Next Article in Journal
Finite Element Simulation for Fractional Allen–Cahn Equation with Regularized Logarithmic Free Energy
Next Article in Special Issue
A Robust Fractional-Order Controller for Biomedical Applications
Previous Article in Journal
Investigating Chaotic Techniques and Wave Profiles with Parametric Effects in a Fourth-Order Nonlinear Fractional Dynamical Equation
Previous Article in Special Issue
Periodically Kicked Rotator with Power-Law Memory: Exact Solution and Discrete Maps
 
 
Font Type:
Arial Georgia Verdana
Font Size:
Aa Aa Aa
Line Spacing:
Column Width:
Background:
Article

Fractional Gradient-Based Model Reference Adaptive Control Applied on an Inverted Pendulum-Cart System

by
Maibeth Sánchez-Rivero
1,
Manuel A. Duarte-Mermoud
2,
Lisbel Bárzaga-Martell
3,*,
Marcos E. Orchard
1 and
Gustavo Ceballos-Benavides
2,4
1
Departamento de Ingeniería Eléctrica, Facultad de Ciencias Físicas y Matemáticas, Universidad de Chile, Av. Tupper 2007, Santiago 8370451, Región Metropolitana, Chile
2
Facultad de Ingeniería y Arquitectura, Universidad Central de Chile, Av. Santa Isabel 1186, Santiago 8330601, Región Metropolitana, Chile
3
Departamento de Electricidad, Universidad Tecnológica Metropolitana, Av. José Pedro Alessandri 1242, Ñuñoa 7800002, Región Metropolitana, Chile
4
Escuela de Negocios y Tecnología, Universidad Gabriela Mistral, Av. Andrés Bello 1337, Santiago 7500533, Región Metropolitana, Chile
*
Author to whom correspondence should be addressed.
Fractal Fract. 2025, 9(8), 485; https://doi.org/10.3390/fractalfract9080485
Submission received: 29 May 2025 / Revised: 21 July 2025 / Accepted: 21 July 2025 / Published: 24 July 2025

Abstract

This study introduces a novel model reference adaptive control (MRAC) framework that incorporates fractional-order gradients (FGs) to regulate the displacement of an inverted pendulum-cart system. Fractional-order gradients have been shown to significantly improve convergence rates in domains such as machine learning and neural network optimization. Nevertheless, their integration with fractional-order error models within adaptive control paradigms remains unexplored and represents a promising avenue for research. The proposed control scheme extends the classical MRAC architecture by embedding Caputo fractional derivatives into the adaptive law governing parameter updates, thereby improving both convergence dynamics and control flexibility. To ensure optimal performance across multiple criteria, the controller parameters are systematically tuned using a multi-objective Particle Swarm Optimization (PSO) algorithm. Two fractional-order error models (FOEMs) incorporating fractional gradients (FOEM2-FG, FOEM3-FG) are investigated, with their stability formally analyzed via Lyapunov-based methods under conditions of sufficient excitation. Validation is conducted through both simulation and real-time experimentation on a physical pendulum-cart setup. The results demonstrate that the proposed fractional-order MRAC (FOMRAC) outperforms conventional MRAC, proportional-integral-derivative (PID), and fractional-order PID (FOPID) controllers. Specifically, FOMRAC-FG achieved superior tracking performance, attaining the lowest Integral of Squared Error (ISE) of 2.32 × 10 5 and the lowest Integral of Squared Input (ISI) of 6.40 in simulation studies. In real-time experiments, FOMRAC-FG maintained the lowest ISE ( 5.11 × 10 6 ). Under real-time experiments with disturbances, it still achieved the lowest ISE ( 1.06 × 10 5 ), highlighting its practical effectiveness.

1. Introduction

The inverted pendulum-cart system remains a paradigmatic benchmark in nonlinear control theory due to its underactuated nature, structural instability, and rich dynamic behavior. This system serves as a standard platform for evaluating advanced control strategies and finds practical applications in robotics (e.g., bipedal locomotion), aerospace (e.g., satellite orientation), and civil engineering (e.g., structural vibration mitigation) [1,2,3].
The fundamental control objective is to stabilize the pendulum around its unstable upright equilibrium by applying horizontal forces to the cart. In recent decades, a wide range of control strategies have been proposed to address this challenge, including proportional-integral-derivative (PID) control, linear quadratic regulators (LQRs) [4], sliding mode control (SMC) [5,6], fuzzy logic [7], and model reference adaptive control (MRAC) [8], as well as hybrid and intelligent approaches that integrate multiple control paradigms. These control schemes can be broadly categorized into classical, robust, and intelligent control strategies.
Classical controllers, such as PID, are frequently employed due to their simplicity and ease of implementation. However, they exhibit limited robustness and adaptability. As reported in [7], while PID controllers achieve faster settling times, they underperform in adaptability compared to fuzzy logic, particularly under varying conditions such as inclined surfaces.
Robust controllers, including LQRs and SMC, provide improved stability and disturbance rejection. LQRs offer guaranteed stability under quadratic cost functions, although their effectiveness depends heavily on the appropriate selection of weight matrices [4]. SMC, on the other hand, exhibits strong robustness to model uncertainties and external disturbances, and is often combined with observers for state and disturbance estimation [5,9].
Intelligent control techniques, such as fuzzy logic, neural networks, and reinforcement learning, have gained traction in recent years for handling system nonlinearities and adaptability challenges. Fuzzy controllers enhance adaptability compared to PID [7]. Hybrid approaches that combine energy-based swing-up control with LQRs or SMC have been proposed for complex configurations such as rotary or double inverted pendulum systems [6,10]. Reinforcement learning methods, including Q-learning adapted to continuous control domains, have shown promise in simulation environments [11], although they remain sensitive to modeling inaccuracies and hardware constraints.
Robust and intelligent controllers continue to evolve. For instance, adaptive fuzzy terminal sliding mode control (AFFTSMC) [9] demonstrates experimental fault tolerance and reduced chattering. In [12], a second-order sliding mode controller is used to stabilize a pendulum mounted on an omnidirectional mobile robot, achieving semi-global asymptotic stability. Neural-based PID (PIDNN) architectures, optimized using Ant Colony Optimization [13], exhibit improved tracking and robustness compared to PSO-tuned PID/FOPID schemes, although they introduce increased model complexity and typically lack hardware validation. Experimental comparisons in [14], using an Arduino-based platform, demonstrate that both indirect adaptive control (IAC) and neuro-fuzzy control (NFC) outperform PID in terms of robustness and transient response.
While several advanced nonlinear control strategies have been proposed in recent years—such as BELBIC [15], fuzzy brain emotional learning controllers (FBELC) [16], neural PID structures [13], and deep reinforcement learning (DRL) approaches [17]—they still present major limitations. These include reliance on trial-and-error tuning [15], increased structural and computational complexity [16], and strong sensitivity to hyperparameter selection and model architecture [17]. Moreover, many of these methods are data-driven and lack analytical guarantees for convergence and stability, which limits their applicability in safety-critical real-time systems.
In contrast, fractional-order control has emerged as a novel and promising approach that offers a sound mathematical foundation with greater flexibility for tuning and improved robustness. By generalizing classical calculus to non-integer orders, fractional-order controllers introduce additional degrees of freedom in controller design [18,19]. Among them, the fractional-order PID (FOPID) controller extends the classical PID by incorporating fractional-order integrals and derivatives, enabling improved performance in the presence of model uncertainties and disturbances. Experimental studies, such as [20], validate its effectiveness in various real-world settings without requiring changes to model order. Recent works have applied metaheuristic optimization techniques—such as Particle Swarm Optimization (PSO), genetic algorithms, and differential evolution—to fine-tune FOPID parameters for multi-objective performance indices, including ITSE, settling time, and rise time [21,22]. These results confirm that fractional-order strategies can outperform conventional PID and many existing nonlinear controllers in both performance and adaptability.
Despite these advances, an important research gap persists: the integration of fractional-order gradients (FGs) into adaptive control frameworks like model reference adaptive control (MRAC). While FG methods have demonstrated improved convergence rates in optimization and machine learning applications [23], their incorporation into real-time adaptive control—particularly for nonlinear systems—remains largely unexplored. Recent work [24] has introduced a first-order fractional error model with fractional gradients (FOEM1–FG), showing encouraging results in simulations and initial experimental validations. The present paper aims to build upon this foundation, offering a systematic development and analysis of a novel fractional gradient-based MRAC scheme with theoretical guarantees and practical relevance.
In this paper, we address this gap by proposing a novel fractional-order error model (FOEM) framework that systematically embeds Caputo fractional gradients into the parameter adaptation law. Two new formulations, FOEM2–FG and FOEM3–FG, are presented and analyzed using Lyapunov stability theory. The proposed controller is tuned using a multi-objective PSO algorithm and validated using simulations and real-time experiments on an inverted pendulum-cart system.
The main contributions of this work are as follows:
  • The formulation of two original architectures, FOEM2–FG and FOEM3–FG, that incorporate fractional gradients into the adaptive law via Caputo derivatives. This contribution systematically extends classical adaptive control theory to fractional-order systems.
  • A rigorous Lyapunov-based stability and convergence analysis demonstrating boundedness of the tracking error and asymptotic convergence under persistent excitation.
  • Extensive validation using simulations and real-time experiments, showing that the proposed FOEMRAC strategy outperforms conventional MRAC, PID, and FOPID controllers in tracking accuracy and convergence speed.
The paper is organized as follows: Section 2 introduces the fundamentals of fractional calculus and fractional gradient methods. Section 3 formally defines the fractional-order error models (FOEM1–3) using Caputo derivatives and the Lyapunov-based stability and convergence analysis. Section 4 presents the case study and experimental validation, discussing the results and implications of fractional-order MRAC in underactuated nonlinear systems. Conclusions are presented in Section 5.

2. Preliminaries

Fractional calculus generalizes conventional calculus by allowing for differentiation and integration to be defined for orders that are not necessarily integers [25].
Several definitions of fractional derivatives exist in the literature, including the Riemann–Liouville and Grünwald–Letnikov definitions. This research employs the Caputo fractional derivative [26], which is preferred in engineering due to its straightforward treatment of initial conditions, clear physical interpretation, and availability of effective numerical tools. These features make it a robust method for modeling and analyzing systems that exhibit fractional behavior in practical applications.
Definition 1
(Caputo fractional derivative). The Caputo fractional derivative of order α R of function f (·), defined in a finite interval [ t 0 , t ] in R + , is defined as
D t α t 0 C f ( t ) = t 0 I t n α [ D n f ( t ) ] = 1 Γ ( n α ) t 0 t f ( n ) ( τ ) ( t τ ) α n + 1 d τ , t > t 0
with n = m i n { k N / k > α } . Also, it can be defined in a series form as
D t α t 0 C f ( t ) = i = n f i ( t 0 ) Γ ( i + 1 α ) ( t t 0 ) i α .

2.1. Fractional Gradient Using Caputo Derivative

The main concept behind fractional gradient (FG) methods is to use fractional-order derivatives instead of first-order ones while ensuring that the algorithm still converges properly:
t k + 1 = t k γ t 0 C D t k β f ( t ) .
where t k is the current position, t k + 1 is the next position, and γ > 0 is the learning rate.
In [23], the authors address the challenge that the fractional-order optimal point does not always align with the true optimum of the objective function [23,27,28]. To overcome this limitation, they propose three algorithms leveraging the Caputo fractional derivative. The first approach, called the fixed memory step method, takes advantage of the fractional derivative’s long-memory property and then truncates it to a finite window. The second strategy simplifies the infinite series expansion of the fractional derivative by only retaining its leading term. The third technique dynamically adjusts the fractional order at each iteration based on the current loss function.
Moreover, these strategies are not mutually exclusive and can be combined in various ways. Together, they guarantee that a convergent algorithm will indeed approach the true extremum of the objective function. This makes the fractional-order gradient approach highly practical, versatile, and effective [23].
This paper builds upon the initial application of FG introduced in the authors’ earlier research [24]. The FG equation is equal to
t k + 1 = t k γ f ( 1 ) ( t k ) Γ ( 2 β ) ( | t k t k 1 | + δ ) 1 β ,
where γ is the adaptation gain, Γ ( · ) denotes the Gamma function, and δ > 0 is a small constant to prevent numerical singularities.
Usually, γ is selected as a very small value to ensure the convergence of the FG so that | t k t k 1 | decreases quickly below 1. The convergence speed of FG (4) for 0 < β < 1 could be worse than in the conventional case because γ Γ ( 2 β ) ( | t k t k 1 | + δ ) 1 β can be viewed as the algorithm’s step size. In contrast, the FG for 1 < β < 2 will exhibit a convergence speed significantly faster than the conventional case.

2.2. Definitions

To analyze the convergence properties of fractional-order adaptive laws, we recall some fundamental concepts and results that establish the conditions under which the error dynamics are guaranteed to converge. The following definitions and properties summarize key notions of persistent and sufficient excitation for fractional-order systems, as well as their relationships:
Property 1
(Theorem 2, [29]). For the FOEM-1, if ω P E ( n , 1 ) and α = 1 , then ( ϕ , e ) converges uniformly to zero. If ω S E ( n , α ) and 0 < α 1 , then ( ϕ , e ) converges asymptotically to zero.
Definition 2.
Let I n be the n × n identity matrix and R + the set of all real numbers greater than or equal to zero. Let us define the subset S E ( n , α ) in the space of bounded, continuously differentiable functions as the set of sufficiently exciting functions as follows:
S E ( n , α ) : = { ω : [ 0 , ) R n | ( f ω : [ 0 , ) [ 0 , ) ) , s . t . lim t I α f ω ( t ) = ( t > 0 ) ω ( t ) ω T ( t ) f ω ( t ) I n } .
Property 2
(Lemma 3, [29]). Let ω R n be a uniformly continuous function. If ω P E ( n , 1 ) , then ω S E ( n , α ) for every 0 < α < 1 .

3. Fractional-Order Error Models with Fractional Gradient-Adaptive Laws

3.1. Fractional-Order Error Model 1 with Fractional Gradient-Adaptive Laws

In the work of [24], the fractional-order error model 1 with a fractional gradient (FOEM1-FG) is introduced. This model extends previous contributions [23,28] by incorporating both fixed-memory steps and truncated higher-order terms.
e y ( t ) = ϕ T ( t ) ω ( t ) , D t 0 α ϕ ( t ) = γ Γ ( 2 β ) e y ( t ) ω ( t ) ( | ψ t ψ t 1 | + δ ) 1 β .
e y ( t ) denotes the output error, and D t 0 α ϕ ( t ) represents the fractional update law. The signal ω ( t ) : R + R n corresponds to the input or information vector (also referred to as the auxiliary signal). The term ϕ ( t ) captures the parameter error, while γ R + is a constant adaptive gain, although it could be generalized to a time-varying gain with its own adaptation law. When β = 1 , Equation (6) simplifies to fractional-order error model 1 (FOEM1), and when α = 1 , it transforms into the standard error model 1 (EM1) [30].
The simulation results reported in [24] confirm that the output error remains bounded and converges to zero for a wide range of signals, especially when the gradient order β > 1 , which accelerates convergence. Theoretical analysis based on Lyapunov stability, fractional derivatives, and sufficient excitation ( S E ( n , α ) ) confirms the boundedness and stability of the parameter error ϕ ( t ) . While classical Barbalat-type results cannot be directly applied due to the properties of fractional integrals, parametric convergence is still guaranteed under specific conditions, particularly when the input signal belongs to S E ( n , α ) . These results establish FOEM1-FG as a robust and flexible adaptive scheme suited for systems with limited plant information and fractional dynamics.
The analysis conducted for FOEM1-FG serves as the foundation for the subsequent subsections, in which FOEM2-FG and FOEM3-FG errors are presented.

3.2. Fractional-Order Error Model 2 with Fractional Gradient-Adaptive Laws (FOEM2-FG)

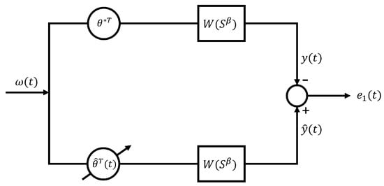
In the case of the fractional-order error model 2 (FOEM2), the error corresponds to the output of a dynamic system in which all state variables are accessible, as illustrated in Figure 1.
Since the full state vector is available, the error e ( t ) : R + R n can be defined using a fractional derivative of order η :
D t 0 η e ( t ) = A e ( t ) + b ϕ T ( t ) ω ( t ) ,
where D t 0 η represents the fractional derivative of order η , which relies on the characteristics of the plant to be controlled. y ( t ) = x ( t ) and y ^ ( t ) = x ^ ( t ) , where x ( t ) represents the actual state and x ^ ( t ) denotes the estimated state. A R n × n is an asymptotically stable matrix, b R n is a known vector, and the pair ( A , b ) is controllable. The ideal parameter θ * R m is assumed to be unknown, and θ ( t ) : R + R m is the adjustable parameter that estimates the ideal parameter θ * . The parametric error is defined as ϕ ( t ) = θ ( t ) θ * .
If the loss function is defined as
L ( ϕ ( t ) ) = d d t e T ( t ) P e ( t ) 2 + e T ( t ) Q e ( t ) 2 ,
and the following fractional adjustment law is used,
D t 0 α ϕ ( t ) = γ L ( 1 ) ( ϕ ( t ) ) D t 0 α ϕ ( t ) = γ e ( t ) T P b ω ( t ) ,
where L 1 ( ϕ ( t ) ) is the standard (integer-order) derivative of L ( ϕ ( t ) ) and P R n × n is a symmetric positive definite matrix satisfying the equation A T P + P A = Q < 0 (where Q R n × n is an arbitrary symmetric positive definite matrix that penalizes the error). γ R + is the adaptive gain, which is considered constant in this case.
The fractional adjustment law for the FOEM2 in (9), with the fractional gradient applied [23,28], is redefined as
D t 0 α ϕ ( t ) = γ θ β L ( ϕ ( t ) )
where the term θ β L ( ϕ ( t ) ) is the gradient of the loss function L ( ϕ ( t ) ) associated with the adaptive parameter θ .
θ β L ( ϕ ( t ) ) = L ( 1 ) ( ϕ ( t ) ) Γ ( 2 β ) ( | θ t θ t 1 | + δ ) 1 β ,
θ β L ( ϕ ( t ) ) = e ( t ) T P b ω ( t ) Γ ( 2 β ) ( | θ t θ t 1 | + δ ) 1 β .
From Equation (12), retaining the value of the parameter θ from the previous moment (recorded data) is crucial. Consequently, the proposed adaptive law is
D t 0 α ϕ ( t ) = γ e ( t ) T P b ω ( t ) Γ ( 2 β ) ( | θ t θ t 1 | + δ ) 1 β .
Equation (13) represents the fractional-order error model 2 with fractional gradient (FOEM2-FG) for the fractional error defined in Equation (7). Simulation studies of the FOEM2-FG for different values of α , and varying β , show that values of β > 1 significantly enhance the performance indices, regardless of the value of α . In the case of β = 1 , (13) becomes the FOEM2 defined in [31].
We can state the following general conclusions regarding the two-dimensional vector case for the FOEM2-FG:
  • The output error is bounded and converges to zero for all analyzed signals, regardless of the value of β for 0 < β < 2 .
  • Values of β > 1 enhance the convergence speed of the output error, regardless of the value of α .
  • The parametric error remains bounded, and its convergence to zero depends on the characteristics of the input signal ω ( t ) used.

Stability and Convergence Analysis for FOEM2-FG

For the stability analysis, it is assumed that η = α . Although the case η α has not yet been fully developed, it has been observed that the error model remains Lyapunov-stable within the FOEM2-FG framework (see Equation (13)).
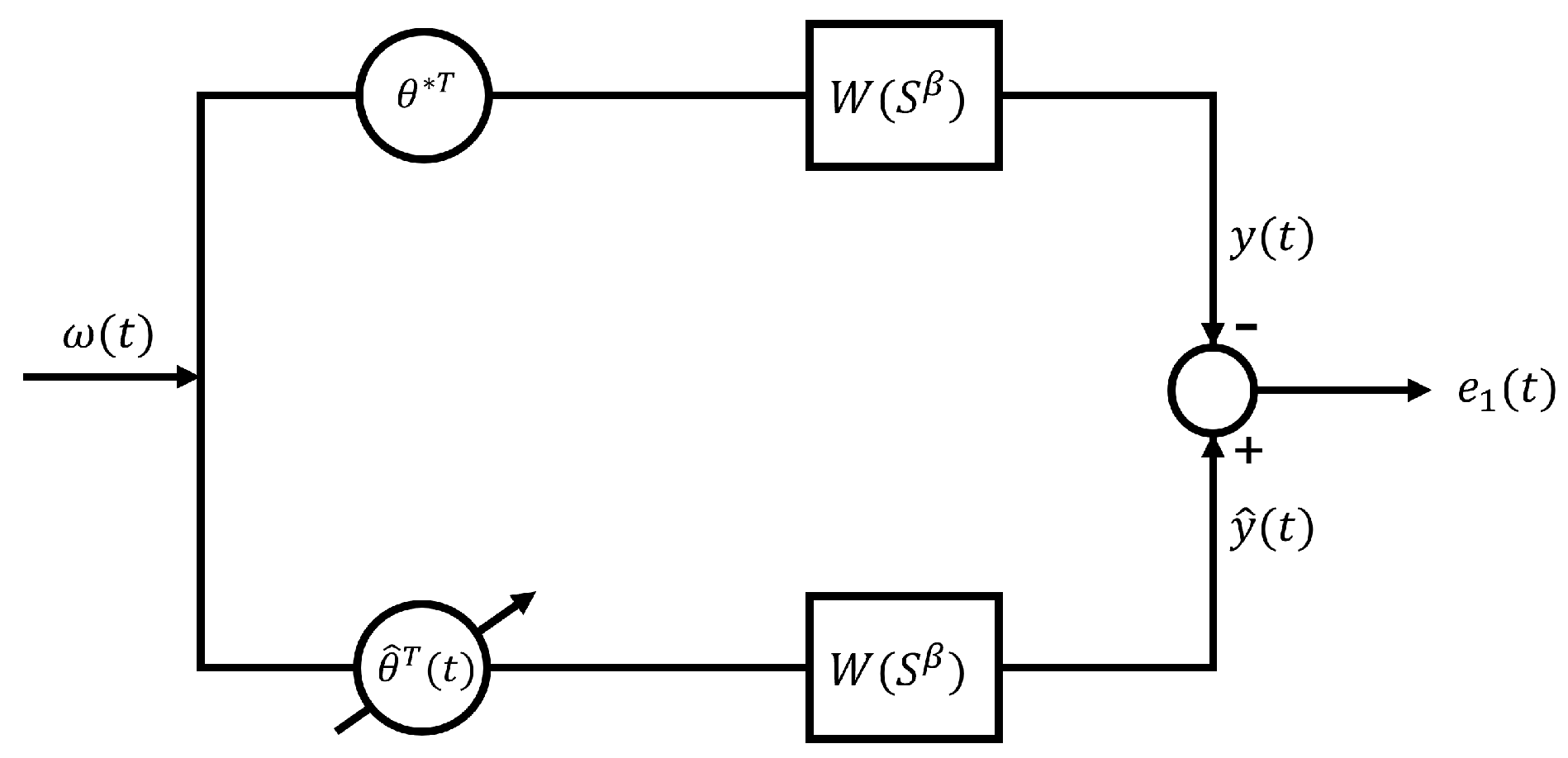
ζ t s defined as a positive definite adaptation gain matrix given by
ζ t = γ ( | θ t θ t 1 | + δ ) 1 β Γ ( 2 β ) ,
the behavior of ζ t depends on β values (see Figure 2). For β > 1 , if | θ t θ t 1 | = 0 , then ζ t is upper-bounded and remains finite. Conversely, if β < 1 , simulations indicate that this does not improve the convergence speed of the algorithm, and, therefore, this range of β values is not recommended for FOEM2-FG.
Additionally, if | θ t θ t 1 | , then ζ t . However, in practice, the objective of the optimization algorithm is to ensure that θ t converges to θ t 1 through successive iterations. Consequently, abrupt parameter changes are unlikely, thereby guaranteeing that ζ t remains bounded.
We now present the stability and convergence properties of the FOEM2-FG scheme; the results are summarized in the following theorem.
Theorem 1
(Lyapunov Stability of FOEM2-FG). Consider the fractional-order error model FOEM2-FG with adaptation law given by
D α ϕ ( t ) = e T ( t ) P b ω ( t ) ζ t ,
and error dynamics defined by
D α e ( t ) = A e ( t ) + b ϕ T ( t ) ω ( t ) ,
where A R n × n is Hurwitz and P = P T > 0 . Then, under these conditions and assuming ω ( t ) is bounded, the closed-loop system is Lyapunov-stable, i.e.,
y ( t ) y ( t 0 ) , t t 0 ,
where y ( t ) = B e ( t ) ϕ ( t ) and P = B T B .
Proof. 
Define the Lyapunov candidate function:
V ( t ) = e T ( t ) P e ( t ) + ϕ T ( t ) ζ t 1 ϕ ( t ) .
Taking the Caputo fractional derivative of order α and applying known bounds for FO derivatives of quadratic functions [32,33,34], we obtain
D α V ( t ) 2 e T P D α e + 2 K ζ 1 ϕ T D α ϕ = 2 e T P A e + b ϕ T ω 2 ϕ T e T P b ω = 2 e T P A e + 2 e T P b ϕ T ω 2 ϕ T e T P b ω = 2 e T P A e .
Using the property A T P + P A = Q with Q = Q T > 0 , we have
e T P A e = 1 2 e T ( A T P + P A ) e = 1 2 e T Q e .
Therefore,
D α V ( t ) e T Q e .
Since Q > 0 , V ( t ) is non-increasing. Integrating both sides yields
V ( t ) V ( t 0 ) I t 0 α e T Q e 0 .
Recalling that P = B T B , define
y ( t ) = B e ( t ) ϕ ( t ) ,
so that
y ( t ) 2 = e T P e + ϕ T ϕ = V ( t ) .
Hence,
y ( t ) 2 y ( t 0 ) 2 0 ,
implying:
y ( t ) y ( t 0 ) , t t 0 .
This proves Lyapunov stability. □
Theorem 2
(Asymptotic Convergence under Sufficient Excitation). Assume the conditions of Theorem 1. Furthermore, suppose that ω ( t ) S E ( n , α ) . Then, the tracking error e ( t ) and the parameter estimation error ϕ ( t ) converge asymptotically to zero:
lim t e ( t ) = 0 , lim t ϕ ( t ) = 0 .
Proof. 
Define the auxiliary error signal:
ϵ ( t ) : = D α e ( t ) A e ( t ) = b ϕ T ( t ) ω ( t ) .
Under the adaptive law,
D α ϕ ( t ) = ζ t e T ( t ) P b ω ( t ) ,
the coupled fractional-order system ( ϕ ( t ) , ϵ ( t ) ) satisfies the hypotheses of Property 1. Therefore, if ω S E ( n , α ) , then ϵ ( t ) 0 and ϕ ( t ) 0 as t . Since ϵ ( t ) 0 , consider
D α e ( t ) = A e ( t ) + ϵ ( t ) .
Applying Theorem 5 in [35], it follows that e ( t ) 0 as t . □

3.3. Fractional-Order Error Model 3 with Fractional Gradient-Adaptive Laws (FOEM3-FG)

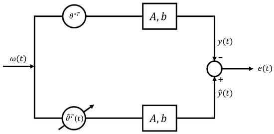
The fractional-order error model 3 (referred to as FOEM3) has the same structure as FOEM2, with one key difference: access is restricted to an algebraic combination of its components, specifically e 1 ( t ) R . In contrast, FOEM2 allows for access to the entire error vector e ( t ) R n , which reflects the state access available in real plants. Generally, this error model arises when only the output of the plant being controlled or identified is accessible, making FOEM3 applicable to a broader range of problems compared to FOEM2. Figure 3 presents the diagram for FOEM3.
In this error model, the output error e 1 ( t ) is determined by
e 1 ( t ) = h T e ( t ) ,
where h T is the output weighting vector and e ( t ) is the state estimation error. Considering a dynamic system, the fractional error dynamics equation is similar to (7), where now the pair ( h T , A ) must be observable. The fractional adjustment law for FOEM3 takes the following form:
D t 0 α ϕ ( t ) = γ e 1 ( t ) ω ( t ) Γ ( 2 β ) ( | θ t θ t 1 | + δ ) 1 β ,
where θ * R is the ideal parameter assumed to be unknown, θ ( t ) : R + R m is the adjustable parameter that estimates θ * , and ϕ ( t ) = θ ( t ) θ * : R * R m is the parametric error. e ( t ) : R + R n is the state error, ω ( t ) : R + R m is the input signal, also known as the information signal, and e 1 ( t ) : R + R is the output error, which is assumed to be accessible.
As stated earlier, the fact that only e 1 ( t ) is available instead of the complete state vector makes this error model more commonly used than FOEM2. However, as anticipated, more restrictive conditions are placed on the transfer function W ( s β ) between ϕ T ( t ) ω ( t ) and e 1 ( t ) , so that the tuning laws could be synthesized. Specifically, the triplet ( h T , A , b ) must ensure that the transfer function h T ( s I A ) 1 b is strictly positive real (SPR) [30].
The tuning law for this error model is expressed as γ > 0 , which is related to the adaptive gain. This adaptive gain may be a constant or a time-varying scalar γ R , or it might take the form of a constant or time-varying matrix Γ R m × n [30].

Stability and Convergence Analysis for FOEM3-FG

We now present the stability and convergence properties of the proposed FOEM3-FG scheme for the case η = α . The results are summarized in the following theorem.
Theorem 3
(Lyapunov Stability of FOEM3-FG). Consider the fractional-order error model FOEM3-FG with adaptation law governed by:
D t 0 α ϕ ( t ) = e 1 T ω ( t ) ζ t ,
and error dynamics defined by:
D α e ( t ) = A e ( t ) + b ϕ T ( t ) ω ( t ) ,
where A R n × n is Hurwitz and the transfer function h T ( s I A ) 1 b is strictly positive real (SPR). Then, under these conditions and assuming ω ( t ) is bounded, the closed-loop system is Lyapunov stable in the sense that:
y ( t ) y ( t 0 ) , t t 0 ,
where y ( t ) = B e ( t ) ϕ ( t ) with P = B T B a positive definite matrix.
Proof. 
Let us define the Lyapunov candidate function:
V ( t ) = e T ( t ) P e ( t ) + K ζ 1 ϕ T ( t ) ϕ ( t ) ,
where P = P T > 0 is the solution of the Lyapunov equation:
A T P + P A = Q , Q = Q T > 0 , P b = h .
Taking the Caputo fractional derivative of V ( t ) of order α , we obtain
D α V ( t ) = D α e T P e + K ζ 1 D α ϕ T ϕ e T ( A T P + P A ) e + 2 e T P b ϕ T ω 2 ϕ T e 1 ω = e T Q e + 2 e 1 ϕ T ω 2 ϕ T e 1 ω = e T Q e .
Since Q > 0 , this implies D α V ( t ) 0 , which shows that V ( t ) is non-increasing. Integrating both sides yields
V ( t ) V ( t 0 ) t 0 t 1 Γ ( α ) ( t τ ) α 1 e T ( τ ) Q e ( τ ) d τ .
Rewriting V ( t ) using P = B T B , we define y ( t ) = B e ( t ) ϕ ( t ) , so that
y ( t ) 2 = e T P e + ϕ T ϕ = V ( t ) .
Then the inequality becomes
y ( t ) 2 y ( t 0 ) 2 I t 0 α e T Q e 0 ,
which implies
y ( t ) y ( t 0 ) , t t 0 .
Thus, the system is Lyapunov-stable. □
Theorem 4
(Asymptotic Convergence under Persistent Excitation). Assume the conditions of Theorem 3 hold. Furthermore, suppose that the regressor ω ( t ) S E ( n , α ) , i.e., it is α-persistently exciting. Then, the tracking error e ( t ) and the parameter estimation error ϕ ( t ) converge asymptotically to zero:
lim t e ( t ) = 0 , lim t ϕ ( t ) = 0 .
Proof. 
Define the auxiliary signal:
ϵ ( t ) : = D α e ( t ) A e ( t ) = b ϕ T ( t ) ω ( t ) .
Under the adaptive law,
D α ϕ ( t ) = ζ t ϵ ( t ) P ω ( t ) ,
the pair ( ϕ ( t ) , ϵ ( t ) ) forms a coupled fractional-order dynamic system. According to Property 1, if ω ( t ) SE ( n , α ) , then both ϕ ( t ) 0 and ϵ ( t ) 0 as t . Since ω ( t ) is bounded, this implies ϕ T ( t ) ω ( t ) 0 . Now consider the fractional-order linear system:
D α e ( t ) = A e ( t ) + ϵ ( t ) ,
with ϵ ( t ) 0 . Applying Theorem 5 in [35], it follows that e ( t ) 0 as t . □

4. Results and Simulations

4.1. Case Study: The Inverted Pendulum

The advantages of the FOEM3-FG are examined in an experimental case of study: the inverted pendulum (InvP). The InvP is a servomechanism consisting of a pivot, which can swing freely about its axis and is mounted on a carriage (Figure 4). The carriage moves along a horizontal axis within a finite range, generating thus an oscillation in the pendulum. The objective is to keep the pendulum vertical and maintain it at equilibrium by implementing a control system [36]. Fractional-order PID (FOPID) controllers have already been experimentally validated in this plant [37].
The carriage’s movement is generated by the traction of a chain coupled to the shaft of a direct current (DC) motor located at the end of the rail. Applying voltage to the motor allows for the carriage’s movement to be controlled in both directions. The two variables measured in the system using optical encoders are the carriage’s position and the pendulum’s inclination angle. Table 1 shows the parameters of the pendulum-cart system used in this study.
The control signal is limited in the range [ 2.5 V + 2.5 V ] and the magnitude of the generated force varies in the interval [ 20.0 N + 20.0 N ] . The length of the rail physically limits the position of the carriage and is equal to [ 0.5 m + 0.5 m ] .
The phenomenological model of the inverted pendulum is presented in Equation (47). By adding the forces acting on the pendulum and cart system, as well as the moments, the following nonlinear equations of motion are derived:
( m + M ) x ¨ + b x ˙ + m l θ ¨ c o s θ m l θ ˙ 2 s i n θ = F , ( I + m l 2 ) θ ¨ m g l s i n θ + m l x ¨ c o s θ + d θ ˙ = 0 ,
where x [m] is the cart position corresponding to the center of the rail, θ [rad] is the pendulum angular position concerning the vertical axis, g is the gravitational acceleration, l is the pendulum length, M is the mass of the cart, m is the mass of the pendulum, I is the moment of inertia, b is the friction coefficient of the cart, d is the viscous friction coefficient of the pendulum, and F is the force applied to the cart by the motor and corresponds to the input to the system. The parameter values are listed in Table 1. For the simplicity of presenting our theoretical results, the control input u ( t ) used in the inverted pendulum state model is the force exerted on the cart, u ( t ) = F .
Next, we will analyze the equilibrium states of the pendulum and their effects on the phenomenological model. The pendulum has two equilibrium points: one occurs when θ = 0 (inverted pendulum, unstable system), and the other occurs when θ = π (freely suspended, stable system). To demonstrate the applicability of the proposed adaptive controller, we will focus on the linearized model for the operating point θ = p i . The position of the cart, denoted as x, will be controlled by letting the angle hang freely.

4.2. Linearized Model for Equilibrium Point θ = π

To linearize the system with respect to the equilibrium point θ = π , the following substitutions are made:
s i n θ θ , c o s θ 1 , θ ˙ 2 = 0 ,
resulting in
( m + M ) x ¨ + b x ˙ m l θ ¨ = F , ( I + m l 2 ) θ ¨ + m g l θ m l x ¨ + d θ ˙ = 0 .
Building the matrices in the state variable, we obtain
x ˙ ( t ) = A ( t ) x ( t ) + B ( t ) u ( t ) , y ( t ) = C ( t ) x ( t ) ,
with the state vector x ( t ) defined as
x ˙ ( t ) = x 1 x 2 x 3 x 4 = θ ( t ) θ ˙ ( t ) x ( t ) x ˙ ( t ) .
The state matrices ( A R 4 × 4 , B R 4 × 1 ) and output matrices ( C R 2 × 4 ) become
A = 0 1 0 0 m g l ( M + m ) z D ( M + m ) z 0 m l b z 0 0 0 1 g m 2 l 2 z m l D z 0 b y z ; B = 0 m l z 0 y z ; C = 1 0 0 0 0 0 1 0 ,
where
z = I ( M + m ) + M m l 2 , y = I + m l 2 .

4.3. Parameters Tuning

The controller parameters are tuned using the Particle Swarm Optimization (PSO) algorithm [38]. PSO is a population-based metaheuristic method inspired by swarm intelligence. It mimics the social behavior of a biological population (such as insects, birds, or fish) in their search for food. According to its creators, each individual (particle) interacts with another, exchanging experiences, so that the group will gradually move into better regions of the search space [38].
In PSO, Figure 5, the solution search for each particle is defined by the update of its speed and position inside the swarm, which are established as follows:
V ( j , t ) = ω V ( j , t 1 ) + C 1 r 1 ( P b j X ( j , t 1 ) ) + C 2 r 2 ( G b X ( j , t 1 ) ) , w h i t h j = 1 , , N t = 1 , , T a n d X ( j , t ) = X ( j , t 1 ) + V ( j , t ) ,
where N and T are the number of particles of the swarm and the number of iterations, respectively. V and X are the speed and the position of the particle (i.e., the candidate solution), C 1 and C 2 are the acceleration coefficients (individual or population), P b j is the best position found by the particle in previous iterations, G b is the best position found by the population, r 1 and r 2 are uniformly distributed random numbers in the interval [ 0 , 1 ] used to keep the population diversity, and ω is the inertial weight.
A high value of ω implies greater exploration of the search space and a longer convergence time. In contrast, a small value reduces convergence time, but increases the risk of getting trapped in a local optimum. The value of ω is typically set to decrease linearly, promoting greater exploration at the beginning of the algorithm and greater exploitation of the solutions found as the search progresses.
In this work, a multi-objective problem is defined. A first primary objective function is defined as the Integral of Squared Error (ISE):
J 1 = I S E = 0 T e ( t ) 2 d t ,
where e ( t ) represents the control error, computed as the difference between the reference signal r ( t ) and the system output y ( t ) , i.e., e ( t ) = r ( t ) y ( t ) . A lower ISE indicates better tracking performance and improved accuracy.
Then, a second objective function is defined as the Quantitative Total Variation (QTV). The QTV metric is used to evaluate the variability of the control signal u ( t ) , reflecting the aggressiveness of its variation over time. The QTV is defined as
J 2 = Q T V = t = 1 N 1 ( u t + 1 u t ) 2 ,
where u ( t ) is the control signal by the instant t and N is the total number of samples, taken with a sampling time of 0.001 s. J 2 is focused on minimizing highly abrupt behavior.
Although it is possible to aggregate the two objectives ( J 1 and J 2 ) into a single weighted cost function, this study employs a Pareto-based approach to preserve the trade-offs between competing objectives. To this end, a Multiobjective Particle Swarm Optimization (MOPSO) algorithm is applied, which extends the classical PSO framework to handle multiple objectives simultaneously. Key modifications include the following:
  • Maintaining an archive of non-dominated (Pareto-optimal) solutions found throughout the optimization process.
  • Selecting a random leader from the Pareto front to maintain solution diversity and prevent premature convergence.
In MOPSO, each particle represents a candidate controller configuration defined by parameters such as gains or fractional orders. The algorithm evaluates each configuration using simulations of the cart-pendulum system, computing ISE and QTV as objective metrics for tracking accuracy and trajectory smoothness. These values define the fitness function, allowing for the construction of a Pareto front with non-dominated solutions. Particle positions and velocities are iteratively updated until a stopping criterion is met, enabling the simultaneous optimization of both performance objectives.
Three key performance indices—Integral of Squared Error (ISE) (54), Quantitative Total Variation (QTV) (55), and Integral of Squared Input (ISI)—are used to quantitatively evaluate the control performance of the different controllers implemented on the inverted pendulum-cart system. These indices measure tracking accuracy, control signal smoothness, and control effort.
The Integral of Squared Input (ISI) measures the energy associated with the control signal and is defined as
ISI = 0 T u 2 ( t ) d t .
A lower ISI implies reduced control effort and energy consumption, which are critical in real-time embedded systems and power-sensitive applications.
These indices collectively allow for a comprehensive evaluation of control performance, balancing accuracy (ISE), smoothness (QTV), and effort (ISI).

4.4. Controllers Design

4.4.1. PID and FOPID Controllers

The manufacturer provides a PID controller for controlling the car’s movement on the rail [36]. Since the manufacturer’s PID effectively meets the control objective, the performance of this controller will serve as a reference for the other designed controllers. The PID equation is described as follows:
u P I D ( t ) = K p e ( t ) + K i 0 t e ( τ ) d τ + K d d e ( t ) d t .
To construct the fractional order of the FOPID controller, as shown in Equation (58), we utilize the structure of the manufacturer’s PID controller, but with fractional parameters. The fractional parameters, denoted as λ and μ , are optimized using Multiobjective Particle Swarm Optimization (MOPSO). The numerical values for the PID and FOPID controllers are defined in Table 2.
A value of μ = 0.02 indicates that the FOPID controller essentially behaves as a FOPI controller, since the derivative action effectively becomes a proportional action. It is also interesting to note that λ = 1.15 is greater than one, corresponding to the integer-order integration.
u F O P I D ( t ) = K p e ( t ) + K i D t λ e ( t ) + K d D t μ e ( t ) .

4.4.2. MRAC and FOMRAC Controllers

With the aim of controlling the position of the car x 3 , without concern for the angular position of the pendulum, we include integral tracking of reference error, thus resulting in an extended state plant model given by
A e x t = A 0 0 0 1 0 0 ; B e x t = B 0 ; B m = 0 1 ; C m = 0 0 1 0 0 ,
the reference model for the design of the MRAC [39] is defined as follows:
x ^ ˙ m = A m x ^ m + B m r ( t ) , y ^ m = C m x ^ m ,
where A m = A e x t B e x t K and where the gain K is defined by linear quadratic regulator (LQR) methods that keep the system stable.
The control signal is defined as
F = ϕ ( t ) T ω ( t ) ,
where it is a negative linear combination of the information vector ω = x ( t ) , r ( t ) , weighted by adaptive parameters.
The control error is defined as the difference between the plant output in Equation (50) and the reference model described in (60), and the error dynamic e ˙ ( t ) is defined in Equation (7), with the corresponding adjustment law:
D t 0 α ϕ ( t ) = γ e 1 T ( t ) ω ( t ) Γ ( 2 β ) ( | θ t θ t 1 | + δ ) 1 β ,
with e 1 ( t ) = h T e ( t ) , where h = [ 0 1 ] and δ = 0.01 . The model reference adaptive control described by Equations (7) and (62), illustrated in Figure 6, corresponds to the FOEM3-FG, as complete access to the system output state vector is not available.
For the design of the integer-order MRAC, the tuning of γ θ 1 and γ θ 1 is performed individually, as separating the output error gains from the parameter adaptation gains proves to be more beneficial. The control signal is given by
u M R A C ( t ) = u F O M R A C ( t ) = ϕ ( t ) T ω ( t ) ,
with the error model e ˙ ( t ) and adaptation law ϕ ( t ) defined in Equations (7) and (62), respectively, and the information vector equal to ω = x ( t ) , r ( t ) . When α = 1 and β = 1 , the formulation corresponds to the standard MRAC. In contrast, when α and β differ from 1, the method corresponds to the fractional-order variant, FOMRAC.

4.4.3. Simulations for the System of the Inverted Pendulum

Fractional operators were implemented using the Ninteger toolbox for MATLAB [40], specifically through the NID block, which approximates fractional-order transfer functions. Since the NID block does not handle initial conditions by default, the Caputo definition of the fractional derivative and relevant properties of fractional integrals were adopted in order to incorporate the system’s initial states correctly.
The NID block operates based on the Oustaloup recursive approximation method. For this implementation, a configuration of ten poles and ten zeros was selected, with a frequency range of [ 0.001 , 1000 ] rad/s to ensure a reliable approximation across the operating bandwidth.
For all simulations, the initial conditions placed the cart at the center of the rail, while the pendulum started from the inverted position ( 180 from the vertical) and at rest. The simulation time was set to 60 s. The values of the linear quadratic regulator (LQR) matrices Q LQR and R LQR , as well as the gain matrix K, were defined using LQR methods to ensure closed-loop system stability.
Q L Q R = 0 0 0 0 0 0 0 0 0 0 0 0 0 0 0 0 0 0 0 0 0 0 0 0 1 , R L Q R = 1 ,
where the gain K is equal to K = [ 0.0848 ; 0.1135 ; 2.7592 ; 3.7567 ; 1 ] . The numerical values for the MRAC and FOMRAC controllers are defined in Table 2.
Table 2. Numerical values of the parameters for the PID, FOPID, MRAC, and FOMRAC controllers.
Table 2. Numerical values of the parameters for the PID, FOPID, MRAC, and FOMRAC controllers.
Controller K p K i K d λ μ γ θ 1 γ θ 2 α β
PID27.3503.911
FOPID27.3503.91.150.02
MRAC594.44632.8511
FOMRAC2.958.130.381.71
Figure 7 shows the pendulum position control simulation in response to a sinusoidal reference input, defined as r ( t ) = 0.15 s i n ( 0.2073 t ) , and the corresponding control signal u ( t ) generated by the four designed controllers (PID, FOPID, MRAC, and FOMRAC). Table 3 presents a comparative analysis using the performance indices defined in Section 4.3.
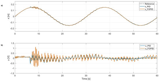
In Figure 7a, which shows the cart position x over time, the conventional MRAC controller exhibits significant overshoot and oscillatory behavior, indicating a less robust response to the system’s nonlinear dynamics. The FOPID controller improves damping and reduces oscillatory behavior, but still displays a delayed and less accurate tracking of the reference. However, it achieves the best QTV score (Table 3). The proposed FOMRAC controller demonstrates the best tracking performance, following the desired reference with minimal error and the fastest convergence, as reflected by its superior ISE value (Table 3).
Figure 7b presents the control signal in volts. The MRAC controller generates the most aggressive control action, characterized by high peaks and rapid variations, which may lead to increased energy consumption and actuator wear. The FOPID controller provides a moderately smoother control effort, but exhibits noticeable transients. In contrast, the FOMRAC controller produces the softest and most efficient control signal among all methods, with minimal amplitude and variation, corresponding to the best ISI score (Table 3). This suggests a more energy-efficient use of control effort while maintaining high trajectory-tracking performance. Overall, the FOMRAC strategy outperforms the others in both reference tracking and control efficiency. Although the FOPID controller exhibits the best Quadratic Tracking Variation (QTV), the FOMRAC’s performance remains comparable and well-balanced across all indices.
Including fractional-order gradients markedly enhances the adaptability and robustness of the control scheme, resulting in a notably smoother transient response. As shown in Table 2, the adaptive gain values γ k c and γ ϕ required for the FOMRAC controller are significantly lower than those needed for the conventional MRAC approach. Despite these lower gains, FOMRAC not only outperforms the classical MRAC in terms of stability and tracking precision, but also delivers performance comparable to—and in some cases exceeding—that of the F O P I D controller. These results demonstrate that incorporating fractional calculus into adaptive control strategies introduces additional degrees of freedom that enhance flexibility, robustness, and overall control performance, particularly in scenarios where integer-order methods prove insufficient.

4.4.4. Experimental Simulations for the System of Inverted Pendulum

The experimental results presented in Figure 8 were obtained experimentally in the research group’s laboratory using the inverted pendulum model provided by Feedback Instruments [36].
In Figure 8a, the cart position x reveals a clear contrast between the control strategies. As observed in simulation, the MRAC controller (green) continues to display overshoot and oscillations, indicating limited robustness in handling real-world nonlinearities and noise. The FOPID controller (orange) improves greatly, reducing oscillatory behavior and showing a more stable trajectory than MRAC, obtaining the best QTV. The proposed FOMRAC controller (yellow) also accurately tracks the reference trajectory, achieving the best ISE. Despite the increased variability inherent in the physical setup, it minimizes the tracking error over the full time horizon and exhibits faster convergence than the other methods.
Figure 8b shows the control signals in volts. The control effort of the MRAC exhibits the highest amplitude signal, although it remains within the permissible range of the DC motor. The FOPID signal has a lower amplitude than the MRAC and achieves the best ISI (see Table 4), although it still displays visible transients. In contrast, the FOMRAC controller, in its practical implementation, produces control actions with more frequent abrupt changes than the other methods. Although the inverted pendulum setup applies constraints such as slew rate limiting, high-frequency filtering, and dead zone compensation to protect the motor from overvoltage, current spikes, and excessive wear, this behavior suggests a potential area for improvement in the FOMRAC design, since its control signal could impose considerable stress on the actuators in real-world applications. Overall, the FOMRAC strategy demonstrates superior experimental performance in precise reference tracking, even if this entails larger variations in the control signal, thereby validating the advantages of incorporating fractional-order gradients into adaptive control laws.

4.4.5. Experimental Simulations for the System of the Inverted Pendulum with Disturbances

To validate the robustness of the designed controllers against disturbances, simulations were carried out in which the pendulum was displaced from its stable equilibrium position at θ = π to θ = 3 2 π . This scenario represents a significant alteration of the system dynamics and allows for assessments of how each control strategy maintains trajectory tracking performance under adverse conditions.
In the case of the PID controllers, both the classical integer-order and the fractional-order variants (see Figure 9a), it is observed that reference tracking is noticeably affected during the application of the disturbance. This performance degradation manifests as small oscillations superimposed on the reference trajectory, which tend to diminish progressively as the controllers increase the control action to compensate for the error. This behavior is numerically reflected in the performance indices presented in Table 5, where an increase in the ISE is evident. Likewise, Figure 9b shows that this compensation involves a considerable increase in the control signal amplitude and its transients, reflecting additional control effort that could compromise energy efficiency and actuator lifespan if sustained over time.
In the case of the conventional MRAC controller (Figure 10a), the system initially exhibits oscillations that gradually decrease until, after second 30, the disturbance is applied. The system then experiences a rise in oscillations around the reference, accompanied by a sustained increase in the control signal amplitude (Figure 10b). This increase highlights the limited capability of the conventional MRAC to dynamically adapt to abrupt changes in operating conditions, partially compromising tracking performance.
In contrast, the FOMRAC controller demonstrates more robust behavior against the disturbance. Although an increase in the magnitude of the control action is observed in the control signal (Figure 10b) when compensating for the perturbation, the reference tracking remains practically unaffected, without additional noticeable oscillations in the trajectory. This result is quantitatively corroborated in Table 5, where the FOMRAC achieves the lowest ISE among all evaluated controllers, confirming its ability to maintain high-precision tracking despite sudden variations in the system dynamics. This superior performance is attributed to the combination of the adaptive law based on fractional gradients and the greater flexibility introduced by the non-integer order parameters, which enable a smoother and more efficient response to external disturbances.
In future work, the proposed fractional-order adaptive control strategies (FOEM2-FG and FOEM3-FG) could be extended beyond the inverted pendulum to a broader class of nonlinear and underactuated systems. For example, integrating fractional-order MRAC schemes with robust controllers, such as fractional-order sliding mode control (FOSMC), offers a promising research direction for differential-drive mobile robots subject to skidding, slipping, and unknown disturbances [41]. In this context, fractional gradient-adaptation laws can enable the online estimation of uncertain dynamic parameters without requiring prior knowledge of disturbance bounds, thereby enhancing adaptability and tracking performance under highly variable operating conditions. Such hybrid controllers may significantly improve convergence speed, disturbance rejection, and control smoothness in applications including payload stabilization in aerial drones, trajectory tracking in ground vehicles, and precise manipulation in robotic arms [42]. Further research will focus on developing composite Lyapunov-based stability proofs and experimentally validating the proposed methods on real-time embedded platforms.

5. Conclusions

This paper introduced two adaptive control strategies—fractional-order error models 2 and 3—incorporating a fractional gradient. Model 3 extends model 2 by relaxing the requirement of full plant knowledge, making it more suitable for practical implementations. Theoretical foundations for stability and convergence were established based on the Caputo fractional derivative, and the proposed methods were applied to the position control of an inverted pendulum system.
The experimental and simulation results demonstrate that, while the classical PID controller fulfilled the basic control objectives, it was outperformed by controllers utilizing fractional calculus. The FOPID controller, in particular, exhibited improved damping and smoother control signals compared to PID, highlighting the benefits of fractional-order dynamics for improving transient behavior.
Although the MRAC controller was developed based on a linearized model, its performance suffered from overshoot and aggressive control action both in the simulation and on the real system, suggesting limited robustness to nonlinearities and disturbances. In contrast, the proposed FOMRAC controller, which integrates the fractional gradient, achieved superior performance in both scenarios. It delivered more accurate trajectory tracking and enhanced disturbance rejection capabilities, validating the effectiveness of the fractional-order adaptive control framework in handling real-world nonlinear systems with greater precision, resilience, and efficiency.

Author Contributions

Conceptualization and methodology, M.S.-R., M.A.D.-M. and L.B.-M.; investigation, M.S.-R., M.A.D.-M., M.E.O. and L.B.-M.; validation, M.S.-R., M.A.D.-M., L.B.-M., M.E.O. and G.C.-B.; writing—original draft, M.S.-R. and L.B.-M.; writing—review and editing, M.S.-R., M.A.D.-M., M.E.O., L.B.-M. and G.C.-B. All authors have read and agreed to the published version of the manuscript.

Funding

The first author acknowledges CONICYT/ANID for its funding through the project National Doctoral Program 2020/21200215. ANID-FONDECYT partly supported this work under grant numbers 3240317 and 1250036. Marcos Orchard would like to thank the Advanced Center for Electrical and Electronic Engineering, ANID Basal, under Project AFB240002.

Data Availability Statement

Data are contained within the article.

Conflicts of Interest

The authors declare no conflicts of interest.

References

  1. Hamza, M.F.; Yap, H.J.; Choudhury, I.A.; Isa, A.I.; Zimit, A.Y.; Kumbasar, T. Current development on using Rotary Inverted Pendulum as a benchmark for testing linear and nonlinear control algorithms. Mech. Syst. Signal Process. 2019, 116, 347–369. [Google Scholar] [CrossRef]
  2. Kafetzis, I.; Moysis, L. Inverted Pendulum: A System with Innumerable Applications. In Proceedings of the 9th International Week Dedicated to Maths, Thessaloniki, Greece, 7–12 April 2017. [Google Scholar]
  3. Boubaker, O. The inverted pendulum benchmark in nonlinear control theory: A survey. Int. J. Adv. Robot. Syst. 2013, 10, 233. [Google Scholar] [CrossRef]
  4. Maity, S.; Luecke, G.R. Stabilization and optimization of design parameters for control of inverted pendulum. J. Dyn. Syst. Meas. Control 2019, 141, 081007. [Google Scholar] [CrossRef]
  5. Jmel, I.; Dimassi, H.; Hadj-Said, S.; M’Sahli, F. An adaptive sliding mode observer for inverted pendulum under mass variation and disturbances with experimental validation. ISA Trans. 2020, 102, 264–279. [Google Scholar] [CrossRef] [PubMed]
  6. Mathew, N.J.; Rao, K.K.; Sivakumaran, N. Swing up and stabilization control of a rotary inverted pendulum. IFAC Proc. Vol. 2013, 46, 654–659. [Google Scholar] [CrossRef]
  7. Kharola, A.; Patil, P.; Raiwani, S.; Rajput, D. A comparison study for control and stabilisation of inverted pendulum on inclined surface (IPIS) using PID and fuzzy controllers. Perspect. Sci. 2016, 8, 187–190. [Google Scholar] [CrossRef]
  8. Fan, X.; Wang, Z. A fuzzy Lyapunov function method to stability analysis of fractional-order T–S fuzzy systems. IEEE Trans. Fuzzy Syst. 2021, 30, 2769–2776. [Google Scholar] [CrossRef]
  9. Zeghlache, S.; Ghellab, M.Z.; Djerioui, A.; Bouderah, B.; Benkhoris, M.F. Adaptive fuzzy fast terminal sliding mode control for inverted pendulum-cart system with actuator faults. Math. Comput. Simul. 2023, 210, 207–234. [Google Scholar] [CrossRef]
  10. Singh, S.; Swarup, A. Control of Rotary Double Inverted Pendulum using Sliding Mode Controller. In Proceedings of the 2021 International Conference on Intelligent Technologies (CONIT), Hubli, India, 25–27 June 2021; IEEE: Piscataway, NJ, USA, 2021; pp. 1–6. [Google Scholar]
  11. Safeea, M.; Neto, P. A Q-learning approach to the continuous control problem of robot inverted pendulum balancing. Intell. Syst. Appl. 2024, 21, 200313. [Google Scholar] [CrossRef]
  12. Kao, S.T.; Ho, M.T. Balance control of a configurable inverted pendulum on an omni-directional wheeled mobile robot. Appl. Sci. 2022, 12, 10307. [Google Scholar] [CrossRef]
  13. Mohsen, Z.S.; Mohamed, J. PID neural controller design for nonlinear inverted pendulum system. Int. J. Intell. Eng. Syst. 2023, 16, 783–798. [Google Scholar] [CrossRef]
  14. de la Cruz-Alejo, J.; Beatriz-Cuellar, H.; Guillermo, I.C.A.; Ortega, A.M. A decision-making approach on control techniques for an inverted pendulum based on, neuro-fuzzy, indirect adaptive and PID controllers. Discov. Appl. Sci. 2024, 6, 251. [Google Scholar] [CrossRef]
  15. Kim, J.W.; Oh, C.Y. Control of a rotary inverted pendulum system using brain emotional learning based intelligent controller. J. Korean Soc. Manuf. Technol. Eng. 2013, 22, 837–844. [Google Scholar] [CrossRef][Green Version]
  16. Lin, C.-M.; Chung, C.-C. Fuzzy brain emotional learning control system design for nonlinear systems. Int. J. Fuzzy Syst. 2015, 17, 117–128. [Google Scholar] [CrossRef]
  17. Özalp, R.; Varol, N.K.; Taşci, B.; Uçar, A. A review of deep reinforcement learning algorithms and comparative results on inverted pendulum system. In Machine Learning Paradigms: Advances in Deep Learning-Based Technological Applications; Springer: Berlin/Heidelberg, Germany, 2020; pp. 237–256. [Google Scholar]
  18. Mishra, S.K.; Chandra, D. Stabilization and tracking control of inverted pendulum using fractional order PID controllers. J. Eng. 2014, 2014, 752918. [Google Scholar] [CrossRef]
  19. Patra, A.K.; Mishra, A.K.; Nanda, A.; Subudhi, D.K.; Agrawal, R.; Patra, A. Stabilizing and trajectory tracking of inverted pendulum based on fractional order PID control. In Advances in Intelligent Computing and Communication: Proceedings of ICAC 2019; Springer: Singapore, 2020; pp. 338–346. [Google Scholar]
  20. Bettayeb, M.; Boussalem, C.; Mansouri, R.; Al-Saggaf, U.M. Stabilization of an inverted pendulum-cart system by fractional PI-state feedback. ISA Trans. 2014, 53, 508–516. [Google Scholar] [CrossRef] [PubMed]
  21. Mondal, R.; Chakraborty, A.; Dey, J.; Halder, S. Optimal fractional order PIλDμ controller for stabilization of cart-inverted pendulum system: Experimental results. Asian J. Control 2020, 22, 1345–1359. [Google Scholar] [CrossRef]
  22. Mondal, R.; Dey, J. A novel design methodology on cascaded fractional order (FO) PI-PD control and its real time implementation to Cart-Inverted Pendulum System. ISA Trans. 2022, 130, 565–581. [Google Scholar] [CrossRef] [PubMed]
  23. Wei, Y.; Kang, Y.; Yin, W.; Wang, Y. Generalization of the gradient method with fractional order gradient direction. J. Frankl. Inst. 2020, 357, 2514–2532. [Google Scholar] [CrossRef]
  24. Sánchez-Rivero, M.; Duarte-Mermoud, M.A.; Travieso-Torres, J.C.; Orchard, M.E.; Ceballos-Benavides, G. Analysis of Fractional Order-Adaptive Systems Represented by Error Model 1 Using a Fractional-Order Gradient Approach. Mathematics 2024, 12, 3212. [Google Scholar] [CrossRef]
  25. Vinagre, B.M.; Monje, C.A. Introducción al Control Fraccionario. Rev. Iberoam. Autom. Inform. Ind. 2006, 3, 5–23. [Google Scholar]
  26. Kilbas, A.A.; Srivastava, H.M.; Trujillo, J.J. Theory and Applications of Fractional Differential Equations; North-Holland Mathematics Studies; Elsevier: Amsterdam, The Netherlands, 2006; Volume 204. [Google Scholar]
  27. Pu, Y.F.; Zhou, J.L.; Zhang, Y.; Zhang, N.; Huang, G.; Siarry, P. Fractional Extreme Value Adaptive Training Method: Fractional Steepest Descent Approach. IEEE Trans. Neural Netw. Learn. Syst. 2015, 26, 653–662. [Google Scholar] [CrossRef] [PubMed]
  28. Chen, Y.; Gao, Q.; Wei, Y.; Wang, Y. Study on fractional order gradient methods. Appl. Math. Comput. 2017, 314, 310–321. [Google Scholar] [CrossRef]
  29. Gallegos, J.A.; Duarte-Mermoud, M.A. Convergence of fractional adaptive systems using gradient approach. ISA Trans. 2017, 69, 31–42. [Google Scholar] [CrossRef] [PubMed]
  30. Narendra, K.S.; Annaswamy, A.M. Stable Adaptive Systems; Courier Corporation: Chelmsford, MA, USA, 2012. [Google Scholar]
  31. Aguila-Camacho, N. Análisis del Comportamiento de Sistemas Adaptables Fraccionarios Representados por Modelos de Error. Ph.D. Thesis, Universidad de Chile, Santiago, Chile, 2014. [Google Scholar]
  32. Aguila-Camacho, N.; Duarte-Mermoud, M.A.; Gallegos, J.A. Lyapunov functions for fractional order systems. Commun. Nonlinear Sci. Numer. Simul. 2014, 19, 2951–2957. [Google Scholar] [CrossRef]
  33. Tuan, H.T.; Trinh, H. Stability of fractional-order nonlinear systems by Lyapunov direct method. IET Control Theory Appl. 2018, 12, 2417–2422. [Google Scholar] [CrossRef]
  34. Hai, P.V.; Rosenfeld, J.A. The gradient descent method from the perspective of fractional calculus. Math. Methods Appl. Sci. 2021, 44, 5520–5547. [Google Scholar] [CrossRef]
  35. Gallegos, J.A.; Duarte-Mermoud, M.A. Boundedness and convergence on fractional order systems. J. Comput. Appl. Math. 2016, 296, 815–826. [Google Scholar] [CrossRef]
  36. Digital Pendulum Control Experiments, Manual: 33-936S; Feedback Instruments Ltd.: Crowborough, UK, 2006.
  37. Fernández-Jorquera, M.; Zepeda-Rabanal, M.; Aguila-Camacho, N.; Bárzaga-Martell, L. Design, Tuning, and Experimental Validation of Switched Fractional-Order PID Controllers for an Inverted Pendulum System. Fractal Fract. 2025, 9, 234. [Google Scholar] [CrossRef]
  38. Kennedy, J.; Eberhart, R. Particle swarm optimization. In Proceedings of the ICNN’95-International Conference on Neural Networks, Perth, WA, Australia, 27 November–1 December 1995; IEEE: Piscataway, NJ, USA, 1995; Volume 4, pp. 1942–1948. [Google Scholar] [CrossRef]
  39. Gaudio, J.E.; Annaswamy, A.M.; Lavretsky, E.; Bolender, M.A. Parameter estimation in adaptive control of time-varying systems under a range of excitation conditions. IEEE Trans. Autom. Control 2021, 67, 5440–5447. [Google Scholar] [CrossRef]
  40. Oliveira Valerio, D. Ninteger v. 2.3, Fractional Control Toolbox for MatLab. 2005. Available online: https://web.ist.utl.pt/duarte.valerio/ninteger/ninteger.htm (accessed on 28 May 2025).
  41. Aguilar-Pérez, J.I.; Duarte-Mermoud, M.A.; Velasco-Villa, M.; Castro-Linares, R. Fractional order tracking control of a disturbed differential mobile robot. PLoS ONE 2025, 20, e0321749. [Google Scholar] [CrossRef] [PubMed]
  42. Govea-Vargas, A.; Castro-Linares, R.; Duarte-Mermoud, M.A.; Aguila-Camacho, N.; Ceballos-Benavides, G.E. Fractional order sliding mode control of a class of second order perturbed nonlinear systems: Application to the trajectory tracking of a quadrotor. Algorithms 2018, 11, 168. [Google Scholar] [CrossRef]
Figure 1. Fractional-order error model 2 scheme.
Figure 1. Fractional-order error model 2 scheme.
Fractalfract 09 00485 g001
Figure 2. ζ t performance as a function of | θ t θ t 1 | .
Figure 2. ζ t performance as a function of | θ t θ t 1 | .
Fractalfract 09 00485 g002
Figure 3. Fractional-order error model 3 scheme.
Figure 3. Fractional-order error model 3 scheme.
Fractalfract 09 00485 g003
Figure 4. Inverted pendulum-cart system [36].
Figure 4. Inverted pendulum-cart system [36].
Fractalfract 09 00485 g004
Figure 5. Pseudocode of the Multiobjective PSO algorithm.
Figure 5. Pseudocode of the Multiobjective PSO algorithm.
Fractalfract 09 00485 g005
Figure 6. Block diagram of the inverted pendulum with the FOMRAC controller.
Figure 6. Block diagram of the inverted pendulum with the FOMRAC controller.
Fractalfract 09 00485 g006
Figure 7. Simulation of control over the movement of the pendulum carriage on the rail. (a) Position x. (b) Control signal in volts v. PID (blue), FOPID (orange), MRAC (green), FOMRAC (yellow).
Figure 7. Simulation of control over the movement of the pendulum carriage on the rail. (a) Position x. (b) Control signal in volts v. PID (blue), FOPID (orange), MRAC (green), FOMRAC (yellow).
Fractalfract 09 00485 g007
Figure 8. Experimental simulation of control over the movement of the pendulum carriage on the rail. (a) Position x. (b) Control signal in volts v. PID (blue), FOPID (orange), MRAC (green), FOMRAC (yellow).
Figure 8. Experimental simulation of control over the movement of the pendulum carriage on the rail. (a) Position x. (b) Control signal in volts v. PID (blue), FOPID (orange), MRAC (green), FOMRAC (yellow).
Fractalfract 09 00485 g008
Figure 9. Experimental simulation of control over the movement of the pendulum carriage on the rail with disturbances. (a) Position x. (b) Control signal in volts v. PID (blue), FOPID (orange).
Figure 9. Experimental simulation of control over the movement of the pendulum carriage on the rail with disturbances. (a) Position x. (b) Control signal in volts v. PID (blue), FOPID (orange).
Fractalfract 09 00485 g009
Figure 10. Experimental simulation of control over the movement of the pendulum carriage on the rail with disturbances. (a) Position x. (b) Control signal in volts v. MRAC (green), FOMRAC (yellow).
Figure 10. Experimental simulation of control over the movement of the pendulum carriage on the rail with disturbances. (a) Position x. (b) Control signal in volts v. MRAC (green), FOMRAC (yellow).
Fractalfract 09 00485 g010
Table 1. Pendulum parameters.
Table 1. Pendulum parameters.
ParameterValue
g—Gravity9.81 m/s2
l—Rod length0.36 m
M—Cart mass2.4 kg
m—Pendulum mass0.23 kg
I—Moment of inertia0.099 kg · m 2
b—Friction coefficient0.05 Ns/m
d—Damping coefficient (negligible)0.005 Ns/m
Table 3. Performance of controllers for simulation results.
Table 3. Performance of controllers for simulation results.
ControllerISEQTVISI
PID 2.0248 × 10 4 1.8299 × 10 3 6.6207
FOPID 1.2303 × 10 4 8.2456 × 10 4 6.5697
MRAC 4.8070 × 10 2 1.3485 × 10 2 14.1294
FOMRAC 2.3248 × 10 5 5.7534 × 10 3 6.4062
Table 4. Performance of controllers for experimental results.
Table 4. Performance of controllers for experimental results.
ControllerISEQTVISI
PID 7.9273 × 10 5 1.0607 × 10 1 1.0670
FOPID 7.3898 × 10 5 7.6233 × 10 2 1.0172
MRAC 3.4059 × 10 2 4.1561 × 10 2 1.9829
FOMRAC 5.1070 × 10 6 15.8057 1.6068
Table 5. Performance of controllers for experimental results with disturbances.
Table 5. Performance of controllers for experimental results with disturbances.
ControllerISEQTVISI
PID 6.0120 × 10 4 3.1653 × 10 1 1.2561
FOPID 8.0615 × 10 4 3.7433 × 10 1 3.1189
MRAC 3.7816 × 10 2 6.7814 × 10 2 2.2033
FOMRAC 1.0606 × 10 5 15.6162 3.3372
Disclaimer/Publisher’s Note: The statements, opinions and data contained in all publications are solely those of the individual author(s) and contributor(s) and not of MDPI and/or the editor(s). MDPI and/or the editor(s) disclaim responsibility for any injury to people or property resulting from any ideas, methods, instructions or products referred to in the content.

Share and Cite

MDPI and ACS Style

Sánchez-Rivero, M.; Duarte-Mermoud, M.A.; Bárzaga-Martell, L.; Orchard, M.E.; Ceballos-Benavides, G. Fractional Gradient-Based Model Reference Adaptive Control Applied on an Inverted Pendulum-Cart System. Fractal Fract. 2025, 9, 485. https://doi.org/10.3390/fractalfract9080485

AMA Style

Sánchez-Rivero M, Duarte-Mermoud MA, Bárzaga-Martell L, Orchard ME, Ceballos-Benavides G. Fractional Gradient-Based Model Reference Adaptive Control Applied on an Inverted Pendulum-Cart System. Fractal and Fractional. 2025; 9(8):485. https://doi.org/10.3390/fractalfract9080485

Chicago/Turabian Style

Sánchez-Rivero, Maibeth, Manuel A. Duarte-Mermoud, Lisbel Bárzaga-Martell, Marcos E. Orchard, and Gustavo Ceballos-Benavides. 2025. "Fractional Gradient-Based Model Reference Adaptive Control Applied on an Inverted Pendulum-Cart System" Fractal and Fractional 9, no. 8: 485. https://doi.org/10.3390/fractalfract9080485

APA Style

Sánchez-Rivero, M., Duarte-Mermoud, M. A., Bárzaga-Martell, L., Orchard, M. E., & Ceballos-Benavides, G. (2025). Fractional Gradient-Based Model Reference Adaptive Control Applied on an Inverted Pendulum-Cart System. Fractal and Fractional, 9(8), 485. https://doi.org/10.3390/fractalfract9080485

Article Metrics

Back to TopTop