Next Article in Journal
Sedimentary Paleo-Environment and Reservoir Heterogeneity of Shale Revealed by Fractal Analysis in the Inter-Platform Basin: A Case Study of Permian Shale from Outcrop of Nanpanjiang Basin
Previous Article in Journal
State-Dependent Variable Fractional-Order Hyperchaotic Dynamics in a Coupled Quadratic Map: A Novel System for High-Performance Image Protection
Previous Article in Special Issue
The Thermoelastic Component of the Photoacoustic Response in a 3D-Printed Polyamide Coated with Pigment Dye: A Two-Layer Model Incorporating Fractional Heat Conduction Theories
 
 
Font Type:
Arial Georgia Verdana
Font Size:
Aa Aa Aa
Line Spacing:
Column Width:
Background:
Article

Memory-Dependent Derivative Versus Fractional Derivative (IV): Space-Dependent Derivative for Unsteady Heat Diffusion

College of Science, Qingdao University of Technology, Qingdao 266520, China
*
Author to whom correspondence should be addressed.
Fractal Fract. 2025, 9(12), 794; https://doi.org/10.3390/fractalfract9120794
Submission received: 28 October 2025 / Revised: 20 November 2025 / Accepted: 27 November 2025 / Published: 3 December 2025

Abstract

In recent decades, the fractional derivative (FD) and memory-dependent derivative (MDD) have been borrowed for modifying the unsteady diffusion process. Yet, according to their definitions, only memory effects in temporal sense are reflected. To make spatial modifications, that is, a new version of MDD, the space-dependent derivative (SDD) is developed here. With the help of it, the heat diffusion process is remodeled in a more objective manner. The comparisons among the conventional model, spatial FD model, and SDD model show that the last one has the most expressive force, and it can be borrowed for considering other unsteady diffusion problems.

1. Introduction

The diffusion process is a universal phenomenon in nature. How to reflect its time–space evolution in a distinct way is still a challenge to the modelers, though the fundamental principles (the Fourier law for heat diffusion and the Fick law for substance diffusion) are clear. The conventional diffusion models are based on the case that the local gradient of temperature or substance density maintains an almost steady rate. For the unsteady case, it is inaccurate to connect the instantaneous flux change with the local gradient. One modification strategy is to take the temporal mean on the instantaneous change rate, and another is to take the spatial mean on the local gradient, such as in [1,2,3,4,5,6], in which many kinds of fractional derivatives (FDs) or memory-dependent derivatives (MDDs) are adopted. Yet, as analyzed in [7,8], both FD and MDD are valid for reflecting the historical dependence, that is, the memory effect about the past state. To describe spatial changes with them is not convincing; after all, the spatial locations have no precedent relationship. It is unreasonable that the dependence is only about the left with no relation with the right.
Originally, the MDD was defined as an weighted mean of the conventional integer-order derivative on a slipping interval. Let m be a positive integer, then it reads as follows [6,7,8].
Definition 1.
If the conventional derivative f ( m ) ( t ) exists, then
D t , τ m f ( t ) = 1 τ t τ t K ( t s ) f ( m ) ( s ) d s
is called the m-order memory-dependent derivative (MDD) of  f ( t ) , relative to the dependent-time τ and weighted function  K ( t s )  which is differentiable with respect to t and s.
We note that the smooth request on K ( t s ) is relaxed here. In fact, the m-times differentiable request for m 2 is not necessary for deducing the consistency relation (Corollary 2.1 in [7]). This definition can be seen as an innovation on the known Caputo type of FD.
Definition 2.
If the conventional derivative f ( m ) ( t ) exists, then for m 1 < α m ,
D t α t 0 c f ( t ) = 1 Γ ( m α ) t 0 t K α ( t s ) f ( m ) ( s ) d s
is called the α-order Caputo type of fractional derivative (FD) of  f ( t ) , where  t 0  is a reference point,
Γ ( m α ) = 0 x m α 1 e x d x , K α ( t s ) = 1 ( t s ) α + 1 m .
In this innovation, the essence of Fractional Calculus is grasped. Though the MDD is simply defined in an integer-order form, the key functional of FD (reflecting the memory effect) is maintained. As indicated in [6,7,8], relative to the FD, the physical meaning of MDD is more explicit. The time-delay τ and kernel function K ( t s ) reflect the dependent-duration and dependent-weight, respectively. In addition to this, the behavior of MDD in temporal modeling is much better.
What should be stressed is that the moment shifts have a precedent relationship, and it is possible for the situation that the present instantaneous change rate depends on the past state. Hence, objectively speaking, the so-called “memory effect” is just a word for temporal variations. We are reluctant to assign this effect to spatial variations since different locations have no precedent relationship. Specifically, to substitute the temporal variable t by the spatial variable x in Definition 2, the Caputo type of FD reads as follows:
D x α x 0 c f ( x ) = x 0 x K α ( x ξ ) Γ ( 1 α ) f ( ξ ) d ξ
for the case 0 < α 1 . According to this, the redefined change rate should be understood as a weighted mean of all the instantaneous change rates on [ x 0 , x ] . Yet, objectively speaking, the spatial change does not necessarily propagate from left to right. In addition, in case x is far away from the reference location x 0 , the spatial change at x should have no relation with x 0 . Hence, all the redefined derivatives for temporal change cannot be directly borrowed for spatial change (including the Riemann–Liouville and Riesz types of FD). How to generalize the spatial derivative is still an open problem. The next section is our attempt at a solution.

2. Definition of Space-Dependent Derivative

With respect to a 1-dimensional function f ( x ) which varies along with the spatial variable x, in the situation that the spatial change has sharp fluctuations, the local change rate f ( x ) at x = x 0 loses its representativeness. For this case, the slow-varying total increment in the neighborhood of x = x 0 cannot be effectively reflected by it. In view of this, we make an innovation and use some kind of weighted mean of f ( x ) on this neighborhood to reflect the total increment. This results in the new derivative below.
Definition 3.
If the conventional integer-order derivative f ( m ) ( x ) exists with m 0 , then
D x , r m f ( x ) = 1 R x r x + r K ( ξ x ) f ( m ) ( ξ ) d ξ
(with R = r r K ( ξ ) d ξ ) is called the m-order space-dependent derivative (SDD) of  f ( x ) , relative to the dependent-radius r and weighted function K ( ξ x ) , which is differentiable with respect to ξ and x except on the special point ξ = x .
Relative to the original definition of MDD in [7], this one has an advantage in maintaining its magnitude to the maximum extent, that is, for the particular case with f ( m ) ( ξ ) C on ( x r , x + r ) ,
D x , r m f ( x ) = 1 R x r x + r K ( ξ x ) C d ξ = 1 R r r K ( η ) d η · C = C .
We note that, for the 2- and 3-dimensional cases, the corresponding neighborhoods can be chosen as square and cube, or as circle and ball, respectively. For the simplicity of calculation, the case with a square and cube are recommended.
To be a feasible definition, three fundamental conditions should be checked. Firstly, in case K ( ξ x ) 1 , we have
D x , r m f ( x ) = 1 R x r x + r f ( m ) ( ξ ) d ξ = f ( m 1 ) ( x + r ) f ( m 1 ) ( x r ) 2 r f ( m ) ( x )
as r 0 for m 1 . This indicates that the defined SDD accords with the conventional derivative. For arbitrary m-times differentiable functions f ( x ) and g ( x ) and real numbers a and b, it is easily checked that
D x , r m [ a f ( x ) + b g ( x ) ] = a D x , r m f ( x ) + b D x , r m g ( x ) .
So the linear property is also maintained for the defined SDD.
Theorem 1.
The higher and lower orders of SDD have the consistency relation below ( m 1 , D = d / d x ):
D x , r m f ( x ) = D D m D x , r 0 f ( x ) .
Proof. 
It follows from Definition 3 that
D D x , r 0 f ( x ) = 1 R d d x x r x + r K ( ξ x ) f ( ξ ) d ξ = 1 R x r x K x f ( ξ ) d ξ + x x + r K x f ( ξ ) d ξ + K ( ξ x ) f ( ξ ) | x r x + r = 1 R x r x K ξ f ( ξ ) d ξ x x + r K ξ f ( ξ ) d ξ + K ( ξ x ) f ( ξ ) | x r x + r = 1 R x r x + r K ( ξ x ) f ( ξ ) d ξ = D x , r 1 f ( x ) .
If the relation holds for index k, to repeat the above deduction process, we know that the relation also holds for index k + 1 . The mathematical induction method ensures the satisfaction of this relation for all arbitrary m ( 1 ) . □
The three relations in (2)–(4) have fulfilled all the fundamental requests on a new derivative. So the definition of SDD is reasonable.
For the sake of applications, the particular case with K ( ξ x ) 1 is too simple to be considered. Beyond this obvious case, we usually add three additional requests on the weight:
K ( ξ x ) | ξ = x r = 0 , K ( ξ x ) | ξ = x = 1 , K ( ξ x ) | ξ = x + r = 0 .
Here, the first and the third requests are very natural. They accord with the boundaries of the neighborhood around ξ = x where the spatial dependence takes effect. The second request accords with the fundamental hypothesis for the existing differential models, that the derivative at the midpoint dominates the change. To assign 1 to the point ξ = x is just for simplicity. In addition, the case r = is also permitted. For this case, the first and the third requests become K ( ξ x ) | ξ x ± = 0 .
Different dynamic processes accord with different dependent radii and weighted functions. For the sake of applications, the following form of the latter can be chosen as
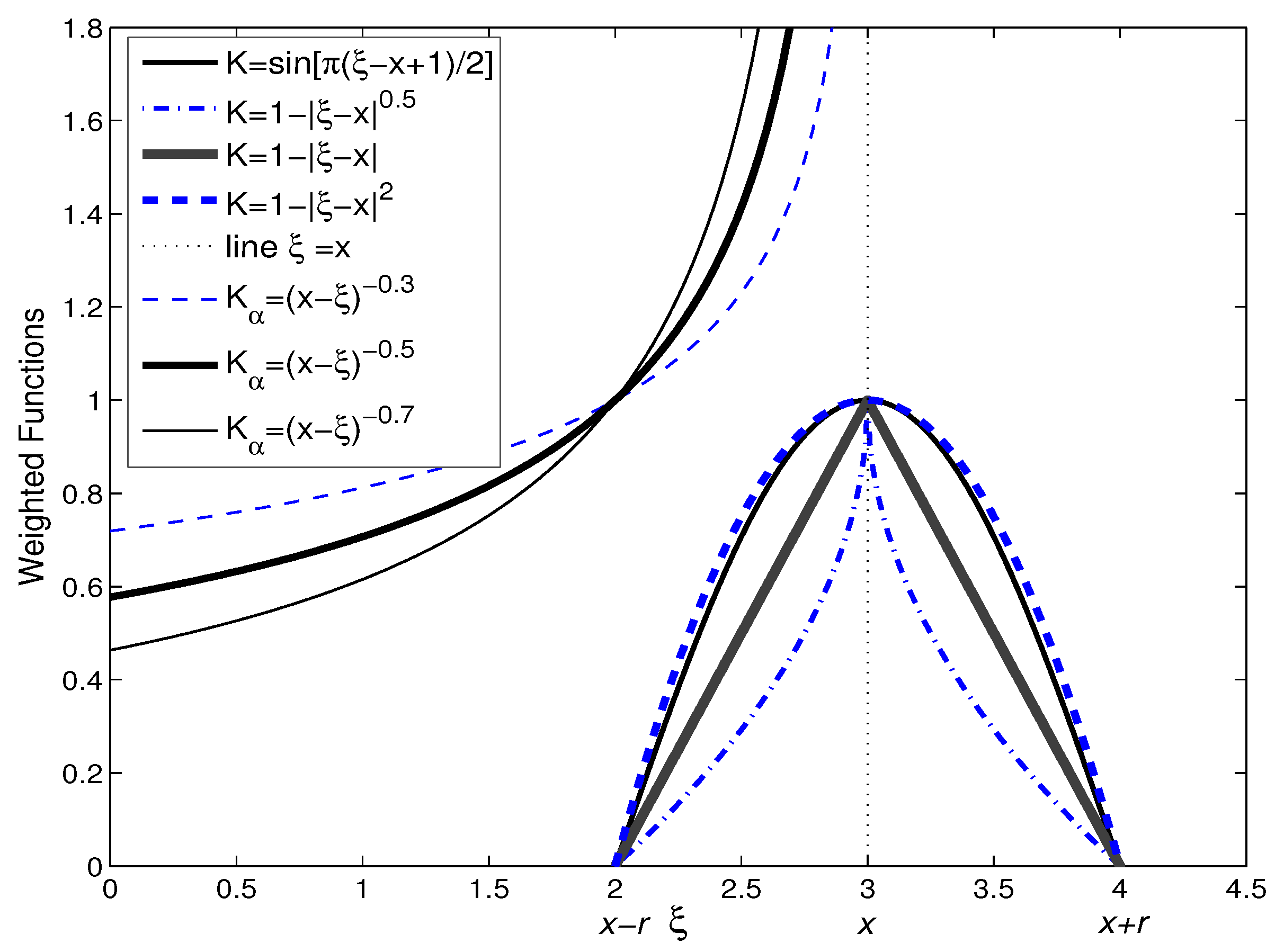
K ( ξ x ) = 1 ξ x r β
with β > 0 . In case β > 1 it is a symmetric upper-ward convex function. Yet in case 0 < β < 1 , it becomes a downward one (see Figure 1). Relative to the singular weight K α ( x ξ ) = 1 / ( x ξ ) α + 1 m (with m 1 < α m ) for spatial FD, the one in non-singular form here is more reasonable. Just as stated in [7,8], though the FD is defined on an interval, it mainly reflects the local change at ξ = x (where the infinite weight is assigned). In this sense, the ability of FD is very weak for reflecting the spatial dependence.
In addition, when the weighted function is chosen as in (6), the factor R is in an explicit form:
R = r r 1 η r β d η = 2 r β β + 1 ,
which increases along with the increasing of β .
In case the spatial domain ( a , b ) is finite with b a > 2 r , then the SDD given in Definition 3 is only valid on [ a + r , b r ] . It is required to add the definitions on ( a , a + r ) and ( b r , b ) .
Definition 4.
If the conventional integer-order derivative f ( m ) ( x ) exists with m 0 , then
D x , r m f ( x ) = 1 R a a x + r K ( ξ x ) f ( m ) ( ξ ) d ξ , 0 < x a < r ,
D x , r m f ( x ) = 1 R b x r b K ( ξ x ) f ( m ) ( ξ ) d ξ , 0 < b x < r
(with R a = a x r K ( ξ ) d ξ and R b = r b x K ( ξ ) d ξ ) are separately called the m-order left and right boundary space-dependent derivatives of  f ( x ) , relative to the dependent radius r ( > 0 ) and weighted function K ( ξ x ) , which is integrable with respect to ξ and x.
For these two boundary SDDs, the linear property is maintained. But the accordant relation with the conventional derivative is not valid. They satisfy a new accordance. To take the left one as an example, in case K ( ξ x ) 1 , it means
D x , r 1 f ( x ) = 1 R a a x + r f ( ξ ) d ξ f ( x ) f ( a ) x a
as r 0 . This indicates that the defined left boundary SDD is actually a generalized relative slope with respect to the boundary point x = a .
In addition, for these two cases, the nice consistency relation between higher and lower orders is not valid, either. It does not matter. This is not a necessary request. The difference merely lies in a more complex calculation. To take the left boundary SDD as an example, the renewed relation is as follows:
D D x , r m 1 f ( x ) = d d x 1 R a a x + r K ( ξ x ) f ( m 1 ) ( ξ ) d ξ = D x , r m f ( x ) + K ( a x ) R a [ f ( m 1 ) ( a ) + D x , r m 1 f ( x ) ] .

3. Remodeling Heat Diffusion with SDD for Unsteady Case

To apply the SDD in dynamic processes, it implies the reconsidering of the basic diffusion laws, that is, the Fourier law for heat diffusion and the Fick law for substance diffusion. They were brought forth by Fourier in 1822 and by Fick in 1855, respectively. The latter is an imitation of the former, so what needs to be concerned is the former. For the modifications of this, there are many studies. Based on classifying these modifications, in [6] we remodeled the heat-conduction process by adopting temporal MDD, where the “heat-conduction paradox” is mainly concerned. Here we reconsider it from the spatial aspect.
The Fourier law reads
q = κ T = κ ( T x , T y , T z ) ,
where κ is the coefficient of thermal conductivity. It means the heat-flux vector q is proportional to the temperature gradient T . What should be stressed is that this experimental result is only valid for the steady case.
The FDs have been borrowed for modifying the unsteady case, such as in [9]:
q = κ α T = κ ( D x α T , D y α T , D z α T ) ,
where the FDs are in the Riemann–Liouville forms with 0 < α < 1 , such as
D x α T ( x , t ) = 1 Γ ( 1 α ) x x 0 x T ( ξ , t ) ( x ξ ) α d ξ = 1 Γ ( 1 α ) T ( x 0 , t ) ( x x 0 ) α + x 0 x 1 ( x ξ ) α T ξ ( ξ , t ) d ξ .
According to Definition 2, the integral part here happens to be the Caputo type of FD which can be seen as a weighted average of the conventional derivative T ξ on the interval [ x 0 , x ] . Here x 0 must be a fixed position for reference, which limits the expressive force of FD. On the one hand, the length of dependence interval [ x 0 , x ] increases as x moves far away from x 0 , and this situation is not in accordance with the fact (the diffusion process has no relation with the reference position). On the other hand, with respect to the concerned point x, this dependence is merely in a one-side form. The spatial dependence should differ from the memory dependence, and its natural form is two-side. These shortcomings can be avoided by adopting the Riesz type of FD with infinite integral [10,11]:
D x α T ( x , t ) = 1 R * x x T ( ξ , t ) ( x ξ ) α d ξ x T ( ξ , t ) ( ξ x ) α d ξ = 1 R * 1 | ξ x | α T ξ ( ξ , t ) d ξ
with 0 < α < 1 and R * = 2 cos ( α π / 2 ) Γ ( 1 α ) , on the condition that T ( ξ , t ) vanishes at ξ = ± . Yet, its descriptive power is still limited. In fact, in case ξ x we have 1 / | ξ x | α . This indicates that the spatial change rate T ξ at the location ξ = x is stressed with infinite weight. In another word, though the Riesz derivative is defined on ( , ) , it mainly reflects the local change.
With the above considerations, it is more reasonable for substituting the local gradient at ( x , y , z ) with a weighted mean of it on a neighborhood around this point:
q = κ T ¯ = κ ( D x , r T , D y , r T , D z , r T )
with
D x , r T = 1 R x r x + r K ( ξ x ) T ξ ( ξ , y , z , t ) d ξ , D y , r T = 1 R y r y + r K ( η y ) T η ( x , η , z , t ) d η , D z , r T = 1 R z r z + r K ( ζ z ) T ζ ( x , y , ζ , t ) d ζ .
For a motionless medium which possesses a scope Ω 0 (with boundary Ω 0 ), let Ω (with boundary Ω ) be an arbitrarily chosen smooth domain in it, which is far away from the medium boundary, that is, to ensure the distance between Ω and Ω 0 to be bigger than r. We perform remodeling as follows.
On the one hand, from the moment t 1 to the moment t 2 , the input heat quantity from the boundary Ω reads
Q i n = t 1 t 2 Ω q · n d S d t = t 1 t 2 Ω κ ( D x , r T , D y , r T , D z , r T ) · n d S d t = t 1 t 2 Ω κ ( D x D x , r T + D y D y , r T + D z D z , r T ) d x d y d z d t . = t 1 t 2 Ω κ ( D x , r 2 T + D y , r 2 T + D z , r 2 T ) d x d y d z d t ,
where κ is taken as a constant. D x , D y and D y are the conventional partial derivatives. Here the consistency relations in Theorem 1 are used.
On the other hand, the input heat raises the temperature. On the whole domain the cumulative heat quantity from t 1 to t 2 reads
Q a l l = Ω c ρ [ T ( x , y , z , t 2 ) T ( x , y , z , t 2 ) ] d x d y d z d t = Ω t 1 t 2 c ρ T t d t d x d y d z .
In view of the arbitrariness of t 1 , t 2 and Ω , from Q i n = Q a l l we obtain a new SDD model for heat conduction as shown below:
T t = a 2 ( D x , r 2 T + D y , r 2 T + D z , r 2 T )
with a 2 = κ / c ρ .
In addition, corresponding to the modification above, the spatial FD model is as follows:
T t = a 2 ( D x D x α T + D y D y α T + D y D z α T ) ,
where the FDs are in form of Riemann–Liouville type or Riesz type. In the recent years, this kind of spatial FD models have drawn much attention, such as in [4,5,11,12]. Further generalizations with spatial and temporal FDs were made in [13,14,15].
Now that the new SDD model is constructed, a natural thing is to assign an initial condition and compose an initial-value problem on unbounded domain. In case the domain is finite, an initial-boundary value problem can be also composed. However, at this time the left and right boundary SDDs should be also incorporated, and this leads difficulty to the solution. A feasible approach for this is to develop a numerical scheme which deviate from the core theme of the present paper. In view of this, here we only consider the initial-value problem, and the infinite one-dimensional case is mainly concerned.

4. New Features of the SDD Model Relative to the Others

In the following we compare the conventional model, SDD model and spatial FD model with respect to the 1-dimensional case:
T t = a 2 T x x ,
T t = a 2 D x , r 2 T ,
T t = a 2 D x D x α T ,
which are defined on ( , ) with a mutual initial condition T ( x , 0 ) = φ ( x ) . Here the spatial derivatives are defined as
D x , r 2 T = 1 R x r x + r K ( ξ x ) T ξ ξ ( ξ , t ) d ξ ,
D x D x α T = 1 R * x 1 | ξ x | α T ξ ( ξ , t ) d ξ
with R = r r K ( ξ ) d ξ and R * = 2 cos ( α π / 2 ) Γ ( 1 α ) for 0 < α < 1 .
The solution of the conventional model is known as the convolution form:
T ( x , t ) = φ ( x ) G 0 ( x , t ) = φ ( x ξ ) G 0 ( ξ , t ) d ξ ,
where the Poisson kernel function is
G 0 ( x , t ) = 1 2 a π t e x 2 4 a 2 t .

4.1. To Solve the SDD Model

To execute Fourier transform on SDD, it results in
F [ D x , r 2 T ( x , t ) ] = 1 R x r x + r K ( ξ x ) T ξ ξ ( ξ , t ) d ξ e i λ x d x = 1 R r r K ( η ) T η η ( η + x , t ) d η e i λ x d x = 1 R r r K ( η ) T x x ( η + x , t ) e i λ x d x d η = 1 R r r K ( η ) λ 2 e i λ η T ( ξ , t ) e i λ ξ d ξ d η = λ 2 R r r K ( η ) e i λ η d η · F [ T ( x , t ) ] ,
To denote
h ( λ ) = a 2 λ 2 R r r K ( η ) e i λ η d η = 2 a 2 λ 2 R 0 r K ( η ) cos ( λ η ) d η ,
and perform further deduction, we obtain the solution of the SDD model: T ( x , t ) = φ ( x ) G 1 ( x , t ) , in which the renewed kernel function is G 1 ( x , t ) = F 1 [ e h ( λ ) t ] . For example, to choose K ( η ) = 1 | η | / r we get h ( λ ) = 2 a 2 ( 1 cos r λ ) / r 2 and
G 1 ( x , t ) = 1 π 0 e 2 a 2 [ 1 cos ( r λ ) ] t / r 2 cos ( λ x ) d λ .
Though the convergence of it is not ensured, the convergence of φ ( x ) G 1 ( x , t ) is possible, such as the case with φ ( x ) = e p | x | ( p > 0 ).

4.2. To Solve the Spatial FD Model

To execute the Fourier transform on D x D x α T , it leads to
F [ D x D x α T ( x , t ) ] = 1 R * x 1 | ξ x | α T ξ ( ξ , t ) d ξ e i λ x d x = i λ R * T ξ ( ξ , t ) 1 | ξ x | α e i λ x d x d ξ = i λ R * T ξ ( ξ , t ) e i λ ξ d ξ · | η | α e i λ η d η = λ 2 R * F [ T ( x , t ) ] · F [ | x | α ] = λ 2 2 cos ( α π / 2 ) Γ ( 1 α ) Γ ( 1 α ) 2 sin ( α π / 2 ) | λ | 1 α F [ T ( x , t ) ] = | λ | 1 + α tan ( α π / 2 ) F [ T ( x , t ) ] ,
where the generalized Laplace transform L [ t α ] = 0 t α e s t d t = Γ ( 1 α ) / s 1 α (see [11]) is used. The solution of the spatial FD model is T ( x , t ) = φ ( x ) G 2 ( x , t ) with
G 2 ( x , t ) = 1 π 0 e a 2 λ 1 + α tan ( α π / 2 ) t cos ( λ x ) d λ .

4.3. Numerical Differences for the 3 Kernel Functions

Notice that the solutions to the three initial-value problems are in the same convolution form, and only the kernel functions need to be compared. It is meaningful for comparing them on a finite integral interval. We approximate part of them with discrete forms. Here the parameters are chosen as a 2 = 0.25 , d λ = 0.02 and λ [ 0 , 100 π ] .
It follows from Figure 2 that, for a fixed t, the values of G 1 ( x , t ) are bigger than those of G 0 ( x , t ) on all the spatial points. This indicates that the consideration of spatial dependence may lift the Poisson kernel function on the whole. In addition to this, along with the decreasing of dependent radius r, G 1 ( x , t ) tends to G 0 ( x , t ) and this accords with common sense. Hence, the newly constructed SDD model is a feasible generalization of the conventional one.
Figure 3 shows that, for fixed t the distribution of G 2 ( x , t ) is similar to G 0 ( x , t ) . In case α = 0.5 the value of G 2 ( x , t ) is bigger and smaller than those of G 0 ( x , t ) in a neighborhood of the center and its outside, respectively. Yet in case α = 0.7 , the situation is in reverse. For other values of α , similar things occur. In all, the adoption of spatial FD to the heat-conduction model only leads to local modifications to the Poisson kernel function.

5. Conclusions

In view of the fact that the spatial locations have no precedent relationship, we have developed a new concept of “space-dependent derivative (SDD)”. It is defined as a weighted mean of all the local change rates on a neighborhood of a point, and this derivative is more suitable for reflecting the unsteady diffusion process. With the aid of it, the heat-conduction model is reconstructed. The corresponding initial-value problem of linear SDD model has been solved with Fourier transform. Relative to the conventional model, the adoption of the spatial dependence lifts the Poisson kernel function on the whole. Comparatively, the spatial fractional-derivative model only leads to local modifications to it. In this respect, the SDD model has more expressive force and is recommended.

Author Contributions

Conceptualization, J.-L.W.; Methodology, J.-L.W.; Software, J.-L.W.; Validation, J.-L.W.; Formal analysis, J.-L.W.; Investigation, J.-L.W. and H.-F.L.; Resources, J.-L.W.; Data curation, J.-L.W.; Writing—original draft, J.-L.W.; Writing—review & editing, J.-L.W. All authors have read and agreed to the published version of the manuscript.

Funding

We thank the support from the Key Research and Development Program of Shandong Province (No. 2025TSGCCZZB0797).

Data Availability Statement

The original contributions presented in this study are included in the article. Further inquiries can be directed to the corresponding author.

Conflicts of Interest

The authors declare no conflicts of interest.

References

  1. Han, S.; Zheng, L.; Li, C.; Zhang, X. Coupled flow and heat transfer in viscoelastic fluid with Cattaneo-Christov heat flux model. Appl. Math. Lett. 2014, 38, 87–93. [Google Scholar] [CrossRef]
  2. Liu, L.; Feng, L.B.; Xu, Q.; Chen, Y.P. Anomalous diffusion in comb model subject to a novel distributed order time fractional Cattaneo-Christov flux. Appl. Math. Lett. 2020, 102, 106116. [Google Scholar] [CrossRef]
  3. Liu, L.; Zheng, L.C.; Liu, F.W.; Zhang, X.X. An improved heat conduction model with Riesz fractional Cattaneo-Christov flux. Int. J. Heat Mass Transf. 2016, 103, 1191–1197. [Google Scholar] [CrossRef]
  4. Rahman, M.; Mahmood, A.; Younis, M. Improved and more feasible numerical methods for Riesz space fractional partial differential equations. Appl. Math. Comput. 2014, 237, 264–273. [Google Scholar] [CrossRef]
  5. Cusimano, N.; Burrage, K.; Turner, I.; Kay, D. On reflecting boundary conditions for space-fractional equations on a finite interval: Proof of the matrix transfer technique. Appl. Math. Model. 2017, 42, 554–565. [Google Scholar] [CrossRef]
  6. Wang, J.L.; Li, H.F. Memory-dependent derivative versus fractional derivative (II): Remodelling diffusion process. Appl. Math. Comput. 2021, 391, 125627. [Google Scholar] [CrossRef]
  7. Wang, J.L.; Li, H.F. Surpassing the fractional derivative: Concept of the memory-dependent derivative. Comput. Math. Appl. 2011, 62, 1562–1567. [Google Scholar] [CrossRef]
  8. Wang, J.L.; Li, H.F. Memory-dependent derivative versus fractional derivative (I): Difference in temporal modelling. J. Comput. Appl. Math. 2021, 384, 112923. [Google Scholar] [CrossRef]
  9. Bueno-Orovio, A.; Kay, D.; Burrage, K. Fourier spectral methods for fractional-in-space reaction-diffusion equations. BIT Numer. Math. 2014, 54, 937–954. [Google Scholar] [CrossRef]
  10. Tarasov, V.E. Fractional Dynamics: Applications of Fractional Calculus to Dynamics of Particles, Fields and Media; Higher Education Press: Beijing, China; Springer: Berlin/Heidelberg, Germany, 2010; pp. 174–176. [Google Scholar]
  11. Yang, Q.; Liu, F.; Turner, I. Numerical methods for fractional partial differential equations with Riesz space fractional derivatives. Appl. Math. Model. 2010, 34, 200–218. [Google Scholar] [CrossRef]
  12. Pan, M.Y.; Zheng, L.C.; Liu, F.W.; Liu, C.Y.; Chen, X.H. A spatial-fractional thermal transport model for nanofluid in porous media. Appl. Math. Model. 2018, 53, 622–634. [Google Scholar] [CrossRef]
  13. Falcini, F.; Garra, R.; Voller, V. Modeling anomalous heat diffusion: Comparing fractional derivative and non-linear diffusivity treatments. Int. J. Therm. Sci. 2019, 137, 584–588. [Google Scholar] [CrossRef]
  14. Duo, S.W.; Ju, L.L.; Zhang, Y.Z. A fast algorithm for solving the space-time fractional diffusion equation. Comput. Math. Appl. 2018, 75, 1929–1941. [Google Scholar] [CrossRef]
  15. Trong, D.D.; Hai, D.N.D.; Dien, N.M. On a time-space fractional backward diffusion problem with inexact orders. Comput. Math. Appl. 2019, 78, 1572–1593. [Google Scholar] [CrossRef]
Figure 1. Different types of K ( ξ x ) and K α ( x ξ ) , here the dependent radius is chosen as r = 1 .
Figure 1. Different types of K ( ξ x ) and K α ( x ξ ) , here the dependent radius is chosen as r = 1 .
Fractalfract 09 00794 g001
Figure 2. The spatial variation of the kernel function G 1 ( x , t ) for the SDD model relative to that of the conventional model for different dependent-radius r with respect to t = 1 .
Figure 2. The spatial variation of the kernel function G 1 ( x , t ) for the SDD model relative to that of the conventional model for different dependent-radius r with respect to t = 1 .
Fractalfract 09 00794 g002
Figure 3. The spatial variation of the kernel function G 2 ( x , t ) for spatial FD model relative to that of the conventional model for different order α with respect to t = 1 .
Figure 3. The spatial variation of the kernel function G 2 ( x , t ) for spatial FD model relative to that of the conventional model for different order α with respect to t = 1 .
Fractalfract 09 00794 g003
Disclaimer/Publisher’s Note: The statements, opinions and data contained in all publications are solely those of the individual author(s) and contributor(s) and not of MDPI and/or the editor(s). MDPI and/or the editor(s) disclaim responsibility for any injury to people or property resulting from any ideas, methods, instructions or products referred to in the content.

Share and Cite

MDPI and ACS Style

Wang, J.-L.; Li, H.-F. Memory-Dependent Derivative Versus Fractional Derivative (IV): Space-Dependent Derivative for Unsteady Heat Diffusion. Fractal Fract. 2025, 9, 794. https://doi.org/10.3390/fractalfract9120794

AMA Style

Wang J-L, Li H-F. Memory-Dependent Derivative Versus Fractional Derivative (IV): Space-Dependent Derivative for Unsteady Heat Diffusion. Fractal and Fractional. 2025; 9(12):794. https://doi.org/10.3390/fractalfract9120794

Chicago/Turabian Style

Wang, Jin-Liang, and Hui-Feng Li. 2025. "Memory-Dependent Derivative Versus Fractional Derivative (IV): Space-Dependent Derivative for Unsteady Heat Diffusion" Fractal and Fractional 9, no. 12: 794. https://doi.org/10.3390/fractalfract9120794

APA Style

Wang, J.-L., & Li, H.-F. (2025). Memory-Dependent Derivative Versus Fractional Derivative (IV): Space-Dependent Derivative for Unsteady Heat Diffusion. Fractal and Fractional, 9(12), 794. https://doi.org/10.3390/fractalfract9120794

Article Metrics

Back to TopTop