Pore Structure Quantitative Characterization of Tight Sandstones Based on Deep Learning and Fractal Analysis
Abstract
1. Introduction
2. Geological Setting

3. Materials, Experiments, and Methods
3.1. Materials
3.2. Experiments
3.2.1. HPMI
3.2.2. CTS and SEM
3.3. Methods
3.3.1. Fractal Dimension Based on HPMI
3.3.2. Enhanced U-Net Model
3.3.3. Fractal Dimension Based on SEM
4. Results
4.1. Pore Structure Characterization
4.1.1. Pore Structure Characteristics Based on HPMI
4.1.2. Pore Structure Characteristics Based on SEM
4.2. Fractal Characterization
4.2.1. Fractal Dimensions Obtained from HPMI Data
4.2.2. Fractal Dimensions Obtained from SEM
5. Discussion
5.1. Comparison of Fractal Dimensions from HPMI and SEM Data
5.2. Relationship Between D and Pore Structure Parameters
5.3. Relationship Between D and Pore Geometry Parameters
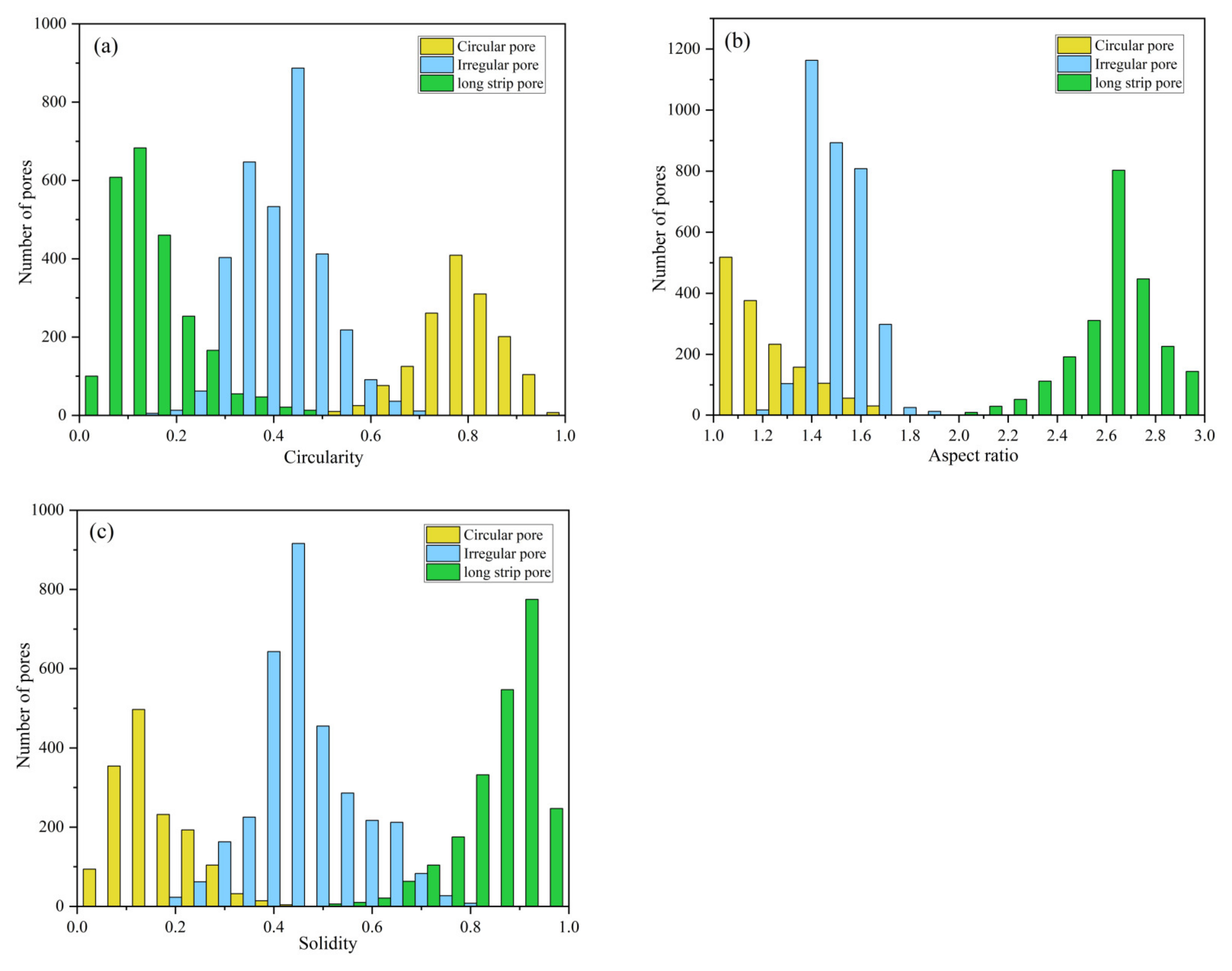
5.4. Relationship Between D and Pore Morphology
5.5. Relationship Between D and Mineral Composition
5.6. Geological Significance of D
6. Conclusions
- (1)
- HPMI reveals the complex and highly heterogeneous nature of the pore structure in tight sandstone reservoirs, demonstrating distinct fractal segmentation. Fractal dimension correlates with reservoir quality. The DMIP values for the Type I, II, and III reservoirs increased sequentially, indicating that as reservoir quality decreased, pore complexity and heterogeneity increased, and connectivity decreased. Additionally, the average fractal dimensions of the small and large pore-throats were 2.16 (D1) and 2.52 (D2), respectively, indicating greater complexity in large pore-throat structures.
- (2)
- The deep learning-based SEM pore extraction technique effectively quantified the pore structure of tight sandstone. Analysis of the fractal dimension and geometric parameters reveals the pore morphology and its microscopic complexity. The study found that the pore structure became more complex as the reservoir quality decreased, and the pore morphology became more irregular. Specifically, the DSEM increased as the with the deterioration of reservoir quality. Type I reservoirs had the smallest fractal dimension, followed by Type II, with Type III showing the highest values. Additionally, reservoir quality exhibits strong correlations with pore geometric features; negative correlations with pore perimeter, aspect ratio, and solidity; and positive correlations with circularity and major axis length.
- (3)
- The fractal dimensions DMIP and DSEM of the studied reservoirs ranged from 2.21 to 2.49 and from 1.01 to 1.28, respectively. This difference may be due to the distinct theoretical principles and computational models underlying the two methods. DMIP reflects changes in pore connectivity and permeability, whereas DSEM focuses on pore morphology and microscopic geometric characteristics. Collectively, these two methods reveal the pore structure’s complexity and heterogeneity at different scales and characterize its multiple features.
- (4)
- A significant correlation exists between the fractal dimension of tight sandstone reservoirs and their structural characteristics, geometric shape parameters, and mineral composition. The fractal dimension demonstrates an inverse relationship with permeability, porosity, median radius, maximum mercury saturation, mercury withdrawal efficiency, and sorting factor, while showing a positive link with median pressure and displacement pressure. Among these, the maximum mercury saturation and sorting factor demonstrate a strong correlation with the fractal dimension (R2 > 0.8). Additionally, the fractal dimension is negatively correlated with pore circularity and major axis length and positively correlated with perimeter, aspect ratio, and solidity. Pores with higher circularity and simpler structures correspond to lower fractal dimensions, whereas irregular and long-strip pores with complex structures and poor connectivity correspond to higher fractal dimensions. In terms of mineral composition, the fractal dimension has a negative association with the concentrations of feldspar, quartz, and chlorite, and a positive correlation with carbonate content.
- (5)
- The pore structure of dense sandstone reservoirs exhibits distinct dual-fractal characteristics, revealing its complexity and heterogeneity across multiple scales. Differences in the sedimentary environment and diagenesis jointly control the reservoir’s pore structure characteristics. Therefore, the reservoir management strategy must fully account for differences in pore types, especially in Type I and II reservoirs, where the dual-fractal characteristics of the pore structure significantly impact development design.
Author Contributions
Funding
Data Availability Statement
Conflicts of Interest
Nomenclature
| Acronym | Description | Unit |
| P | Pore perimeter | µm |
| VHg | Volume of mercury | µm3 |
| l | Length of capillary | µm |
| r | Radius of pore-throat | µm |
| θ | Contact angle | ° |
| σ | Interfacial tension | N/m |
| SHg | Mercury saturation | % |
| Vp | Total pore volume of the sample | µm3 |
| Pc | Mercury injection pressure | MPa |
| A | Pore area | µm2 |
| φ1 | Porosity proportions of the small pores | % |
| φ2 | Porosity proportions of the large pores | % |
| DMIP | Fractal dimension of MICP | |
| DSEM | Fractal dimension of SEM | |
| D1 | Fractal dimension of small pores | |
| D2 | Fractal dimension for large pores | |
| N(r) | Number of pores |
References
- Zhou, N.; Lu, S.; Wang, M.; Huang, W.; Xiao, D.; Jiao, C.; Wang, J.; Tian, W.; Zhou, L.; Chen, F.; et al. Limits and grading evaluation criteria of tight oil reservoirs in typical continental basins of China. Pet. Explor. Dev. 2021, 48, 1089–1100. [Google Scholar] [CrossRef]
- Zhao, W.; Hu, S.; Hou, L.; Yang, T.; Li, X.; Guo, B.; Yang, Z. Types and resource potential of continental shale oil in China and its boundary with tight oil. Pet. Explor. Dev. Online 2020, 47, 1–11. [Google Scholar] [CrossRef]
- Pang, X.; Jia, C.; Wang, W.; Chen, Z.; Li, M.; Jiang, F.; Hu, T.; Wang, K.; Wang, Y. Buoyance-Driven Hydrocarbon Accumulation Depth and Its Implication for Unconventional Resource Prediction. Geosci. Front. 2021, 12, 101133. [Google Scholar] [CrossRef]
- Xie, J.; Zhang, J.; Xiang, W.; Fang, Y.; Xue, Y.; Cao, J.; Tian, R. Effect of Microscopic Pore Structures on Ultrasonic Velocity in Tight Sandstone with Different Fluid Saturation. Pet. Sci. 2022, 19, 2683–2694. [Google Scholar] [CrossRef]
- Wen, Y.; Ni, G.; Zhang, X.; Zheng, Y.; Wang, G.; Wang, Z.; Huang, Q. Fine characterization of pore structure of acidified anthracite based on liquid intrusion method and Micro-CT. Energy 2023, 263, 125639. [Google Scholar] [CrossRef]
- Gao, H.; Wang, C.; Cheng, Z.; Li, T.; Dou, L.; Zhao, K.; Xue, J.; Luo, K. Effect of pressure pulse stimulation on imbibition displacement within a tight sandstone reservoir with local variations in porosity. Geoenergy Sci. Eng. 2023, 226, 211811. [Google Scholar] [CrossRef]
- Pfeifer, P.; Avnir, D. Chemistry in noninteger dimensions between two and three. I. Fractal theory of heterogeneous surfaces. J. Chem. Phys. 1983, 79, 3558–3565. [Google Scholar] [CrossRef]
- Zhang, Z.; Qin, Y.; Yi, T.; You, Z.; Yang, Z. Pore structure characteristics of coal and their geological controlling factors in Eastern Yunnan and Western Guizhou, China. ACS Omega 2020, 5, 19565–19578. [Google Scholar] [CrossRef]
- Guo, Y.; Zhou, L.; Guo, F.; Chen, X.; Wu, J.; Zhang, Y. Pore structure and fractal characteristic analysis of gasification-coke prepared at different high-temperature residence times. ACS Omega 2020, 5, 22226–22237. [Google Scholar] [CrossRef]
- Huang, W.; Lu, S.; Hersi, O.; Wang, M.; Deng, S.; Lu, R. Reservoir Spaces in Tight Sandstones: Classification, Fractal Characters, and Heterogeneity. Nat. Gas. Sci. Eng. 2017, 46, 80–92. [Google Scholar] [CrossRef]
- Zhao, Y.; Wang, C.; Ning, L.; Zhao, H.; Bi, J. Pore and Fracture Development in Coal under Stress Conditions Based on Nuclear Magnetic Resonance and Fractal Theory. Fuel 2022, 309, 122112. [Google Scholar] [CrossRef]
- Wu, Y.; Liu, C.; Ouyang, S.; Luo, B.; Zhao, D.; Sun, W.; Awan, R.; Lu, Z.; Li, G.; Zang, Q. Investigation of Pore-Throat Structure and Fractal Characteristics of Tight Sandstones Using HPMI, CRMI, and NMR Methods: A Case Study of the Lower Shihezi Formation in the Sulige Area, Ordos Basin. Pet. Sci. Eng. 2022, 210, 110053. [Google Scholar] [CrossRef]
- Wang, G.; Han, D.; Qin, X.; Liu, Z.; Liu, J. A comprehensive method for studying pore structure and seepage characteristics of coal mass based on 3D CT reconstruction and NMR. Fuel 2020, 281, 118735. [Google Scholar] [CrossRef]
- Xu, S.; Yang, Z.; Wu, S.; Wang, L.; Wei, W.; Yang, F.; Cai, J. Fractal Analysis of Pore Structure Differences Between Shale and Sandstone Based on the Nitrogen Adsorption Method. Nat. Resour. Res. 2022, 31, 1759–1773. [Google Scholar] [CrossRef]
- Zhang, J.; Li, X.; Wei, Q.; Sun, K.; Zhang, G.; Wang, F. Characterization of Full-Sized Pore Structure and Fractal Characteristics of Marine–Continental Transitional Longtan Formation Shale of Sichuan Basin, South China. Energy Fuels 2017, 31, 10490–10504. [Google Scholar] [CrossRef]
- Karin, P.; Chammana, P.; Oungpakornkaew, P.; Rungsritanapaisan, P.; Amornprapa, W.; Charoenphonphanich, C.; Sriprapha, K. Impact of Soot Nanoparticle Size and Quantity on Four-Ball Steel Wear Characteristics Using EDS, XRD and Electron Microscopy Image Analysis. Mater. Res. Technol. 2022, 16, 1781–1791. [Google Scholar] [CrossRef]
- Lu, Y.; Liu, J.; Tang, J.; Ao, X.; Li, H.; Zhou, J.; Sun, X. Pore Changes of Slickwater-Containing Shale under Supercritical CO2 Treatment. Fuel 2022, 312, 122775. [Google Scholar] [CrossRef]
- Yang, Y.; Wang, B.; Yuan, Q.; Huang, D.; Peng, H. Characterization, Factors, and Fractal Dimension of Pore Structure of Fly Ash-Based Geopolymers. Mater. Res. Technol. 2023, 26, 3395–3407. [Google Scholar] [CrossRef]
- Gao, H.; Luo, K.Q.; Wang, C.; Li, T.; Cheng, Z.L.; Dou, L.B.; Zhao, K.; Zhang, N.; Liu, Y.L. Impact of dissolution and precipitation on pore structure in CO2 sequestration within tight sandstone reservoirs. Pet. Sci. 2025, 22, 868–883. [Google Scholar] [CrossRef]
- Gao, H.; Cao, J.; Wang, C.; He, M.; Dou, L.; Huang, X.; Li, T. Comprehensive characterization of pore and throat system for tight sandstone reservoirs and associated permeability determination method using SEM, ratecontrolled mercury and high pressure mercury. J. Pet. Sci. Eng. 2018, 174, 514–524. [Google Scholar] [CrossRef]
- Qiao, J.; Zeng, J.; Jiang, S.; Zhang, Y.; Feng, S.; Feng, X.; Hu, H. Insights into the pore structure and implications for fluid flow capacity of tight gas sandstone: A case study in the upper paleozoic of the Ordos Basin. Mar. Pet. Geol. 2020, 118, 104439. [Google Scholar] [CrossRef]
- Dou, W.; Liu, L.; Jia, L.; Xu, Z.; Wang, M.; Du, C. Pore structure, fractal characteristics and permeability prediction of tight sandstones: A case study from Yanchang Formation, Ordos Basin, China. Mar. Pet. Geol. 2021, 123, 104737. [Google Scholar] [CrossRef]
- Wang, P.; Jiang, Z.; Ji, W.; Zhang, C.; Yuan, Y.; Chen, L.; Yin, L. Heterogeneity of intergranular, intraparticle and organic pores in Longmaxi shale in Sichuan Basin, South China: Evidence from SEM digital images and fractal and multifractal geometries. Mar. Pet. Geol. 2016, 72, 122–138. [Google Scholar] [CrossRef]
- Ojha, S.P.; Misra, S.; Tinni, A.; Sondergeld, C.; Rai, C. Relative permeability estimates for Wolfcamp and Eagle Ford shale samples from oil, gas and condensate windows using adsorption-desorption measurements. Fuel 2017, 208, 52–64. [Google Scholar] [CrossRef]
- Yu, S.; Bo, J.; Fengli, L.; Jiegang, L. Structure and Fractal Characteristic of Micro- and Meso-Pores in Low, Middle-Rank Tectonic Deformed Coals by CO2 and N2 Adsorption. Microporous Mesoporous Mater. 2017, 253, 191–202. [Google Scholar] [CrossRef]
- Mendhe, V.A.; Bannerjee, M.; Varma, A.K.; Kamble, A.D.; Mishra, S.; Singh, B.D. Fractal and pore dispositions of coal seams with significance to coalbed methane plays of East Bokaro, Jharkhand, India. Nat. Gas. Sci. Eng. 2017, 38, 412–433. [Google Scholar] [CrossRef]
- Zhang, K.; Pang, X.; Zhao, Z.; Shao, X.; Zhang, X.; Li, W.; Wang, K. Pore structure and fractal analysis of Lower Carboniferous carbonate reservoirs in the Marsel area, Chu-Sarysu basin. Mar. Pet. Geol. 2018, 93, 451–467. [Google Scholar] [CrossRef]
- Zhu, F.; Hu, W.; Cao, J.; Sun, F.; Liu, Y.; Sun, Z. Micro/Nanoscale Pore Structure and Fractal Characteristics of Tight Gas Sandstone: A Case Study from the Yuanba Area, Northeast Sichuan Basin, China. Mar. Pet. Geol. 2018, 98, 116–132. [Google Scholar] [CrossRef]
- Xie, S.; Cheng, Q.; Ling, Q.; Li, B.; Bao, Z.; Fan, P. Fractal and multifractal analysis of carbonate pore-scale digital images of petroleum reservoirs. Mar. Pet. Geol. 2010, 27, 476–485. [Google Scholar] [CrossRef]
- Zhang, H.; Wu, W. Shale content prediction of well logs based on CNN-BiGRU-VAE neural network. J. Earth Syst. Sci. 2023, 132, 139. [Google Scholar] [CrossRef]
- Du, Y.; Chen, J.; Zhang, T. Reconstruction of Three-Dimensional Porous Media Using Deep Transfer Learning. Geofluids 2020, 2020, 6641642. [Google Scholar] [CrossRef]
- Argilaga, A. Fractal Informed Generative Adversarial Networks (FI-GAN): Application to the generation of X-ray CT images of a self-similar partially saturated sand. Comput. Geotech. 2023, 158, 105384. [Google Scholar] [CrossRef]
- Chen, Z.; Liu, X.; Yang, J.; Little, E.; Zhou, Y. Deep learning-based method for SEM image segmentation in mineral characterization, an example from Duvernay Shale samples in Western Canada Sedimentary Basin. Comput. Geosci. 2020, 138, 104450. [Google Scholar] [CrossRef]
- Ge, Y.; Xu, X.; Yang, S.; Zhou, Q.; Shen, F. A review of data augmentation methods for sequence data. J. Front. Comput. Sci. Technol. 2021, 15, 827. [Google Scholar]
- Xue, D.; Tang, Q.; Wang, A.; Yi, H.; Zhang, C.; Geng, C.; Zhou, H. Microscopic phase state FCN intelligent recognition and fractal reconstruction of coal rocks. Rock. Soil. Mech. 2020, 39, 1203–1221. [Google Scholar] [CrossRef]
- Wang, D.; Wang, L.; Qin, Y.; Wei, L.; Cao, T.; Li, W.; Li, L.; Chen, X.; Xia, Y. Fracture recognition and 3D reconstruction of coal-rock composite based on VRA-UNet network. Coal Sci. Technol. 2025, 53, 95–107. [Google Scholar] [CrossRef]
- Song, X.; Gao, H.; Feng, C.; Yi, P.; Wang, C.; Li, T. Analysis of the influence of micro-pore structure on oil occurrence using nano-CT scanning and nuclear magnetic resonance technology: An example from Chang 8 tight sandstone reservoir, Jiyuan, Ordos Basin. Processes 2023, 11, 1127. [Google Scholar] [CrossRef]
- Song, X.; Feng, C.; Li, T.; Zhang, Q.; Pan, X.; Sun, M.; Ge, Y. Quantitative classification evaluation model for tight sandstone reservoirs based on machine learning. Sci. Rep. 2024, 14, 20712. [Google Scholar] [CrossRef]
- Qu, Y.; Sun, W.; Tao, R.; Luo, B.; Chen, L.; Ren, D. Pore-throat structure and fractal characteristics of tight sandstones in Yanchang Formation, Ordos Basin. Mar. Pet. Geol. 2020, 120, 104573. [Google Scholar] [CrossRef]
- Wang, J.Q.; Deng, J.X.; Xu, Z.H.; Xia, H.; Yan, L.L. Rock physics properties and influencing factors of subsalt carbonate reservoir of Ordovician Majiagou Formation in central Ordos Basin. Pet. Sci. 2024, 21, 3965–3980. [Google Scholar] [CrossRef]
- Li, C.; Liu, G.; Cao, Z.; Sun, M.; You, Y.; Liu, N. Oil charging pore throat threshold and accumulation effectiveness of tight sandstone reservoir using the physical simulation experiments combined with NMR. J. Pet. Sci. Eng. 2022, 208, 109338. [Google Scholar] [CrossRef]
- Tong, Q.; He, D.; Xia, Z.; Huang, J.; Li, Y.; Xu, F.; Guo, S. Research on sand body architecture at the intersection of a bidirectional sedimentary system in the Jiyuan area of Ordos Basin. Sci. Rep. 2023, 13, 12261. [Google Scholar] [CrossRef] [PubMed]
- Huang, X.; Li, T.; Wang, X.; Gao, H.; Ni, J.; Zhao, J.; Wang, C. Distribution characteristics and its influence factors of movable fluid in tight sandstone reservoir: A case study from Chang8 oil layer of Yanchang Formation in Jiyuan oilfield, Ordos Basin. Acta Pet. Sin. 2019, 40, 557. [Google Scholar]
- Liu, H.; Zhao, Y.; Luo, Y.; Xiao, G.; Meng, Y.; Zhou, S.; Shao, L. Origin of the reservoir quality difference between Chang 8 and Chang 9 Member sandstones in the Honghe Oil Field of the Southern Ordos Basin, China. J. Pet. Sci. Eng. 2020, 185, 106668. [Google Scholar] [CrossRef]
- Zhang, K.; Liu, R.; Liu, Z. Sedimentary sequence evolution and organic matter accumulation characteristics of the Chang 8-Chang 7 members in the Upper Triassic Yanchang Formation, southwest Ordos Basin, central China. J. Pet. Sci. Eng. 2021, 196, 107751. [Google Scholar] [CrossRef]
- Yang, P.; Ren, Z.; Fu, J.; Bao, H.; Xiao, H.; Shi, Z.; Wang, K.; Zhang, Y.; Liu, W.; Li, W. A Tectono-Thermal Perspective on the Petroleum Generation, Accumulation and Preservation in the Southern Ordos Basin, North China. Pet. Sci. 2024, 21, 1459–1473. [Google Scholar] [CrossRef]
- Fu, S.; Fang, Q.; Li, A.; Li, Z.; Han, J.; Dang, X.; Han, W. Accurate characterization of full pore size distribution of tight sandstones by low-temperature nitrogen gas adsorption and high-pressure mercury intrusion combination method. Energy Sci. Eng. 2021, 9, 80–100. [Google Scholar] [CrossRef]
- Li, C.; Chen, G.; Li, X.; Zhou, Q.; Sun, Z. The occurrence of tight oil in the Chang 8 lacustrine sandstone of the Huaqing area, Ordos Basin, China: Insights into the content of adsorbed oil and its controlling factors. J. Nat. Gas. Geosci. 2022, 7, 27–37. [Google Scholar] [CrossRef]
- Liu, Y.; Dong, X.; Chen, Z.; Hou, Y.; Luo, Q.; Chen, Y. A novel experimental investigation on the occurrence state of fluids in microscale pores of tight reservoirs. J. Pet. Sci. Eng. 2021, 196, 107656. [Google Scholar] [CrossRef]
- Yang, M.; Pan, Y.; Feng, H.; Yan, Q.; Lu, Y.; Wang, W.; Qi, Y.; Zhu, H. Fractal Characteristics of Pore Structure of Longmaxi Shales with Different Burial Depths in Southern Sichuan and Its Geological Significance. Fractal Fract. 2024, 9, 2. [Google Scholar] [CrossRef]
- Wang, J.; Zhang, J.; Xiao, X.; Chen, Y.N.; Han, D. Pore Structure and Fractal Characteristics of Inter-Layer Sandstone in Marine-Continental Transitional Shale: A Case Study of the Upper Permian Longtan Formation in Southern Sichuan Basin, South China. Fractal Fract. 2024, 9, 11. [Google Scholar] [CrossRef]
- Ronneberger, O.; Fischer, P.; Brox, T. U-net: Convolutional networks for biomedical image segmentation. In Proceedings of the Medical Image Computing and Computer-Assisted Intervention–MICCAI 2015: 18th International Conference, Proceedings, Part III 18, Munich, Germany, 5–9 October 2015; Springer: Berlin/Heidelberg, Germany, 2015; pp. 234–241. [Google Scholar] [CrossRef]
- Xi, Z.; Tang, S.; Zhang, S.; Qi, Y.; Wang, X. Evaluation of mechanical properties of porous media materials based on deep learning: Insights from pore structure. Fuel 2024, 371, 131923. [Google Scholar] [CrossRef]
- Huo, F.; Li, H.; Dong, H.; Ren, W. An improved Swin transformer for sandstone micro-image classification. Geoenergy Sci. Eng. 2025, 247, 213680. [Google Scholar] [CrossRef]
- Gao, Y.; Yu, Z.; Chen, W.; Yin, Q.; Wu, J.; Wang, W. Recognition of rock materials after high-temperature deterioration based on SEM images via deep learning. J. Mater. Res. Technol. 2023, 25, 273–284. [Google Scholar] [CrossRef]
- Jin, H.; Cao, L.; Kan, X.; Sun, W.; Yao, W.; Wang, X. Coal petrography extraction approach based on multiscale mixed-attention-based residual U-net. Meas. Sci. Technol. 2022, 33, 075402. [Google Scholar] [CrossRef]
- Liu, Y.; Zhang, Q.; Zhang, N.; Lv, J.; Gong, M.; Cao, J. Enhancement of thin-section image using super-resolution method with application to the mineral segmentation and classification in tight sandstone reservoir. J. Pet. Sci. Eng. 2022, 216, 110774. [Google Scholar] [CrossRef]
- Voss, R.F.; Laibowitz, R.B.; Alessandrini, E.I. Fractal geometry of percolation in thin gold films. In Scaling Phenomena in Disordered Systems; Springer Science & Business Media: Berlin/Heidelberg, Germany, 1991; pp. 279–288. [Google Scholar]
- Zhu, H.; Zhang, T.; Zhong, D.; Li, Y.; Zhang, J.; Chen, X. Characteristics of the binary pore structure in tight sandstone reservoirs. Pet. Explor. Dev. 2019, 46, 1297–1306. [Google Scholar] [CrossRef]
- He, T.; Zhou, Y.; Chen, Z.; Zhang, Z.; Xie, H.; Shan, Y.; Cui, G. Fractal characterization of the pore-throat structure in tight sandstone based on low-temperature nitrogen gas adsorption and high pressure mercury injection. Fractal Fract. 2024, 8, 356. [Google Scholar] [CrossRef]
- Zhang, H.; Li, X.; Liu, J.; Wang, Y.; Guo, L.; Wu, Z.; Tian, Y. A Fractal Characteristics Analysis of the Pore Throat Structure in Low-Permeability Sandstone Reservoirs: A Case Study of the Yanchang Formation, Southeast Ordos Basin. Fractal Fract. 2025, 9, 224. [Google Scholar] [CrossRef]
- Zhang, H.; Guo, L.; Wu, Z.; Ma, J. Pore-throat structure, fractal characteristics and permeability prediction of tight sandstone: The Yanchang Formation, Southeast Ordos Basin. Sci. Rep. 2024, 14, 27913. [Google Scholar] [CrossRef]
- Lu, Y.; Liu, K. Pore structure characterization of eocene Low-Permeability sandstones via fractal analysis and machine learning: An example from the dongying depression, bohai bay basin, China. ACS Omega 2021, 6, 11693–11710. [Google Scholar] [CrossRef]
- Li, P.; Zheng, M.; Bi, H.; Wu, S.; Wang, X. Pore throat structure and fractal characteristics of tight oil sandstone: A case study in the Ordos Basin, China. J. Pet. Sci. Eng. 2017, 149, 665–674. [Google Scholar] [CrossRef]

















| Sample | Depth (m) | Diameter (cm) | Length (cm) | Porosity (%) | Permeability (10−3 µm2) | Lithology |
|---|---|---|---|---|---|---|
| X1 | 2218.63 | 2.50 | 5.20 | 9.29 | 0.24 | Fine lithic feldspar sandstone |
| X2 | 2230.21 | 2.48 | 5.20 | 11.54 | 0.23 | Fine lithic feldspar sandstone |
| X3 | 2208.42 | 2.50 | 5.10 | 9.08 | 0.17 | Fine feldspar lithic sandstone |
| X4 | 2236.86 | 2.49 | 5.00 | 7.16 | 0.11 | Fine lithic feldspar sandstone |
| X5 | 2255.65 | 2.50 | 5.20 | 12.40 | 0.21 | Fine lithic feldspar sandstone |
| X6 | 2231.73 | 2.50 | 5.20 | 10.43 | 0.20 | Fine feldspar lithic sandstone |
| X7 | 2252.71 | 2.50 | 5.20 | 5.65 | 0.08 | Fine lithic feldspar sandstone |
| X8 | 2240.06 | 2.48 | 5.10 | 6.68 | 0.06 | Fine lithic feldspar sandstone |
| X9 | 2213.66 | 2.50 | 5.00 | 7.50 | 0.09 | Fine lithic feldspar sandstone |
| X10 | 2227.31 | 2.50 | 5.20 | 9.55 | 0.07 | Fine feldspar lithic sandstone |
| X11 | 2206.42 | 2.50 | 5.20 | 9.99 | 0.06 | Fine lithic feldspar sandstone |
| X12 | 2259.82 | 2.50 | 5.20 | 7.40 | 0.05 | Fine lithic feldspar sandstone |
| X13 | 2260.54 | 2.48 | 5.00 | 6.52 | 0.06 | Fine feldspar lithic sandstone |
| X14 | 2253.39 | 2.50 | 5.20 | 2.41 | 0.01 | Fine feldspar lithic sandstone |
| X15 | 2261.07 | 2.50 | 5.20 | 7.04 | 0.02 | Fine lithic feldspar sandstone |
| X16 | 2265.07 | 2.50 | 5.10 | 3.09 | 0.02 | Fine feldspar lithic sandstone |
| Group | Sample Number | Φ (%) | K (10−3 µm2) | Displacement Pressure | Median Radius | Median Pressure | Coefficient of Variation | Sorting Factor | Skewness | Maximum Mercury Saturation (%) | Mercury Withdrawal Efficiency (%) |
|---|---|---|---|---|---|---|---|---|---|---|---|
| I | X1 | 9.29 | 0.24 | 0.95 | 0.11 | 8.35 | 16.36 | 2.15 | 0.17 | 92.49 | 41.72 |
| X2 | 11.54 | 0.23 | 0.61 | 0.12 | 8.11 | 14.26 | 2.14 | 0.33 | 89.89 | 32.48 | |
| X3 | 9.08 | 0.17 | 0.76 | 0.14 | 5.77 | 16.95 | 2.09 | 0.44 | 86.83 | 39.29 | |
| X4 | 7.16 | 0.11 | 0.69 | 0.14 | 5.39 | 16.67 | 2.18 | 0.46 | 87.39 | 38.44 | |
| X5 | 12.40 | 0.21 | 0.80 | 0.11 | 4.36 | 17.84 | 2.41 | 1.68 | 91.51 | 40.71 | |
| X6 | 10.43 | 0.20 | 0.73 | 0.15 | 4.91 | 16.81 | 2.23 | 1.58 | 89.98 | 37.57 | |
| II | X7 | 5.65 | 0.08 | 1.19 | 0.09 | 7.55 | 15.45 | 2.03 | 0.43 | 88.32 | 32.81 |
| X8 | 6.68 | 0.06 | 1.54 | 0.05 | 8.76 | 13.99 | 1.85 | 0.50 | 85.08 | 36.76 | |
| X9 | 7.50 | 0.09 | 0.96 | 0.09 | 6.67 | 14.25 | 1.88 | 0.60 | 84.45 | 32.50 | |
| X10 | 9.55 | 0.07 | 0.78 | 0.10 | 9.80 | 14.69 | 1.89 | 0.65 | 85.33 | 38.90 | |
| X11 | 9.99 | 0.06 | 1.51 | 0.10 | 11.48 | 15.85 | 1.91 | 0.45 | 82.62 | 39.21 | |
| III | X12 | 7.40 | 0.05 | 2.26 | 0.03 | 27.06 | 8.42 | 0.96 | −0.02 | 75.80 | 26.21 |
| X13 | 6.52 | 0.06 | 4.40 | 0.02 | 52.41 | 8.54 | 1.37 | −0.05 | 77.52 | 23.22 | |
| X14 | 2.41 | 0.01 | 0.95 | 0.14 | 90.79 | 4.94 | 1.28 | 0.48 | 73.45 | 24.99 | |
| X15 | 7.04 | 0.02 | 2.29 | 0.02 | 35.55 | 9.26 | 1.60 | 0.05 | 79.61 | 29.71 | |
| X16 | 3.09 | 0.02 | 2.86 | 0.02 | 56.36 | 8.96 | 1.83 | 0.01 | 75.90 | 28.57 |
| Group | Sample Number | Φ (%) | K (10−3 µm2) | Perimeter (µm) | Circularity | Major Axis (µm) | Aspect Ratio | Solidity |
|---|---|---|---|---|---|---|---|---|
| I | X1 | 9.29 | 0.24 | 66.64 | 0.56 | 187.25 | 1.57 | 0.34 |
| 6.37~659.15 | 0.31~0.97 | 2.84~394.5 | 1.01~5.78 | 0.06~0.45 | ||||
| X2 | 11.54 | 0.226 | 113.44 | 0.53 | 156.85 | 1.33 | 0.26 | |
| 2.69~856.46 | 0.22~0.96 | 1.334~358.3 | 1.09~4.95 | 0.05~0.37 | ||||
| X3 | 9.08 | 0.174 | 57.08 | 0.49 | 131.30 | 1.60 | 0.43 | |
| 4.36~417.35 | 0.14~0.94 | 1.34~256.78 | 1.06~6.25 | 0.08~0.49 | ||||
| X4 | 7.16 | 0.11 | 89.68 | 0.47 | 122.65 | 2.16 | 0.45 | |
| 9.03~874.24 | 0.079~0.93 | 2.07~173.16 | 1~3.05 | 0.04~0.57 | ||||
| X5 | 12.4 | 0.212 | 129.56 | 0.51 | 184.10 | 1.52 | 0.21 | |
| 6.27~958.28 | 0.079~0.95 | 2.84~294.5 | 1.01~3.78 | 0.05~0.43 | ||||
| X6 | 10.43 | 0.199 | 125.88 | 0.51 | 181.95 | 2.05 | 0.36 | |
| 8.34~946.83 | 0.07~0.93 | 1.8~276.9 | 1.05~4.92 | 0.10~0.38 | ||||
| II | X7 | 5.65 | 0.075 | 137.32 | 0.40 | 91.90 | 2.415 | 0.55 |
| 9.38~1176.45 | 0.097~0.86 | 1.28~109.56 | 1.05~2.10 | 0.36~0.88 | ||||
| X8 | 6.68 | 0.06 | 130.8 | 0.36 | 81.90 | 2.29 | 0.63 | |
| 10.69~1208.68 | 0.052~0.88 | 1.21~112.31 | 1.09~4.13 | 0.26~0.84 | ||||
| X9 | 7.5 | 0.085 | 112.08 | 0.47 | 102 | 1.52 | 0.57 | |
| 14.83~1157.15 | 0.026~0.91 | 0.98~168.51 | 1.09~3.6 | 0.33~0.74 | ||||
| X10 | 9.55 | 0.068 | 125.64 | 0.39 | 142.65 | 1.89 | 0.42 | |
| 12.34~1298.58 | 0.092~0.89 | 0.93~143.5 | 1.09~2.65 | 0.36~0.69 | ||||
| X11 | 9.99 | 0.057 | 434.96 | 0.37 | 102.2 | 1.92 | 0.48 | |
| 9.34~1498 | 0.067~0.83 | 1.02~150.6 | 1.01~3.49 | 0.37~0.73 | ||||
| III | X12 | 7.4 | 0.053 | 497.92 | 0.34 | 105.6 | 2.37 | 0.73 |
| 8.04~1343.24 | 0.058~0.87 | 1.05~129.61 | 1.03~5.54 | 0.36~0.95 | ||||
| X13 | 6.52 | 0.059 | 399.76 | 0.35 | 68.90 | 2.78 | 0.67 | |
| 5.34~1576.17 | 0.064~0.82 | 0.89.48~89.9 | 1.05~4.17 | 0.27~0.96 | ||||
| X14 | 2.41 | 0.008 | 398.24 | 0.32 | 80.35 | 2.55 | 0.68 | |
| 6.31~1035.56 | 0.047~0.82 | 0.95~96.96 | 1.01~5.86 | 0.29~0.95 | ||||
| X15 | 7.04 | 0.017 | 474.24 | 0.33 | 77.55 | 2.35 | 0.71 | |
| 7.56~1498.47 | 0.06~0.79 | 0.45~92.82 | 1.09~4.6 | 0.32~0.93 | ||||
| X16 | 3.09 | 0.022 | 289.68 | 0.34 | 62.10 | 2.21 | 0.70 | |
| 5.83~1312.49 | 0.098~0.72 | 0.34~88.73 | 1.14~5.23 | 0.27~0.82 |
Disclaimer/Publisher’s Note: The statements, opinions and data contained in all publications are solely those of the individual author(s) and contributor(s) and not of MDPI and/or the editor(s). MDPI and/or the editor(s) disclaim responsibility for any injury to people or property resulting from any ideas, methods, instructions or products referred to in the content. |
© 2025 by the authors. Licensee MDPI, Basel, Switzerland. This article is an open access article distributed under the terms and conditions of the Creative Commons Attribution (CC BY) license (https://creativecommons.org/licenses/by/4.0/).
Share and Cite
Song, X.; Feng, C.; Li, T.; Zhang, Q.; Zhou, J.; Sun, M. Pore Structure Quantitative Characterization of Tight Sandstones Based on Deep Learning and Fractal Analysis. Fractal Fract. 2025, 9, 372. https://doi.org/10.3390/fractalfract9060372
Song X, Feng C, Li T, Zhang Q, Zhou J, Sun M. Pore Structure Quantitative Characterization of Tight Sandstones Based on Deep Learning and Fractal Analysis. Fractal and Fractional. 2025; 9(6):372. https://doi.org/10.3390/fractalfract9060372
Chicago/Turabian StyleSong, Xinglei, Congjun Feng, Teng Li, Qin Zhang, Jiaqi Zhou, and Mengsi Sun. 2025. "Pore Structure Quantitative Characterization of Tight Sandstones Based on Deep Learning and Fractal Analysis" Fractal and Fractional 9, no. 6: 372. https://doi.org/10.3390/fractalfract9060372
APA StyleSong, X., Feng, C., Li, T., Zhang, Q., Zhou, J., & Sun, M. (2025). Pore Structure Quantitative Characterization of Tight Sandstones Based on Deep Learning and Fractal Analysis. Fractal and Fractional, 9(6), 372. https://doi.org/10.3390/fractalfract9060372

