Extent and Variation of Nitrogen Losses from Non-legume Field Crops of Conterminous United States
Abstract
1. Introduction
2. Materials and Methods
2.1. Data Compilation
2.2. Data Analysis
3. Results
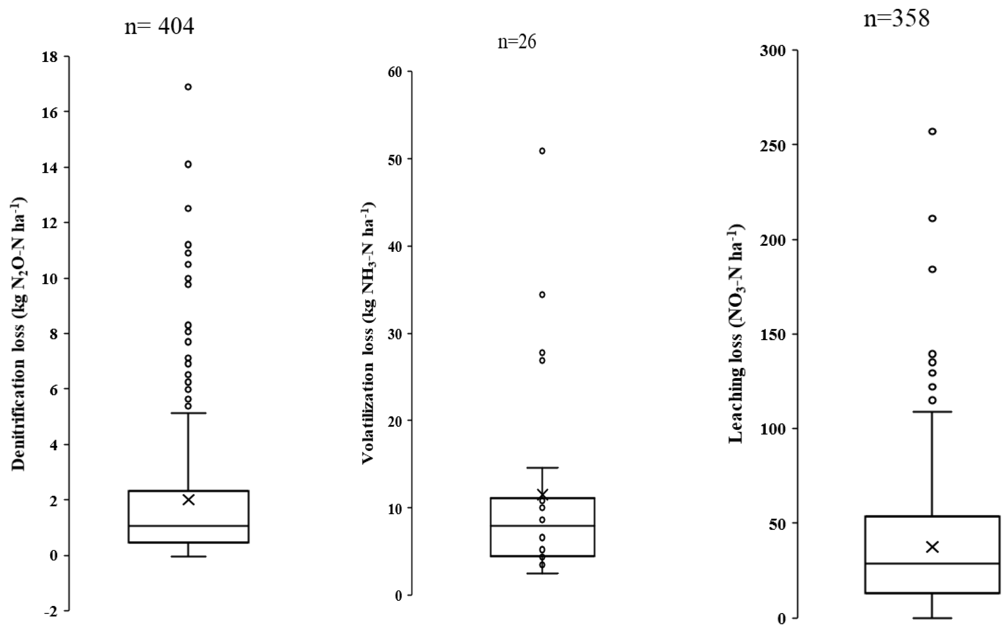
3.1. Extent of Cumulative N Losses
3.2. Control of Fertilizer N Management
3.3. Control of Crop Species
Influence of Tillage
3.4. Control of Water Management
3.5. Control of Soil Properties
4. Limitations and Future Research Needs
Supplementary Materials
Funding
Conflicts of Interest
References
- Pan, B.B.; Lam, S.K.; Mosier, A.; Luo, Y.Q.; Chen, D.L. Ammonia volatilization from synthetic fertilizers and its mitigation strategies: A global synthesis. Agric. Ecosyst. Environ. 2016, 232, 283–289. [Google Scholar] [CrossRef]
- Eagle, A.J.; Olander, L.P.; Locklier, K.L.; Heffernan, J.B.; Bernhardt, E.S. Fertilizer Management and Environmental Factors Drive N2O and NO3 Losses in Corn: A Meta-Analysis. Soil Sci. Soc. Am. J. 2017, 81, 1191–1202. [Google Scholar] [CrossRef]
- Galloway, J.N.; Cowling, E.B. Reactive nitrogen and the world: 200 years of change. AMBIO 2002, 31, 64–71. [Google Scholar] [CrossRef] [PubMed]
- Robertson, G.P.; Vitousek, P.M. Nitrogen in Agriculture: Balancing the Cost of an Essential Resource. Annu. Rev. Environ. Resour. 2009, 34, 97–125. [Google Scholar] [CrossRef]
- Mosier, A.R.; Hutchinson, G.L. Nitrous-Oxide Emissions from Cropped Fields. J. Environ. Qual. 1981, 10, 169–173. [Google Scholar] [CrossRef]
- Kissel, D.E.; Ritchie, J.T.; Burnett, E. Nitrate and Chloride Leaching in a Swelling Clay Soil. J. Environ. Qual. 1974, 3, 401–404. [Google Scholar] [CrossRef]
- Vlek, P.L.G.; Craswell, E.T. Effect of Nitrogen-Source and Management on Ammonia Volatilization Losses from Flooded Rice-Soil Systems. Soil Sci. Soc. Am. J. 1979, 43, 352–358. [Google Scholar] [CrossRef]
- Raun, W.R.; Johnson, G.V. Improving nitrogen use efficiency for cereal production. Agron. J. 1999, 91, 357–363. [Google Scholar] [CrossRef]
- Cassman, K.G.; Dobermann, A.; Walters, D.T. Agroecosystems, nitrogen-use efficiency, and nitrogen management. AMBIO 2002, 31, 132–140. [Google Scholar] [CrossRef]
- Swaney, D.P.; Howarth, R.W.; Hong, B. Nitrogen use efficiency and crop production: Patterns of regional variation in the United States, 1987–2012. Sci. Total Environ. 2018, 635, 498–511. [Google Scholar] [CrossRef]
- Cao, P.; Lu, C.; Yu, Z. Historical nitrogen fertilizer use in agricultural ecosystems of the contiguous United States during 1850–2015: Application rate, timing, and fertilizer types. Earth Syst. Sci. Data 2018, 10, 969–984. [Google Scholar] [CrossRef]
- Basso, B.; Shuai, G.Y.; Zhang, J.S.; Robertson, G.P. Yield stability analysis reveals sources of large-scale nitrogen loss from the US Midwest. Sci. Rep. 2019, 9, 1–9. [Google Scholar] [CrossRef]
- Bouwman, A.F.; Boumans, L.J.M.; Batjes, N.H. Emissions of N2O and NO from fertilized fields: Summary of available measurement data. Global Biogeochem. Cycles 2002, 16. [Google Scholar] [CrossRef]
- Hoben, J.P.; Gehl, R.J.; Millar, N.; Grace, P.R.; Robertson, G.P. Nonlinear nitrous oxide (N2O) response to nitrogen fertilizer in on-farm corn crops of the US Midwest. Glob. Chang. Biol. 2011, 17, 1140–1152. [Google Scholar] [CrossRef]
- Smil, V. Nitrogen in crop production: An account of global flows. Glob. Biogeochem. Cycles 1999, 13, 647–662. [Google Scholar] [CrossRef]
- Beauchamp, E.G. Nitrous oxide emission from agricultural soils. Can. J. Soil Sci. 1997, 77, 113–123. [Google Scholar] [CrossRef]
- Halvorson, A.D.; Del Grosso, S.J.; Reule, C.A. Nitrogen, tillage, and crop rotation effects on nitrous oxide emissions from irrigated cropping systems. J. Environ. Qual. 2008, 37, 1337–1344. [Google Scholar] [CrossRef]
- Stehfest, E.; Bouwman, L. N2O and NO emission from agricultural fields and soils under natural vegetation: Summarizing available measurement data and modeling of global annual emissions. Nutr. Cycl. Agroecosys. 2006, 74, 207–228. [Google Scholar] [CrossRef]
- Fernandez, F.G.; Terry, R.E.; Coronel, E.G. Nitrous Oxide Emissions from Anhydrous Ammonia, Urea, and Polymer-Coated Urea in Illinois Cornfields. J. Environ. Qual. 2015, 44, 415–422. [Google Scholar] [CrossRef]
- Snyder, C.S.; Bruulsema, T.W.; Jensen, T.L.; Fixen, P.E. Review of greenhouse gas emissions from crop production systems and fertilizer management effects. Agric. Ecosyst. Environ. 2009, 133, 247–266. [Google Scholar] [CrossRef]
- Venterea, R.T.; Halvorson, A.D.; Kitchen, N.; Liebig, M.A.; Cavigelli, M.A.; Del Grosso, S.J.; Motavalli, P.P.; Nelson, K.A.; Spokas, K.A.; Singh, B.P.; et al. Challenges and opportunities for mitigating nitrous oxide emissions from fertilized cropping systems. Front. Ecol. Environ. 2012, 10, 562–570. [Google Scholar] [CrossRef]
- Dell, C.J.; Han, K.; Bryant, R.B.; Schmidt, J.P. Nitrous Oxide Emissions with Enhanced Efficiency Nitrogen Fertilizers in a Rainfed System. Agron. J. 2014, 106, 723–731. [Google Scholar] [CrossRef]
- Venterea, R.T.; Coulter, J.A. Split Application of Urea Does Not Decrease and May Increase Nitrous Oxide Emissions in Rainfed Corn. Agron. J. 2015, 107, 337–348. [Google Scholar] [CrossRef]
- Omonode, R.A.; Vyn, T.J. Tillage and Nitrogen Source Impacts on Relationships between Nitrous Oxide Emission and Nitrogen Recovery Efficiency in Corn. J. Environ. Qual. 2019, 48, 421–429. [Google Scholar] [CrossRef]
- Bakhsh, A.; Kanwar, R.S.; Pederson, C.; Bailey, T.B. N-source effects on temporal distribution of NO3-N leaching losses to subsurface drainage water. Water Air Soil Pollut. 2007, 181, 35–50. [Google Scholar] [CrossRef]
- Randall, G.W.; Mulla, D.J. Nitrate nitrogen in surface waters as influenced by climatic conditions and agricultural practices. J. Environ. Qual. 2001, 30, 337–344. [Google Scholar] [CrossRef]
- Walters, D.T.; Malzer, G.L. Nitrogen Management and Nitrification Inhibitor Effects on N-15 Urea 2. Nitrogen Leaching and Balance. Soil Sci. Soc. Am. J. 1990, 54, 122–130. [Google Scholar] [CrossRef]
- Errebhi, M.; Rosen, C.J.; Gupta, S.C.; Birong, D.E. Potato yield response and nitrate leaching as influenced by nitrogen management. Agron. J. 1998, 90, 10–15. [Google Scholar] [CrossRef]
- Lawlor, P.A.; Helmers, M.J.; Baker, J.L.; Melvin, S.W.; Lemke, D.W. Nitrogen application rate effect on nitrate-nitrogen concentration and loss in subsurface drainage for a corn-soybean rotation. Trans. ASABE 2008, 51, 83–94. [Google Scholar] [CrossRef]
- Helmers, M.J.; Zhou, X.; Baker, J.L.; Melvin, S.W.; Lemke, D.W. Nitrogen loss on tile-drained Mollisols as affected by nitrogen application rate under continuous corn and corn-soybean rotation systems. Can. J. Soil Sci. 2012, 92, 493–499. [Google Scholar] [CrossRef]
- Zhu, Y.; Fox, R.H. Corn-soybean rotation effects on nitrate leaching. Agron. J. 2003, 95, 1028–1033. [Google Scholar] [CrossRef]
- Randall, G.W.; Vetsch, J.A. Nitrate losses in subsurface drainage from a corn-soybean rotation as affected by fall and spring application of nitrogen and nitrapyrin. J. Environ. Qual. 2005, 34, 590–597. [Google Scholar] [CrossRef] [PubMed]
- Randall, G.W.; Vetsch, J.A.; Huffman, J.R. Nitrate losses in subsurface drainage from a corn-soybean rotation as affected by time of nitrogen application and use of nitrapyrin. J. Environ. Qual. 2003, 32, 1764–1772. [Google Scholar] [CrossRef] [PubMed]
- Cameron, K.C.; Di, H.J.; Moir, J.L. Nitrogen losses from the soil/plant system: A review. Ann. Appl. Biol. 2013, 162, 145–173. [Google Scholar] [CrossRef]
- Ferguson, R.B.; Kissel, D.E.; Koelliker, J.K.; Basel, W. Ammonia Volatilization from Surface-Applied Urea—Effect of Hydrogen-Ion Buffering Capacity. Soil Sci. Soc. Am. J. 1984, 48, 578–582. [Google Scholar] [CrossRef]
- Silva, A.G.B.; Sequeira, C.H.; Sermarini, R.A.; Otto, R. Urease Inhibitor NBPT on Ammonia Volatilization and Crop Productivity: A Meta-Analysis. Agron. J. 2017, 109, 1–13. [Google Scholar] [CrossRef]
- Bouwman, A.F. Direct emission of nitrous oxide from agricultural soils. Nutr. Cycl. Agroecosyst. 1996, 46, 53–70. [Google Scholar] [CrossRef]
- Miller, S.M.; Kort, E.A.; Hirsch, A.I.; Dlugokencky, E.J.; Andrews, A.E.; Xu, X.; Tian, H.; Nehrkorn, T.; Eluszkiewicz, J.; Michalak, A.M.; et al. Regional sources of nitrous oxide over the United States: Seasonal variation and spatial distribution. J. Geophys. Res. Atmos. 2012, 117. [Google Scholar] [CrossRef]
- Hallberg, G.R. Nitrate in Ground Water in the United States. In Developments in Agricultural and Managed Forest Ecology; Follett, R.F., Ed.; Elsevier: Amsterdam, The Netherlands, 1989; Volume 21, Chapter 3; pp. 35–74. [Google Scholar]
- Burow, K.R.; Nolan, B.T.; Rupert, M.G.; Dubrovsky, N.M. Nitrate in Groundwater of the United States, 1991–2003. Environ. Sci. Technol. 2010, 44, 4988–4997. [Google Scholar] [CrossRef]
- Goebes, M.D.; Strader, R.; Davidson, C. An ammonia emission inventory for fertilizer application in the United States. Atmos. Environ. 2003, 37, 2539–2550. [Google Scholar] [CrossRef]
- Kucharik, C.J.; Brye, K.R. Integrated BIosphere Simulator (IBIS) yield and nitrate loss predictions for Wisconsin maize receiving varied amounts of nitrogen fertilizer. J. Environ. Qual. 2003, 32, 247–268. [Google Scholar] [CrossRef] [PubMed]
- Thornton, F.C.; Bock, B.R.; Tyler, D.D. Soil emissions of nitric oxide and nitrous oxide from injected anhydrous ammonium and urea. J. Environ. Qual. 1996, 25, 1378–1384. [Google Scholar] [CrossRef]
- Sistani, K.R.; Jn-Baptiste, M.; Lovanh, N.; Cook, K.L. Atmospheric Emissions of Nitrous Oxide, Methane, and Carbon Dioxide from Different Nitrogen Fertilizers. J. Environ. Qual. 2011, 40, 1797–1805. [Google Scholar] [CrossRef] [PubMed]
- Bauder, J.W.; Montgomery, B.R. N-Source and Irrigation Effects on Nitrate Leaching. Agron. J. 1980, 72, 593–596. [Google Scholar] [CrossRef]
- Dinnes, D.L.; Karlen, D.L.; Jaynes, D.B.; Kaspar, T.C.; Hatfield, J.L.; Colvin, T.S.; Cambardella, C.A. Nitrogen management strategies to reduce nitrate leaching in tile-drained midwestern soils. Agron. J. 2002, 94, 153–171. [Google Scholar] [CrossRef]
- Thapa, R.; Chatterjee, A. Wheat Production, Nitrogen Transformation, and Nitrogen Losses as Affected by Nitrification and Double Inhibitors. Agron. J. 2017, 109, 1825–1835. [Google Scholar] [CrossRef]
- Steusloff, T.W.; Nelson, K.A.; Motavalli, P.P.; Singh, G. Urea Nitrapyrin Placement Effects on Soil Nitrous Oxide Emissions in Claypan Soil. J. Environ. Qual. 2019, 48, 1444–1453. [Google Scholar] [CrossRef]
- Maddux, L.D.; Raczkowski, C.W.; Kissel, D.E.; Barnes, P.L. Broadcast and Subsurface-Banded Urea Nitrogen in Urea Ammonium-Nitrate Applied to Corn. Soil Sci. Soc. Am. J. 1991, 55, 264–267. [Google Scholar] [CrossRef]
- Tenuta, M.; Gao, X.P.; Flaten, D.N.; Amiro, B.D. Lower Nitrous Oxide Emissions from Anhydrous Ammonia Application Prior to Soil Freezing in Late Fall Than Spring Pre-Plant Application. J. Environ. Qual. 2016, 45, 1133–1143. [Google Scholar] [CrossRef]
- Jaynes, D.B.; Colvin, I.S. Corn yield and nitrate loss in subsurface drainage from midseason nitrogen fertilizer application. Agron. J. 2006, 98, 1479–1487. [Google Scholar] [CrossRef]
- Power, J.F.; Schepers, J.S. Nitrate Contamination of Groundwater in North-America. Agric. Ecosyst. Environ. 1989, 26, 165–187. [Google Scholar] [CrossRef]
- Rochette, P.; Angers, D.A.; Chantigny, M.H.; MacDonald, J.D.; Bissonnette, N.; Bertrand, N. Ammonia volatilization following surface application of urea to tilled and no-till soils: A laboratory comparison. Soil Tillage Res. 2009, 103, 310–315. [Google Scholar] [CrossRef]
- Quemada, M.; Baranski, M.; Nobel-de Lange, M.N.J.; Vallejo, A.; Cooper, J.M. Meta-analysis of strategies to control nitrate leaching in irrigated agricultural systems and their effects on crop yield. Agric. Ecosyst. Environ. 2013, 174, 1–10. [Google Scholar] [CrossRef]
- Holcomb, J.C.; Sullivan, D.M.; Horneck, D.A.; Clough, G.H. Effect of Irrigation Rate on Ammonia Volatilization. Soil Sci. Soc. Am. J. 2011, 75, 2341–2347. [Google Scholar] [CrossRef]
- Sogbedji, J.M.; van Es, H.M.; Yang, C.L.; Geohring, L.D.; Magdoff, F.R. Nitrate leaching and nitrogen budget as affected by maize nitrogen rate and soil type. J. Environ. Qual. 2000, 29, 1813–1820. [Google Scholar] [CrossRef]
- Keller, G.D.; Mengel, D.B. Ammonia Volatilization from Nitrogen Fertilizers Surface Applied to No-Till Corn. Soil Sci. Soc. Am. J. 1986, 50, 1060–1063. [Google Scholar] [CrossRef]



| Citation | State | Crop | Texture | Tillage | Soil pH | Water Mgmt. | N Losses Monitored | |
|---|---|---|---|---|---|---|---|---|
| 1 | Adviento-Borbe et al., 2007 | NE | Corn | Silty clay loam | CP | 6.14 | Irrigated | N2O |
| 2 | Adviento-Borbe et al., 2013 | CA, AR | Rice | Clay loam, Clay, Silt loam | CP | 5.46–6.19 | Irrigated | N2O |
| 3 | Bakhsh et al., 2002 | IA | Corn | Loam | CP, NT | Unk | Rainfed/Tile | NO3 |
| 4 | Bakhsh et al., 2007 | IA | Corn | Loam | CP | Unk | Rainfed/Tile | NO3 |
| 5 | Bakhsh et al., 2010 | IA | Corn | Loam | CP | Unk | Rainfed/Tile | NO3 |
| 6 | Basso and Ritchie 2005 | MI | Corn | Loam | CP | 5.5 | Rainfed/Tile | NO3 |
| 7 | Bronson et al., 1992 | CO | Corn | Clay loam | CP | 7.2 | Irrigated | N2O |
| 8 | Curtis et al., 2014 | PA | Corn | Silt loam | NT | Unk | Rainfed | NO3 |
| 9 | Duxbury and McConnaughey 1986 | NY | Corn | Silt loam | Unk | 6.9 | Unk | N2O |
| 10 | Engel et al., 2017 | MT | Winter wheat | Clay loam | NT | 6.3, 7.3 | Rainfed | NH3 |
| 11 | Errebhi et al., 1998 | MN | Potato | Loamy sand | CP | 6.7 | Irrigated | NO3 |
| 12 | Fernandez et al., 2015 | IL | Corn | Silt loam, Silty clay loam | CP | 6.2 | Rainfed/Tile | N2O |
| 13 | Fujinuma et al., 2011 | MN | Corn | Loamy sand | CP | 4.85 | Irrigated | N2O |
| 14 | Graham et al., 2018 | IL | Corn | Silt loam Silty clay loam | CP | 6.3, 6.1 | Rainfed | N2O |
| 15 | Guillard et al., 1999 | CT | Corn | Sandy loam | CP | Unk | Rainfed/Tile | NO3 |
| 16 | Halvarson et al., 2008 | CO | Corn, barley, dry bean | Clay loam | CP, NT | 7.7–7.8 | Irrigated | N2O |
| 17 | Halvarson and Delgrosso 2012 | CO | Corn | Clay loam | NT | 7.6 | Irrigated | N2O |
| 18 | Halvarson and Delgrosso 2013 | CO | Corn | Clay loam | NT, ST | 7.6 | Irrigated | N2O |
| 19 | Halvarson et al., 2010a | CO | Corn | Clay loam | NT | 7.6 | Irrigated | N2O |
| 20 | Halvarson et al., 2010b | CO | Corn, barley, dry bean | Clay loam | NT | 7.7–8.0 | Irrigated | N2O |
| 21 | Helmers et al., 2012 | IA | Corn | Clay loam | CP | 7.7 | Rainfed/Tile | NO3 |
| 22 | Hernandez-Ramirez et al., 2009 | IN | Corn | Silty clay loam | CP | Unk | Rainfed/Tile | N2O |
| 23 | Hoben et al., 2011 | MI | Corn | Loam, Sandy loam | CP | 6.6–7.6 | Rainfed | N2O |
| 24 | Hyatt et al., 2010 | MN | Potato | Loamy sand | CP | 4.9–6.7 | Irrigated | N2O |
| 25 | Janatalia et al., 2012 | CO | Corn | Clay loam | ST | 7.8 | Irrigated | NH3 |
| 26 | Jaynes et al., 2013 | IA | Corn | Clay loam | CP | Unk | Rainfed/Tile | NO3 |
| 27 | Jaynes et al., 2001 | IA | Corn | Clay loam | CP | Unk | Rainfed/Tile | NO3 |
| 28 | Jemison and Fox 1994 | PA | Corn | Silt loam | CP | Unk | Unk | NO3 |
| 29 | Johnson et al., 2010 | MN | Corn | Loam | CP, ST | 7.2 | Rainfed | N2O |
| 30 | Kanwar et al., 1997 | IA | Corn | Silt | CP, MB, NT, Ridge | Unk | Rainfed/Tile | NO3 |
| 31 | Keller and Mengel 1986 | IN | Corn | Sandy loam, Silt loam | NT | 5.6 | Unk | NH3 |
| 32 | Kucharik and Brye 2003 | WI | Corn | Silt loam | CP, NT | Unk | Rainfed/Tile | NO3 |
| 33 | Lawlor et al., 2008 | IA | Corn | Clay loam | CP | 7.7 | Rainfed/Tile | NO3 |
| 34 | Lawlor et al., 2011 | IA | Corn | Clay loam | CP | 7.7 | Rainfed/Tile | NO3 |
| 35 | LaHue et al.,2016 | CA | Rice | Clay | CP | 5.3 | Irrigated | N2O |
| 36 | Linquist et al., 2015 | AR | Rice | Silt loam | CP | Unk | Irrigated | N2O |
| 37 | Maharjan and Venterea 2013 | MN | Corn | Silt loam | CP | Unk | Rainfed | N2O |
| 38 | Mitchell et al., 2013 | IA | Loam | Corn | NT | 6.4 | Rainfed | N2O |
| 39 | Mosier et al., 2006 | CO | Corn | Clay loam | CP, NT | 7.7–7.8 | Irrigated | N2O |
| 40 | Nash et al., 2012 | MO | Corn | Silt loam | NT, ST | 6.2 | Irrigated | N2O |
| 41 | Omonode and Vyn 2013 | IA | Corn | Silt loam | CP, NT | Unk | Rainfed | N2O |
| 42 | Omonode and Vyn 2019 | IN | Corn | Silty clay loam | NT, ST, MP, CP | Unk | Rainfed | N2O |
| 43 | Omonode et al., 2015 | IN | Corn | Silty clay loam | CP, NT | 6.1 | Rainfed/Tile | N2O |
| 44 | Parkin et al., 2016 | IA | Corn | Silty clay loam, loam | NT | Unk | Rainfed/Tile | N2O |
| 45 | Pittelkow et al., 2013 | CA | Rice | Clay | CP | 6.2 | Irrigated | N2O |
| 46 | Prunty and Greenland 1997 | ND | Potato, Corn | Loamy fine sand | CP | Unk | Irrigated | NO3 |
| 47 | Randall and Vetsch 2005 | MN | Corn | Clay loam | CP | Unk | Rainfed | NO3 |
| 48 | Randall et al., 2003 | MN | Corn | Clay loam | CP | Unk | Rainfed | NO3 |
| 49 | Sexton et al., 1996 | MN | Corn | Sandy loam | CP | Unk | Irrigated | NO3 |
| 50 | Steusloff et al., 2019 | MO | Corn | Silt loam | CP | 6.9, 5.6 | Rainfed | N2O |
| 51 | Sistani et al., 2011 | KY | Corn | Silt loam | NT | 5.8 | Rainfed | N2O |
| 52 | Smith et al., 1982 | LA | Rice | Silt loam | CP | 6.0 | Irrigated | N2O |
| 53 | Sogbedji et al., 2000 | NY | Corn | Clay loam, Loamy sand | CP | Unk | Rainfed | NO3 |
| 54 | Thapa and Chatterjee 2017 | MN | Spring wheat | Silt loam | CP | 8.1 | Rainfed | NH3, N2O |
| 55 | Thapa et al., 2015 | MN | Spring wheat | Silt loam | CP | 8.4 | Rainfed | NH3, N2O |
| 56 | Thornton and Valente 1996 | TN | Corn | Silt loam | NT | 5.75 | Rainfed | N2O |
| 57 | Thornton et al., 1996 | TN | Corn | Silt loam | NT | 6.6 | Rainfed | N2O |
| 58 | Toth and Fox 1998 | PA | Corn | Silt loam | CP | 6.2 | Irrigated | NO3 |
| 59 | Venterea et al., 2010 | MN | Corn | Silt loam | CP | 5.2–5.8 | Rainfed | N2O |
| 60 | Vetsch et al., 2019 | MN | Corn | Clay loam | CP | Unk | Rainfed/Tile | NO3 |
| 61 | Walters and Malzer 1990 | MN | Corn | Sandy loam | CP | 5.7 | Irrigated | NO3 |
| 62 | Zhu and Fox 2003 | PA | Corn | Silt loam | NT/CP | 6.1 | Rainfed | NO3 |
| State | n | Mean | Minimum | Maximum |
|---|---|---|---|---|
| Denitrification loss (kg N2O-N ha−1) | ||||
| Arkansas | 16 | 0.22 | −0.01 | 1.05 |
| California | 26 | 0.40 | −0.04 | 1.54 |
| Colorado | 100 | 0.81 | 0.11 | 3.56 |
| Iowa | 21 | 5.60 | 0.32 | 16.3 |
| Illinois | 27 | 4.28 | 0.72 | 16.9 |
| Indiana | 18 | 2.88 | 0.79 | 6.88 |
| Kentucky | 14 | 2.88 | 1.01 | 5.97 |
| Louisiana | 5 | 0.11 | 0.07 | 0.17 |
| Minnesota | 66 | 2.93 | 0.25 | 11.2 |
| Missouri | 16 | 4.57 | 1.12 | 7.70 |
| Nebraska | 10 | 2.72 | 1.25 | 4.91 |
| New York | 3 | 3.03 | 1.90 | 4.90 |
| Pennsylvania | 28 | 0.72 | 0.10 | 2.85 |
| Tennessee | 6 | 6.62 | 1.43 | 13.8 |
| Leaching loss (kg NO3-N ha−1) | ||||
| Connecticut | 6 | 27.8 | 4.00 | 61.0 |
| Iowa | 176 | 34.1 | 0 | 109 |
| Michigan | 12 | 34.7 | 11.0 | 89.0 |
| Minnesota | 109 | 45.4 | 4.00 | 257 |
| North Dakota | 8 | 42.3 | 3.00 | 118 |
| New York | 12 | 14.4 | 5.90 | 34.9 |
| Pennsylvania | 23 | 43.0 | 4.50 | 135 |
| Wisconsin | 12 | 39.1 | 3.20 | 102 |
| Volatilization loss (kg NH3-N ha−1) | ||||
| Colorado | 2 | 6.20 | 5.20 | 7.20 |
| Indiana | 4 | 21.4 | 9.20 | 50.9 |
| Minnesota | 14 | 5.70 | 2.50 | 11.1 |
| Montana | 6 | 20.2 | 10.0 | 34.4 |
| Variables | Denitrification | Leaching | Volatilization | |
|---|---|---|---|---|
| N rate | r | 0.38 | 0.27 | 0.09 |
| (kg N ha−1) | Pr > |r| | <0.001 | <0.001 | 0.66 |
| n | 399 | 356 | 26 | |
| Crop yield | r | −0.015 | 0.12 | 0.66 |
| (Mg ha−1) | Pr > |r| | 0.80 | 0.02 | 0.01 |
| n | 305 | 349 | 14 | |
| Water input (mm) | r | 0.31 | 0.29 | −0.39 |
| Pr > |r| | <0.001 | <0.001 | 0.09 | |
| n | 348 | 308 | 20 | |
| SOM (g kg−1) | r | 0.44 | −0.08 | −0.61 |
| Pr > |r| | <0.001 | 0.17 | 0.001 | |
| n | 340 | 251 | 24 | |
| Clay (g kg−1) | r | −0.42 | 0.06 | 0.55 |
| Pr > |r| | <0.001 | 0.60 | 0.03 | |
| n | 233 | 71 | 16 | |
| pH | r | −0.21 | −0.07 | −0.65 |
| Pr > |r| | 0.001 | 0.34 | 0.001 | |
| n | 337 | 163 | 26 | |
| CEC (Cmole+ kg−1) | r | −0.23 | 0.03 | −0.72 |
| Pr > |r| | 0.007 | 0.83 | <0.001 | |
| n | 135 | 41 | 24 |
| Fertilizer Source | n | Mean | Minimum | Maximum |
|---|---|---|---|---|
| Denitrification loss (kg N2O-N ha−1) | ||||
| AA | 37 | 3.82 | 0.07 | 16.9 |
| AN | 9 | 5.51 | 2.03 | 8.54 |
| UAN | 42 | 2.38 | 0.10 | 16.3 |
| Urea | 134 | 1.72 | −0.04 | 14.1 |
| ESN | 32 | 2.19 | 0.22 | 9.77 |
| SuperU | 25 | 1.19 | 0.24 | 3.06 |
| UAN + Agrotain | 8 | 1.07 | 0.16 | 3.90 |
| UAN + Nitrapyrin | 8 | 1.89 | 0.32 | 5.37 |
| Urea + Nitrapyrin | 6 | 2.16 | 0.36 | 5.71 |
| Leaching loss (kg NO3-N ha−1) | ||||
| AA | 55 | 38.8 | 4.48 | 122 |
| AN | 40 | 64.6 | 4.00 | 257 |
| Aqueous ammonia | 26 | 45.8 | 2.00 | 86.0 |
| Urea | 30 | 51.8 | 16.0 | 141 |
| UAN | 111 | 28.6 | 0 | 109 |
| AA + Nitrapyrin | 28 | 29.0 | 4.00 | 80.0 |
| Urea + Nitrapyrin | 12 | 48.9 | 18.0 | 139 |
| Volatilization loss (kg NH3-N ha−1) | ||||
| Urea | 13 | 16.6 | 4.41 | 50.9 |
| UAN | 3 | 10.3 | 7.20 | 14.6 |
| Urea+ Nitrapyrin | 4 | 7.03 | 4.08 | 11.1 |
| SuperU | 4 | 4.68 | 4.08 | 5.82 |
| Fertilizer Placement Method | n | Mean | Minimum | Maximum |
|---|---|---|---|---|
| Denitrification loss (kg N2O-N ha−1) | ||||
| Broadcast | 52 | 2.39 | 0.07 | 7.70 |
| Broadcast-incorporated | 105 | 1.84 | −0.04 | 14.1 |
| Banded | 120 | 1.44 | 0.10 | 12.5 |
| Injected | 43 | 4.81 | 0.07 | 16.9 |
| Broadcast, banded | 14 | 2.01 | 0.32 | 6.12 |
| Broadcast-incorporated, sidedress | 10 | 2.72 | 1.25 | 4.91 |
| Sidedress | 6 | 2.88 | 2.38 | 3.36 |
| Deep banded | 4 | 4.42 | 3.82 | 5.71 |
| Drilled | 2 | 0.14 | 0.11 | 0.17 |
| Midrow banded | 6 | 3.25 | 0.84 | 6.07 |
| Subsurface banded | 2 | 1.36 | 1.35 | 1.37 |
| Topdress | 2 | 0.10 | 0.09 | 0.11 |
| Leaching loss (kg NO3-N ha−1) | ||||
| Broadcast | 39 | 46.8 | 5.90 | 141 |
| Broadcast-incorporated | 24 | 54.4 | 16.0 | 141 |
| Broadcast-incorporated, sidedress | 6 | 38.0 | 27.0 | 59.0 |
| Banded | 14 | 81.3 | 5.90 | 257 |
| Injected | 127 | 33.6 | 0.40 | 122 |
| Sidedress | 78 | 34.0 | 3.00 | 118 |
| Volatilization loss (kg NH3-N ha−1) | ||||
| Broadcast | 10 | 20.7 | 9.20 | 50.9 |
| Broadcast-incorporated | 13 | 5.95 | 3.48 | 11.1 |
| Banded | 2 | 6.20 | 5.20 | 7.20 |
| Application Time | n | Mean | Minimum | Maximum |
|---|---|---|---|---|
| Denitrification loss (kg N2O-N ha−1) | ||||
| Split between fall and spring | 10 | 2.72 | 1.25 | 4.91 |
| Spring | 384 | 2.14 | −0.04 | 16.9 |
| Leaching loss (kg NO3-N ha−1) | ||||
| Fall | 44 | 36.1 | 6.00 | 122 |
| Spring | 246 | 34.9 | 0.0 | 141 |
| Split during spring | 38 | 67.2 | 3.00 | 257 |
| Volatilization loss (kg NH3-N ha−1) | ||||
| Spring | 19 | 9.22 | 3.48 | 50.9 |
| Split between fall and spring | 6 | 20.0 | 10.0 | 34.4 |
| Main Crop | Previous Crop | n | Mean | Minimum | Maximum |
|---|---|---|---|---|---|
| Denitrification loss (kg N2O-N ha−1) | |||||
| Corn | Alfalfa | 6 | 5.27 | 4.21 | 6.44 |
| Barley | 4 | 0.52 | 0.19 | 0.83 | |
| Corn | 166 | 1.92 | 0.10 | 16.9 | |
| Cereal rye | 8 | 9.23 | 4.50 | 11.2 | |
| Dry bean | 4 | 0.74 | 0.14 | 1.66 | |
| Soybean | 120 | 2.89 | 0.23 | 16.3 | |
| Total | 323 | 2.52 | 0.10 | 16.9 | |
| Potato | Cereal rye | 11 | 1.02 | 0.42 | 2.11 |
| Barley | Corn | 5 | 0.45 | 0.15 | 0.81 |
| Spring wheat | Soybean | 14 | 0.98 | 0.25 | 2.40 |
| Rice | Rice | 34 | 0.34 | −0.04 | 1.54 |
| Soybean | 8 | 0.30 | 0.03 | 1.05 | |
| Leaching loss (kg NO3-N ha−1) | |||||
| Corn | Alfalfa | 12 | 14.4 | 5.90 | 34.9 |
| Corn | 106 | 41.1 | 3.20 | 141 | |
| Corn/Lupine | 16 | 51.8 | 15.0 | 141 | |
| Potato | 4 | 47.3 | 3.00 | 118 | |
| Soybean | 206 | 32.5 | 0.0 | 135 | |
| Potato | Corn | 4 | 37.3 | 8.00 | 61 |
| Winter Rye | 10 | 112 | 18.0 | 257 | |
| Volatilization loss (kg NH3-N ha−1) | |||||
| Corn | Corn | 6 | 16.32 | 5.25 | 50.9 |
| Spring wheat | Soybean | 14 | 0.98 | 0.25 | 2.40 |
| Winter wheat | Fallow | 6 | 20.2 | 10.0 | 34.4 |
| Water Mgmt. | n | Mean | Minimum | Maximum |
|---|---|---|---|---|
| Denitrification loss (kg N2O-N ha−1) | ||||
| Irrigated | 170 | 1.35 | −0.04 | 11.2 |
| Rainfed | 197 | 2.27 | −0.01 | 16.3 |
| Subsurface drained | 34 | 5.06 | 0.79 | 16.9 |
| Leaching loss (kg NO3-N ha−1) | ||||
| Irrigated | 69 | 56.0 | 3.00 | 257 |
| Rainfed | 58 | 30.1 | 4.00 | 135 |
| Subsurface drained | 222 | 34.2 | 0.0 | 109 |
| Volatilization loss (kg NH3-N ha−1) | ||||
| Irrigated | 2 | 6.20 | 5.20 | 7.20 |
| Rainfed | 20 | 10.1 | 2.50 | 34.4 |
| Texture | n | Mean | Minimum | Maximum |
|---|---|---|---|---|
| Denitrification loss (kg N2O-N ha−1) | ||||
| Clay | 21 | 0.39 | −0.04 | 1.54 |
| Clay loam | 105 | 0.80 | 0.11 | 3.56 |
| Loam | 54 | 2.31 | 0.34 | 6.99 |
| Loamy sand | 19 | 4.47 | 0.42 | 11.2 |
| Sandy loam | 6 | 1.11 | 0.52 | 1.94 |
| Silt loam | 137 | 2.25 | −0.01 | 16.3 |
| Silty clay loam | 40 | 2.59 | 0.66 | 6.88 |
| Silt loam +Silty clay loam | 12 | 5.20 | 0.97 | 16.9 |
| Silty clay loam + loam | 10 | 7.51 | 2.30 | 12.5 |
| Leaching loss (kg NO3-N ha−1) | ||||
| Clay loam | 175 | 35.7 | 0.00 | 122 |
| Loam | 51 | 19.4 | 0.40 | 89.0 |
| Loamy sand | 24 | 65.4 | 3.00 | 257 |
| Sandy loam | 49 | 45.2 | 4.00 | 141 |
| Silt | 24 | 42.4 | 4.48 | 108 |
| Silt loam | 35 | 41.7 | 3.20 | 135 |
| Volatilization loss (kg NH3-N ha−1) | ||||
| Clay loam | 8 | 16.7 | 5.20 | 34.4 |
| Sandy loam | 2 | 32.6 | 14.6 | 50.9 |
| Silt loam | 9 | 5.64 | 2.50 | 10.8 |
| Silty clay loam | 7 | 7.00 | 3.48 | 11.1 |
© 2020 by the author. Licensee MDPI, Basel, Switzerland. This article is an open access article distributed under the terms and conditions of the Creative Commons Attribution (CC BY) license (http://creativecommons.org/licenses/by/4.0/).
Share and Cite
Chatterjee, A. Extent and Variation of Nitrogen Losses from Non-legume Field Crops of Conterminous United States. Nitrogen 2020, 1, 34-51. https://doi.org/10.3390/nitrogen1010005
Chatterjee A. Extent and Variation of Nitrogen Losses from Non-legume Field Crops of Conterminous United States. Nitrogen. 2020; 1(1):34-51. https://doi.org/10.3390/nitrogen1010005
Chicago/Turabian StyleChatterjee, Amitava. 2020. "Extent and Variation of Nitrogen Losses from Non-legume Field Crops of Conterminous United States" Nitrogen 1, no. 1: 34-51. https://doi.org/10.3390/nitrogen1010005
APA StyleChatterjee, A. (2020). Extent and Variation of Nitrogen Losses from Non-legume Field Crops of Conterminous United States. Nitrogen, 1(1), 34-51. https://doi.org/10.3390/nitrogen1010005
