Brazil) with a carrier volume of 300 L ha−1. The application was supplemented with a mineral oil adjuvant (Nimbus®, Syngenta, São Paulo, SP, Brazil) at a concentration of 0.5% v/v to improve spray efficiency. Applications were carried out in the morning (between 7:00 and 9:00 am). In addition, the cultural remains of the grasses were also cut with a brush cutter (KAMAQ—KD170, Araras, SP, Brazil).

2.4. Plant Height, Cob Height, and Grain Yield of Maize and Dry Biomass of the Intercropped Plants

Plant height, cob height, grain yield, and dry biomass of maize were measured at physiological maturity. Plant height was measured from the soil surface to the apex of the plant using a graduated ruler. Cob insertion height was similarly recorded from the ground level to the insertion point of the first ear. Both measurements were taken from five plants within two 5 m rows per experimental plot, and the resulting mean values were used for statistical analysis. The grain yield of maize was determined by collecting maize cobs of two 5 m rows from each experimental plot when the grains had a moisture content below 20%. The moisture was corrected to 13% in the grain yield calculation. Dry biomass of maize was determined by collecting one linear meter of the main row of maize from each experimental plot. After collection, the material was weighed, chopped, and dried in a forced air circulation oven at 65 °C until a constant weight was achieved to determine its dry biomass. The measure of the dry biomass of the grasses was determined at the physiological maturity stage of the maize and at the desiccation stage of the grasses before planting the summer crop. The dry grass biomass was evaluated by collecting one linear meter of grass between the second and third rows of maize in each experimental plot. After collection, the material was weighed and dried in a forced air circulation oven at 65 °C until a constant weight to determine its dry biomass.

2.5. Macronutrient Concentrations in Intercropped Plant Shoots

Macronutrient concentrations were analyzed in the dry biomass collected from one linear meter of the main row in each experimental plot, as described for the intercropped plants in Section 2.4. In maize shoots, macronutrient concentrations were evaluated at the physiological maturity stage. For the grasses, shoot concentrations were determined at the physiological maturity of maize and again at the desiccation stage prior to planting the summer crop. Concentrations of nitrogen (N), phosphorus (P), potassium (K), calcium (Ca), magnesium (Mg), and sulfur (S) were determined following the methods described by [21]. Nitrogen was determined using the semi-micro Kjeldahl method after H2SO4 digestion. For the remaining elements, nitric-perchloric digestion was utilized; subsequently, P was determined by colorimetry, K by flame photometry, Ca and Mg by atomic absorption spectrophotometry, and S by turbidimetry with barium chloride.

2.6. Statistical Analysis

The data were submitted to analysis of variance using the GLM procedure in SAS software–SAS/STAT®9.2 [22]. Prior to the analysis of variance, the data were tested for normality using the Shapiro–Wilk test and for homoscedasticity of variances using Levene’s test. To ensure the correct error structure for the split-plot design, the cropping system effects (main plots) were tested against the block × cropping system interaction (Error A). The significance level adopted for the analysis of variance was 5%. Interactions and main effects were studied. Significant interactions were determined according to the factors involved. The means of each cropping system within each N rate applied as side-dressing were compared using Tukey’s test. The effect of N rates applied as side-dressing within each cropping system was analyzed using regression analysis. When the interaction between the cropping system and N rate was not significant, each factor was studied in isolation. Regression equations and statistical parameters were derived from the full dataset (n = 16) to ensure statistical power, and each point in the figures represents treatment means (n = 4).

3. Results

3.1. Plant Height, Cob Height, and Grain Yield of Maize

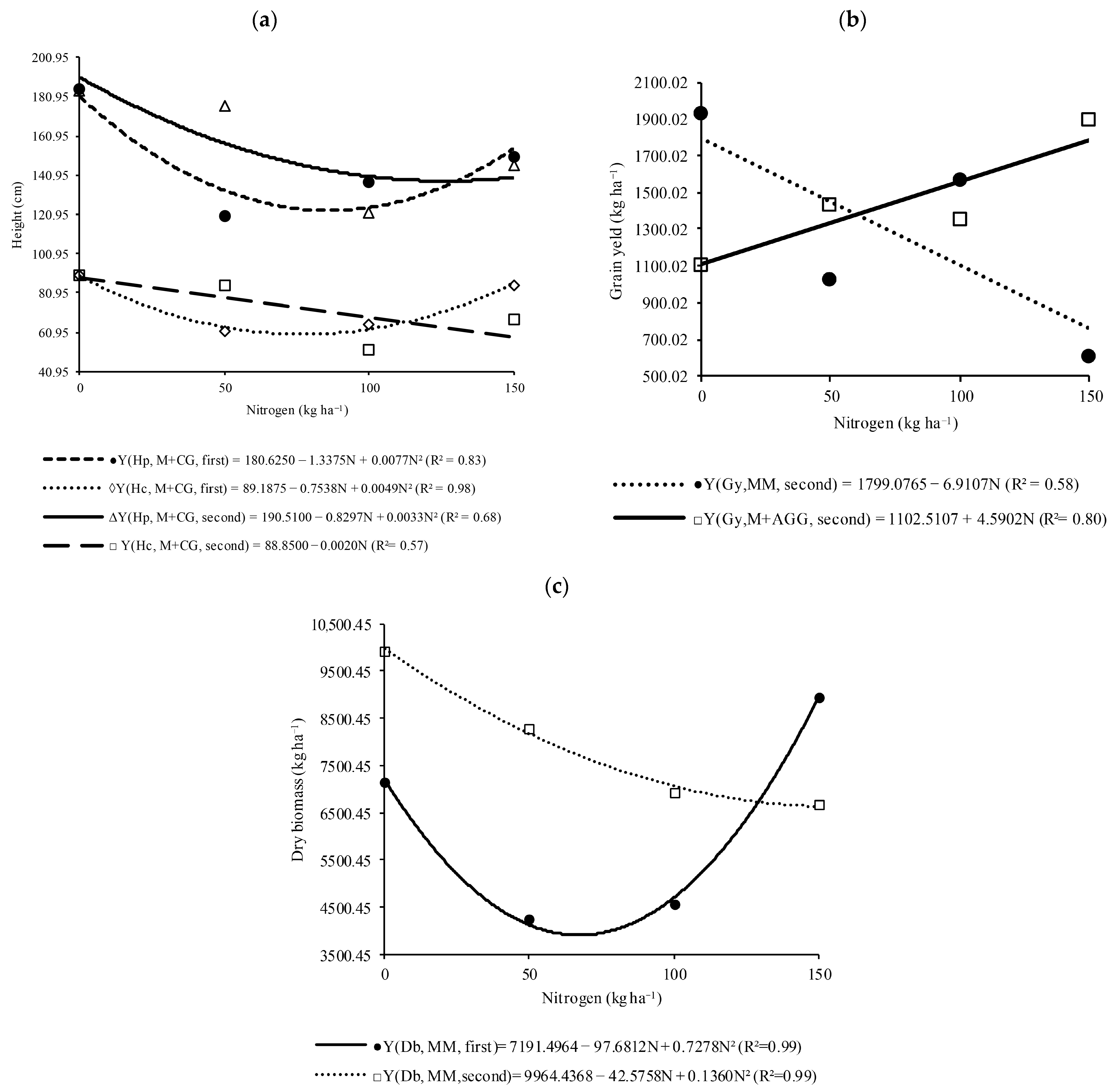
Plant height and cob height of maize in the first and second crops showed a significant interaction between maize intercropped with Congo grass and N rates applied as side-dressing (Table 1 and Table 2, Figure 3a). In the first crop, an estimated N rate of 86.85 kg ha−1 applied as side-dressing in maize intercropped with Congo grass was responsible for the lowest plant height of maize (122.54 cm) (Figure 3a). The smallest cob height (60.20 cm) in maize intercropped with Congo grass in the first crop was observed at an estimated N rate of 76.92 kg ha−1 (Figure 3a). In the second crop, the lowest plant height (138.36 cm) in maize intercropped with Congo grass occurred at an estimated N rate of 125.71 kg ha−1 (Figure 3a). The cob height of maize decreased linearly as the N rate increased in maize intercropped with Congo grass in the second crop (Figure 3a). Moreover, maize intercropped with Congo grass in the second crop showed a lower cob height at the 100 kg ha−1 N rate, which did not differ statistically from maize intercropped with Aruana Guinea grass (Table 2).
The maize grain yield responses differed between the first and second crops. In the first crop, the maize grain yield showed a significant interaction between cropping systems and the absence of N application as side-dressing (Table 1). Among the cropping systems, maize monoculture presented a higher grain yield, which did not differ significantly from maize intercropped with Congo grass (Table 1). The grain yield in the first crop was lower than expected, but during this period, the total precipitation was only 178.8 mm, with a mean temperature of 19.26 °C (Figure 1), which may explain the low maize grain yield. In the second crop, the maize grain yield showed a significant interaction between cropping systems and N rate applications as side-dressing (Table 2). The maize grain yield in monoculture decreased linearly as the N rates increased (Figure 3b). By contrast, grain yield increased linearly as the N rate increased in maize intercropped with Aruana Guinea grass (Figure 3b). Additionally, maize monoculture showed the lowest grain yield at the 50 and 150 kg ha−1 N rate while maize intercropped with Aruana Guinea grass showed its lowest grain yield at the 100 kg ha−1 N rate. Regardless of the cropping system or N rate applied as side-dressing, the maize grain yield was low in the second crop (Table 2). Nevertheless, as in the first crop, the climatic conditions in the period were unfavourable for maize, with a total precipitation from planting to physiological maturity of 185.88 mm, a mean temperature of 17.79 °C, and frost during maize grain fill (Figure 1).

3.2. Dry Biomass of Intercropped Plants

The dry maize biomass in the first and second crops showed a significant interaction between maize monoculture and the N rate applied as side-dressing (Table 1 and Table 2). In the first crop, the lowest dry maize biomass in monoculture (3913.90 kg ha−1) was observed at an estimated N rate of 67.11 kg ha−1 (Figure 3c). Inadequate climatic conditions for the development of the plants may have interfered in the response of the maize monoculture to the applied N rates (Figure 1). In the second crop, Figure 3c showed a quadratic reduction in the dry maize biomass in monoculture as the N rates increased, and an estimated N rate of 156.53 kg ha−1, which was outside the studied range, would be responsible for the lowest dry biomass of maize monoculture (6632.27 kg ha−1).
There was no significant interaction between the cropping system and the N rate applied as side-dressing for dry biomass of grasses intercropped with maize at the physiological maturity of maize in the first crop (Table 1). However, regardless of the N rate, Congo grass produced higher dry biomass than Aruana Guinea grass. At the time of grass desiccation in the first crop, Congo grass produced 51.74% more dry biomass than Aruana Guinea grass at the 150 kg ha−1 N rate (Table 1). Furthermore, regardless of the N rate, Congo grass dry biomass was 67.68% higher than Aruana Guinea grass (Table 1). In the second crop, grass dry biomass showed neither a significant interaction between the cropping system and N rate nor a main effect of N rate or cropping system at the maize physiological maturity or at the grass desiccation (Table 2).

3.3. Macronutrient Concentrations in Maize Shoots

In the second crop, a significant interaction between cropping system and N rate applied as side-dressing was observed for N, P, K, and Ca concentrations in the maize shoots (Table 3 and Table 4). In this crop, maize monoculture reached its maximum N concentration in its shoot (11.80 g kg−1) at an estimated N rate of 128.75 kg ha−1 (Table 4 and Figure 4a). While the highest N concentration (12.14 g kg−1) in the maize intercropped with Congo grass was observed at an estimated N rate of 138.10 kg ha−1 (Table 4 and Figure 4a). The P concentration in the maize shoots increased linearly as the N rate increased in the maize monoculture in the second crop (Figure 4b). In contrast, intercropped systems exhibited a quadratic response. The highest P concentration (1.35 g kg−1) in the shoots of maize intercropped with Aruana Guinea grass was observed at an estimated N rate of 97.0 kg ha−1 (Figure 4b). While the maximum P concentration (1.27 g kg−1) in the shoots of maize intercropped with Congo grass was observed at an estimated N rate of 100 kg ha−1 (Figure 4b). Moreover, in the absence of N applied as side-dressing, the highest P concentration occurred in maize monoculture shoots, which did not differ statistically from maize intercropped with Congo grass (Table 4). In the second crop, the K concentration showed a linear increase in the shoots of maize intercropped with Aruana Guinea grass as the N rate applied as side-dressing increased (Table 4 and Figure 4c). The highest Ca concentration (1.46 g kg−1) in the shoots of maize intercropped with Aruana Guinea grass was observed at an estimated N rate of 70.71 kg ha−1 (Table 4 and Figure 4c). In addition, maize shoots intercropped with Congo grass presented a high Ca concentration at the 150 kg ha−1 N rate, not differing from that of the maize monoculture (Table 4).
The Mg concentration in maize shoots showed a significant interaction between maize monoculture and the N rate applied as side-dressing in the first and second crops (Table 4). In the first crop, an estimated N rate of 70 kg ha−1 promoted the highest Mg concentration (1.93 g kg−1) in the shoots of the maize monoculture (Figure 4d). In the second crop, the highest Mg concentration (2.15 g kg−1) in the shoots of the maize monoculture occurred outside the studied range of N rates (162.5 kg ha−1) (Figure 4d).
The S concentration in the maize shoots showed a significant interaction between the cropping system and N rate applied as side-dressing only in the first crop (Table 3). Maize intercropped with Congo grass showed a high S concentration at the 100 kg ha−1 N rate, which did not differ statistically from the maize intercropped with Aruana Guinea grass (Table 3). In the second crop, the S concentration in maize shoots responded to the cropping system regardless of the N rate applied as side-dressing (Table 4). In this crop, maize intercropped with Aruana Guinea grass showed a higher S concentration in its shoot than maize intercropped with Congo grass (Table 4).

3.4. Macronutrient Concentrations in Grass Shoots

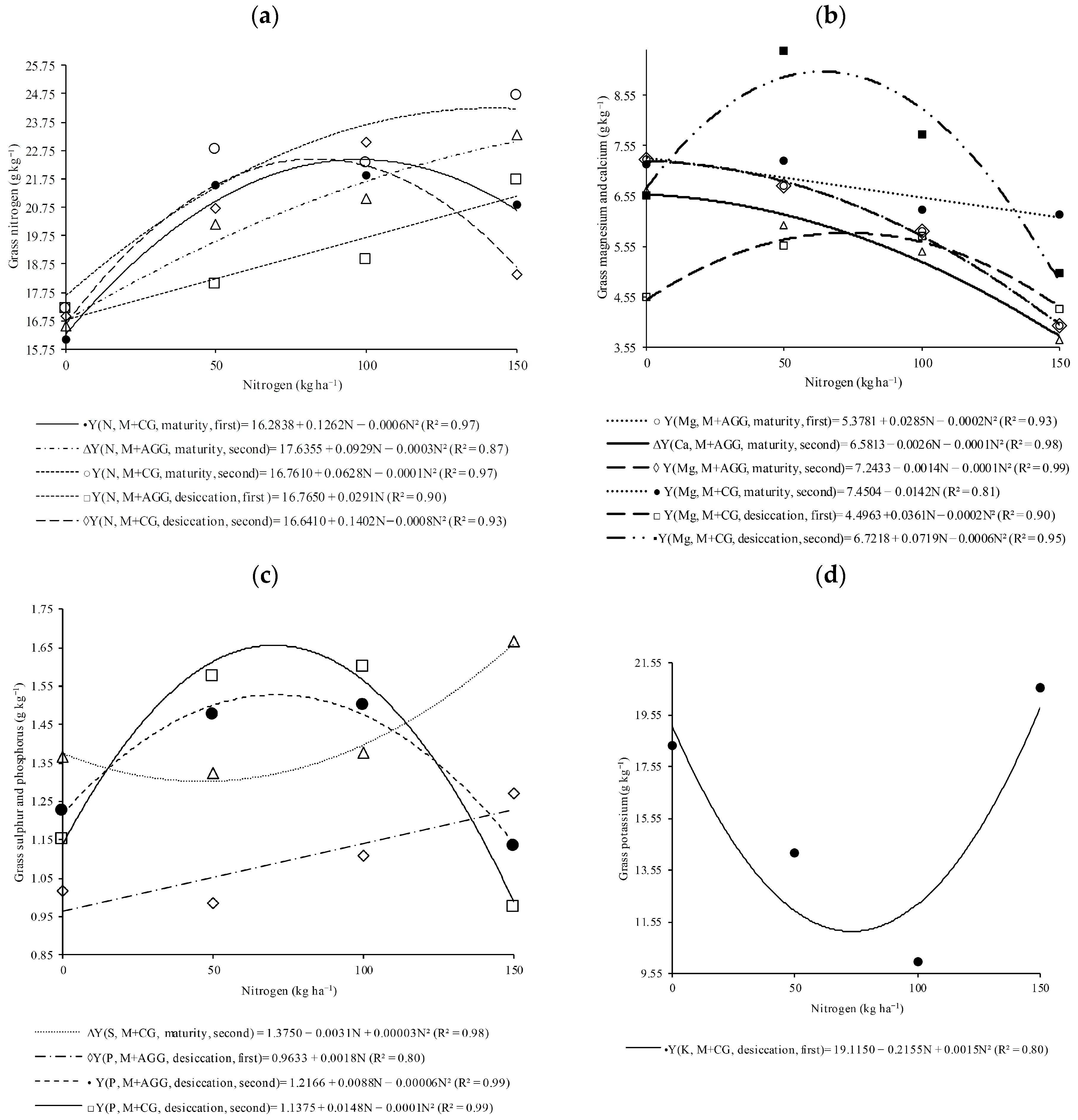
The N concentration in the grass shoots at the physiological maturity of maize showed a significant interaction between the cropping system and N rate applied as side-dressing in the first and second crops (Table 5 and Table 6). In the first crop, the highest N concentration (22.92 g kg−1) in the shoots of Congo grass intercropped with maize occurred at an estimated N rate of 105.17 kg ha−1, with concentrations declining beyond this point (Figure 4a). In addition, at the 100 kg ha−1 N rate, Congo grass intercropped with maize had the highest N concentration (Table 5). In the second crop, the highest N concentration (24.83 g kg−1) in the shoots of Aruana Guinea grass intercropped with maize was estimated outside the studied range of N rates (154.83 kg ha−1) (Figure 4a). Meanwhile, the highest N concentration (26.62 g kg−1) for Congo grass intercropped with maize occurred at an estimated N rate of 314.00 kg ha−1 (Figure 4a). However, theoretical maximum rates derived from the quadratic models should be viewed as physiological indicators of nitrogen demand rather than direct field recommendations.
The P concentration in the grass shoots at the physiological maturity of maize showed different responses to the interaction between the cropping system and N rate applied as side-dressing in the first and second crops (Table 5 and Table 6). In the first crop, regardless of the N rate applied, the Aruana Guinea grass intercropped with maize showed a higher P concentration (Table 5). In the second crop, Aruana Guinea grass again showed a higher P concentration at the 100 kg ha−1 N rate (Table 6).
The K concentration in the grass shoots at the physiological maturity of maize in the first and second crops did not show a significant interaction between the cropping system and N rate applied as side-dressing (Table 5 and Table 6). However, in the first crop, regardless of the N rate applied, the Aruana Guinea grass intercropped with maize showed a higher K concentration (Table 5).
The Ca concentration in the shoots of grasses intercropped with maize at the physiological maturity of maize in the first and second crops showed a significant interaction between the cropping system and the N rate applied as side-dressing (Table 5 and Table 6). In the first crop, at the 150 kg ha−1 N rate, a higher Ca concentration occurred in the Aruana Guinea grass intercropped with maize (Table 5). In the second crop, the Aruana Guinea grass showed the highest Ca concentration (6.53 g kg−1) at an estimated N rate of 13 kg ha−1 (Figure 4b). Furthermore, in the absence of N and at the 100 kg ha−1 N rate, the Aruana Guinea grass had a higher Ca concentration (Table 6).
The Mg concentration in the grass shoots at the physiological maturity of maize in the first and second crops showed a significant interaction between the cropping system and the N rate applied as side-dressing (Table 5 and Table 6). In the first crop, the highest Mg concentration (6.39 g kg−1) in the shoots of Aruana Guinea grass intercropped with maize was observed at an estimated N rate of 71.25 kg ha−1 (Figure 4b). In the second crop, the highest Mg concentration (7.23 g kg−1) in the shoots of Aruana Guinea grass intercropped with maize occurred at an estimated N rate of 7 kg ha−1 (Figure 4b). Furthermore, Congo grass intercropped with maize showed a linear decrease in the Mg concentration in the shoots as the N rate increased in the second crop (Figure 4b). In contrast, the Mg concentration in the shoots of Congo grass intercropped with maize at the 150 kg ha−1 N rate, was higher than Aruana Guinea grass (Table 6).
The S concentration in the grass shoots at the physiological maturity of maize in the first and second crops showed a significant interaction between the cropping system and N rate applied as side-dressing (Table 5 and Table 6). The shoots of Aruana Guinea grass intercropped with maize at the physiological maturity of maize in the first crop showed a high S concentration at an estimated N rate of 100 kg ha−1 (Table 5). At the physiological maturity of maize in the second crop, the lowest S concentration (1.29 g kg−1) in Congo grass shoots occurred at an estimated N rate of 51.7 kg ha−1 (Figure 5c).
The N concentration in the grass shoots at their desiccation showed a significant interaction between the cropping system and N rate applied as side-dressing in the first and second crops (Table 7 and Table 8). In the first crop, the N concentration linearly increased in the shoots of Aruana Guinea grass at its desiccation as the N rates applied as side-dressing increased (Figure 5a). In addition, at the 150 kg ha−1 N rate, Aruana Guinea grass intercropped with maize showed the highest N concentration. In the second crop, the N concentration showed a significant interaction between Congo grass intercropped with maize and the N rate applied as side-dressing, and the highest N concentration (22.78 g kg−1) in the shoots of Congo grass intercropped with maize occurred at an estimated N rate of 87.63 kg ha−1 (Figure 5a).
The P concentration in the grass shoots at their desiccation in the first crop did not show a significant interaction between the cropping system and N rate applied as side-dressing or an isolated effect of the cropping system or N rate (Table 7). However, in the second crop, the P concentration in the shoots of the grasses intercropped with maize at their desiccation showed a significant interaction between the cropping system and N rate applied as side-dressing (Table 8). The highest P concentration (1.54 g kg−1) in the shoots of Aruana Guinea grass intercropped with maize at its desiccation in the second crop occurred at an estimated N rate of 73.33 kg ha−1 (Figure 5c). For Congo grass intercropped with maize, an estimated N rate of 74 kg ha−1 resulted in the highest P concentration (1.69 g kg−1) (Figure 5c). Moreover, at the 150 kg ha−1 N rate, Aruana Guinea grass shoot intercropped with maize at its desiccation in the second crop had a higher P concentration than Congo grass (Table 8).
The K concentration in the grass shoots at their desiccation in the first and second crops showed a significant interaction between the cropping system and N rate applied as side-dressing (Table 7 and Table 8). The lowest K concentration (11.37 g kg−1) in the shoots of Congo grass intercropped with maize at its desiccation in the first crop occurred at an estimated N rate of 71.83 kg ha−1 (Figure 5d). In the second crop, at the 50 kg ha−1 N rate, the K concentration was higher in the shoots of Congo grass (Table 8).
The Ca concentration in the grass shoots at their desiccation in the first and second crops showed a significant interaction between the cropping system and N rate applied as side-dressing (Table 7 and Table 8). In the absence of N and at the 150 kg ha−1 N rate, the shoots of Aruana Guinea grass intercropped with maize showed the highest Ca concentration at its desiccation in the first crop (Table 7). In the second crop, the shoots of Aruana Guinea grass intercropped with maize showed the highest Ca concentration at its desiccation at the 100 and 150 kg ha−1 N rates (Table 8). The Mg concentration in the grass shoots at their desiccation in the first and second crops showed a significant interaction between the cropping system and N rate applied as side-dressing (Table 7 and Table 8). The highest Mg concentration (6.13 g kg−1) in the shoots of Congo grass intercropped with maize at its desiccation in the first crop occurred at an estimated N rate of 90.25 kg ha−1 (Figure 5b). In the second crop, the highest Mg concentration (8.88 g kg−1) in the shoots of Congo grass intercropped with maize occurred at an estimated N rate of 59.92 kg ha−1 (Figure 5b). Moreover, the shoots of Congo grass intercropped with maize at the 50 kg ha−1 N rate had a higher Mg concentration than Aruana Guinea grass in the second crop (Table 8).
The S concentration showed a significant interaction between the cropping system and N rate applied as side-dressing at grass desiccation only in the second crop (Table 8). The S concentration was highest in the shoots of Aruana Guinea grass intercropped with maize at its desiccation in the second crop at the 50 kg ha−1 N rate (Table 8).

4. Discussion

When maize was intercropped with Congo grass, the minimum maize heights varied with the N rate applied as side-dressing (Figure 3a), suggesting that N supply is a primary driver of crop development in intercropping systems [23]. Conversely, the observation that maize monoculture achieved its highest grain yield without N side-dressing in the first crop can be attributed to the restricted rainfall (178.8 mm; Figure 1). The uptake of water and N by maize is reduced under low precipitation; consequently, N availability to the plant is compromised, as N moves primarily via mass flow. Under such water-limited conditions, particularly after the V6 stage (six fully expanded leaves), the restriction of N uptake and aboveground biomass production appears to have limited the potential for grain number and mass [24], rendering additional N fertilization ineffective in that season. Similar to this study, Ref. [25] observed that when the amount of nitrogen application exceeds a certain value, the maize yield does not increase.
Precipitation in the second crop was higher than in the first crop, which may have influenced the responses of the maize monoculture and maize intercropped with Aruana Guinea grass to the N rate applied as side-dressing, despite the occurrence of frost during the grain-filling period (Figure 1). In general, maize yields in the current study were low across both growing seasons (Table 1). This was likely because drought conditions during the late vegetative growth period and the onset of silking (stigma–style exsertion) represent a critical window where limited soil moisture and nutrient availability directly reduce yield potential [26]. In contrast, Ref. [27] studying maize cropping system and N rates in summer season, observed higher grain yield (9.2, 8.8 and 9.7 Mg ha−1) for the maize monoculture, maize intercropped with palisade grass (Urochloa brizantha cv. Marandu) and maize intercropped with guinea grass (Megathyrsus maximum cv. Mombaça) at N rates of 113, 156 and 187 kg ha−1 N respectively. According to Ref. [28] changes in temperature and precipitation patterns affect biological and enzyme activity rates, which are essential for most soil N transformations. High crop growth rates, yield, and N uptake can be achieved by maintaining optimal soil moisture conditions.
The impact of climatic variables on grain yield in this study is evidenced by the alignment between rainfall patterns and crop performance (Figure 1 and Figure 2). When soil moisture becomes a limiting factor, the resulting water deficit restricts nutrient transport and biomass accumulation, ultimately capping the grain yield potential [29,30]. Furthermore, the extremely low temperatures recorded during the second crop (Figure 1) represent a significant thermal stress capable of damaging reproductive structures [26]. Notably, the presence of Aruana Guinea grass appeared to provide a protective effect for the maize plants during these periods of thermal stress (Figure 3b). Identifying these environmental interactions within intercropping systems is essential for optimizing nitrogen use efficiency, ensuring a positive nitrogen balance, and developing resilient sustainable production models.
The lowest dry biomass of maize in monoculture occurred at an estimated N rate of 67.11 kg ha−1 and 156.52 kg ha−1 (Figure 3c) at its physiological maturity in the first and second crops indicated that although solar radiation, temperature, and water availability were less favorable for maize growth during this period, its total suppression is not recommended [31]. According to Ref. [32], the lack of water reduced the dry biomass in all parts of the maize plant under different N rates. Ref. [13] observed that during the dry season, maize dry biomass at physiological maturity increased 1.8-fold when intercropped with Congo grass at an N rate of 90 kg ha−1 compared to the treatment without N. Similarly, the findings of Ref. [27] revealed that during the summer season, the dry biomass of the maize intercropping system using 200 kg ha−1 of side-dress N was the highest for the maize–palisade grass intercropping. Moreover, Ref. [33] emphasized that nitrogen fertilization is crucial for early maize growth, enabling rapid shading of the intercropped grass and minimizing interspecific competition.
The higher dry biomass of Congo grass compared to Aruana Guinea grass at the physiological maturity of maize and at its desiccation in the first crop (Table 1) suggests differences in the competitive capacity of these grasses for growth factors and interspecific interactions within the rhizosphere [34]. Similar to the results of this study, Ref. [9] also observed an increase in the dry biomass production of tropical grasses intercropped with maize in the dry season at the physiological maturity of maize and at its desiccation. These results suggest that the use of these plants could contribute to animal feed and soil protection in the dry season. Ref. [35] highlighted that Congo grass had the capacity to accumulate a large amount of biomass, maintaining the soil covered in the off-season, which is interesting, as the biomass maintains the soil moisture, enabling soybean growth in succession, especially in crops with prolonged water stress or irregular rainfall distribution.
The lack of response of grass dry biomass in the second crop (Table 2) can be associated with the stress conditions that occurred during this period. When plants are subjected to stress, their stability is disrupted, including the alteration of metabolic pathways and the production of excess electrons, which increases intracellular levels of reactive oxygen species that damage cellular structures [36].
The differences in the N supply required to maximize the N concentration in the shoots of maize in monoculture (128.75 kg ha−1) versus those in maize intercropped with Congo grass (138.10 kg ha−1) at its physiological maturity in the second crop indicate that it is necessary to adjust N rates applied as side-dressing to meet specific plant demands according to the cropping system (Figure 4a). According to Ref. [37] the most N-efficient scenarios are realized when the soil N supply matches the plant’s demand for N throughout the entire growth cycle. Furthermore, Ref. [31] highlighted possible interspecific competition within the maize–Congo grass intercropping system, which resulted in a reduction in the amount of N taken up by the maize. In this context, Ref. [15] observed that N management must be tailored to account for these competitive interactions to ensure that grain yield is not compromised.
The P concentration in the maize shoots at physiological maturity in the second crop as a function of the cropping system and N rate applied as side-dressing showed that the plants can use one element to facilitate the acquisition of another (Figure 4b), suggesting an adequate N rate favored P uptake. P availability may be mediated by rhizosphere interactions, particularly in the intercropping system where the root systems intermingle [38].
The K and Ca concentrations in the shoots of maize intercropped with Aruana Guinea grass at its physiological maturity in the second crop were favoured by the N supply (Figure 4c). This could be related to the intermingling of roots from the two intercropped species, which enables the transfer and exchange of substances and signals [38]. However, as the increase in the N rate promoted an increase in the K concentration in maize shoots, it is necessary to monitor for luxury uptake. However, it is important to note that the observed K concentrations in this study remained within the adequacy ranges for maize, indicating that excessive accumulation did not occur [21].
The maximization of the Mg concentration in the shoots of maize in monoculture at physiological maturity, in the first and second crops, as a function of the N supply (Figure 4d) could be associated with the reduction in the dry maize biomass, as the increase in the N supply resulted in a low dry maize biomass. Mg accumulation in plants occurs in greater amounts in the chloroplasts and mitochondria, followed by the cytosol. Furthermore, the vacuole serves as a large Mg pool to maintain the cytosolic Mg balance [39].
The highest S concentration in the shoots of maize intercropped with Aruana Guinea grass at physiological maturity in the second crop indicated that this grass may have facilitated S absorption by the maize (Table 4). In addition, this result may be associated with the positive grain yield response of maize to the N rate when intercropped with Aruana Guinea grass (Figure 3b). S plays an important role in the synthesis of amino acids, proteins, coenzymes, and chlorophyll, consequently changes in its absorption can reduce the grain yield and the concentrations of carbohydrates, starch, and proteins in maize [40].
The alterations observed in macronutrient concentrations in maize as a function of the cropping system and N supply highlight the need to evaluate maize development under different practices. Furthermore, these variations must be interpreted alongside biomass accumulation, as dilution effects often occur when increased productivity outpaces nutrient uptake [9].
The N concentration in the shoots of Congo grass intercropped with maize at physiological maturity in the first crop was low when the N supply applied as side-dressing was inadequate (Figure 5a). Once again, the results reveal that the synchronization of nitrogen supply is essential to ensure a positive nitrogen balance [37]. However, at the physiological maturity of maize in the second crop, the highest N concentration in the shoots of Aruana Guinea grass and Congo grass intercropped with maize occurred outside the range of rates studied (Figure 5a). Moreover, Aruana Guinea grass intercropped with maize required 1.45 times more N to reach its maximum N concentration than Congo grass. These responses are important because the N present in the residues of cover crops decreases linearly over time after maize harvest and cover crop management [41].
The highest P concentration in the shoots of Aruana Guinea grass intercropped with maize at the physiological maturity of maize in the first and second crops (Table 5 and Table 6) showed that this grass had a high P absorption capacity. This is particularly significant given that P is an immobile nutrient in the soil and enters the roots primarily through diffusion. Furthermore, these results suggest that Aruana Guinea grass can recover P fractions from the soil even under conditions of low P availability [42].
The Mg concentration in the shoots of Aruana Guinea grass intercropped with maize in the first and second crops suggests that an inadequate N supply (Figure 5b), may alter the photosynthetic capacity of this grass, as Mg is a central component of chlorophyll molecules. Similarly, at the physiological maturity of maize, Congo grass shoots exhibited a reduction in the Mg concentration as N supply increased in the second crop (Figure 5b). The concentrations of Ca and Mg in Aruana guinea as a function of the N rate are likely associated with a dilution effect driven by increased vegetative growth, since Ca is essential for middle lamella and cell wall formation, while Mg is vital for photosynthesis. Furthermore, N supply favored higher S concentrations in Congo grass (Figure 5c), aligning with the findings of [9].
The influence of the N rates applied as side-dressing on the N concentration in the shoots of Aruana Guinea grass intercropped with maize at its desiccation in the first crop and that of Congo grass intercropped with maize at its desiccation in the second crop confirms that these intercropping systems are N dependent (Figure 5a). These results indicate that the effective contribution of N from grasses to the subsequent crop depends on the concentration of this nutrient in the biomass and on the mineralization of the accumulated N [43]. In addition, Ref. [44] observed that an intercropping system between monocotyledons could self-regulate soil N levels and optimize nutrient use for succeeding crops. According to Ref. [45] N primarily exists in highly compacted organic forms, which facilitate slow nutrient release
The P concentration in the shoots of Aruana Guinea grass intercropped with maize at its desiccation in the first and second crops (Figure 5c) is consistent with the results of [46], who demonstrated that plants use N to acquire P from organic sources and that N addition could influence phosphatase activity. Ref. [45] emphasized that P contained in plant residues exists primarily as inorganic P, whereas the organic portion is difficult to decompose.
The N supply increased the K concentration in Congo grass shoots intercropped at its desiccation in the first and second crops (Figure 5d), indicating enhanced K availability for the subsequent crop. K contained in plant residues exists primarily in an ionic state and easily dissolves easily in water during decomposition process [45]. Since K in plant residues is released relatively quickly, the adoption of an intercropping system can maintain this nutrient in the soil layers exploited by the roots [42].
Aruana Guinea grass intercropped with maize showed a greater ability to absorb and return Ca to the system than Congo grass in the first crop, benefiting the subsequent crop (Table 7). According to Ref. [41], the highest release of Ca from cover crops intercropped with maize occurs approximately 75 days after maize harvest and cover crop management.
The maximum Mg concentration in Congo grass shoots intercropped with maize at its desiccation in the first and second crops (Figure 5b) as a function of an adequate N rate suggests that it is necessary to balance N demand and the Mg content to prevent possible deficiencies in this crop. Similarly, Ref. [13] observed significant effects of N fertilization on the Mg concentration in the Congo grass shoots intercropped with maize.
The macronutrient concentrations in the grass shoots showed that the interaction between the cropping system and the N rate applied as side-dressing is essential for nutrient cycling, particularly for the subsequent crop. This is because the soil remains active throughout the off-season, contributing to system stability [35]. Regardless of the N rate applied, the macronutrient concentrations in the grass shoots followed the decreasing order: N > K > Mg > Ca > S > P. These results emphasize the importance of grasses intercropped with maize, as the release rates of N, P, K, and Mg from grass residues vary over 120 days after desiccation, with peak release occurring within the first 30 days [10]. Furthermore, variations in nutrient concentration must be interpreted alongside biomass production to avoid misleading conclusions, as dilution effects were prominent in the high-yielding treatments [9,43].

5. Conclusions

Maize grain yield and nutrient dynamics in degraded pasture areas are determined by the specific interaction between the cropping system and N management. Although climatic stressors such as water deficits and frost act as primary limiters of yield potential, the maize–Aruana Guinea grass intercropping system provides superior resilience and a positive grain yield response to N side-dressing. In contrast, the lack of a positive grain yield response in maize monoculture indicates that this intercropping system is a more efficient strategy for maintaining productivity in challenging environments. Beyond grain production, these systems fulfill different strategic roles for soil recovery. While N application primarily optimizes biomass in maize monoculture, it drives both yield and nutrient accumulation in maize–Aruana Guinea grass intercropping system. Furthermore, Aruana Guinea grass acts as a resilient partner by facilitating P cycling and enhancing S uptake in maize regardless of the nitrogen rate applied. Even under restrictive rainfall and temperature conditions, the rapid macronutrient extraction by tropical grasses prevents nutrient losses and ensures effective storage in biomass. Consequently, N side-dressing in maize–tropical grass intercropping system, particularly with Aruana Guinea grass, is a robust strategy for enhancing both immediate grain production and long-term nutrient cycling in restoration-oriented agroecosystems.

Author Contributions

Conceptualization, K.B. and L.A.F.V.; methodology, K.B.; formal analysis, K.B.; investigation, K.B., M.B.S., L.A.F.V., L.G., C.M.P.B. and G.A.; resources, K.B.; data curation, K.B.; writing—original draft preparation, K.B.; writing—review and editing, K.B., L.G., C.M.P.B. and G.A.; visualization, K.B., M.B.S., L.A.F.V., L.G., C.M.P.B. and G.A.; supervision, K.B.; project administration, K.B.; funding acquisition, K.B. and M.B.S. All authors have read and agreed to the published version of the manuscript.

Funding

This research was funded by the São Paulo Research Foundation—FAPESP (process 2019/02387-6).

Data Availability Statement

The data that support this study are available in the article.

Acknowledgments

The authors are grateful to FAPESP (São Paulo State Research Support Foundation) and Instituto de Zootecnia.

Conflicts of Interest

The authors declare no conflicts of interest.

Abbreviations

The following abbreviations are used in this manuscript:
FMS First maize sowing and N rates applied as side-dressing
FMH First maize harvest
FGD First grass desiccation
SMSSecond maize sowing and N rates applied as side-dressing
SMH Second maize harvest
SGDSecond grass desiccation
N Nitrogen
P Phosphorus
K Potassium
CaCalcium
MgMagnesium
SSulphur
CS Cropping systems
MM Maize monoculture
M+AGG Maize + Aruana Guinea grass
M+CG Maize + Congo grass
L Linear regression
Q Quadratic regression

References

  1. Wróbel, B.; Zielewicz, W.; Staniak, M. Challenges of Pasture Feeding Systems-Opportunities and Constraints. Agriculture 2023, 13, 974. [Google Scholar] [CrossRef]
  2. Feltran-Barbieri, R.; Féres, J.G. Degraded pastures in Brazil: Improving livestock production and forest restoration. R. Soc. Open Sci. 2021, 8, 201854. [Google Scholar] [CrossRef] [PubMed]
  3. Bolfe, É.L.; Victoria, D.d.C.; Sano, E.E.; Bayma, G.; Massruhá, S.M.F.S.; de Oliveira, A.F. Potential for agricultural expansion in degraded pasture lands in brazil based on geospatial databases. Land 2024, 13, 200. [Google Scholar] [CrossRef]
  4. Anghinoni, G.; Anghinoni, F.B.G.; Tormena, C.A.; Braccini, A.L.; Mendes, I.C.; Zancanaro, L.; La, R. Conservation agriculture strengthen sustainability of Brazilian grain production and food security. Land Use Policy 2021, 108, 105591. [Google Scholar] [CrossRef]
  5. Hufnagel, J.; Reckling, M.; Ewert, F. Diverse approaches to crop diversification in agricultural research. A review. Agron. Sustain. Dev. 2020, 40, 14. [Google Scholar] [CrossRef]
  6. Viguier, L.; Cavan, N.; Bockstaller, C.; Cadoux, S.; Corre-Hellou, G.; Dubois, S.; Duval, R.; Keichinger, O.; Toqué, C.; Cordoue, A.L.T.; et al. Combining diversification practices to enhance the sustainability of conventional cropping systems. Eur. J. Agron. 2021, 127, 126279–126292. [Google Scholar] [CrossRef]
  7. CONAB—Companhia Nacional de Abastecimento. Acompanhamento da Safra Brasileira de Grãos: Safra 2025/26; 5º Levantamento; CONAB: Brasília, Brazil, 2026; Number 5; 111p. [Google Scholar]
  8. Garbelini, L.G.; Franchini, J.C.; Debiasi, H.; Balbinot Junior, A.A.; Betioli Junior, E.; Telles, T.S. Profitability of soybean production models with diversified crops in the autumn-winter. Agron. J. 2020, 112, 4092–4103. [Google Scholar] [CrossRef]
  9. Batista, K.; Duarte, A.P.; Ceccon, G.; De Maria, I.C.; Cantarella, H. Acúmulo de matéria seca e de nutrientes em forrageiras consorciadas com maize em função da adubação nitrogenada. Pesq. Agropecu. Bras. 2011, 46, 1154–1160. [Google Scholar] [CrossRef]
  10. Pereira, F.C.B.L.; Mello, L.M.M.; Pariz, C.M.; Mendonça, V.Z.; Yano, E.H.; Miranda, E.E.V.; Crusciol, C.A.C. Autumn Maize intercropped with tropical grasss: Crop residues, nutrient cycling, subsequent soybean and soil quality. Rev. Bras. Ciênc. Solo 2016, 40, e0150003. [Google Scholar] [CrossRef]
  11. Nóia Júnior, R.S.; Sentelhas, P.C. Soybean-maize succession in Brazil: Impacts of sowing dates on climate variability, yields and economic profitability. Eur. J. Agron. 2019, 103, 140–151. [Google Scholar] [CrossRef]
  12. Momesso, L.; Crusciol, C.A.C.; Soratto, R.P.; Vyn, T.J.; Tanaka, K.S.; Costa, C.H.M.; Ferrari Neto, J.; Cantarella, H. Impacts of nitrogen management on no-till maize production following grass cover crops. Agron. J. 2019, 111, 639–649. [Google Scholar] [CrossRef]
  13. Batista, K.; Giacomini, A.A.; Gerdes, L.; Mattos, W.T.; Otsuk, I.P. Impacts of the nitrogen application on productivity and nutrients concentrations of the maize-Congo grass intercropping system in the dry season. Acta Agric. Scand. B Soil Plant Sci. 2019, 69, 567–577. [Google Scholar] [CrossRef]
  14. Rocha, K.F.; Souza, M.; Almeida, D.S.; Chadwick, D.R.; Jones, D.L.; Sacha, J.M.; Rosolem, C.A. Cover crops affect the partial nitrogen balance in a maize-forage cropping system. Geoderma 2020, 360, 114000. [Google Scholar] [CrossRef]
  15. Gazola, B.; Mariano, E.; Andrade, M.G.; Costa, V.E.; Rosolem, C.A. Fate of fertilizer N applied to maize intercropped with forage grass and recovery of residual N by soybean in a double cropping system. Plant Soil 2024, 496, 205–219. [Google Scholar] [CrossRef]
  16. Alvares, C.A.; Stape, J.L.; Sentelhas, P.C.; Gonçalves, J.L.M.; Sparovek, G. Köppen’s climate classification map for Brazil. Meteorol. Z. 2013, 22, 11–728. [Google Scholar] [CrossRef]
  17. Santos, H.G.; Jacomine, P.K.T.; Anjos, L.H.C.; Oliveira, V.A.; Lumbreras, J.F.; Coelho, M.R.; Almeida, J.A.; Araújo Filho, J.C.; Oliveira, J.B.; Cunha, T.J.F. Sistema Brasileiro de Classificação de Solos, 5th ed.; Embrapa: Brasília, Brazil, 2018; 356p. [Google Scholar]
  18. United States Department of Agriculture. Keys to Soil Taxonomy, 12th ed.; United States Department of Agriculture, Natural Resources Conservation Service: Washington, WA, USA, 2014; 359p. [Google Scholar]
  19. van Raij, B.; Andrade, J.C.; Cantarella, H.; Quaggio, J.A. Análise Química Para Avaliação da Fertilidade de Solos Tropicais; Instituto Agronômico: Campinas, Brazil, 2001; 284p. [Google Scholar]
  20. van Raij, B.; Cantarela, H.; Quaggio, J.A.; Furlani, A.M.C. Recomendações de Adubação e Calagem Para o Estado de São Paulo, 2nd ed.; Instituto Agronômico e Fundação IAC: Campinas, Brazil, 1997; 285p. [Google Scholar]
  21. Malavolta, E.; Vitti, G.C.; Oliveira, S. Avaliação do Estado Nutricional das Plantas: Princípios e Aplicações, 2nd ed.; POTAFOS: Piracicaba, Brazil, 1997; 319p. [Google Scholar]
  22. SAS Institute Inc. SAS/STAT®9.2 User’s Guide 2009, 2nd ed.; SAS Institute Inc.: Cary, FL, USA, 2009; 176p. [Google Scholar]
  23. Peiffer, J.A.; Romay, M.C.; Gore, M.A.; Flint-Garcia, S.A.; Zhang, Z.; Millard, M.J.; Gardner, C.A.C.; Mcmullen, M.D.; Holland, J.B.; Bradbury, P.J.; et al. The genetic architecture of maize height. Genetics 2014, 196, 1337–1356. [Google Scholar] [CrossRef]
  24. Spackman, J.A.; Fernandez, F.G.; Coulter, J.A.; Kaiser, D.E.; Paiao, G. Soil texture and precipitation influence optimal time of nitrogen fertilization for maize. Agron. J. 2019, 111, 2018–2030. [Google Scholar] [CrossRef]
  25. Wang, G.-Y.; Hu, Y.-X.; Liu, Y.-X.; Ahmad, S.; Zhou, X.-B. Effects of supplement irrigation and nitrogen application levels on soil carbon–nitrogen content and yield of one-year double cropping maize in subtropical region. Water 2021, 13, 1180. [Google Scholar] [CrossRef]
  26. Iseghohi, I.; Abe, A.; Meseka, S.; Mengesha, W.; Gedil, M.; Menkir, A. Effects of drought stress on grain yield, agronomic performance, and heterosis of marker-based improved provitamin-A maize synthetics and their hybrids. J. Crop Improv. 2021, 35, 239–259. [Google Scholar] [CrossRef]
  27. Mateus, G.P.; Crusciol, C.A.C.; Pariz, C.M.; Costa, N.R.; Borghi, E.; Costa, C.; Martello, J.M.; Castilhos, A.M.; Franzluebbers, A.J.; Cantarella, H. Corn intercropped with tropical perennial grasses as affected by sidedress nitrogen application rates. Nutr. Cycl. Agroecosyst. 2020, 116, 223–244. [Google Scholar] [CrossRef]
  28. Govindasamy, P.; Muthusamy, S.K.; Bagavathiannan, M.; Mowrer, J.; Jagannadham, P.T.K.; Maity, A.; Halli, H.M.; Sujayananad, G.K.S.; Vadivel, R.; Das, T.K.D.; et al. Nitrogen use efficiency—A key to enhance crop productivity under a changing climate. Front. Plant Sci. 2023, 14, 1121073. [Google Scholar] [CrossRef] [PubMed]
  29. Hoffman, A.L.; Kemanian, A.R.; Forest, C.E. The response of maize, sorghum, and soybean yield to growing-phase climate revealed with machine learning. Environ. Res. Lett. 2020, 15, 094013. [Google Scholar] [CrossRef]
  30. Arshad, M. Fortnightly dynamics and relationship of growth, dry matter partition and productivity of maize based sole and intercropping systems at different elevations. Eur. J. Agron. 2021, 130, 126377. [Google Scholar] [CrossRef]
  31. Sapucay, M.J.L.C.; Coelho, A.E.; Bratti, F.; Locatelli, J.L.; Alvadi, L.S.; Balbinot Junior, A.; Zucareli, C. Nitrogen rates on the agronomic performance of second-crop maize single and intercropped with ruzigrass or showy rattlebox. Pesq. Agropecu. Trop. 2020, 50, e65525. [Google Scholar] [CrossRef]
  32. Molla, M.S.H.; Nakasathien, S.; Ali, M.A.; Khan, A.; Alam, M.R.; Hossain, A. Influence of nitrogen application on dry biomass allocation and translocation in two maize varieties under short pre-anthesis and prolonged bracketing flowering periods of drought. Arch. Agron. Soil Sci. 2018, 65, 928–944. [Google Scholar] [CrossRef]
  33. Almeida, R.E.M.; Favarin, J.L.; Otto, R.; Pierozan, C.; Maciel de Oliveira, S.; Tezotto, T.; Cocco Lago, B. Effects of nitrogen fertilization on yield components in a corn-palisadegrass intercropping system. Aust. J. Crop Sci. 2017, 11, 352–359. [Google Scholar] [CrossRef]
  34. Jalilian, J.; Najafabadi, A.; Zardashti, M.R. Intercropping patterns and different farming systems affect the yield and yield components of safflower and bitter vetch intercropping patterns and different farming systems affect the yield and yield components of safflower and bitter vetch. J. Plant Interact. 2017, 12, 92–99. [Google Scholar] [CrossRef]
  35. Dalla Côrt, A.S.; Feitosa, P.B.; Pacheco, L.P.; Greco, T.M.; Silva, I.D.F.; Souza, E.D.; Santos, L.F.; Petter, F.A.; Crusciol, C.A.C. Accumulation and efficiency of nutrient use in crop systems in second crop under no-tillage. Pesq. Agropecu. Bras. 2021, 56, e01879. [Google Scholar] [CrossRef]
  36. Manetti Filho, J.; de Oliveira, C.M.G.; Caramori, P.H.; Nagashima, G.T.; Hernandez, F.B.T. Cold tolerance of forage plant species. Semina Ciênc. Agrár. 2018, 39, 1469–1476. [Google Scholar] [CrossRef]
  37. Congreves, K.A.; Otchere, O.; Ferland, D.; Farzadfar, S.; Williams, S.; Arcand, M.M. Nitrogen use efficiency definitions of agriculture: At the crossroads of confounding concepts and pragmatic practices. Front. Plant Sci. 2021, 12, 637108. [Google Scholar] [CrossRef]
  38. Zhu, S.G.; Cheng, Z.G.; Wang, J.; Gong, D.S.; Ullah, F.; Tao, H.Y.; Zhu, H.; Duan, H.X.; Yang, Y.M.; Xiong, Y.C. Soil phosphorus availability and utilization are mediated by plant facilitation via rhizosphere interactions in an intercropping system. Eur. J. Agron. 2023, 142, 126679. [Google Scholar] [CrossRef]
  39. Chaudhry, A.H.; Nayab, S.; Hussain, S.B.; Ali, M.; Pan, Z. Current understandings on magnesium deficiency and future outlooks for sustainable agriculture. Int. J. Mol. Sci. 2021, 22, 1819. [Google Scholar] [CrossRef]
  40. Carciochi, W.D.; Calvo, N.I.R.; Wyngaard, N.; Divito, G.A.; Mercedes, E.; Hernán, E.E. Prognosis and diagnosis of sulphur status in maize by plant analysis. Eur. J. Agron. 2019, 108, 1–10. [Google Scholar] [CrossRef]
  41. Morais, B.D.; Ratke, R.F.; Bortolon, L.; Lacerda, J.J.J.; Edvan, R.L.; Zuffo, A.M.; Pacheco, L.P. Maize intercropping systems improve nutrient for the cowpea crop in sandy soils. Commun. Soil Sci. Plant Anal. 2020, 20, 1718688. [Google Scholar] [CrossRef]
  42. Silva, E.C.; Muraoka, T.; Bastos, A.V.S.; Franzin, V.I.; Buzetti, S.; Soares, F.A.L.; Teixeira, M.B.; Bendassolli, J.A. Biomass and nutrient accumulation by cover crops and upland rice grown in succession under no-tillage system as affected by nitrogen fertilizer rate. J. Crop Sci. Biotechnol. 2020, 23, 117–126. [Google Scholar] [CrossRef]
  43. Mahama, G.Y.; Vara, P.P.V.; Roozeboom, K.L.; Nippert, J.B.; Rice, C.W. Response of maize to cover crops, fertilizer nitrogen rates, and economic return. Agron. J. 2016, 108, 17–31. [Google Scholar] [CrossRef]
  44. Yang, T.; Siddique, K.H.M.; Liu, K. Cropping systems in agriculture and their impact on soil health-A review. Glob. Ecol. Conserv. 2020, 23, e01118. [Google Scholar] [CrossRef]
  45. Li, H.; Li, J.; Jiao, X.; Jiang, H.; Liu, Y.; Wang, X.; Ma, C. The fate and challenges of the main nutrients in returned straw: A basic review. Agronomy 2024, 14, 698. [Google Scholar] [CrossRef]
  46. Schleuss, P.M.; Widdig, M.; Heintz-Buschart, A.; Kirkman, K.; Spohn, M. Interactions of nitrogen and phosphorus cycling promote P acquisition and explain synergistic plant-growth responses. Ecology 2020, 101, e03003. [Google Scholar] [CrossRef]
Figure 1. Precipitation and temperature in the first and second crop of dry season maize. FMS: first maize sowing and N rates applied as side-dressing. FMH: first maize harvest. FGD: first grass desiccation. S MS: second maize sowing and N rates applied as side-dressing. SMH: second maize harvest. SGD: second grass desiccation.
Figure 1. Precipitation and temperature in the first and second crop of dry season maize. FMS: first maize sowing and N rates applied as side-dressing. FMH: first maize harvest. FGD: first grass desiccation. S MS: second maize sowing and N rates applied as side-dressing. SMH: second maize harvest. SGD: second grass desiccation.
Nitrogen 07 00036 g001
Figure 2. Details of the size and distribution of plots in the experimental field.
Figure 2. Details of the size and distribution of plots in the experimental field.
Nitrogen 07 00036 g002
Figure 3. Plant and cob height (a), grain yield (b) and dry biomass (c) of the maize as a function of cropping systems and nitrogen rates applied as side-dressing in the first and the second crops. Each data point represents the mean of four replicates, and the regression equations were derived from the complete set of observations.
Figure 3. Plant and cob height (a), grain yield (b) and dry biomass (c) of the maize as a function of cropping systems and nitrogen rates applied as side-dressing in the first and the second crops. Each data point represents the mean of four replicates, and the regression equations were derived from the complete set of observations.
Nitrogen 07 00036 g003
Figure 4. Concentrations of N (a), P (b), K and Ca (c), and Mg (d) in the maize shoot as a function of cropping systems and nitrogen rates applied as side-dressing in the first and the second crops. Each data point represents the mean of four replicates, and the regression equations were derived from the complete set of observations.
Figure 4. Concentrations of N (a), P (b), K and Ca (c), and Mg (d) in the maize shoot as a function of cropping systems and nitrogen rates applied as side-dressing in the first and the second crops. Each data point represents the mean of four replicates, and the regression equations were derived from the complete set of observations.
Nitrogen 07 00036 g004aNitrogen 07 00036 g004b
Figure 5. Concentrations of nitrogen (a), magnesium and calcium (b), phosphorus and sulphur (c) and potassium (d) in the shoot of the grasses as a function of cropping systems and nitrogen rates applied as side-dressing in the first and the second crops. Each data point represents the mean of four replicates, and the regression equations were derived from the complete set of observations.
Figure 5. Concentrations of nitrogen (a), magnesium and calcium (b), phosphorus and sulphur (c) and potassium (d) in the shoot of the grasses as a function of cropping systems and nitrogen rates applied as side-dressing in the first and the second crops. Each data point represents the mean of four replicates, and the regression equations were derived from the complete set of observations.
Nitrogen 07 00036 g005
Table 1. Plant height, cob height and grain yield of maize at its physiological maturity stage and dry biomass of the plants at the physiological maturity stage of the maize and at the time of the desiccation of the grasses in the first crop.
Table 1. Plant height, cob height and grain yield of maize at its physiological maturity stage and dry biomass of the plants at the physiological maturity stage of the maize and at the time of the desiccation of the grasses in the first crop.
CSN Rates (kg ha−1)MeansF Test for Regression
050100150 LQ
Plant height (cm)
MM137.50 ± 16.7 a121.25 ± 16.7 a135.00 ± 16.7 a155.00 ± 16.7 a137.19 ± 8.3 a0.410.43
M+AGG155.00 ± 16.7 a118.75 ± 16.7 a153.70 ± 16.7 a155.00 ± 16.7 a145.63 ± 8.3 a0.730.66
M+CG185.00 ± 16.7 a120.00 ± 16.7 a137.50 ± 16.7 a150.00 ± 16.7 a148.13 ± 8.3 a0.340.04
Means159.17 ± 9.6120.00 ± 9.6142.08 ± 9.6153.33 ± 9.6 0.930.07
Cob height (cm)
MM77.50 ± 8.4 a57.50 ± 8.4 a 62.50 ± 8.4 a67.50 ± 8.4 a66.25 ± 4.2 a 0.550.33
M+AGG62.50 ± 8.4 a47.50 ± 8.4 a72.50 ± 8.4 a76.25 ± 8.4 a64.69 ± 4.2 a0.180.28
M+CG90.00 ± 8.4 a61.25 ± 8.4 a65.00 ± 8.4 a85.00 ± 8.4 a75.31 ± 4.2 a0.830.02
Means 76.67 ± 4.855.42 ± 4.866.67 ± 4.876.25 ± 4.8 0.710.03
Grain yield (kg ha−1)
MM1361.21 ± 207.3 a421.93 ± 207.3 a1067.26 ± 207.3 a590.39 ± 207.3 a860.20 ± 103.7 a0.260.42
M+AGG272.42 ± 207.3 b482.70 ± 207.3 a429.79 ± 207.3 a590.70 ± 207.3 a443.90 ± 103.7 b 0.140.34
M+CG908.26 ± 207.3 ab759.63 ± 207.3 a374.45 ± 207.3 a1172.44 ± 207.3 a803.70 ± 103.7 ab 0.760.24
Means847.29 ± 119.7554.75 ± 119.7623.83 ± 119.7784.51 ± 119.7 0.870.35
Maize biomass at the time of its physiological maturity (kg ha−1)
MM7148.24 ± 1021 a4256.82 ± 1021 a4572.05 ± 1021 a8959.09 ± 1021 a6234.05 ± 510.5 a0.480.03
M+AGG4931.96 ± 1021 a5062.67 ± 1021 a5406.25 ± 1021 a5818.57 ± 1021 a5304.86 ± 510.5 a0.560.85
M+CG6122.67 ± 1021 a4641.11 ± 1021 a6443.34 ± 1021 a6458.19 ± 1021 a5916.33 ± 510.5 a0.200.12
Means6067.62 ± 589.494653.53 ± 589.495473.88 ± 589.497078.62 ± 589.49 0.220.10
Grasses biomass at the time of the physiological maturity of maize (kg ha−1)
M+AGG1354.91 ± 419.3 a1477.93 ± 419.3 a1174.37 ± 419.3 a1458.53 ± 419.3 a1366.43 ± 209.7 b0.990.48
M+CG1904.80 ± 419.3 a2233.90 ± 419.3 a2355.26 ± 419.3 a2453.01 ± 419.3 a2236.74 ± 209.7 a0.970.77
Means1629.86 ± 296.511855.92 ± 296.511764.82 ± 296.511955.77 ± 296.51 0.570.85
Grasses biomass at the time of their desiccation (kg ha−1)
M+AGG1954.78 ± 502.7 a1676.33 ± 502.7 a2136.34 ± 502.7 a1714.80 ± 502.7 b1870.56 ± 251.3 b0.900.98
M+CG2249.44 ± 502.7 a3102.23 ± 502.7 a2389.26 ± 502.7 a3313.72 ± 502.7 a2763.66 ± 251.3 a0.400.71
Means 2102.11 ± 355.42389.28 ± 355.42262.80 ± 355.42514.26 ± 355.4 0.560.84
CS: Cropping systems; MM: Maize monoculture; M+AGG: Maize + Aruana Guinea grass; M+CG: Maize + Congo grass. L and Q: p-values for linear and quadratic regression effects, respectively. Means followed by different lowercase letters in the column, within each N rate, differ by Tukey’s test (p < 0.05). Values after ± represent the standard error of the mean.
Table 2. Plant height, cob height and grain yield of maize at its physiological maturity stage and dry biomass of the plants at the physiological maturity stage of the maize and at the time of the desiccation of the grasses in the second crop.
Table 2. Plant height, cob height and grain yield of maize at its physiological maturity stage and dry biomass of the plants at the physiological maturity stage of the maize and at the time of the desiccation of the grasses in the second crop.
CSN Rates (kg ha−1)MeansF Test for Regression
050100150 LQ
Plant height (cm)
MM171.50 ± 13.2 a158.00 ± 13.2 a182.00 ± 13.2 a151.00 ± 13.2 a165.63 ± 6.6 a0.610.77
M+AGG168.75 ± 13.2 a151.50 ± 13.2 a160.75 ± 13.2 a176.00 ± 13.2 a164.2 ± 6.6 a0.690.59
M+CG184.25 ± 13.2 a176.00 ± 13.2 a121.50 ± 13.2 b146.00 ± 13.2 a156.94 ± 6.6 a0.020.03
Means174.83 ± 7.6161.83 ± 7.6154.75 ± 7.6157.67 ± 7.6 0.160.26
Cob height (cm)
MM80.50 ± 7.4 a72.75 ± 7.4 a 75.00 ± 7.4 a67.25 ± 7.4 a 73.87 ± 3.7 a0.270.96
M+AGG67.00 ± 7.4 a62.75 ± 7.4 a69.50 ± 7.4 ab81.25 ± 7.4 a70.12 ± 3.7 a0.220.32
M+CG90.00 ± 7.4 a85.25 ± 7.4 a52.50 ± 7.4 b67.50 ± 7.4 a73.81 ± 3.7 a0.040.08
Means79.17 ± 4.373.58 ± 4.365.67 ± 4.372.00 ± 4.3 0.210.24
Grain yield (kg ha−1)
MM1933.06 ± 213.7 a1025.53 ± 213.7 b1562.09 ± 213.7 a602.42 ± 213.7 b1280.77 ± 106.8 a0.020.07
M+AGG1106.02 ± 213.7 a1433.14 ± 213.7 ab1348.75 ± 213.7 ab1899.18 ± 213.7 a1446.77 ± 106.8 a0.050.15
M+CG1341.82 ± 213.7 a1825.44 ± 213.7 a733.39 ± 213.7 b1138.45 ± 213.7 ab1259.78 ± 106.8 a0.200.46
Means1460.30 ± 123.371428.04 ± 123.371214.74 ± 123.371213.35 ± 123.37 0.220.48
Maize biomass at the time of its physiological maturity (kg ha−1)
MM9924.69 ± 1148.2 a8294.90 ± 1148.2 a6947.68 ± 1148.2 a6677.97 ± 1148.2 a7961.31 ± 574.1 a0.0190.05
M+AGG7088.38 ± 1148.2 a8343.25 ± 1148.2 a6433.08 ± 1148.2 a7321.47 ± 1148.2 a7296.55 ± 574.1 a0.870.98
M+CG8001.47 ± 1148.2 a7504.64 ± 1148.2 a6348.06 ± 1148.2 a7028.60 ± 1148.2 a7220.69 ± 574.1 a0.390.60
Means8338.18 ± 662.898047.60 ± 662.896576.27 ± 662.897009.35 ± 662.89 0.090.22
Grasses biomass at the time of the physiological maturity of maize (kg ha−1)
M+AGG604.08 ± 198.5 a441.06 ± 198.5 a617.23 ± 198.5 a751.16 ± 198.5 a603.38 ± 99.22 a0.210.19
M+CG1190.43 ± 198.5 a777.70 ± 198.5 a907.31 ± 198.5 a550.96 ± 198.5 a856.60 ± 99.22 a0.170.44
Means897.25 ± 140.3 609.38 ± 140.3762.27 ± 140.3651.06 ± 140.3 0.440.64
Grasses biomass at the time of their desiccation (kg ha−1)
M+AGG9218.32 ± 1959 a10,338.96 ± 1959 a6823.67 ± 1959 a9170.90 ± 1959 a8887.96 ± 979.5 a0.680.59
M+CG13,104.8 ± 19,595 a5979.16 ± 1959 a8302.46 ± 1959 a9677.60 ± 1959 a9266.00 ± 979.5 a0.880.22
Means11,161.54 ± 1385.38159.06 ± 1385.37563.06 ± 1385.39424.25 ± 1385.3 0.420.23
CS: Cropping systems; MM: Maize monoculture; M+AGG: Maize + Aruana Guinea grass; M+CG: Maize + Congo grass. L and Q: p-values for linear and quadratic regression effects, respectively. Means followed by different lowercase letters in the column, within each N rate, differ by Tukey’s test (p < 0.05). Values after ± represent the standard error of the mean.
Table 3. Macronutrient concentrations in the maize shoot at its physiological maturity stage in the first crop.
Table 3. Macronutrient concentrations in the maize shoot at its physiological maturity stage in the first crop.
CSN Rates (kg ha−1)MeansF Test for Regression
050100150 LQ
N (g kg−1)
MM12.08 ± 0.9 a14.53 ± 0.9 a12.43 ± 0.9 a12.43 ± 0.9 a12.86 ± 0.4 a0.830.52
M+AGG12.08 ± 0.9 a13.65 ± 0.9 a11.73 ± 0.9 a12.95 ± 0.9 a12.60 ± 0.4 a0.860.97
M+CG10.85 ± 0.9 a12.43 ± 0.9 a13.65 ± 0.9 a12.08 ± 0.9 a12.25 ± 0.4 a0.370.28
Means11.67 ± 0.51 13.53 ± 0.51 12.60 ± 0.51 12.48 ± 0.51 0.570.20
P (g kg−1)
MM1.47 ± 0.2 a1.23 ± 0.2 a1.37 ± 0.2 a 1.10 ± 0.2 a1.29 ± 0.10 a0.210.47
M+AGG1.20 ± 0.2 a1.15 ± 0.2 a1.43 ± 0.2 a1.34 ± 0.2 a1.28 ± 0.10 a0.430.73
M+CG1.22 ± 0.2 a1.40 ± 0.2 a1.59 ± 0.2 a1.50 ± 0.2 a1.43 ± 0.10 a0.320.51
Means1.30 ± 0.10 1.26 ± 0.10 1.47 ± 0.10 1.31 ± 0.10 0.610.77
K (g kg−1)
MM4.55 ± 0.7 a5.27 ± 0.7 a5.45 ± 0.7 a4.69 ± 0.7 a4.99 ± 0.4 a0.830.46
M+AGG4.19 ± 0.7 a4.16 ± 0.7 a3.98 ± 0.7 a4.83 ± 0.7 a4.29 ± 0.4 a0.600.73
M+CG7.22 ± 0.7 a4.05 ± 0.7 a4.32 ± 0.7 a4.80 ± 0.7 a5.10 ± 0.4 a0.170.095
Means5.32 ± 0.41 4.49 ± 0.41 4.58 ± 0.41 4.77 ± 0.41 0.480.45
Ca (g kg−1)
MM1.15 ± 0.2 a1.70 ± 0.2 a1.38 ± 0.2 a1.58 ± 0.2 a1.45 ± 0.1 a0.330.45
M+AGG1.55 ± 0.2 a1.48 ± 0.2 a1.65 ± 0.2 a1.35 ± 0.2 a1.51 ± 0.1 a0.670.81
M+CG1.33 ± 0.2 a1.50 ± 0.2 a1.18 ± 0.2 a1.23 ± 0.2 a1.31 ± 0.1 a0.350.60
Means1.34 ± 0.1 1.56 ± 0.11.40 ± 0.11.38 ± 0.1 0.950.58
Mg (g kg−1)
MM1.63 ± 0.1 a1.92 ± 0.1 a1.87 ± 0.1 a1.58 ± 0.1 a1.75 ± 0.1 a0.750.04
M+AGG1.74 ± 0.1 a1.71 ± 0.1 a1.77 ± 0.1 a1.54 ± 0.1 a1.69 ± 0.1 a0.450.63
M+CG1.74 ± 0.1 a1.91 ± 0.1 a1.79 ± 0.1 a1.60 ± 0.1 a1.76 ± 0.1 a0.340.25
Means1.70 ± 0.071.85 ± 0.071.81 ± 0.071.57 ± 0.07 0.230.03
S (g kg−1)
MM0.70 ± 0.1 a0.83 ± 0.1 a0.63 ± 0.1 b0.70 ± 0.1 a0.7 ± 0.1 a0.660.89
M+AGG0.80 ± 0.1 a0.90 ± 0.1 a0.68 ± 0.1 ab0.78 ± 0.1 a0.79 ± 0.1 a0.630.89
M+CG0.78 ± 0.1 a0.85 ± 0.1 a0.88 ± 0.1 a0.75 ± 0.1 a0.81 ± 0.1 a0.930.73
Means0.76 ± 0.060.86 ± 0.060.73 ± 0.060.74 ± 0.06 0.550.69
CS: Cropping systems; MM: Maize monoculture; M+AGG: Maize + Aruana Guinea grass; M+CG: Maize + Congo grass. L and Q: p-values for linear and quadratic regression effects, respectively. Means followed by different lowercase letters in the column, within each N rate, differ by Tukey’s test (p < 0.05). Values after ± represent the standard error of the mean.
Table 4. Macronutrient concentrations in the maize shoot at its physiological maturity stage in the second crop.
Table 4. Macronutrient concentrations in the maize shoot at its physiological maturity stage in the second crop.
CS N Rates (kg ha−1) MeansF Test for Regression
050100150 LQ
N (g kg−1)
MM8.64 ± 0.7 a10.1 ± 0.7 a12.00 ± 0.7 a11.34 ± 0.7 a10.52 ± 0.3 a0.0060.01
M+AGG9.00 ± 0.7 a11.88 ± 0.7 a10.02 ± 0.7 a12.00 ± 0.7 a10.73 ± 0.3 a0.130.31
M+CG8.28 ± 0.7 a10.66 ± 0.7 a11.52 ± 0.7 a11.70 ± 0.7 a10.54 ± 0.3 a0.010.01
Means8.64 ± 0.3810.87 ± 0.3811.18 ± 0.3811.68 ± 0.38 0.010.01
P (g kg−1)
MM1.03 ± 0.1 a1.07 ± 0.1 a1.13 ± 0.1 a1.40 ± 0.1 a1.16 ± 0.1 a0.030.06
M+AGG0.87 ± 0.1 ab1.28 ± 0.1 a1.30 ± 0.1 a1.20 ± 0.1 a1.16 ± 0.1 a0.060.01
M+CG0.68 ± 0.1 b1.13 ± 0.1 a1.30 ± 0.1 a1.17 ± 0.1 a1.07 ± 0.1 a0.020.01
Means0.86 ± 0.11.16 ± 0.11.24 ± 0.11.26 ± 0.1 0.010.01
K (g kg−1)
MM6.78 ± 0.7 a6.25 ± 0.7 a7.23 ± 0.7 a7.07 ± 0.7 a6.83 ± 0.3 a0.440.71
M+AGG5.28 ± 0.7 a6.10 ± 0.7 a7.40 ± 0.7 a8.17 ± 0.7 a6.74 ± 0.3 a0.030.10
M+CG6.43 ± 0.7 a5.60 ± 0.7 a5.15 ± 0.7 a6.43 ± 0.7 a5.90 ± 0.3 a0.880.30
Means6.16 ± 0.385.98 ± 0.386.59 ± 0.387.22 ± 0.38 0.060.12
Ca (g kg−1)
MM1.40 ± 0.1 a1.08 ± 0.1 a1.28 ± 0.1 a1.25 ± 0.1 ab1.25 ± 0.6 a0.660.44
M+AGG1.18 ± 0.1 a1.23 ± 0.1 a1.63 ± 0.1 a1.00 ± 0.1 b1.26 ± 0.6 a0.870.05
M+CG1.53 ± 0.1 a1.23 ± 0.1 a1.33 ± 0.1 a1.40 ± 0.1 a1.37 ± 0.6 a0.830.33
Means1.37 ± 0.11.18 ± 0.11.41 ± 0.11.22 ± 0.1 0.540.83
Mg (g kg−1)
MM1.65 ± 0.1 a1.80 ± 0.1 a2.17 ± 0.1 a2.11 ± 0.1 a1.93 ± 0.1 a0.010.04
M+AGG1.71 ± 0.1 a2.27 ± 0.1 a1.99 ± 0.1 a2.16 ± 0.1 a2.03 ± 0.1 a0.220.29
M+CG2.07 ± 0.1 a2.12 ± 0.1 a2.00 ± 0.1 a1.99 ± 0.1 a2.04 ± 0.1 a0.450.74
Means1.81 ± 0.072.06 ± 0.072.05 ± 0.072.09 ± 0.07 0.040.06
S (g kg−1)
MM0.7 ± 0.1 a0.70 ± 0.1 a0.70 ± 0.1 a0.70 ± 0.1 a0.69 ± 0.04 ab0.680.88
M+AGG0.7 ± 0.1 a0.80 ± 0.1 a0.88 ± 0.1 a0.83 ± 0.1 a0.79 ± 0.04 a0.230.33
M+CG0.55 ± 0.1 a0.77 ± 0.1 a0.60 ± 0.1 a0.63 ± 0.1 a0.64 ± 0.04 b0.910.72
Means0.63 ± 0.10.76 ± 0.10.73 ± 0.10.72 ± 0.1 0.350.30
CS: Cropping systems; MM: Maize monoculture; M+AGG: Maize + Aruana Guinea grass; M+CG: Maize + Congo grass. L and Q: p-values for linear and quadratic regression effects, respectively. Means followed by different lowercase letters in the column, within each N rate, differ by Tukey’s test (p < 0.05). Values after ± represent the standard error of the mean.
Table 5. Macronutrient concentrations in the grasses shoot at the physiological maturity stage of the maize in the first crop.
Table 5. Macronutrient concentrations in the grasses shoot at the physiological maturity stage of the maize in the first crop.
CSN Rates (kg ha−1)MeansF Test for Regression
050100150 LQ
Nitrogen (g kg−1)
M+AGG18.38 ± 1.4 a21.70 ± 1.4 a21.70 ± 1.4 a22.58 ± 1.4 a21.09 ± 0.7 a0.110.22
M+CG16.10 ± 1.4 a21.53 ± 1.4 a21.88 ± 1.4 b20.83 ± 1.4 a20.08 ± 0.7 a0.060.02
Means17.24 ± 1.021.61 ± 1.021.79 ± 1.021.70 ± 1.0 0.010.04
P (g kg−1)
M+AGG1.12 ± 0.1 a1.32 ± 0.1 a1.42 ± 0.1 a1.38 ± 0.1 a1.31 ± 0.5 a0.080.12
M+CG0.96 ± 0.1 a1.08 ± 0.1 a1.06 ± 0.1 a1.15 ± 0.1 a1.06 ± 0.5 b0.260.54
Means1.04 ± 0.1 1.20 ± 0.11.24 ± 0.11.26 ± 0.1 0.070.14
K (g kg−1)
M+AGG20.05 ± 1.8 a18.63 ± 1.8 a18.43 ± 1.8 a19.88 ± 1.8 a19.24 ± 0.9 a0.940.84
M+CG15.88 ± 1.8 a15.70 ± 1.8 a13.18 ± 1.8 a20.2 ± 1.8 a16.24 ± 0.9 b0.240.08
Means17.96 ± 1.317.16 ± 1.315.80 ± 1.320.04 ± 1.3 0.500.22
Ca (g kg−1)
M+AGG5.10 ± 0.4 a5.45 ± 0.4 a5.28 ± 0.4 a4.55 ± 0.4 a5.09 ± 0.2 a0.340.28
M+CG3.93 ± 0.4 a4.33 ± 0.4 a4.10 ± 0.4 a3.75 ± 0.4 b4.03 ± 0.2 b0.770.67
Means4.51 ± 0.34.89 ± 0.34.69 ± 0.34.15 ± 0.3 0.420.32
Mg (g kg−1)
M+AGG5.45 ± 0.5 a6.04 ± 0.5 a6.24 ± 0.5 a4.61 ± 0.5 a5.58 ± 0.3 a0.220.01
M+CG5.70 ± 0.5 a6.56 ± 0.5 a6.29 ± 0.5 a4.65 ± 0.5 a5.80 ± 0.3 a0.370.22
Means5.58 ± 0.46.30 ± 0.46.26 ± 0.44.63 ± 0.4 0.160.01
S (g kg−1)
M+AGG1.78 ± 0.2 a1.90 ± 0.2 a 1.95 ± 0.2 a2.00 ± 0.2 a1.91 ± 0.1 a0.410.70
M+CG1.65 ± 0.2 a1.63 ± 0.2 a1.60 ± 0.2 b1.95 ± 0.2 a1.71 ± 0.1 a0.450.58
Means1.71 ± 0.11.76 ± 0.11.78 ± 0.11.98 ± 0.1 0.260.48
CS: Cropping systems; M+AGG: Maize + Aruana Guinea grass; M+CG: Maize + Congo grass. L and Q: p-values for linear and quadratic regression effects, respectively. Means followed by different lowercase letters in the column, within each N rate, differ by Tukey’s test (p < 0.05). Values after ± represent the standard error of the mean.
Table 6. Macronutrient concentrations in the grasses shoot at the physiological maturity stage of the maize in the second crop.
Table 6. Macronutrient concentrations in the grasses shoot at the physiological maturity stage of the maize in the second crop.
CSN Rates (kg ha−1)MeansF Test for Regression
050100150 LQ
N (g kg−1)
M+AGG16.56 ± 0.9 a20.16 ± 0.9 a21.06 ± 0.9 a23.28 ± 0.9 a20.27 ± 0.4 b0.010.01
M+CG17.19 ± 0.9 a22.80 ± 0.9 a22.32 ± 0.9 a24.66 ± 0.9 a21.74 ± 0.4 a0.010.01
Means16.88 ± 0.6121.48 ± 0.6121.69 ± 0.6123.97 ± 0.61 0.010.01
P (g kg−1)
M+AGG1.08 ± 0.1 a1.47 ± 0.1 a1.25 ± 0.1 a1.20 ± 0.1 a1.25 ± 0.1 a0.800.26
M+CG1.00 ± 0.1 a1.13 ± 0.1 a0.80 ± 0.1 b1.07 ± 0.1 a1.00 ± 0.1 b0.760.75
Means1.04 ± 0.061.30 ± 0.061.03 ± 0.061.13 ± 0.06 0.970.71
K (g kg−1)
M+AGG17.93 ± 2.2 a20.1 ± 2.2 a21.33 ± 2.2 a24.78 ± 2.2 a21.02 ± 1.1 a0.060.19
M+CG20.80 ± 2.2 a16.18 ± 2.2 a16.38 ± 2.2 a20.23 ± 2.2 a18.39 ± 1.1 a0.890.24
Means19.36 ± 1.5518.11 ± 1.5518.85 ± 1.5522.50 ± 1.55 0.220.2
Ca (g kg−1)
M+AGG6.65 ± 0.4 a5.98 ± 0.4 a5.45 ± 0.4 a3.70 ± 0.4 a5.44 ± 0.2 a0.010.01
M+CG4.83 ± 0.4 b5.23 ± 0.4 a3.95 ± 0.4 b3.98 ± 0.4 a4.50 ± 0.2 b0.070.18
Means5.74 ± 0.275.60 ± 0.274.70 ± 0.273.84 ± 0.27 0.010.01
Mg (g kg−1)
M+AGG7.28 ± 0.3 a6.74 ± 0.3 a5.85 ± 0.3 a3.97 ± 0.3 b5.96 ± 0.1 a0.010.01
M+CG7.18 ± 0.3 a7.25 ± 0.3 a6.27 ± 0.3 a6.17 ± 0.3 a6.72 ± 0.1 b0.020.06
Means7.23 ± 0.27.00 ± 0.26.06 ± 0.25.07 ± 0.2 0.010.01
S (g kg−1)
M+AGG1.40 ± 0.1 a1.53 ± 0.1 a1.35 ± 0.1 a1.43 ± 0.1 a1.43 ± 0.1 a0.850.96
M+CG1.37 ± 0.1 a1.33 ± 0.1 a1.38 ± 0.1 a1.67 ± 0.1 a1.43 ± 0.1 a0.060.05
Means1.381.431.361.55 0.230.33
CS: Cropping systems; M+AGG: Maize + Aruana Guinea grass; M+CG: Maize + Congo grass. L and Q: p-values for linear and quadratic regression effects, respectively. Means followed by different lowercase letters in the column, within each N rate, differ by Tukey’s test (p < 0.05). Values after ± represent the standard error of the mean.
Table 7. Macronutrient concentrations in the grasses shoot at the time its desiccation in the first crop.
Table 7. Macronutrient concentrations in the grasses shoot at the time its desiccation in the first crop.
CSN Rates (kg ha−1)MeansF Test for Regression
050100150 LQ
N (g kg−1)
M+AGG17.15 ± 1.1 a18.03 ± 1.1 a18.90 ± 1.1 a21.70 ± 1.1 a18.94 ± 0.6 a0.020.45
M+CG16.98 ± 1.1 a17.33 ± 1.1 a22.40 ± 1.1 a19.25 ± 1.1 b18.99 ± 0.6 a0.100.15
Means17.06 ± 0.8017.68 ± 0.8020.65 ± 0.8020.48 ± 0.80 0.380.15
P (g kg−1)
M+AGG1.02 ± 0.1 a0.99 ± 0.1 a1.11 ± 0.1 a1.27 ± 0.1 a1.10 ± 0.04 a0.050.31
M+CG1.05 ± 0.1 a0.93 ± 0.1 a1.15 ± 0.1 a1.03 ± 0.1 a1.04 ± 0.04 a0.750.95
Means1.03 ± 0.060.96 ± 0.061.13 ± 0.061.15 ± 0.06 0.100.22
K (g kg−1)
M+AGG16.90 ± 2.0 a16.38 ± 2.0 a17.25 ± 2.0 a21.30 ± 2.0 a17.96 ± 1.0 a0.210.2
M+CG18.38 ± 2.0 a14.20 ± 2.0 a10.00 ± 2.0 b20.58 ± 2.0 a15.79 ± 1.0 a0.850.01
Means17.64 ± 1.3915.29 ± 1.3913.63 ± 1.3920.94 ± 1.39 0.330.01
Ca (g kg−1)
M+AGG5.73 ± 0.4 a4.80 ± 0.4 a5.38 ± 0.4 a4.63 ± 0.4 a5.13 ± 0.2 a0.210.47
M+CG4.05 ± 0.4 b4.35 ± 0.4 a4.38 ± 0.4 a3.43 ± 0.4 b4.05 ± 0.2 b0.300.15
Means4.89 ± 0.264.58 ± 0.264.89 ± 0.264.03 ± 0.26 0.160.28
Mg (g kg−1)
M+AGG5.34 ± 0.3 a5.31 ± 0.3 a5.33 ± 0.3 a4.65 ± 0.3 a5.15 ± 0.2 a0.140.19
M+CG4.54 ± 0.3 a5.56 ± 0.3 a5.76 ± 0.3 a4.31 ± 0.3 a5.04 ± 0.2 a0.830.02
Means4.94 ± 0.215.44 ± 0.215.54 ± 0.214.48 ± 0.21 0.310.01
S (g kg−1)
M+AGG1.25 ± 0.1 a1.23 ± 0.1 a1.50 ± 0.1 a1.38 ± 0.1 a1.34 ± 0.06 a0.360.63
M+CG1.53 ± 0.1 a1.30 ± 0.1 a1.33 ± 0.1 a1.23 ± 0.1 a1.34 ± 0.06 a0.140.31
Means1.39 ± 0.1 1.26 ± 0.11.41 ± 0.11.30 ± 0.1 0.800.97
CS: Cropping systems; M+AGG: Maize + Aruana Guinea grass; M+CG: Maize + Congo grass. L and Q: p-values for linear and quadratic regression effects, respectively. Means followed by different lowercase letters in the column, within each N rate, differ by Tukey’s test (p < 0.05). Values after ± represent the standard error of the mean.
Table 8. Macronutrient concentrations in the grasses shoot at the time its desiccation in the second crop.
Table 8. Macronutrient concentrations in the grasses shoot at the time its desiccation in the second crop.
CSN Rates (kg ha−1)MeansF Test for Regression
050100150 LQ
N (g kg−1)
M+AGG20.88 ± 1.0 a19.68 ± 1.0 a22.86 ± 1.0 a21.60 ± 1.0 a21.26 ± 0.50.300.60
M+CG16.92 ± 1.0 a20.70 ± 1.0 a23.04 ± 1.0 a18.36 ± 1.0 a19.76 ± 0.5 a0.390.01
Means18.90 ± 0.7220.2 ± 0.7222.95 ± 0.7219.98 ± 0.72 0.190.04
P (g kg−1)
M+AGG1.23 ± 0.1 a1.48 ± 0.1 a1.50 ± 0.1 a1.13 ± 0.1 a1.33 ± 0.1 a0.660.03
M+CG1.15 ± 0.1 a1.58 ± 0.1 a1.60 ± 0.1 a0.98 ± 0.1 b1.33 ± 0.1 a0.590.01
Means1.19 ± 0.11.53 ± 0.11.55 ± 0.11.05 ± 0.1 0.470.01
K (g kg−1)
M+AGG23.40 ± 1.9 a17.53 ± 1.9 b22.17 ± 1.9 a25.03 ± 1.9 a22.03 ± 0.9 a0.350.08
M+CG21.08 ± 1.9 a21.28 ± 1.9 a22.47 ± 1.9 a20.40 ± 1.9 a21.30 ± 0.9 a0.930.88
Means22.24 ± 1.3119.40 ± 1.3122.32 ± 1.3122.71 ± 1.31 0.590.48
Ca (g kg−1)
M+AGG6.15 ± 0.4 a6.63 ± 0.4 a6.75 ± 0.4 a6.10 ± 0.4 a6.41 ± 0.2 a0.990.50
M+CG4.80 ± 0.4 a5.78 ± 0.4 a5.58 ± 0.4 b4.55 ± 0.4 b5.18 ± 0.2 b0.690.12
Means5.48 ± 0.306.20 ± 0.306.16 ± 0.305.33 ± 0.30 0.790.14
Mg (g kg−1)
M+AGG6.34 ± 0.4 a6.12 ± 0.4 b5.97 ± 0.4 a5.82 ± 0.4 a6.06 ± 0.2 b0.340.64
M+CG6.55 ± 0.4 a9.42 ± 0.4 a7.78 ± 0.4 a5.01 ± 0.4 a7.19 ± 0.2 a0.140.01
Means6.45 ± 0.287.77 ± 0.286.87 ± 0.285.42 ± 0.28 0.100.01
S (g kg−1)
M+AGG1.18 ± 0.1 a1.20 ± 0.1 a1.30 ± 0.1 a1.30 ± 0.1 a1.24 ± 0.04 a0.260.53
M+CG1.05 ± 0.1 a1.05 ± 0.1 b1.28 ± 0.1 a1.05 ± 0.1 a1.11 ± 0.04 b0.570.37
Means1.11 ± 0.051.13 ± 0.051.29 ± 0.051.18 ± 0.05 0.240.33
CS: Cropping systems; M+AGG: Maize + Aruana Guinea grass; M+CG: Maize + Congo grass. L and Q: p-values for linear and quadratic regression effects, respectively. Means followed by different lowercase letters in the column, within each N rate, differ by Tukey’s test (p < 0.05). Values after ± represent the standard error of the mean.
Disclaimer/Publisher’s Note: The statements, opinions and data contained in all publications are solely those of the individual author(s) and contributor(s) and not of MDPI and/or the editor(s). MDPI and/or the editor(s) disclaim responsibility for any injury to people or property resulting from any ideas, methods, instructions or products referred to in the content.

Share and Cite

MDPI and ACS Style

Batista, K.; Sarti, M.B.; Vilela, L.A.F.; Gerdes, L.; Barbosa, C.M.P.; Aferri, G. Maize Yield and Nutrient Cycling in Degraded Pasture via Intercropping and Nitrogen Management During the Dry Season. Nitrogen 2026, 7, 36. https://doi.org/10.3390/nitrogen7020036

AMA Style

Batista K, Sarti MB, Vilela LAF, Gerdes L, Barbosa CMP, Aferri G. Maize Yield and Nutrient Cycling in Degraded Pasture via Intercropping and Nitrogen Management During the Dry Season. Nitrogen. 2026; 7(2):36. https://doi.org/10.3390/nitrogen7020036

Chicago/Turabian Style

Batista, Karina, Mayne Barboza Sarti, Laíze Aparecida Ferreira Vilela, Luciana Gerdes, Cristina Maria Pacheco Barbosa, and Gabriela Aferri. 2026. "Maize Yield and Nutrient Cycling in Degraded Pasture via Intercropping and Nitrogen Management During the Dry Season" Nitrogen 7, no. 2: 36. https://doi.org/10.3390/nitrogen7020036

APA Style

Batista, K., Sarti, M. B., Vilela, L. A. F., Gerdes, L., Barbosa, C. M. P., & Aferri, G. (2026). Maize Yield and Nutrient Cycling in Degraded Pasture via Intercropping and Nitrogen Management During the Dry Season. Nitrogen, 7(2), 36. https://doi.org/10.3390/nitrogen7020036

Article Metrics

Article metric data becomes available approximately 24 hours after publication online.
Back to TopTop