New Results on Majorized Discrete Jensen–Mercer Inequality for Raina Fractional Operators
Abstract
1. Introduction
- 1.
- ;
- 2.
- ;
- 3.
- ;
- 4.
- ;
- 5.
- Γ is convex on
2. Preliminaries
3. Main Results
- 1.
- If we choose , and , then we have the inequality of Theorem 2 ( fractional integral type), and also, if we take , we obtain the classical inequality of Remark 1 in [55].
- 2.
- 3.
- If we take and , , then we obtain the well-known inequality for integral operators (Theorem 2.1) in [31].
- 4.
- If we choose and , and we have another important result obtained (namely Theorem 2.1) by Kian and Moslehian in [25].
- 5.
- If we choose and , and also, then we obtain the well-known inequality.
- 1.
- If we choose , and , then we have the inequality of Theorem 3 ( fractional integral type) in [55].
- 2.
- 3.
- If we take and , , then we obtain another form of inequality for integral operators (Teorem 2.3) in [31].
- 4.
- If we choose and , then we have another important result obtained by Kian and Moslehian in [25].
- 5.
- If we choose and , and also, then we obtain the well-known inequality.
4. Integral Identities Associated with the Main Results
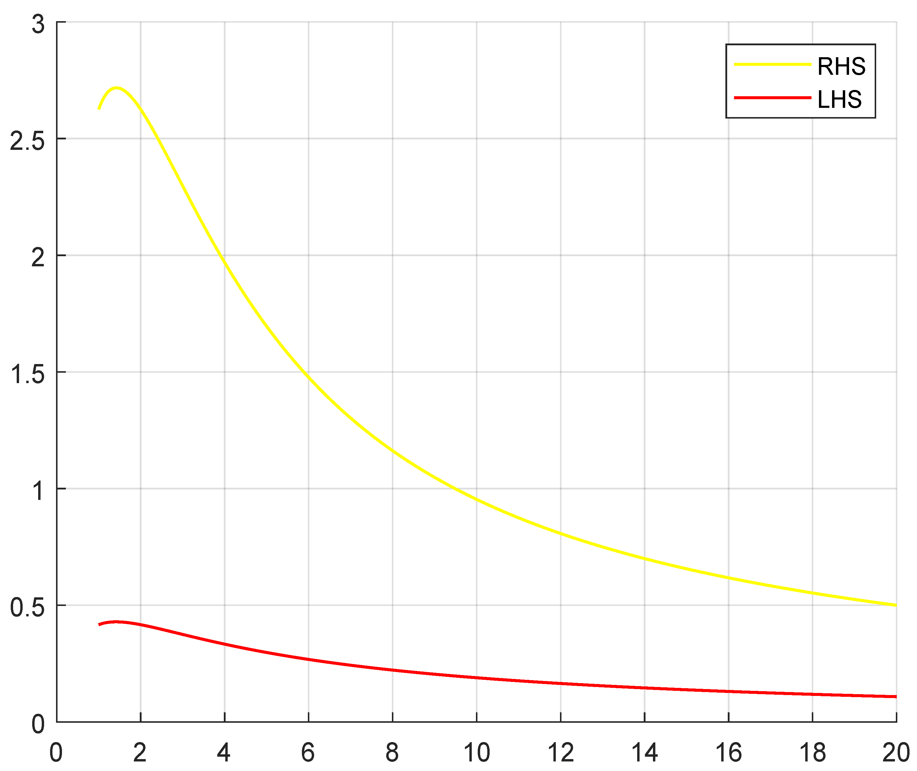
5. Examples and Illustrations
6. Conclusions
Author Contributions
Funding
Data Availability Statement
Conflicts of Interest
References
- Tseng, K.L.; Hwang, S.R.; Dragomir, S.S. Fejér-type inequalities (II). Math. Slovaca 2017, 67, 109–120. [Google Scholar] [CrossRef]
- Alomari, M.; Darus, M.; Dragomir, S.S.; Cerone, P. Ostrowski type inequalities for functions whose derivatives are s-convex in the second sense. App. Math. Lett. 2010, 23, 1071–1076. [Google Scholar] [CrossRef]
- Bai, R.F.; Qi, F.; Xi, B.Y. Hermite-Hadamard type inequalities for the m-and (α, m)-logarithmically convex functions. Filomat 2013, 27, 1–7. [Google Scholar] [CrossRef]
- Butt, S.I.; Nadeem, M.; Tariq, M.; Aslam, A. New integral type inequalities via Raina-convex functions and its applications. Com. Fac. Sci. Uni. Ankara Ser. A1 Math. Stat. 2021, 70, 1011–1035. [Google Scholar] [CrossRef]
- Butt, S.I.; Umar, M.; Khan, D.; Seol, Y.; Tipurić-Spužević, S. Hermite-Hadamard-Type Inequalities for Harmonically Convex Functions via Proportional Caputo-Hybrid Operators with Applications. Fractal Fract. 2025, 9, 77. [Google Scholar] [CrossRef]
- Sarikaya, M.Z.; Set, E.; Yaldiz, H.; Başak, N. Hermite-Hadamard’s inequalities for fractional integrals and related fractional inequalities. Math. Comp. Model. 2013, 57, 2403–2407. [Google Scholar] [CrossRef]
- Özdemir, M.E.; Kavurmaci, H.; Akdemir, A.O.; Avci, M. Inequalities for convex and s-convex functions on Δ = [a, b] × [c, d]. J. Ineq. App. 2012, 20, 1–19. [Google Scholar] [CrossRef]
- Özdemir, M.E.; Yıldız, Ç.; Akdemir, A.O.; Set, E. On some inequalities for s-convex functions and applications. J. Ineq. App. 2013, 111, 333. [Google Scholar] [CrossRef]
- Yıldız, Ç.; Rahman, G.; Cotîrlă, L.-I. On Further Inequalities for Convex Functions via Generalized Weighted-Type Fractional Operators. Fractal Fract. 2023, 7, 513. [Google Scholar] [CrossRef]
- İşcan, İ. Hermite-Hadamard type inequalities for harmonically convex functions. Hacet. J. Math. Stat. 2014, 43, 935–942. [Google Scholar] [CrossRef]
- Dragomir, S.S.; Agarwal, R. Two inequalities for differentiable mappings and applications to special means of real numbers and to trapezoidal formula. App. Math. Lett. 1998, 11, 91–95. [Google Scholar] [CrossRef]
- Pearce, C.E.; Pečarić, J. Inequalities for differentiable mappings with application to special means and quadrature formulae. App. Math. Lett. 2000, 13, 51–55. [Google Scholar] [CrossRef]
- Sarikaya, M.Z.; Saglam, A.; Yıldırım, H. New inequalities of Hermite-Hadamard type for functions whose second derivatives absolute values are convex and quasi-convex. Inter. J. Open Probl. Com. Sci. Math. 2012, 5, 3. [Google Scholar] [CrossRef]
- Sarikaya, M.Z.; Kiris, M.E. Some new inequalities of Hermite-Hadamard type for s-convex functions. Miskolc Math. Notes 2015, 16, 491–501. [Google Scholar] [CrossRef]
- Yildiz, Ç.; Özdemir, M.E. On generalized inequalities of Hermite-Hadamard type for convex functions. Inter. J. Anal. Appl. 2017, 14, 52–63. [Google Scholar]
- Kadakal, M.; İşcan, İ.; Agarwal, P.; Jleli, M. Exponential trigonometric convex functions and Hermite-Hadamard type inequalities. Math. Slovaca 2021, 71, 43–56. [Google Scholar] [CrossRef]
- Khan, M.A.; Chu, Y.; Khan, T.U.; Khan, J. Some new inequalities of Hermite-Hadamard type for s-convex functions with applications. Open Math. 2017, 15, 1414–1430. [Google Scholar] [CrossRef]
- Khan, M.B.; Macías-Díaz, J.E.; Treanţă, S.; Soliman, M.S.; Zaini, H.G. Hermite-Hadamard Inequalities in Fractional Calculus for Left and Right Harmonically Convex Functions via Interval-Valued Settings. Fractal Fract. 2022, 6, 178. [Google Scholar] [CrossRef]
- Mohammed, P.O.; Brevik, I. A New Version of the Hermite-Hadamard Inequality for Riemann-Liouville Fractional Integrals. Symmetry 2020, 12, 610. [Google Scholar] [CrossRef]
- Peng, Y.; Özcan, S.; Du, T. Symmetrical Hermite-Hadamard type inequalities stemming from multiplicative fractional integrals. Chaos Solitons Fractals 2024, 183, 114960. [Google Scholar] [CrossRef]
- Mohammed, P.O.; Abdeljawad, T.; Zeng, S.; Kashuri, A. Fractional Hermite-Hadamard Integral Inequalities for a New Class of Convex Functions. Symmetry 2020, 12, 1485. [Google Scholar] [CrossRef]
- Moradi, H.R.; Omidvar, M.E.; Adil, K.M.; Nikodem, K. Around Jensen’s inequality for strongly convex functions. Aequationes Math. 2018, 92, 25–37. [Google Scholar] [CrossRef]
- Khan, S.; Khan, M.A.; Chu, Y.M. New converses of Jensen inequality via Green functions with applications. Rev. Real Academia Cienc. Exactas Fis. Nat. Ser. A Mat. 2020, 114, 114. [Google Scholar] [CrossRef]
- Mercer, A.M. A variant of Jensen’s inequality. J. Inequal. Pure Appl. Math. 2003, 4, 73. [Google Scholar]
- Kian, M.; Moslehian, M.S. Refinements of the operator Jensen-Mercer inequality. Electron. J. Linear Algebra 2013, 26, 742–753. [Google Scholar] [CrossRef]
- Khan, M.A.; Pecaric, J. New refinements of the Jensen-Mercer inequality associated to positive n-tuples. Armen. J. Math. 2020, 12, 1–12. [Google Scholar] [CrossRef]
- Moradi, H.R.; Furuichi, S. Improvement and generalization of some Jensen-Mercer-type inequalities. J. Math. Inequal. 2020, 14, 377–383. [Google Scholar] [CrossRef]
- Ali, M.A.; Sitthiwirattham, T.; Köbis, E.; Hanif, A. Hermite-Hadamard-Mercer Inequalities Associated with Twice-Differentiable Functions with Applications. Axioms 2024, 13, 114. [Google Scholar] [CrossRef]
- Abbasi, M.; Morassaei, A.; Mirzapour, F. Jensen-Mercer Type Inequalities for Operator h-Convex Functions. Bull. The Iranian Math. Soc. 2022, 48, 2441–2462. [Google Scholar] [CrossRef]
- Dragomir, S.S.; Agarwal, R.P.; Barnett, N.S. Inequalities for beta and gamma functions via some classical and new integral inequalities. RGMIA Res. Rep. Collect. 1999, 2, 3. [Google Scholar] [CrossRef]
- Öğulmüş, H.; Sarıkaya, M.Z. Hermite-Hadamard-Mercer type inequalities for fractional integrals. Filomat 2021, 35, 2425–2436. [Google Scholar] [CrossRef]
- Ali, M.A.; Hussain, T.; Iqbal, M.Z.; Ejaz, F. Inequalities of Hermite-Hadamard-Mercer type for convex functions via k-fracttional integrals. Inter. J. Math. Mod. Comp. 2020, 10, 227–238. [Google Scholar]
- Vivas-Cortez, M.; Awan, M.U.; Javed, M.Z.; Kashuri, A.; Noor, M.A.; Noor, K.I.; Vlora, A. Some new generalized k-fractional Hermite-Hadamard-Mercer type integral inequalities and their applications. AIMS Math. 2022, 7, 3203–3220. [Google Scholar] [CrossRef]
- Sahoo, S.K.; Hamed, Y.S.; Mohammed, P.O.; Kodamasingh, B.; Nonlaopon, K. New midpoint type Hermite-Hadamard-Mercer inequalities pertaining to Caputo-Fabrizio fractional operators. Alex. Eng. J. 2023, 65, 689–698. [Google Scholar] [CrossRef]
- Çiftci, Z.; Coşkun, M.; Yildiz, Ç.; Cotîrlă, L.-I.; Breaz, D. On New Generalized Hermite-Hadamard-Mercer-Type Inequalities for Raina Functions. Fractal Fract. 2024, 8, 472. [Google Scholar] [CrossRef]
- Liu, J.B.; Butt, S.I.; Nasir, J.; Aslam, A.; Fahad, A.; Soontharanon, J. Jensen-Mercer variant of Hermite-Hadamard type inequalities via Atangana-Baleanu fractional operator. AIMS Math. 2022, 7, 2123–2141. [Google Scholar] [CrossRef]
- Butt, S.I.; Nasir, J.; Qaisar, S.; Abualnaja, K.M. k-Fractional variants of Hermite-Mercer-type inequalities via s-convexity with applications. J. Func. Spac. 2021, 1–5. [Google Scholar] [CrossRef]
- Sitthiwirattham, T.; Vivas-Cortez, M.; Ali, M.A.; Budak, H.; Avcı, I. A study of fractional Hermite-Hadamard-Mercer inequalities for differentiable functions. Fractals 2024, 32, 2440016. [Google Scholar] [CrossRef]
- Vivas-Cortez, M.; Javed, M.Z.; Awan, M.U.; Noor, M.A.; Dragomir, S.S. Bullen-Mercer type inequalities with applications in numerical analysis. Alex. Engin. J. 2024, 96, 15–33. [Google Scholar] [CrossRef]
- Raina, R.K. On generalized Wright’s hypergeometric functions and fractional calculus operators. East Asian Math. J. 2005, 21, 191–203. [Google Scholar]
- Agarwal, R.P.; Luo, M.J.; Raina, R.K. On Ostrowski Type Inequalities. Fasc. Math. 2016, 56, 5–27. [Google Scholar] [CrossRef]
- Set, E.; Çelik, B.; Özdemir, M.E.; Aslan, M. Some New Results on Hermite-Hadamard-Mercer-Type Inequalities Using a General Family of Fractional Integral Operators. Fractal Fract. 2021, 5, 68. [Google Scholar] [CrossRef]
- Budak, H.; Usta, F.; Sarikaya, M.Z.; Özdemir, M.E. On generalization of midpoint type inequalities with generalized fractional integral operators. Rev. Real Acad. Cienc. Exactas Fisicas Nat. Ser. Mat. 2019, 113, 769–790. [Google Scholar] [CrossRef]
- Coşkun, M.; Yildiz, Ç.; Cotîrlă, L.-I. Novel Estimations of Hadamard-Type Integral Inequalities for Raina’s Fractional Operators. Fractal Fract. 2024, 8, 302. [Google Scholar] [CrossRef]
- Srivastava, H.M. A Survey of Some Recent Developments on Higher Transcendental Functions of Analytic Number Theory and Applied Mathematics. Symmetry 2021, 13, 2294. [Google Scholar] [CrossRef]
- Yaldiz, H.; Sarikaya, M.Z. On the Hermite-Hadamard type inequalities for fractional integral operator. Kragujevac J. Math. 2020, 44, 369–378. [Google Scholar] [CrossRef]
- Wang, B.-Y. Foundations of Majorization Inequalities; Beijing Normal University Press: Beijing, China, 1990. [Google Scholar]
- Marshall, A.W.; Olkin, I.; Arnold, B.C. Inequalities: Theory of Majorization and Its Applications, 2nd ed.; Springer Series in Statistics; Springer: London, UK, 2009. [Google Scholar]
- Khan, M.A.; Latif, N.; Pečarić, P. Generalization of majorization theorem. Nonlinear Func. Anal. App. 2015, 20, 301–327. [Google Scholar] [CrossRef]
- Wu, S.; Khan, M.A.; Haleemzai, H.U. Refinements of Majorization Inequality Involving Convex Functions via Taylor’s Theorem with Mean Value form of the Remainder. Mathematics 2019, 7, 663. [Google Scholar] [CrossRef]
- Saeed, T.; Khan, M.A.; Ullah, H. Refinements of Jensen’s inequality and applications. Aims Math. 2022, 7, 5328–5346. [Google Scholar] [CrossRef]
- Butt, S.I.; Javed, I.; Agarwal, P.; Nieto, J.J. Newton-Simpson-type inequalities via majorization. J. Ineq. Appl. 2023, 2023, 16. [Google Scholar] [CrossRef]
- Faisal, S.; Khan, M.A.; Iqbal, S. Generalized Hermite-Hadamard-Mercer type inequalities via majorization. Filomat 2022, 36, 469–483. [Google Scholar] [CrossRef]
- Ding, X.; Zuo, X.; Butt, S.I.; Farooq, R.; Tipurić-Spužević, S. New majorized fractional Simpson estimates. Axioms 2023, 12, 965. [Google Scholar] [CrossRef]
- Faisal, S.; Adil Khan, M.; Khan, T.U.; Saeed, T.; Alshehri, A.M.; Nwaeze, E.R. New “Conticrete” Hermite-Hadamard-Jensen-Mercer Fractional Inequalities. Symmetry 2022, 14, 294. [Google Scholar] [CrossRef]
- Faisal, S.; Khan, M.A.; Khan, T.U.; Saeed, T.; Mohammad Mahdi Sayed, Z.M. Unifications of continuous and discrete fractional inequalities of the Hermite-Hadamard-Jensen-Mercer type via majorization. J. Func. Spaces 2022, 1, 6964087. [Google Scholar] [CrossRef]
- Khan, M.A.; Faisal, S. Derivation of conticrete Hermite-Hadamard-Jensen-Mercer inequalities through k-Caputo fractional derivatives and majorization. Filomat 2024, 38, 3389–3413. [Google Scholar] [CrossRef]
- Saeed, T.; Khan, M.A.; Faisal, S.; Alsulami, H.H.; Alhodaly, M.S. New conticrete inequalities of the Hermite-Hadamard-Jensen-Mercer type in terms of generalized conformable fractional operators via majorization. Demonstr. Math. 2023, 56, 20220225. [Google Scholar] [CrossRef]
- Wu, S.; Khan, M.A.; Faisal, S.; Saeed, T.; Nwaeze, E.R. Derivation of Hermite-Hadamard-Jensen-Mercer conticrete inequalities for Atangana-Baleanu fractional integrals by means of majorization. Demonstr. Math. 2024, 57, 20240024. [Google Scholar] [CrossRef]
- Niezgoda, M. A generalization of Mercer’s result on convex functions. Nonlinear Anal. 2009, 71, 2771–2779. [Google Scholar] [CrossRef]
- Set, E.; Dragomir, S.S.; Gözpınar, A. Some generalized Hermite-Hadamard type inequalities involving fractional integral operator for functions whose second derivatives in absolute value are s-convex. Acta Math. Univ. Comen. 2019, 88, 87–100. [Google Scholar]


Disclaimer/Publisher’s Note: The statements, opinions and data contained in all publications are solely those of the individual author(s) and contributor(s) and not of MDPI and/or the editor(s). MDPI and/or the editor(s) disclaim responsibility for any injury to people or property resulting from any ideas, methods, instructions or products referred to in the content. |
© 2025 by the authors. Licensee MDPI, Basel, Switzerland. This article is an open access article distributed under the terms and conditions of the Creative Commons Attribution (CC BY) license (https://creativecommons.org/licenses/by/4.0/).
Share and Cite
Yildiz, Ç.; İşleyen, T.; Cotîrlă, L.-I. New Results on Majorized Discrete Jensen–Mercer Inequality for Raina Fractional Operators. Fractal Fract. 2025, 9, 343. https://doi.org/10.3390/fractalfract9060343
Yildiz Ç, İşleyen T, Cotîrlă L-I. New Results on Majorized Discrete Jensen–Mercer Inequality for Raina Fractional Operators. Fractal and Fractional. 2025; 9(6):343. https://doi.org/10.3390/fractalfract9060343
Chicago/Turabian StyleYildiz, Çetin, Tevfik İşleyen, and Luminiţa-Ioana Cotîrlă. 2025. "New Results on Majorized Discrete Jensen–Mercer Inequality for Raina Fractional Operators" Fractal and Fractional 9, no. 6: 343. https://doi.org/10.3390/fractalfract9060343
APA StyleYildiz, Ç., İşleyen, T., & Cotîrlă, L.-I. (2025). New Results on Majorized Discrete Jensen–Mercer Inequality for Raina Fractional Operators. Fractal and Fractional, 9(6), 343. https://doi.org/10.3390/fractalfract9060343

