The Tantawy Technique for Modeling Fractional Kinetic Alfvén Solitary Waves in an Oxygen–Hydrogen Plasma in Earth’s Upper Ionosphere
Abstract
1. Introduction
2. Physical Model and Fluid Equations
3. Linear Analysis Using Fourier Transform for Oxygen–Hydrogen Plasma
4. Evolutionary Wave Equation for KAWs in O-H Plasma
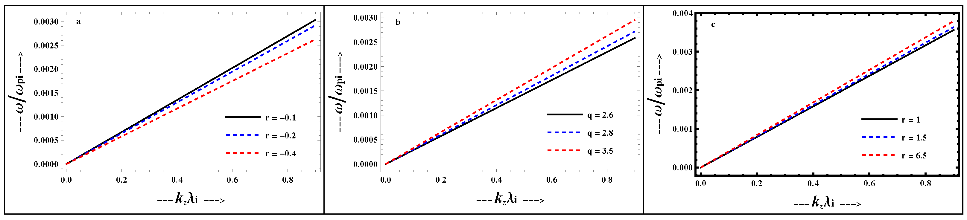
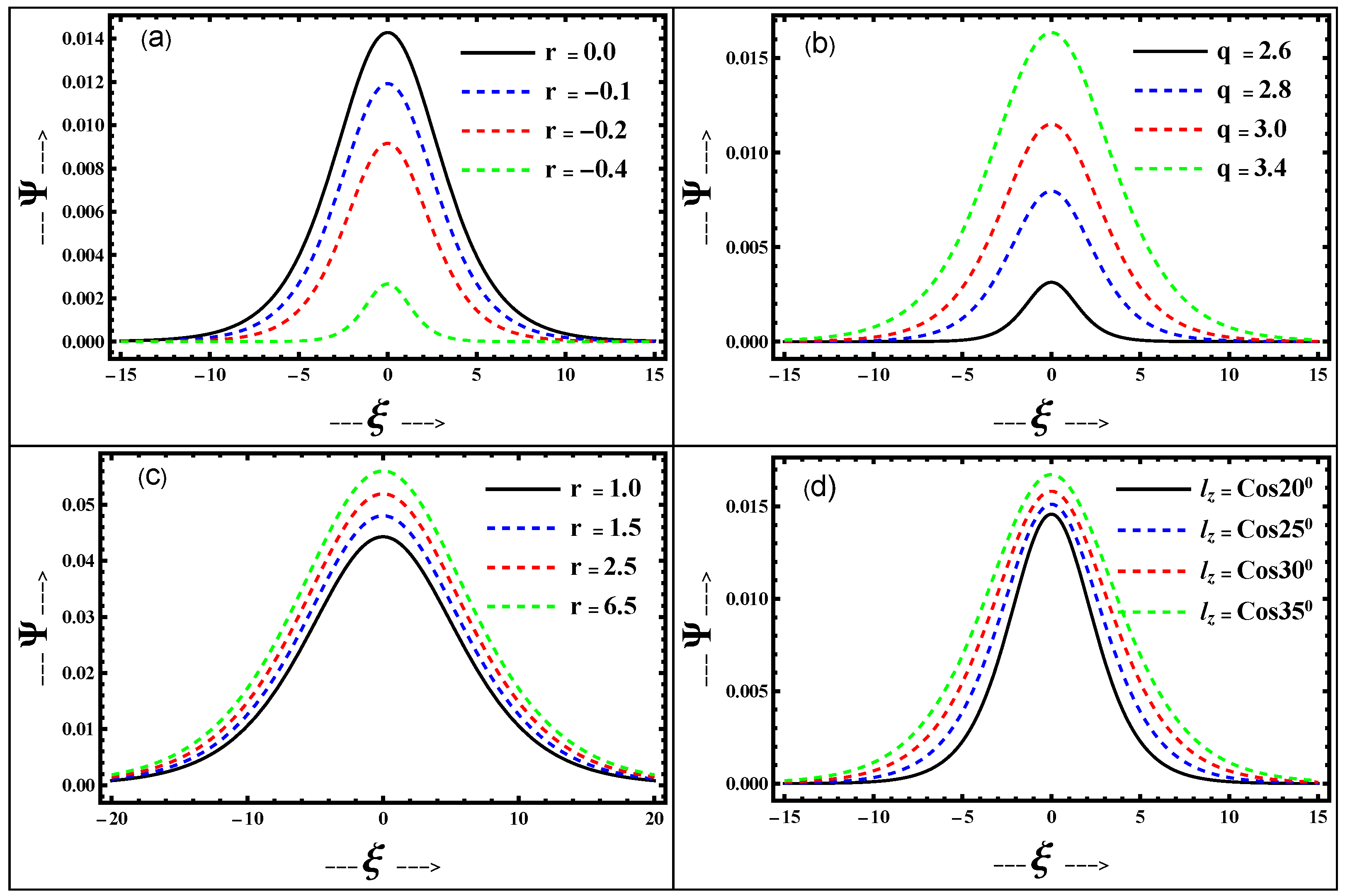
5. Kinetic Alfvén Solitary Waves (KASWs) in an O-H Plasma of Upper Ionosphere
6. Fractional KASWs (FKASWs)
- Step-1:
- The TT supposes that the solution to any fractional PDE is expressed as a convergent series solution as follows:where , ∀, are unknown functions, and indicates any IC for the problem under consideration; in our problem, we can use the following IC for the KASWs:
- Step-2:
- Step-3:
- Step-4:
- Step-5:
- If we rearrange Equation (52) and collect the coefficients of the same power of , we finally getwith
- Step-6:
- Equating to zero the coefficients , , , …, we get
- Step-7:
- Using the built-in MATHEMATICA command “Solve[]”, we can solve the system (54) and obtain the values of , , and as functions of and its derivativeswithwhere ∀
- Step-8:
- Step-9:
7. Discussion and Conclusions
Author Contributions
Funding
Data Availability Statement
Acknowledgments
Conflicts of Interest
References
- Alfvén, H. Existence of electromagnetic-hydrodynamic waves. Nature 1942, 150, 405–406. [Google Scholar] [CrossRef]
- Wahlund, J.E.; Louarn, P.; Chust, T.; De Feraudy, H.; Roux, A.; Holback, B.; Dovner, P.-O.; Holmgren, G. On ion acoustic turbulence and the nonlinear evolution of kinetic alfvén waves in aurora. Geophys. Res. Lett. 1994, 21, 1831–1834. [Google Scholar] [CrossRef]
- Pokhotelov, O.; Onishchenko, O.; Shukla, P.; Stenflo, L. Drift-alfvén vortices in dusty plasmas. J. Geophys. Res. Space Phys. 1999, 104, 19797–19800. [Google Scholar] [CrossRef]
- Hertzberg, M.; Cramer, N.; Vladimirov, S. Parametric instabilities of alfvén waves in a dusty plasma. Phys. Plasmas 2003, 10, 3160–3167. [Google Scholar] [CrossRef]
- Ruderman, M.S.; Goossens, M.; Ballester, J.L.; Oliver, R. Resonant alfven waves in coronal arcades driven by footpoint motions. Astron. Astrophys. 1997, 328, 361–370. [Google Scholar]
- Scalisi, J.; Oxley, W.; Ruderman, M.S.; Erdélyi, R. Propagation of torsional alfvén pulses in zero-beta flux tubes. Astrophys. J. 2021, 911, 39. [Google Scholar] [CrossRef]
- Weiland, J. Collective Modes in Inhomogeneous Plasmas: Kinetic and Advanced Fluid Theory; Series in Plasma Physics; CRC Press: Bristol, UK, 1999. [Google Scholar]
- Wu, D.-J.; Chen, L. Laboratory Experiments of KAWs; Springer: Singapore, 2020; pp. 49–81. [Google Scholar]
- Hasegawa, A.; Mima, K. Exact solitary alfvén wave. Phys. Rev. Lett. 1976, 37, 690. [Google Scholar] [CrossRef]
- Yu, M.; Shukla, P. Finite amplitude solitary alfvén waves. Phys. Fluids 1978, 21, 1457. [Google Scholar] [CrossRef]
- Shukla, P.; Rahman, H.; Sharma, R. Alfvén soliton in a low-beta plasma. J. Plasma Phys. 1982, 28, 125–131. [Google Scholar] [CrossRef]
- Stasiewicz, K.; Bellan, P.; Chaston, C.; Kletzing, C.; Lysak, R.; Maggs, J.; Pokhotelov, O.; Seyler, C.; Shukla, P.; Stenflo, L.; et al. Small scale alfvénic structure in the aurora. Space Sci. Rev. 2000, 92, 423–533. [Google Scholar] [CrossRef]
- Vasyliunas, V.M. A survey of low-energy electrons in the evening sector of the magnetosphere with ogo 1 and ogo 3. J. Geophys. Res. 1968, 73, 2839–2884. [Google Scholar] [CrossRef]
- Cairns, R.; Mamum, A.; Bingham, R.; Boström, R.; Dendy, R.; Nairn, C.; Shukla, P. Electrostatic solitary structures in non-thermal plasmas. Geophys. Res. Lett. 1995, 22, 2709–2712. [Google Scholar] [CrossRef]
- Gurevich, A.V. Nonlinear effects in the ionosphere. Physics-Uspekhi 2007, 50, 1091. [Google Scholar] [CrossRef]
- Qureshi, M.; Shah, H.; Murtaza, G.; Schwartz, S.; Mahmood, F. Parallel propagating electromagnetic modes with the generalized (r, q) distribution function. Phys. Plasmas 2004, 11, 3819–3829. [Google Scholar] [CrossRef]
- Qureshi, M.; Shi, J.; Ma, S. Landau damping in space plasmas with generalized (r, q) distribution function. Phys. Plasmas 2005, 12, 122902. [Google Scholar] [CrossRef]
- Christon, S.; Mitchell, D.; Williams, D.; Frank, L.; Huang, C.; Eastman, T. Energy spectra of plasma sheet ions and electrons from 50 ev/e to 1 mev during plasma temperature transitions. J. Geophys. Space Phys. 1988, 93, 2562–2572. [Google Scholar] [CrossRef]
- Leubner, M. Fundamental issues on kappa-distributions in space plasmas and interplanetary proton distributions. Phys. Plasmas 2004, 11, 1308–1316. [Google Scholar] [CrossRef]
- Shan, S.A.; Khan, D.; Saleem, H. Kappa distributed trapped electrons, drift wave instability and nonlinear structures in O–H plasma of ionosphere. Eur. Phys. J. Plus 2020, 135, 1–12. [Google Scholar] [CrossRef]
- Shan, S.A.; Haque, Q.; Saleem, H. Current-driven alfvén waves in dusty magnetospheric plasmas. Astrophys. Space Sci. 2014, 349, 285–291. [Google Scholar] [CrossRef]
- Bains, A.; Li, B.; Xia, L.-D. Kinetic alfvén solitary and rogue waves in superthermal plasmas. Phys. Plasmas 2014, 21, 032123. [Google Scholar] [CrossRef]
- El-Labany, S.; El-Taibany, W.; El-Tantawy, A.; Abdelghany, A. Quasi-periodic and chaotic structure of alfvén waves in a plasma containing double spectral distributed electrons. Phys. Plasmas 2022, 29, 122103. [Google Scholar] [CrossRef]
- Washimi, H.; Taniuti, T. Propagation of ion-acoustic solitary waves of small amplitude. Phys. Rev. Lett. 1966, 17, 996. [Google Scholar] [CrossRef]
- Saleem, H.; Shan, S.A.; Poedts, S. Reductive perturbation method in magnetized plasma and role of negative ions. Phys. Plasmas 2023, 30, 122111. [Google Scholar] [CrossRef]
- Marklund, G. Auroral phenomena related to intense electric fields observed by the freja satellite. Plasma Phys. Control. Fusion 1997, 39, 195. [Google Scholar] [CrossRef]
- Weber, E. Multi-ion plasmas in astrophysics: I. general requirements for the existence of critical points. Astrophys. Space Sci. 1973, 20, 391–400. [Google Scholar] [CrossRef]
- Jumarie, G. Modified riemann-liouville derivative and fractional taylor series of nondifferentiable functions further results. Comput. Math. Appl. 2006, 51, 1367–1376. [Google Scholar] [CrossRef]
- Cimpoiasu, R.; Constantinescu, R. The inverse symmetry problem for a 2d generalized second order evolutionary equation. Nonlinear Anal. Theory Methods Appl. 2010, 73, 147–154. [Google Scholar] [CrossRef]
- Abdou, M.A. An analytical method for space–time fractional nonlinear differential equations arising in plasma physics. J. Ocean. Eng. Sci. 2017, 2, 288–292. [Google Scholar] [CrossRef]
- Oldman, K.B.; Spanier, J. The Fractional Calculus; Academic Press: New York, NY, USA, 1974. [Google Scholar]
- Hilfer, R. Applications of Fractional Calculus in Physics; World Scientific: Singapore, 2000. [Google Scholar]
- Kilbas, A.A.; Srivastava, H.M.; Trujillo, J.J. Theory and Applications of Fractional Differential Equations; Elsevier: Amsterdam, The Netherlands, 2006. [Google Scholar]
- Ortigueira, M.D. Fractional Calculus for Scientists and Engineers; Springer: Dordrecht, The Netherlands, 2011. [Google Scholar]
- Yang, X.J. General Fractional Derivatives: Theory, Methods and Applications; CRC Press: New York, NY, USA, 2019. [Google Scholar]
- Miller, K.S.; Ross, B. An Introduction to the Fractional Calculus and Fractional Differential Equations; Wiley: New York, NY, USA, 2000. [Google Scholar]
- Samko, S.G.; Kilbas, A.A.; Marichev, O.I. Fractional Integrals and Derivatives: Theory and Applications; Gordon and Breach Science: Yverdon-les-Bains, Switzerland, 1993. [Google Scholar]
- Hamamci, S.E. Stabilization using fractional-order pi and pid controllers. Nonlinear Dyn. 2008, 51, 329–343. [Google Scholar] [CrossRef]
- Yang, X.J.; Gao, F.; Ju, Y. General Fractional Derivatives with Applications in Viscoelasticity; Academic Press: New York, NY, USA, 2019. [Google Scholar]
- Dhayal, R.; Malik, M.; Abbas, S.; Debbouche, A. Optimal controls for second order stochastic differential equations driven by mixed-fractional brownian motion with impulses. Math. Methods Appl. Sci. 2020, 43, 4107–4124. [Google Scholar] [CrossRef]
- Zada, L.; Aziz, I. The numerical solution of fractional Korteweg-de Vries and Burgers’ equations via Haar wavelet. Math. Methods Appl. Sci. 2021, 44, 10564–10577. [Google Scholar] [CrossRef]
- Kelil, A.S.; Rao, A. On the Numerical Solution of 1D and 2D KdV Equations Using Variational Homotopy Perturbation and Finite Difference Methods. Mathematics 2022, 10, 4443. [Google Scholar] [CrossRef]
- Khader, M.M.; Saad, K.M. On the numerical evaluation for studying the fractional KdV, KdV-Burgers and Burgers equations. Eur. Phys. J. Plus 2018, 133, 335. [Google Scholar] [CrossRef]
- Gu, Y. High-order numerical method for the fractional Korteweg-de Vries equation using the discontinuous Galerkin method. Aims Math. 2025, 10, 1367–1383. [Google Scholar] [CrossRef]
- El-Tantawy, S.A.; Al-Johani, A.S.; Almuqrin, A.H.; Khan, A.; El-Sherif, L.S. Novel approximations to the fourth-order fractional Cahn–Hillard equations: Application to the Tantawy Technique and other two techniques with Yang transform. J. Low Freq. Noise Vib. Act. Control. 2025, 44, 1374–1400. [Google Scholar] [CrossRef]
- El-Tantawy, S.A.; Bacha, S.I.H.; Khalid, M.; Alhejaili, W. Application of the Tantawy technique for modeling fractional ion-acoustic waves in electronegative plasmas having Cairns distributed-electrons, Part (I): Fractional KdV Solitary Waves. Braz. J. Phys. 2025, 55, 123. [Google Scholar] [CrossRef]
- El-Tantawy, S.A.; Alhejaili, W.; Khalid, M.; Al-Johani, A.S. Application of the Tantawy Technique for Modeling Fractional Ion-Acoustic Waves in Electronegative nonthermal Plasmas, Part (II): Fractional modifed KdV-Solitary Waves. Braz. J. Phys. 2025, 55, 176. [Google Scholar] [CrossRef]
- El-Tantawy, S.A.; Khan, D.; Khan, W.; Khalid, M.; Alhejaili, W. A Novel Approximation to the Fractional KdV Equation Using the Tantawy Technique and Modeling Fractional Electron-Acoustic Cnoidal Waves in a Nonthermal Plasma. Braz. J. Phys. 2025, 55, 163. [Google Scholar] [CrossRef]
- El-Tantawy, S.A.; Khalid, M.; Bacha, S.I.H.; Alyousef, H.A.; El-Sherif, L.S. On the Tantawy Technique for Modeling Fractional Ion-Acoustic KdV Solitary Waves in a Nonthermal Plasma Having Electron Beams. Braz. J. Phys. 2025, 55, 191. [Google Scholar] [CrossRef]
- El-Tantawy, S.A.; Alhejaili, W.; Al-Johani, A.S. On the Tantawy technique for analyzing (in)homogeneous fractional physical wave equations. J. Supercomput. 2025, 81, 1377. [Google Scholar] [CrossRef]
- Alhejaili, W.; Khan, A.; Al-Johani, A.S.; El-Tantawy, S.A. Novel Approximations to the Multi-Dimensional Fractional Diffusion Models Using the Tantawy Technique and Two Other Transformed Methods. Fractal Fract. 2025, 9, 423. [Google Scholar] [CrossRef]
- Awawdeh, F. On new iterative method for solving systems of nonlinear equations. Numer. Algorithms 2010, 54, 395–409. [Google Scholar] [CrossRef]
- Bhalekar, S.; Daftardar-Gejji, V. New iterative method: Application to partial differential equations. Appl. Math. Comput. 2008, 203, 778–783. [Google Scholar] [CrossRef]
- El-Wakil, S.; Abulwafa, E.M.; El-Shewy, E.; Mahmoud, A.A. Time-fractional kdv equation for plasma of two different temperature electrons and stationary ion. Phys. Plasmas 2011, 18, 092116. [Google Scholar] [CrossRef]
- El-Wakil, S.A.; Abulwafa, E.M.; Zahran, M.A.; Mahmoud, A.A. Time-fractional kdv equation: Formulation and solution using variational methods. Nonlinear Dyn. 2011, 65, 55–63. [Google Scholar] [CrossRef]
- El-Wakil, S.A.; Abulwafa, E.M.; El-Shewy, E.K.; Mahmoud, A.A. Time fractional kdv equation for electron-acoustic waves in plasma of cold electron and two different temperature isothermal ions. Astrophys. Space Sci. 2011, 333, 269–276. [Google Scholar] [CrossRef]
- Jaradat, H. New solitary wave and multiple soliton solutions for the time-space fractional boussinesq equation. Ital. J. Pure Appl. Math 2016, 36, 367–376. [Google Scholar]
- Sahoo, S.; Ray, S.S. Solitary wave solutions for time fractional third order modified kdv equation using two reliable techniques (g/g)-expansion method and improved (g/g)-expansion method. Phys. Stat. Mech. Its Appl. 2016, 448, 265–282. [Google Scholar] [CrossRef]
- El-Ajou, A.; Arqub, O.A.; Momani, S. Approximate analytical solution of the nonlinear fractional KdV–Burgers equation: A new iterative algorithm. J. Comput. Phys. 2015, 293, 81–95. [Google Scholar] [CrossRef]
- Wahlund, J.-E.; Louarn, P.; Chust, T.; De Feraudy, H.; Roux, A.; Holback, B.; Cabrit, B.; Eriksson, A.; Kintner, P.; Kelley, M.; et al. Observations of ion acoustic fluctuations in the auroral topside ionosphere by the freja s/c. Geophys. Res. Lett. 1994, 21, 1835–1838. [Google Scholar] [CrossRef]
- Abid, A.; Khan, M.; Lu, Q.; Yap, S. A generalized az-non-maxwellian velocity distribution function for space plasmas. Phys. Plasmas 2017, 24, 033702. [Google Scholar] [CrossRef]
- Montgomery, M.D.; Asbridge, J.; Bame, S. Vela 4 plasma observations near the earth’s bow shock. J. Geophys. Res. 1970, 75, 1217–1231. [Google Scholar] [CrossRef]
- Feldman, W.; Bame, S.; Gary, S.; Gosling, J.; McComas, D.; Thomsen, M.; Paschmann, G.; Sckopke, N.; Hoppe, M.; Russell, C. Electron heating within the earth’s bow shock. Phys. Rev. Lett. 1982, 49, 199. [Google Scholar] [CrossRef]
- Qureshi, M.; Nasir, W.; Bruno, R.; Masood, W. Whistler instability based on observed flat-top two-component electron distributions in the earth’s magnetosphere. Mon. Not. R. Astron. Soc. 2019, 488, 954–964. [Google Scholar] [CrossRef]
- Qureshi, M.; Pallocchia, G.; Bruno, R.; Cattaneo, M.; Formisano, V.; Reme, H.; Bosqued, J.; Dandouras, I.; Sauvaud, J.; Kistler, L.; et al. Solar wind particle distribution function fitted via the generalized kappa distribution function: Cluster observations. In Proceedings of the AIP Conference Proceedings, Anchorage, AK, USA, 22–26 September 2003; American Institute of Physics: College Park, MD, USA, 2003; Volume 679, pp. 489–492. [Google Scholar]
- Parks, G.; Lee, E.; Lin, N.; Mozer, F.; Wilber, M.; Dandouras, I.; Reme, H.; Lucek, E.; Fazakerley, A.; Goldstein, M.; et al. Solitary electromagnetic pulses detected with super-alfvénic flows in earth’s geomagnetic tail. Phys. Rev. Lett. 2007, 98, 265001. [Google Scholar] [CrossRef]
- Parks, G.; Lee, E.; Teste, A.; Wilber, M.; Lin, N.; Canu, P.; Dandouras, I.; Reme, H.; Fu, S.; Goldstein, M. Transport of transient solar wind particles in earth’s cusps. Phys. Plasmas 2008, 15, 080702. [Google Scholar] [CrossRef]
- Kourakis, I.; Sultana, S.; Hellberg, M. Dynamical characteristics of solitary waves, shocks and envelope modes in kappa-distributed non-thermal plasmas: An overview. Plasma Phys. Control. Fusion 2012, 54, 124001. [Google Scholar] [CrossRef]
- Bhatti, M.; Qureshi, M.; Shah, K. Effect of ion temperature on ion acoustic shock structures in dissipative (r, q) distributed plasma. Aip Adv. 2022, 12, 045105. [Google Scholar] [CrossRef]
- Naeem, I.; Masood, W.; Mirza, A.M. Dipolar and kelvin-stuart’s cat’s eyes vortices in magnetoplasmas with non-maxwellian electron distribution. Astrophys. Space Sci. 2020, 365, 52. [Google Scholar] [CrossRef]
- El-Labany, S.; El-Taibany, W.; El-Tantawy, A.; Zedan, N. Nonplanar dust acoustic waves in a four-component dusty plasma with double spectral distributed electrons: Modulational instability and rogue waves. Waves Random Complex Media 2024, 34, 2128–2147. [Google Scholar] [CrossRef]
- Shah, K.; Qureshi, M.; Masood, W.; Shah, H. An alternative explanation for the density depletions observed by freja and viking satellites. Aip Adv. 2018, 8, 085010. [Google Scholar] [CrossRef]
- Shan, S.A.; Haque, Q. Coupled drift and dust ion acoustic wave driven double layers in magnetized plasma with (r, q)-distributed electrons. Waves Random Complex Media 2023, 33, 98–121. [Google Scholar] [CrossRef]
- Hasegawa, A.; Mima, K. Pseudo-three-dimensional turbulence in magnetized nonuniform plasma. Phys. Fluids 1978, 21, 87–92. [Google Scholar] [CrossRef]
- Qureshi, M.; Shah, K.; Shi, J.; Masood, W.; Shah, H. Investigation of cubic nonlinearity-driven electrostatic structures in the presence of double spectral index distribution function. Contrib. Plasma Phys. 2020, 60, 201900065. [Google Scholar] [CrossRef]
- Shan, S.A.; Arooj, S.; Saleem, H. Nonlinear kinetic alfvén waves in upper ionosphere and reductive perturbation method. Eur. Phys. J. Plus 2024, 139, 1–15. [Google Scholar] [CrossRef]
- Shan, S.A.; Saeed, U.; Saleem, H. Coupled nonlinear drift and iaws in streaming O–H plasma of upper ionosphere. Phys. Plasmas 2024, 31, 032104. [Google Scholar] [CrossRef]
- Alawad, F.A.; Yousif, E.A.; Arbab, A.I. A new technique of laplace variational iteration method for solving space-time fractional telegraph equations. Int. J. Differ. Equations 2013, 2013, 256593. [Google Scholar] [CrossRef]
- Jafari, H.; Nazari, M.; Baleanu, D.; Khalique, C.M. A new approach for solving a system of fractional partial differential equations. Comput. Math. Appl. 2013, 66, 838–843. [Google Scholar] [CrossRef]











| Exact | |||||||
|---|---|---|---|---|---|---|---|
| −3 | 1.76185 | 1.76186 | 1.76186 | 1.76186 | 0.142614 | 0.0131017 | 0.00963252 |
| −2.5 | 0.0000111054 | 0.0000111055 | 0.0000111055 | 0.0000111055 | 0.897863 | 0.0823731 | 0.0603966 |
| −2 | 0.000069935 | 0.0000699355 | 0.0000699355 | 0.0000699355 | 5.61187 | 0.510414 | 0.367728 |
| −1.5 | 0.000437841 | 0.000437845 | 0.000437845 | 0.000437845 | 33.4862 | 2.87463 | 1.82291 |
| −1 | 0.00264341 | 0.00264343 | 0.00264343 | 0.00264343 | 144.662 | 6.82378 | 3.25209 |
| −0.5 | 0.0129378 | 0.0129378 | 0.0129378 | 0.0129378 | 326.685 | 84.4666 | 54.3366 |
| 0 | 0.026646 | 0.026646 | 0.026646 | 0.026646 | 20.4196 | 204.196 | 3.9229 |
| 0.5 | 0.012264 | 0.012264 | 0.012264 | 0.012264 | 309.901 | 83.3689 | 55.4304 |
| 1 | 0.00246465 | 0.00246463 | 0.00246463 | 0.00246463 | 143.291 | 6.88683 | 3.05355 |
| 1.5 | 0.000406998 | 0.000406995 | 0.000406995 | 0.000406995 | 32.9149 | 2.83833 | 1.80749 |
| 2 | 0.0000649765 | 0.000064976 | 0.000064976 | 0.000064976 | 5.51052 | 0.503102 | 0.363427 |
| 2.5 | 0.0000103172 | 0.0000103171 | 0.0000103171 | 0.0000103171 | 0.881509 | 0.0811725 | 0.0596647 |
| 3 | 1.63678 | 1.63677 | 1.63677 | 1.63677 | 0.140013 | 0.0129102 | 0.00951517 |
| Exact | |||||||
|---|---|---|---|---|---|---|---|
| −5 | 0.000111792 | 0.000111792 | 0.000111792 | 0.000111792 | 0.850848 | 0.0353118 | 0.116802 |
| −4 | 0.000591353 | 0.000591353 | 0.000591353 | 0.000591353 | 4.43601 | 0.181029 | 0.578454 |
| −3 | 0.00310026 | 0.00310027 | 0.00310027 | 0.00310027 | 21.4974 | 0.795057 | 2.00304 |
| −2 | 0.0155158 | 0.0155158 | 0.0155158 | 0.0155158 | 66.2694 | 0.663699 | 9.16871 |
| −1 | 0.0621687 | 0.0621687 | 0.0621687 | 0.0621687 | 197.11 | 17.195 | 26.3754 |
| 0 | 0.115081 | 0.115081 | 0.115081 | 0.115081 | 3.71063 | 37.1063 | 1.46549 |
| 1 | 0.0607692 | 0.0607692 | 0.0607692 | 0.0607692 | 193.676 | 17.1415 | 27.1581 |
| 2 | 0.0150413 | 0.0150413 | 0.0150413 | 0.0150413 | 66.1349 | 0.681898 | 9.03045 |
| 3 | 0.00299989 | 0.00299989 | 0.00299989 | 0.00299989 | 21.3388 | 0.791055 | 1.99871 |
| 4 | 0.000572001 | 0.000572001 | 0.000572001 | 0.000572001 | 4.39992 | 0.179875 | 0.575527 |
| 5 | 0.000108126 | 0.000108126 | 0.000108126 | 0.000108126 | 0.843809 | 0.0350788 | 0.116187 |
| Exact | |||||||
|---|---|---|---|---|---|---|---|
| −8 | 0.00198164 | 0.00198164 | 0.00198164 | 0.00198164 | 0.198579 | 0.0414353 | 0.0677843 |
| −7 | 0.00462355 | 0.00462355 | 0.00462355 | 0.00462355 | 0.453624 | 0.0923006 | 0.143115 |
| −6 | 0.0107446 | 0.0107446 | 0.0107446 | 0.0107446 | 1.00235 | 0.191402 | 0.255004 |
| −5 | 0.0247381 | 0.0247381 | 0.0247381 | 0.0247381 | 2.03998 | 0.324767 | 0.210248 |
| −4 | 0.0557552 | 0.0557552 | 0.0557552 | 0.0557552 | 3.31669 | 0.2161 | 1.00614 |
| −3 | 0.119804 | 0.119804 | 0.119804 | 0.119804 | 2.01254 | 1.23096 | 5.30409 |
| −2 | 0.232649 | 0.232649 | 0.232649 | 0.232649 | 9.3254 | 4.39207 | 4.0995 |
| −1 | 0.372835 | 0.372835 | 0.372835 | 0.372835 | 23.1696 | 0.0819567 | 23.509 |
| 0 | 0.442859 | 0.442859 | 0.442859 | 0.442859 | 0.0964315 | 9.64315 | 0.0999201 |
| 1 | 0.3703 | 0.3703 | 0.3703 | 0.3703 | 23.1675 | 0.128908 | 23.4479 |
| 2 | 0.229931 | 0.229931 | 0.229931 | 0.229931 | 9.23765 | 4.38382 | 4.14946 |
| 3 | 0.118074 | 0.118074 | 0.118074 | 0.118074 | 2.03705 | 1.22037 | 5.29021 |
| 4 | 0.0548753 | 0.0548753 | 0.0548753 | 0.0548753 | 3.31234 | 0.218103 | 0.997119 |
| 5 | 0.0243326 | 0.0243326 | 0.0243326 | 0.0243326 | 2.03349 | 0.324348 | 0.209208 |
| 6 | 0.0105656 | 0.0105656 | 0.0105656 | 0.0105656 | 0.998524 | 0.190893 | 0.253617 |
| 7 | 0.004546 | 0.004546 | 0.004546 | 0.004546 | 0.45178 | 0.0920149 | 0.142594 |
| 8 | 0.0019483 | 0.0019483 | 0.0019483 | 0.0019483 | 0.197751 | 0.0412998 | 0.0676976 |
Disclaimer/Publisher’s Note: The statements, opinions and data contained in all publications are solely those of the individual author(s) and contributor(s) and not of MDPI and/or the editor(s). MDPI and/or the editor(s) disclaim responsibility for any injury to people or property resulting from any ideas, methods, instructions or products referred to in the content. |
© 2025 by the authors. Licensee MDPI, Basel, Switzerland. This article is an open access article distributed under the terms and conditions of the Creative Commons Attribution (CC BY) license (https://creativecommons.org/licenses/by/4.0/).
Share and Cite
Shan, S.A.; Albalawi, W.; Alharbey, R.A.; El-Tantawy, S.A. The Tantawy Technique for Modeling Fractional Kinetic Alfvén Solitary Waves in an Oxygen–Hydrogen Plasma in Earth’s Upper Ionosphere. Fractal Fract. 2025, 9, 705. https://doi.org/10.3390/fractalfract9110705
Shan SA, Albalawi W, Alharbey RA, El-Tantawy SA. The Tantawy Technique for Modeling Fractional Kinetic Alfvén Solitary Waves in an Oxygen–Hydrogen Plasma in Earth’s Upper Ionosphere. Fractal and Fractional. 2025; 9(11):705. https://doi.org/10.3390/fractalfract9110705
Chicago/Turabian StyleShan, Shaukat Ali, Wedad Albalawi, Rania A. Alharbey, and Samir A. El-Tantawy. 2025. "The Tantawy Technique for Modeling Fractional Kinetic Alfvén Solitary Waves in an Oxygen–Hydrogen Plasma in Earth’s Upper Ionosphere" Fractal and Fractional 9, no. 11: 705. https://doi.org/10.3390/fractalfract9110705
APA StyleShan, S. A., Albalawi, W., Alharbey, R. A., & El-Tantawy, S. A. (2025). The Tantawy Technique for Modeling Fractional Kinetic Alfvén Solitary Waves in an Oxygen–Hydrogen Plasma in Earth’s Upper Ionosphere. Fractal and Fractional, 9(11), 705. https://doi.org/10.3390/fractalfract9110705

