Abstract
Reducing fertilizer-N rate, applying a nitrification inhibitor (NI), and incorporating straw are widely recommended to improve N use efficiency of crops and decrease N losses. A field 15N tracer study was conducted to compare their effectiveness on fertilizer-N fates during the maize growing season in Northeast China. The following six treatments were used: (1) no N fertilization (control); (2) 200 kg urea-N ha−1 (100%N); (3) 200 kg urea-N ha−1 and straw (100%N + S); (4) 160 kg urea-N ha−1 (80%N); (5) 160 kg urea-N ha−1 and NI (Nitrapyrin in this study) (80%N + NI); and (6) 160 kg urea-N ha−1, NI, and straw (80%N + NI + S). The results showed that the five N fertilization treatments yielded 16–25% more grain and 39–60% more crop N uptake than the control, but the differences among the five treatments were not statistically significant. Compared with the 100%N, 20% fertilizer-N reduction (80%N) decreased the 15N concentration in topsoil and plant pools but increased the proportion of plant 15N recovery at harvesting (NUE15N, 60% vs. 50%). Compared with the 80%N, NI co-application (80%N + NI) delayed soil nitrification and increased soil 15N retention at harvesting (52% vs. 36%), thereby decreasing NUE15N significantly. Straw incorporation decreased fertilizer-N retention in soil compared with NI co-application because it promoted NUE15N significantly. In conclusion, the results demonstrate that NI and straw additions are efficient strategies for stabilizing fertilizer-N in soils and potentially minimizing N loss; however, their effects on NUE15N vary and the related mechanism must be further clarified in long-term trials.
1. Introduction
Nitrogen fertilizer is applied to increase crop yield but may pollute the nearby environment when it is not managed well [1,2]. A high accumulation of soil mineral N after N fertilization, especially at the early stage of crop growth, has an increased risk of loss via leaching or gas emissions, eventually leading to water eutrophication, climate change, and losses of biodiversity [3,4]. Therefore, designing appropriate measures to enhance fertilizer-N conservation in cropland is crucial [5]. In recent decades, split applications have been created to meet the N requirements of crops in different growth periods while avoiding excessive mineral N accumulation in the early stages [6,7]. However, because of the interference of field crops, the topdressing is hard to apply on large scales by machinery and must be spread by hand, which increases labor inputs. Based on technical and economic considerations, most of the small household farms in China still prefer using a single fertilization regime (all fertilizers applied as basal fertilizers in a single application without any additional topdressing) instead of split fertilization [7,8].
In addition to split fertilization, other strategies such as reduced N application, nitrification inhibitor (NI) application, and straw incorporation have also been developed to regulate N transformations, avoid mineral N accumulation in the soil at the early stage, and reduce fertilizer-N losses [9,10,11]. Ju et al. analyzed data from field, lysimeter, and monitoring studies in two intensive double-cropping systems in China (waterlogged rice/upland wheat in the Taihu region and irrigated wheat/rainfed maize on the North China Plain). Their findings suggest that implementing knowledge-based N reduction strategies in these systems has the potential to sustain crop yields while reducing N loss to the environment [12]. Nitrification inhibitor application can also reduce nitrate accumulation and its leaching and denitrification losses. Several meta-analyses have suggested that NI amendment enhanced fertilizer-N use efficiency (NUE) by 11–27% in various cropping systems [6,13,14,15] while reducing N2O emissions by 34–48% [16,17,18]. Straw incorporation can enhance the transformation from fertilizer-N to soil organic N through microbial-mediated immobilization in the early stage of crop growth, then release it to benefit crop growth at later stages [19]. The vital role of the exogenous organic matter input on soil N cycling has been widely confirmed [20,21,22]. Through modeling, Wang et al. estimated that corn yield in Northeast China can increase by 5.8% under the optimal straw return rate (48% of the straw at harvesting) [23].
Northeast China is a vital food production base due to its high soil fertility [24]. However, intensive agrarian management with high synthetic fertilizer input and low crop residue return has led to the degradation of soil quality [25]. Since the 2010s, the Ministry of Agriculture and Rural Affairs of China has implemented the “double reduction” (reducing fertilizer and pesticide applications) and “black land protection and utilization” strategies to improve fertilizer-NUE and enhance the sustainability of soil nutrient supply. These strategies include reduced N application, NI, and straw incorporation. However, the specific impact of these strategies on the fate of fertilizer N throughout the crop growing season remains uncertain. It is crucial to quantitatively assess their effectiveness on parameters such as crop N uptake, soil N retention, and fertilizer N losses in order to further investigate this particular region.
In Gongzhuling county, Northeast China, a field study using 15N tracer was conducted under local farmers’ management to investigate the fate and distribution of fertilizer-N throughout a single growing season. To allow for multiple samplings within the season, a larger plot (25 m2) was utilized. The study aimed to (1) monitor the dynamic movements of fertilizer-N in soil and plants during one growing season and (2) compare the impacts of reduced N application, NI, and straw incorporation. These practices are expected to enhance the transformation of fertilizer-N into more beneficial pathways, ultimately improving the efficiency of fertilizer-N utilization and reducing N loss.
2. Materials and Methods
2.1. Study Site
The trial was conducted on a maize field in Gongzhuling, Jilin Province (43°30′ N, 124°48′ E), which lies in the Songnen Plain, a critical corn production base in China. The site has a semi-humid continental monsoon climate and has been cultivated for decades. The average annual precipitation and temperature for the study site during 2011–2020 were 666 mm and 6.8 °C, respectively. Maize, the primary cereal crop in the region, is cultivated once a year without any rotation with other crops. The soil in the area is classified as a Mollisol according to the US soil taxonomy and is typical black soil in China. Two days before this trial, soil samples (0–20 cm) were collected and soil characteristics were measured: organic C, 19.1 g kg−1; total N, 1.52 g kg−1; NH4+-N, 14.5 mg kg−1; NO3−-N, 29.6 mg kg−1; and pH, 6.19.
2.2. Experimental Design
Three blocks were arranged on the field in 2016, each containing six plots with an area of 25 m2 each (Figure 1), which were assigned six treatments: (1) Control, no N fertilization; (2) 100%N, applying 200 kg urea-N ha−1; (3) 100%N + S, applying 200 kg urea-N ha−1 and 2400 kg dry straw ha−1; (4) 80%N, applying 160 kg urea-N ha−1; (5) 80%N + NI, applying 160 kg urea-N ha−1 and a nitrification inhibitor (Nitrapyrin, C6H3Cl4N, 1.6 kg ha−1); and (6) 80%N + NI + S, applying urea 160 kg N ha−1, a nitrification inhibitor (Nitrapyrin, C6H3Cl4N, 1.6 kg ha−1), and straw. The straw was obtained from local farmers who had harvested it in the preceding year. The amount of straw added was 2400 kg dry straw ha−1, approximately 25% of the aboveground biomass (excluding grain) at the physiological maturity stage of maize.
Figure 1.
Field arrangement and the sampling area in the plot.
The trial was arranged as ridge–furrow cultivation and strip fertilization, similar to the management practice used by local farmers. In detail, after plowing and ridging, all fertilizers, nitrification inhibitors, and maize straw were placed in each ridge and then covered with soils from the furrows. The abundance of applied 15N-urea was 1.19%, corresponding to δ15N (‰) of 2276. In addition, all plots received 90 kg P2O5 ha−1 and 90 kg K2O ha−1. The maize straw was applied after being crushed into pieces smaller than 3 cm. After fertilization, a hand-powered hole-drilling machine was used for sowing on the ridge.
The maize variety in this study was Xianyu 335, and the planting density was 70,000 plants per hectare. The row and plant spacings were 60 and 20 cm, respectively. Other agronomic practices during the maize growth period followed local farmers’ procedures. Irrigation and fertilization were no longer carried out during the growth period. A nearby meteorological station recorded daily mean air temperature and precipitation during the trial period (Figure 2).
Figure 2.
Daily mean air temperature and precipitation during the experiment. Data for the growing season came from a nearby weather station. Soil and plant samples were collected 42, 82, and 152 days after fertilization, at the six-leaf (V6), tasseling (VT), and physiological maturity (R6) stages of maize, respectively.
2.3. Sampling
Soil and plant samples were collected three times during the growth period (Figure 2), on days 42 (V6, six-leaf stage), 82 (VT, tasseling stage), and 152 (R6, physiological maturity). Details of the sampling process for soil and plant samples were similar to those of Quan et al. [26]. In detail, 0–40 cm soils were sampled in 10 cm intervals. Because fertilizer was unevenly distributed in the soil, a stainless-steel sampling frame was used to sample soils, with a length, width, and height of 60 cm, 25 cm, and 20 cm, respectively. When sampling, the sampling frame was first pressed into the field using a hammer (covering both ridge and furrow parts with a plant in the center), then all 0–10 cm and 10–20 cm soils were dug out separately. After mixing the soil thoroughly by hand and taking a portion as soil samples, the 20–30 and 30–40 cm layers were directly sampled by a soil auger within the frame. The soil bulk density was determined simultaneously with each sampling.
Three plants in the central area of each plot were sampled. Plant samples at different growth stages were divided into one to five organs (cob, root, stem, leaf, and grain) and weighed separately. Fresh samples of various organs were cut into small pieces of <3 cm with a chopper and mixed well for later processes. Parts of the samples were bagged and brought to the laboratory and then dried in an oven (70 °C) to determine their water content and calculate the dry weight of the plants. Only the visible parts in the 0–20 cm layer were collected for maize roots. Dried plant samples were further pulverized by a shredder and then stored in individually sealed bags to determine N concentration and 15N abundance.
2.4. Chemical and Isotope Analysis
Fresh soil samples were taken from the field to the laboratory and passed through a 2-mm sieve. Sub-samples of fresh soil were extracted with 2M potassium chloride (soil–water = 1:4) and shaken for one hour, then filtered through filter papers. The mineral nitrogen (NH4+-N, NO3−-N) concentrations in the extracts were measured by a continuous chemical analyzer (Smart Chem 200, Guidonia-Rome, Italy).
Soil and plant samples were finely ground by a ball mill and then analyzed for total N (TN) concentration and 15N abundance using an elemental analyzer (Elementar Vario MICRO cube, Hessen Hanau, Germany) coupled with a stable isotope ratio mass spectrometer (Isoprime 100, Cheadle Hulme, UK). During the measurement, four standard samples were used (acetanilide, L-histidine, glycine, and D-glutamic acid) to correct the drift and blank.
2.5. Calculation
15N atomic abundance (Ax, 15N as a percentage of the total atomic N) and 15N enrichment relative to the standard () in soil and plant samples were calculated as follows:
where Rx is the “15N and 14N atomic ratio” in the tested sample, which can be measured directly with the stable isotope mass spectrometer. The isotope values of dinitrogen in the atmosphere were assumed to be constant and considered the standard ( = 0.003676, = 0.3663%, = 0‰).
The fate of fertilizer-N in the soil and plant maize pools was calculated as follows [26]:
where is the proportion of crop N derived from in-season applied fertilizer and is the N concentration (%). , , and represent the 15N atomic abundance of the related N pools, background (in the control), and tracer (15N-labeled urea), respectively. and represent the recovery (%) of 15N-labeled urea in the related soil and plant N pools. is the rate of 15N-urea applied (200 kg N ha−1). V is the volume of the soil (1000 m3 ha−1 in every 10-cm layer), and DW is the dry weight of related organs (kg ha−1).
Crop NUE at the R6 stage was calculated as the total 15N recovery by the maize plant:
where NUE15N is the sum of all crop .
2.6. Statistical Analysis
Statistical analysis in this study was performed using SPSS 13.0 (SPSS Inc., Chicago, IL, USA). One-way analysis of variance was used to test differences among the six treatments (n = 3 for each treatment), and multiple comparisons were performed using the least significant difference (LSD) test with a 95% confidence interval. In addition, the linear mixed effect model was used to test the effects of fertilization treatment, sampling time, soil layer or plant organs, and their interactions on soil and plant N index. Figures were made with SigmaPlot 14.0 software.
3. Results
3.1. Soil Mineral N Dynamics
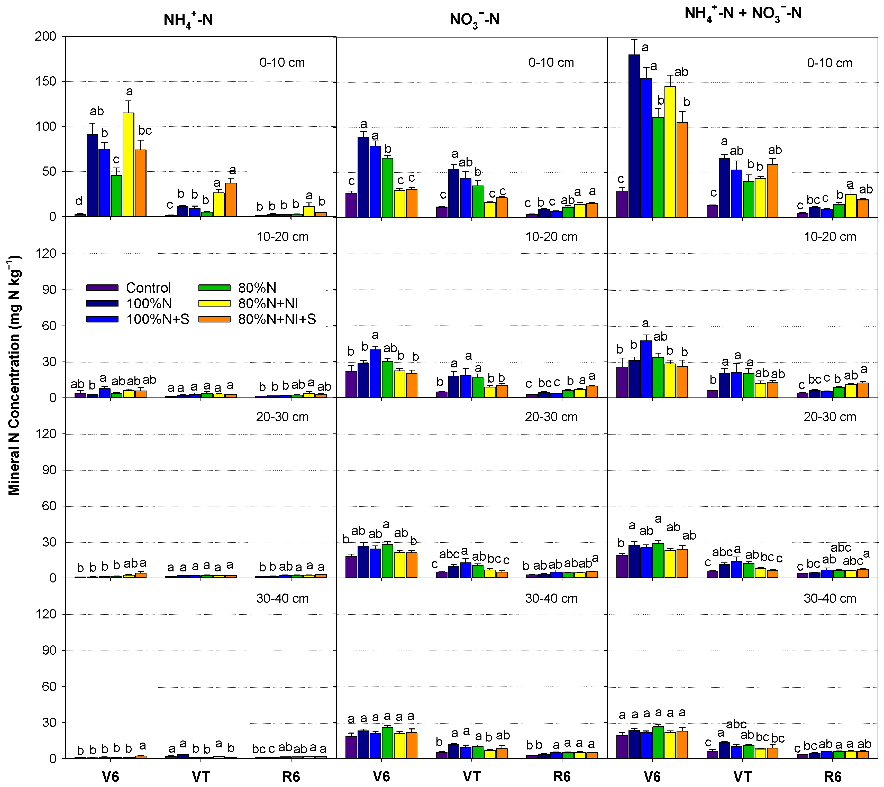
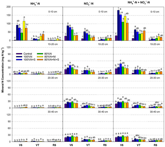
Soil NH4+ and NO3− concentrations decreased along with the increase in soil depth and growth stage, and the differences among treatments were mainly displayed in the 0–10 cm soil layer (Figure 3). Soil mineral N (NH4+ + NO3−) concentrations in the 0–10 cm layer were <30 mg N kg−1 during the whole growth period in the Control and N fertilization significantly enhanced their concentrations. Soil mineral N concentrations in the 100%N treatment were 180, 65, and 12 mg N kg−1 at the V6, VT, and R6 stages, respectively. Compared with the 100%N treatment, mineral N concentrations in the 100%N + S, 80%N, 80%N + NI, and 80%N + NI + S treatments were reduced by 15–42% in the 0–10 cm soil layer at the V6 stage.
Figure 3.
Temporal patterns of soil-extractable NH4+ (left), NO3− (middle), and mineral N (NH4+ + NO3−, right) concentrations in different layers of soil at three sampling periods during cultivation. “V6”, “VT”, and “R6” below the x-axis represent the six-leaf, tasseling, and physiological maturity stages, respectively. Error bars in the figure are standard errors (n = 3). Different lowercase letters above the columns in the same cluster of the same soil layer and the same sampling indicate significant differences (LSD, p < 0.05). The same applies to the following figures.
Compared with the 80%N treatment, soil NH4+ concentration in the 0–10 cm layer in the 80%N + NI treatment was significantly enhanced by 150%, 410%, and 290% at the V6, VT, and R6 stages, respectively (p < 0.05), while soil NO3− concentration was significantly reduced by 54% and 52% at the V6 and VT stages (p < 0.05) (Figure 3). Compared with the 80%N + NI treatment, soil NH4+-N concentration in the 0–10 cm layer in the 80%N + NI + S treatment was significantly reduced by 36% and 61% at the V6 and R6 stages (p < 0.05). NI treatments also significantly reduced NO3− concentrations in the 10–20 cm and 20–30 cm soil layers, but the difference was significant only in a few cases.
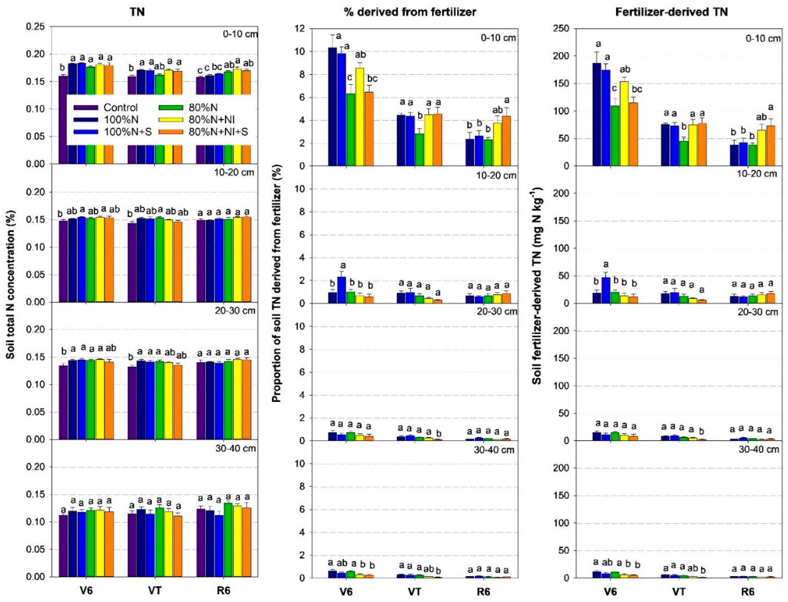
3.2. Soil Total and Fertilizer-Derived N Concentrations
Fertilizer-N mainly remained in the 0–10 cm soil layer and was less distributed in the 10–40 cm soil layers. Compared with the control, soil TN concentrations in the 0–10 cm layer were enhanced by 2–18% in the five N-fertilized treatments (Figure 4). As the growing season progressed, a large amount of soil mineral N is either absorbed by maize root or lost into the environment. The proportion of TN derived from fertilizer in the 0–10 cm soil layer decreased significantly from 10% (V6) to 2% (R6) for the 100%N treatment and from 6% (V6) to 2% (R6) for the 80%N treatment. In comparison to the 80%N treatment, the 80%N + NI + S treatment notably raised the fertilizer-derived TN by 71% and 90% in the 0–10 cm soil layer during the VT and R6 stages (p < 0.05). Conversely, fertilizer-derived TN decreased in deeper soil layers, with significant reductions observed in the 20–30 cm and 30–40 cm soil depths during the VT stage. For the 100%N + S treatment, fertilizer-derived TN retention was increased in the 10–20 cm soil layer in the V6 stage.
Figure 4.
Soil total N concentrations (left), fertilizer-derived proportions (middle), and amounts (right) of fertilizer-derived TN in different layers of soil at three sampling periods during cultivation.
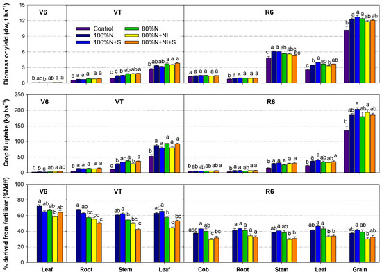
3.3. Maize Biomass, Yield, and Fertilizer-Derived N Uptake
Grain yield and crop N uptake in the control were 10.2 t ha−1 and 180 kg N ha−1 at harvesting (R6 stage), respectively. N-fertilized treatments had significantly higher grain yields (16–25%), plant N concentration (25–48%), and crop N uptake (39–60%) (Figure 5 and Figure S1). However, the differences among the five N-fertilized treatments were not statistically significant. Across the five N-fertilized treatments, 72% of the 15N taken up by crops was distributed to grain, with the remaining 28% distributed to other organs (2%, 3%, 10%, and 13% for cob, root, stem, and leaf, respectively).
Figure 5.
Biomass (top), crop N uptake (middle), and fertilizer-derived proportions (bottom) in different organs of maize at three sampling periods during cultivation.
The proportion of crop N derived from fertilizer (%Ndff), calculated by plant 15Nδ, varied widely among growth stages and treatments but little among organs (Table S1, Figure S2). The %Ndff for the whole maize plant decreased from 59–72% at the V6 stage to 47–64% at the VT stage, and finally to 31–42% at the R6 stage. Nitrification inhibitor application (80%N + NI and 80%NI + NI + S) significantly reduced the %Ndff by 4–12%, 12–15%, and 13–18% at the V6, VT, and R6 stages, respectively, compared with the 80%N treatment. The effect of straw incorporation was not significant.
3.4. 15N Recoveries in the Soil–Maize System
As maize growth progressed, soil residual 15N concentration gradually decreased and the maize uptake of 15N gradually increased (Figure 6). At harvesting (R6 stage), 28–59% was retained in the soil, and 50–60% was taken up by maize. Most soil 15N was recovered from the 0–10 cm layer (19–46%). Compared with the 100%N treatment, the 100%N + S treatment increased 15N retention in the 0–10 cm soil layer by 12% (p > 0.05) and significantly promoted plant 15N recovery (NUE15N) by 20% at the R6 stage (p < 0.05). NI co-application enhanced 15N retention in the 0–10 cm soil layer by 69% (80%N + NI, p > 0.05) and 90% (80%N + NI + S, p < 0.05) at the R6 stage (Figure 4), and it reduced NUE15N by 15% (p < 0.05) and 12% (p > 0.05), compared with the 80%N treatment.
Figure 6.
Temporal patterns of 15N recovery in different layers of soil and different organs of maize and the unaccounted loss at four sampling stages during cultivation.
Because of error propagation, the proportion of fertilizer-N loss calculated by the difference method varied largely and had negative values (Figure 6). Reduced N application, nitrification inhibitor co-application, and straw incorporation were all beneficial to mitigate the proportion of fertilizer-N loss (15N-loss%). Compared with the 100%N treatment, the 80%N treatment significantly reduced 15N-loss% from 22% to 4% (p < 0.05), while the 80%N + NI + S treatment further reduced fertilizer-N loss to −13% at the R6 stage (p < 0.05).
The N absorbed by crops was mainly derived from the applied fertilizer at the V6 and VT stages, and then shifted to being derived mainly from the soil at the R6 stage (Figure 7). At the V6 stage, NI application treatments had much higher fertilizer-derived N uptake than the 100%N + S treatment (2.4–2.5 kg N ha−1 vs. 1.5 kg N ha−1, p < 0.05). However, from the V6 to VT stage, the 80%N + NI treatment had much lower fertilizer-derived N uptake than other treatments. From the VT to R6 stage, compared with the 100%N and 80%N treatments, the 100%N + S and 80%N + NI treatments significantly promoted fertilizer-derived N uptake (p < 0.05).
Figure 7.
Fertilizer- and soil-derived N uptake in three time periods of maize cultivation (from sowing to V6, V6 to VT, and VT to R6).
4. Discussion
This study compared the effect of reduced N application, NI, and straw incorporation on fertilizer-N fates. Reducing N application by 20% improved NUE15N and reduced 15N-loss% remarkably, while maintaining crop N uptake. In contrast, NI co-application significantly increased fertilizer-N turnover and retention in soil, resulting in decreases in NUE15N and 15N-loss%. Compared with NI, straw incorporation decreased the magnitude of fertilizer-N retention and promoted NUE15N.
4.1. Effects of Reduced N Application on Fertilizer-N Fates
Compared with the 100%N treatment, the control still achieved 83% of the grain yield and 73% of the crop N uptake (Figure 4), implying that the soil had a high nutrient-supply capacity. Generally, high-fertility soils with high nutrient-supply capacity can satisfy most of the crop demand for nutrients in one or several growing seasons, even with no exogenous nutrient input. Consequently, in this study, the differences in grain yield and N uptake between the 100%N and 80%N treatments were small and insignificant owing to the buffering effect of soil fertility (including the legacy fertility of previously applied fertilizer). In a meta-analysis based on 15N tracer studies in maize cropping systems worldwide, Quan et al. found that reducing N rates from approximately 200 kg N ha−1 to 140 kg N ha−1 maintained maize N uptake in the North China Plain (NCP) [27]; however, this practice failed in the American Corn Belt. Cropland soils in the NCP were reported to have accumulated a large amount of mineral N due to long-term over-fertilization and high atmospheric N deposition, which may be related to the insensitivity of fertilizer-N reduction on crop N uptake and grain yield [27,28]. Although the treatment of reducing the fertilizer-N rate improved NUE15N remarkably because of the “law of diminishing return” (the efficiency of crop N uptake instinctively decreases with the increase in N input), its potential effects on grain yield and crop N uptake must be further assessed using long-term trials along with the soil fertility [29,30].
In this study, a soil N imbalance was found, even in the 100%N treatment. Crop N uptake was approximately 250 kg N ha−1 for the N fertilization treatments, much higher than the application rate of urea N (200 kg N ha−1) by local farmers. Even if the gap can be partly replenished by atmospheric N deposition and non-symbiotic N fixation, it is unlikely to balance the input and output of soil N stock. Since there is no rotation of leguminous crops or other crops, the N deficit in the soil cannot be additionally replenished. Straw incorporation may relieve the imbalance because 100% straw returning can provide almost one-third of the crop N uptake (approximately 85 kg N ha−1) (Figure 4). However, in the studied region, most of the straw is removed from the field to feed livestock or for burning [31]. Another critical piece of evidence supporting soil N imbalance is the Ndfs (crop N derived from the soil), which ranged from 154 to 186 kg N ha−1 among the five N fertilization treatments, much higher than the corresponding fertilizer-N retention in the 0–40 cm soil layers (only 56–96 kg N ha−1) (Figure 2 and Figure 5). Soil N supply capacity is primarily sustained by human-controllable external N input, and long-term soil N deficit weakens soil N fertility [30,32]. Therefore, reducing fertilizer-N application can only be sustainable when soil N balance is considered and accompanied by other N-replenishing measures to prevent soil N deficit.
4.2. Effects of Nitrification Inhibitor Co-Application on Fertilizer-N Fates
This study showed that blending fertilizers with NI suppressed fertilizer-derived N uptake (Figure 7), which might be related to the changes in soil N availability, as NI application changed the relative proportions of NH4+-N and NO3−-N [33,34]. The inhibitory effect of NI application on ammonium oxidation increased the residence time of ammonium in the soil [15,35]. Consequently, the fertilizer-N supply was stabilized by biotic NH4+-N immobilization (microbial assimilation) and abiotic NH4+-N fixation (2:1 clay minerals), which could be responsible for the increased 15N retention and decreased 15N-nitrate. Therefore, maize roots absorbed less fertilizer-N because maize is a nitrate-preferring crop [27,34,36]. This finding was roughly in line with other 15N studies using straw-biochar as the exogenous additive to modify soil in wheat and cotton-barley cropping systems, where increased fertilizer-N retention in the soil and decreased fertilizer-N uptake by crops were both observed [37,38]. The effect of an NI on crop N uptake varied among different soil conditions [39]. In a meta-analysis by Quan et al., enhanced-efficiency N fertilizers (including urease inhibitor or NI application and slow-release fertilizers) were also found effective in promoting fertilizer-N retention and reducing 15N-loss%, %Ndff, and NUE15N, but these effects were not significant [27]. As upland crops prefer to absorb nitrate as N nutrition, the major role of NI application in upland agroecosystems may be the preservation of fertilizer-N to facilitate long-term N supply, rather than the in-season utilization by crops.
Although an NI decreased NUE15N in some studies, it may maintain crop N uptake and grain yield by changing native soil N conversion and availability, especially for alkaline soils where nitrification is reported to be much stronger than in acidic soils [17]. In this study, crop N uptake was not affected because maize absorbed more N from the native soil N pool attributed to the so-called “added N interaction” (ANI, increased N uptake derived from native soil organic N induced by NI addition) (Figure 7). Given that part of the increased crop N uptake under N fertilization cannot be traced by 15N-tracer owing to the influence of ANI, the estimated NUE15N might be apparent and usually lower than the actual value [30,37]. In non-labeling trials, the effect of NI on NUE enhancement tended to be positive [6]. The integrated effects of NI application on soil N supply and crop N uptake still need to be tested in long-term studies by synthesizing results from both non-labeling and labeling trials.
4.3. Effects of Straw Incorporation on Fertilizer-N Fates
Straw incorporation can increase soil N availability because it accelerates the process of soil N mineralization and immobilization turnover (MIT). However, it may also decrease soil N availability because it fuels denitrifiers and increases N gaseous losses [40,41,42]. In this study, straw incorporation increased fertilizer-N retention in soil, promoted fertilizer-N uptake, and reduced fertilizer-N loss, although the difference was mostly insignificant. Similar findings were also obtained by Yuan et al. and Cao et al., where straw incorporation enhanced fertilizer-derived N uptake by 15–23% [10,41]. The newly immobilized N after C source addition, like a biological controlled-release fertilizer, can enhance native soil N availability, benefiting long-term crop N uptake [42]. The effect of organic additives on the fate of fertilizer-N depends on the activity of the organic material [43,44]. In the presence of an activated C source such as glucose, negative ANI was usually observed because of the intense microbial immobilization, which reduced the crop N uptake derived from either fertilizer or indigenous soil [45,46,47]. In contrast, in the presence of an inert C source such as maize straw, its effect on fertilizer-N transformation would be much lower, mainly because of the slow degradation of straw materials [42,48]
In addition to promoting the MIT and denitrification processes, straw returning also provides other essential nutrients (e.g., phosphorus and potassium) for crop growth [26,49]. Thus, straw returning is also considered an effective nutrient-conserving practice to increase nutrient supply capacity in the long term [50]. Based on 15N tracer studies, Ding et al. reported that straw N is also a critical source of maize growth, contributing approximately 10% to crop N uptake in the current season [51]. Straw incorporation has a slower effect on the soil N cycle than an NI, but its overall impact on the soil environment is more prominent and needs to be tested in long-term trials. Based on published results, soil microbial activity and buffering ability under the practice of long-term straw returning can be continuously increased, resulting in improved soil fertility, weakened fertilizer dependency, and strengthened crop yield [36,52,53,54].
5. Conclusions
Understanding the dynamics of fertilizer-N fate in soil–plant systems is crucial for developing effective N management strategies to enhance N use efficiency in cultivated croplands. In this study, a field trial using 15N tracer was conducted to investigate the fate of urea-N in a black soil–spring maize cropping system in Northeast China, while also comparing the effects of reduced N application, nitrification inhibitor (NI) addition, and straw incorporation. The results revealed that NI addition and straw incorporation are efficient strategies to stabilize fertilizer-N and maintain the short-term N supply of soil in the maize cropping system, potentially minimizing fertilizer-N losses.
Moreover, this study observed a soil N deficit or imbalance when N fertilizer was reduced by 20%, but it did not affect grain yield or crop N uptake. This highlights the importance of soil N supply for achieving high yields, even though it involves depleting the soil’s N reservoir. Continuous depletion of soil N may eventually reduce crop productivity, underscoring the urgency of external N supplementation. While returning straw and livestock manure to the field is beneficial, their short-term impact is limited due to the soil’s strong buffering capacity. Local authorities should encourage farmers to consider the long-term benefits of organic returns. The study’s limitations include its short duration, and future research should include more extensive 15N tracer studies over a longer period to assess the potential for improving soil fertility and long-term N use efficiency.
Supplementary Materials
The following supporting information can be downloaded at https://www.mdpi.com/article/10.3390/nitrogen5030039/s1, Table S1. Results (F values) of linear mixed effect model testing of the effects of fertilization treatment (F), sampling time (T), soil layer or plant organs (D), and their interactions on soil and plant N index. Figure S1. Carbon concentration (top), N concentration (middle), and C/N (bottom) in different organs of maize at three sampling periods during cultivation. Figure S2. 13Cδ (top) and 15Nδ (bottom) in different organs of maize at three sampling periods during cultivation.
Author Contributions
Conceptualization, Z.Q., S.L., C.L. (Caiyan Lu), X.C. and Y.F.; methodology, Z.Q. and S.L.; software, Z.Q., Y.W., X.Z. and M.Y.; validation, Z.Q., S.L. and Y.F.; formal analysis, Z.Q., Y.W., X.Z. and M.Y.; investigation, Z.Q. and S.L.; resources, Z.Q., Z.X., C.L. (Chang Liu), D.L. and Y.F.; data curation, Z.Q., S.L., C.L. (Chang Liu), D.L. and Y.F.; writing—original draft preparation, Z.Q.; writing—review and editing, Z.Q., S.L., Z.X., D.L., C.L. (Chang Liu), Y.W., X.Z., M.Y., C.L. (Caiyan Lu), X.C. and Y.F.; visualization, Z.Q.; supervision, C.L. (Caiyan Lu), X.C. and Y.F.; project administration, Z.Q. and Y.F.; funding acquisition, Y.F. All authors have read and agreed to the published version of the manuscript.
Funding
This research was funded by the Strategic Priority Research Program of the Chinese Academy of Sciences (XDA28020302), the National Key Research and Development Program of China (2023YFD1501400; 2023YFD1500802), the National Natural Science Foundation of China (42177214), the Shandong Provincial Natural Science Foundation (ZR2023YQ030), the Liaoning Vitalization Talents Program (XLYC2203058), Shenyang Science and Technology Talent Program (RC230102), and the Taishan Scholars (202211306). We also acknowledge support from the K.C. Wong Education Foundation (Y.F.) and the Youth Innovation Promotion Association of the Chinese Academy of Sciences (Z.Q.).
Data Availability Statement
The datasets generated during the current study are available from the corresponding author on reasonable request.
Acknowledgments
We thank Xiaoming Fang, Meixia Gao, Chenxia Su, and Linlin Song for their help with sample processing and laboratory analysis.
Conflicts of Interest
The authors declare no conflicts of interest.
References
- Reis, S.; Bekunda, M.; Howard, C.M.; Karanja, N.; Winiwarter, W.; Yan, X.; Bleeker, A.; Sutton, M.A. Synthesis and review: Tackling the nitrogen management challenge: From global to local scales. Environ. Res. Lett. 2016, 11, 120205. [Google Scholar] [CrossRef]
- Battye, W.; Aneja, V.P.; Schlesinger, W.H. Is nitrogen the next carbon? Earth’s Future 2017, 5, 894–904. [Google Scholar] [CrossRef]
- Erisman, J.W.; Galloway, J.N.; Dice, N.B.; Sutton, M.A.; Bleeker, A.; Grizzetti, B.; Leach, A.M.; de Vries, W. Nitrogen Too Much of a Vital Resource; Science Brief WWF Netherlands: Zeist, The Netherlands, 2015. [Google Scholar]
- Yu, C.; Huang, X.; Chen, H.; Godfray, H.C.J.; Wright, J.S.; Hall, J.W.; Gong, P.; Ni, S.; Qiao, S.; Huang, G.; et al. Managing nitrogen to restore water quality in China. Nature 2019, 567, 516–520. [Google Scholar] [CrossRef] [PubMed]
- Zamparas, M.; Kyriakopoulos, G.L.; Drosos, M.; Kapsalis, V.C. Phosphate and ammonium removal from wastewaters using natural-based innovative bentonites impacting on resource recovery and circular economy. Molecules 2021, 26, 6684. [Google Scholar] [CrossRef] [PubMed]
- Xia, L.; Lam, S.K.; Chen, D.; Wang, J.; Tang, Q.; Yan, X. Can knowledge-based N management produce more staple grain with lower greenhouse gas emission and reactive nitrogen pollution? A meta-analysis. Glob. Chang. Biol. 2017, 23, 1917–1925. [Google Scholar] [CrossRef] [PubMed]
- Hu, C.; Sadras, V.O.; Lu, G.; Zhang, P.; Han, Y.; Liu, L.; Xie, J.; Yang, X.; Zhang, S. A global meta-analysis of split nitrogen application for improved wheat yield and grain protein content. Soil Tillage Res. 2021, 213, 105111. [Google Scholar] [CrossRef]
- Shen, J.; Li, Y.; Wang, Y.; Zhu, X.; Jiang, W.; Li, Y.; Wu, J. Soil nitrogen cycling and environmental impacts in the subtropical hilly region of China: Evidence from measurements and modeling. Front. Agric. Sci. Eng. 2022, 9, 407–424. [Google Scholar]
- Liu, C.; Lu, M.; Cui, J.; Li, B.; Fang, C. Effects of straw carbon input on carbon dynamics in agricultural soils: A meta-analysis. Glob. Chang. Biol. 2014, 20, 1366–1381. [Google Scholar] [CrossRef] [PubMed]
- Yuan, L.; Chen, X.; Jia, J.; Chen, H.; Shi, Y.; Ma, J.; Liang, C.; Liu, Y.; Xie, H.; He, H.; et al. Stover mulching and inhibitor application maintain crop yield and decrease fertilizer N input and losses in no-till cropping systems in Northeast China. Agric. Ecosyst. Environ. 2021, 312, 107360. [Google Scholar] [CrossRef]
- Liu, J.; Jiang, B.; Shen, J.; Zhu, X.; Yi, W.; Li, Y.; Wu, J. Contrasting effects of straw and straw-derived biochar applications on soil carbon accumulation and nitrogen use efficiency in double-rice cropping systems. Agric. Ecosyst. Environ. 2021, 311, 107286. [Google Scholar] [CrossRef]
- Ju, X.; Xing, G.; Chen, X.; Zhang, S.; Zhang, L.; Liu, X.; Cui, Z.; Yin, B.; Christie, P.; Zhu, Z.; et al. Reducing environmental risk by improving N management in intensive Chinese agricultural systems. Proc. Natl. Acad. Sci. USA 2009, 106, 3041–3046. [Google Scholar] [CrossRef] [PubMed]
- Abalos, D.; Jeffery, S.; Sanz-Cobena, A.; Guardia, G.; Vallejo, A. Meta-analysis of the effect of urease and nitrification inhibitors on crop productivity and nitrogen use efficiency. Agric. Ecosyst. Environ. 2014, 189, 136–144. [Google Scholar] [CrossRef]
- Li, T.; Zhang, W.; Yin, J.; Chadwick, D.; Norse, D.; Lu, Y.; Liu, X.; Chen, X.; Zhang, F.; Powlson, D.; et al. Enhanced-efficiency fertilizers are not a panacea for resolving the nitrogen problem. Glob. Chang. Biol. 2018, 24, e511–e521. [Google Scholar] [CrossRef] [PubMed]
- Sha, Z.; Ma, X.; Wang, J.; Lv, T.; Li, Q.; Misselbrook, T.; Liu, X. Effect of N stabilizers on fertilizer-N fate in the soil-crop system: A meta-analysis. Agric. Ecosyst. Environ. 2020, 290, 106763. [Google Scholar] [CrossRef]
- Qiao, C.; Liu, L.; Hu, S.; Compton, J.E.; Greaver, T.L.; Li, Q. How inhibiting nitrification affects nitrogen cycle and reduces environmental impacts of anthropogenic nitrogen input. Glob. Chang. Biol. 2015, 21, 1249–1257. [Google Scholar] [CrossRef] [PubMed]
- Yang, M.; Fang, Y.; Sun, D.; Shi, Y. Efficiency of two nitrification inhibitors (dicyandiamide and 3, 4-dimethypyrazole phosphate) on soil nitrogen transformations and plant productivity: A meta-analysis. Sci. Rep. 2016, 6, 22075. [Google Scholar] [CrossRef] [PubMed]
- Gao, J.; Luo, J.; Lindsey, S.; Shi, Y.; Sun, Z.; Wei, Z.; Wang, L. Benefits and risks for the environment and crop production with application of nitrification inhibitors in China. J. Soil Sci. Plant Nutr. 2020, 21, 497–512. [Google Scholar] [CrossRef]
- Luo, G.; Li, L.; Friman, V.P.; Guo, J.; Guo, S.; Shen, Q.; Ling, N. Organic amendments increase crop yields by improving microbe-mediated soil functioning of agroecosystems: A meta-analysis. Soil Biol. Biochem. 2018, 124, 105–115. [Google Scholar] [CrossRef]
- Lu, C.; Chen, H.; Teng, Z.; Yuan, L.; Ma, J.; He, H.; Chen, X.; Zhang, X.; Shi, Y. Effects of N fertilization and maize straw on the dynamics of soil organic N and amino acid N derived from fertilizer N as indicated by 15N labeling. Geoderma 2018, 321, 118–126. [Google Scholar] [CrossRef]
- Lu, C.; Wang, H.; Chen, H.; Yuan, L.; Ma, J.; Shi, Y.; Zhang, X.; He, H.; Chen, X. Effects of N fertilization and maize straw on the transformation and fate of labeled (15NH4)2SO4 among three continuous crop cultivations. Agric. Water Manag. 2018, 208, 275–283. [Google Scholar] [CrossRef]
- Elrys, A.S.; Uwiragiye, Y.; Zhang, Y.; Abdel-Fattah, M.K.; Chen, Z.; Zhang, L.; Meng, L.; Wang, J.; Zhu, T.; Cheng, Y.; et al. Expanding agroforestry can increase nitrate retention and mitigate the global impact of a leaky nitrogen cycle in croplands. Nat. Food 2023, 4, 109–121. [Google Scholar] [CrossRef] [PubMed]
- Wang, S.; Huang, X.; Zhang, Y.; Yin, C.; Richel, A. The effect of corn straw return on corn production in Northeast China: An integrated regional evaluation with meta-analysis and system dynamics. Resour. Conserv. Recycl. 2021, 167, 105402. [Google Scholar] [CrossRef]
- Niu, X.; Xie, R.; Liu, X.; Zhang, F.; Li, S.; Gao, S. Maize yield gains in Northeast China in the last six decades. J. Integr. Agric. 2013, 12, 630–637. [Google Scholar] [CrossRef]
- Liu, N.; He, H.; Xie, H.; Bai, Z.; Zhang, X.; Peng, C.; Zhu, P.; Ren, J.; Wang, L. Impacts of long-term inorganic and organic fertilization on lignin in a Mollisol. J. Soils Sediments 2010, 10, 1466–1474. [Google Scholar] [CrossRef]
- Quan, Z.; Li, S.; Zhu, F.; Zhang, L.; He, J.; Wei, W.; Fang, Y. Fates of 15N-labeled fertilizer in a black soil-maize system and the response to straw incorporation in Northeast China. J. Soils Sediments 2018, 18, 1441–1452. [Google Scholar] [CrossRef]
- Quan, Z.; Zhang, X.; Davidson, E.A.; Zhu, F.; Li, S.; Zhao, X.; Chen, X.; Zhang, L.M.; He, J.Z.; Wei, W.; et al. Fates and use efficiency of nitrogen fertilizer in maize cropping systems and their responses to technologies and management practices: A global analysis on field 15N tracer studies. Earth’s Future 2021, 9, e2020EF001514. [Google Scholar] [CrossRef]
- Ju, X.; Liu, X.; Zhang, F.; Roelcke, M. Nitrogen fertilization, soil nitrate accumulation, and policy recommendations in several agricultural regions of China. AMBIO J. Hum. Environ. 2004, 33, 300–305. [Google Scholar] [CrossRef]
- Wallace, A.J.; Armstrong, R.D.; Grace, P.R.; Scheer, C.; Partington, D.L. Nitrogen use efficiency of 15N urea applied to wheat based on fertiliser timing and use of inhibitors. Nutr. Cycl. Agroecosystems 2020, 116, 41–56. [Google Scholar] [CrossRef]
- Quan, Z.; Zhang, X.; Fang, Y.; Davidson, E.A. Different quantification approaches for nitrogen use efficiency lead to divergent estimates with varying advantages. Nat. Food 2021, 2, 241–245. [Google Scholar] [CrossRef] [PubMed]
- Gao, L.; Ma, L.; Zhang, W.; Wang, F.; Ma, W.; Zhang, F. Estimation of nutrient resource quantity of crop straw and its utilization situation in China. Trans. CSAE 2009, 25, 173–179, (In Chinese with English Abstract). [Google Scholar]
- Powlson, D.S.; Jenkinson, D.S.; Johnston, A.E.; Poulton, P.R.; Glendining, M.J.; Goulding, K.W.T. Comments on “Synthetic nitrogen fertilizers deplete soil nitrogen: A global dilemma for sustainable cereal production”, by R. L. Mulvaney, S.A. Khan, and T. R. Ellsworth in the Journal of Environmental Quality 2009 38:2295–2314. J. Environ. Qual. 2010, 39, 749–752. [Google Scholar] [CrossRef]
- Dawar, K.; Khan, A.; Sardar, K.; Fahad, S.; Saud, S.; Datta, R.; Danish, S. Effects of the nitrification inhibitor nitrapyrin and mulch on N2O emission and fertilizer use efficiency using 15N tracing techniques. Sci. Total Environ. 2021, 757, 143739. [Google Scholar] [CrossRef] [PubMed]
- Ma, Q.; Wu, Z.; Shen, S.; Zhou, H.; Jiang, C.; Xu, Y.; Liu, R.; Yu, W. Responses of biotic and abiotic effects on conservation and supply of fertilizer N to inhibitors and glucose inputs. Soil Biol. Biochem. 2015, 89, 72–81. [Google Scholar] [CrossRef]
- Alonso-Ayuso, M.; Gabriel, J.L.; Quemada, M. Nitrogen use efficiency and residual effect of fertilizers with nitrification inhibitors. Eur. J. Agron. 2016, 80, 1–8. [Google Scholar] [CrossRef]
- Ma, Q.; Jiang, C.; Li, S.; Yu, W. Maize yield and nitrogen-use characteristics were promoted as consistently improved soil fertility: 6-year straw incorporation in Northeast China. Plant Soil Environ. 2021, 67, 383–389. [Google Scholar] [CrossRef]
- Wang, Z.; Wang, Z.; Luo, Y.; Zhan, Y.; Meng, Y.; Zhou, Z. Biochar increases 15N fertilizer retention and indigenous soil N uptake in a cotton-barley rotation system. Geoderma 2020, 357, 113944. [Google Scholar] [CrossRef]
- Shi, W.; Bian, R.; Li, L.; Lian, W.; Liu, X.; Zheng, J.; Cheng, K.; Zhang, X.; Drosos, M.; Joseph, S.; et al. Assessing the impacts of biochar-blended urea on nitrogen use efficiency and soil retention in wheat production. GCB-Bioenergy 2021, 14, 65–83. [Google Scholar] [CrossRef]
- Linquist, B.A.; Liu, L.; van Kessel, C.; van Groenigen, K.J. Enhanced efficiency nitrogen fertilizers for rice systems: Meta-analysis of yield and nitrogen uptake. Field Crops Res. 2013, 154, 246–254. [Google Scholar] [CrossRef]
- Said-Pullicino, D.; Cucu, M.A.; Sodano, M.; Birk, J.J.; Glaser, B.; Celi, L. Nitrogen immobilization in paddy soils as affected by redox conditions and rice straw incorporation. Geoderma 2014, 228–229, 44–53. [Google Scholar] [CrossRef]
- Cao, Y.; Sun, H.; Zhang, J.; Chen, G.; Zhu, H.; Zhou, S.; Xiao, H. Effects of wheat straw addition on dynamics and fate of nitrogen applied to paddy soils. Soil Tillage Res. 2018, 178, 92–98. [Google Scholar] [CrossRef]
- Yu, C.; Xie, X.; Yang, H.; Yang, L.; Li, W.; Wu, K.; Zhang, W.; Feng, C.; Li, D.; Wu, Z.; et al. Effect of straw and inhibitors on the fate of nitrogen applied to paddy soil. Sci. Rep. 2020, 10, 21582. [Google Scholar] [CrossRef]
- Chen, B.; Liu, E.; Tian, Q.; Yan, C.; Zhang, Y. Soil nitrogen dynamics and crop residues. A review. Agron. Sustain. Dev. 2014, 34, 429–442. [Google Scholar] [CrossRef]
- Pan, F.; Yu, W.; Ma, Q.; Zhou, H.; Jiang, C.; Xu, Y.; Ren, J. Influence of 15N-labeled ammonium sulfate and straw on nitrogen retention and supply in different fertility soils. Biol. Fertil. Soils 2017, 53, 303–313. [Google Scholar] [CrossRef]
- Cheng, Y.; Wang, J.; Wang, J.; Chang, S.X.; Wang, S. The quality and quantity of exogenous organic carbon input control microbial NO3− immobilization: A meta-analysis. Soil Biol. Biochem. 2017, 115, 357–363. [Google Scholar] [CrossRef]
- Liu, S.; Wang, J.; Pu, S.; Blagodatskaya, E.; Kuzyakov, Y.; Razavi, B.S. Impact of manure on soil biochemical properties: A global synthesis. Sci. Total Environ. 2020, 745, 141003. [Google Scholar] [CrossRef] [PubMed]
- Ma, Q.; Zhang, X.; Wu, Z.; Li, S.; Xu, Z.; Zhou, C.; Xia, Z.; Zhu, M.; Gao, Y.; Yu, W. Occurrence of added nitrogen interaction affected by nitrogen stabilizer and glucose additions in an Alfisol. Eur. J. Soil Biol. 2021, 103, 103285. [Google Scholar] [CrossRef]
- Ding, X.; Han, X.; Zhang, X. Long-term impacts of manure, straw, and fertilizer on amino sugars in a silty clay loam soil under temperate conditions. Biol. Fertil. Soils 2013, 49, 949–954. [Google Scholar] [CrossRef]
- Hu, G.; Liu, X.; He, H.; Zhang, W.; Xie, H.; Wu, Y.; Cui, J.; Sun, C.; Zhang, X. Multi-seasonal nitrogen recoveries from crop residue in soil and crop in a temperate agro-ecosystem. PLoS ONE 2015, 10, e0133437. [Google Scholar] [CrossRef]
- Wang, M.; Pendall, E.; Fang, C.; Li, B.; Nie, M. A global perspective on agroecosystem nitrogen cycles after returning crop residue. Agric. Ecosyst. Environ. 2018, 266, 49–54. [Google Scholar] [CrossRef]
- Ding, W.; Li, S.; He, P.; Huang, S. Contribution and fate of maize residue-15N and urea-15N as affected by N fertilization regime. PLoS ONE 2019, 14, e0210176. [Google Scholar] [CrossRef] [PubMed]
- Li, F.; Wang, Z.; Dai, J.; Li, Q.; Wang, X.; Xue, C.; Liu, H.; He, G. Fate of nitrogen from green manure, straw, and fertilizer applied to wheat under different summer fallow management strategies in dryland. Biol. Fertil. Soils 2015, 51, 769–780. [Google Scholar] [CrossRef]
- Bird, J.A.; Horwath, W.R.; Eagle, A.J.; van Kessel, C. Immobilization of fertilizer nitrogen in rice: Effects of straw management practice. Soil Sci. Soc. Am. J. 2001, 65, 1143–1152. [Google Scholar] [CrossRef]
- Liu, X.; Zhou, F.; Hu, G.; Shao, S.; He, H.; Zhang, W.; Zhang, X.; Li, L. Dynamic contribution of microbial residues to soil organic matter accumulation influenced by maize straw mulching. Geoderma 2019, 333, 35–42. [Google Scholar] [CrossRef]
Disclaimer/Publisher’s Note: The statements, opinions and data contained in all publications are solely those of the individual author(s) and contributor(s) and not of MDPI and/or the editor(s). MDPI and/or the editor(s) disclaim responsibility for any injury to people or property resulting from any ideas, methods, instructions or products referred to in the content. |
© 2024 by the authors. Licensee MDPI, Basel, Switzerland. This article is an open access article distributed under the terms and conditions of the Creative Commons Attribution (CC BY) license (https://creativecommons.org/licenses/by/4.0/).






