Fractal–Fractional Coupled Systems with Constant and State- Dependent Delays: Existence Theory and Ecological Applications
Abstract
1. Introduction
- denotes the fractal–fractional Caputo derivative of order and dimension ;
- are to be defined later;
- is a constant delay;
- is a state-dependent delay function;
- are continuous initial functions.
Main Contributions
- We formulate a general coupled system of fractal–fractional Caputo differential equations that incorporates both constant and state-dependent delays, thereby extending existing delay differential equation frameworks.
- We rigorously establish existence and uniqueness results, along with HU stability analysis, for this general system under appropriate conditions.
- To demonstrate the applicability of our theoretical findings, we apply the delayed fractal–fractional framework to a predator–prey model, incorporating ecological delays.
- We perform numerical simulations of the predator–prey system using the ABM method, highlighting the impact of delays on system dynamics and validating the theoretical stability results.
2. Preliminaries
3. Analysis of Solution Existence and Uniqueness
- (A1)
- The functions and are continuous on .
- (A2)
- The constants satisfy the following:
- (A3)
- The delay function satisfies the following:
- (A4)
- The functions are continuous and bounded.
- (A5)
- The constants satisfy the following:
4. Stability Analysis
- The perturbation functions are uniformly bounded:for some .
5. Applications
5.1. General Coupled System Model
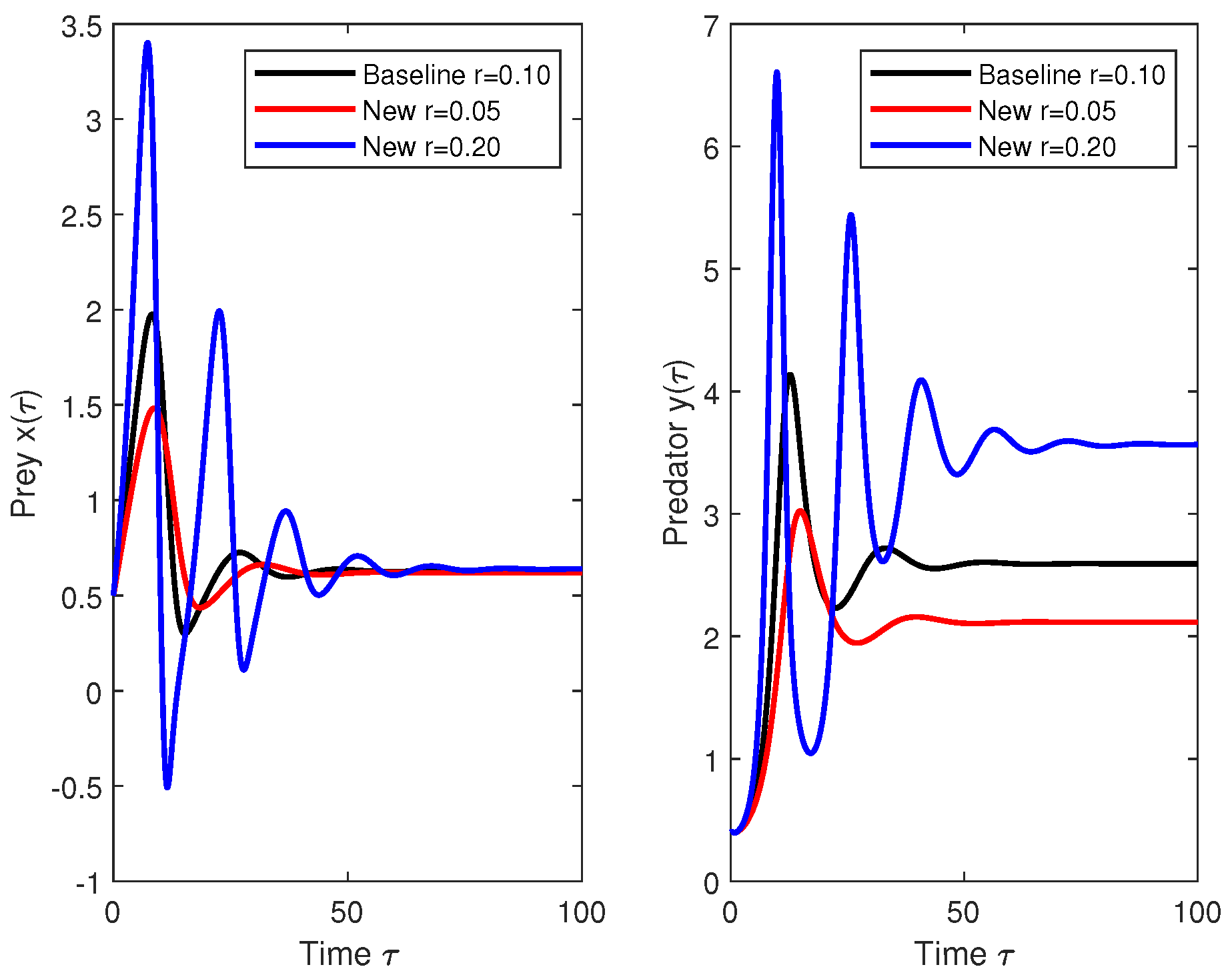
5.2. Real-World Application: Predator–Prey Model with Constant and State-Dependent Delays
Biological Interpretation
- and represent the population densities of the prey and predator species, respectively.
- r is the intrinsic growth rate of the prey.
- a denotes the predation rate.
- b is the conversion rate of consumed prey into predator biomass.
- m is the natural mortality rate of the predator.
- c and d represent external immigration sources or intrinsic nonlinearities.
- is a constant delay.
- and denote state-dependent delays arising due to environmental feedback or physiological states.
6. Conclusions
Author Contributions
Funding
Data Availability Statement
Conflicts of Interest
References
- Cushing, J.M. Integrodifferential Equations and Delay Models in Population Dynamics; Springer: Berlin, Germany, 2013. [Google Scholar]
- MacDonald, N. Time Lags in Biological Models; Lecture Notes in Biomathematics; Springer: Heidelberg, Germany, 1978; Volume 27. [Google Scholar]
- Gopalsamy, K. Stability and Oscillations in Delay Differential Equations of Population Dynamics; Springer: Berlin, Germany, 2013. [Google Scholar]
- Kuang, Y. Delay Differential Equations with Applications in Population Dynamics; Academic Press: New York, NY, USA, 1993. [Google Scholar]
- Lin, X.; Wang, H. Stability analysis of delay differential equations with two discrete delays. Can. Appl. Math. Q. 2012, 20, 519–533. [Google Scholar]
- Xu, C.; Liao, M.; Li, P.; Guo, Y. Bifurcation analysis for simplified five-neuron bidirectional associative memory neural networks with four delays. Neural Process. Lett. 2019, 50, 2219–2245. [Google Scholar] [CrossRef]
- Shah, K.; Sher, M.; Sarwar, M.; Abdeljawad, T. Analysis of a nonlinear problem involving discrete and proportional delay with application to houseflies model. AIMS Math. 2024, 9, 7321–7339. [Google Scholar] [CrossRef]
- Bellen, A.; Zennaro, M. Numerical Methods for Delay Differential Equations; Numerical Mathematics and Scientific Computation Series; Oxford University Press: Oxford, UK, 2003. [Google Scholar]
- Ruan, S. Delay differential equations in single species dynamics. In Delay Differential Equations and Applications; Arino, O., Hbid, M.L., Dads, E.A., Eds.; Springer: Dordrecht, The Netherlands, 2006; pp. 477–517. [Google Scholar] [CrossRef]
- Rihan, F.A. Delay Differential Equations and Applications to Biology; Springer: Singapore, 2021. [Google Scholar]
- Cooke, K.L.; Yorke, J.A. Some equations modelling growth processes and gonorrhea epidemics. Math. Biosci. 1973, 16, 75–101. [Google Scholar] [CrossRef]
- Beuter, A.; Bélair, J.; Labrie, C.; Bélair, J. Feedback and delays in neurological diseases: A modeling study using dynamical systems. Bull. Math. Biol. 1993, 55, 525–541. [Google Scholar] [CrossRef]
- Bélair, J.; Mackey, M.C.; Mahaffy, J.M. Age-structured and two-delay models for erythropoiesis. Math. Biosci. 1995, 128, 317–346. [Google Scholar] [CrossRef]
- Mahaffy, J.M.; Joiner, K.M.; Zak, P.J. A geometric analysis of stability regions for a linear differential equation with two delays. Int. J. Bifurc. Chaos 1995, 5, 779–796. [Google Scholar] [CrossRef]
- Podlubny, I. Fractional Differential Equations; Academic Press: San Diego, CA, USA, 1999. [Google Scholar]
- Samko, S.G.; Kilbas, A.A.; Marichev, O.I. Fractional Integrals and Derivatives: Theory and Applications; Gordon and Breach: North Holland, The Netherlands, 1993. [Google Scholar]
- Alazopoulos, K.A. Non-local continuum mechanics and fractional calculus. Mech. Res. Commun. 2006, 33, 753–757. [Google Scholar] [CrossRef]
- Atangana, A. Fractal-fractional differentiation and integration: Connecting fractal calculus and fractional calculus to predict complex systems. Chaos Solitons Fractals 2017, 102, 396–406. [Google Scholar] [CrossRef]
- Aldwoah, K.A.; Almalahi, M.A.; Hleili, M.; Alqarni, F.A.; Aly, E.S.; Shah, K. Analytical study of a modified-ABC fractional order breast cancer model. J. Appl. Math. Comput. 2024, 70, 3685–3716. [Google Scholar] [CrossRef]
- Khan, H.; Alzabut, J.; Shah, A.; He, Z.; Etemad, S.; Rezapour, S.; Zada, A. On fractal-fractional waterborne disease model: A study on theoretical and numerical aspects of solutions via simulations. Fractals 2023, 31, 2340055. [Google Scholar] [CrossRef]
- Hamza, A.E.; Osman, O.; Ali, A.; Alsulami, A.; Aldwoah, K.; Mustafa, A.; Saber, H. Fractal-fractional-order modeling of liver fibrosis disease and its mathematical results with subinterval transitions. Fractal Fract. 2024, 8, 638. [Google Scholar] [CrossRef]
- Alraqad, T.; Almalahi, M.A.; Mohammed, N.; Alahmade, A.; Aldwoah, K.A. Modeling Ebola dynamics with a Φ-piecewise hybrid fractional derivative approach. Fractal Fract. 2024, 8, 596. [Google Scholar] [CrossRef]
- Tahara, T.; Gavina, M.K.A.; Kawano, T.; Tubay, J.M.; Rabajante, J.F.; Ito, H. Asymptotic stability of a modified Lotka-Volterra model with small immigrations. Sci. Rep. 2018, 8, 13894. [Google Scholar] [CrossRef]
- Yang, W. Positive solutions for a coupled system of nonlinear fractional differential equations with integral boundary conditions. Comput. Math. Appl. 2012, 63, 288–297. [Google Scholar] [CrossRef][Green Version]
- Li, M.; Liu, Y. Existence and uniqueness of positive solutions for a coupled system of nonlinear fractional differential equations. Open J. Appl. Sci. 2013, 3, 53–61. [Google Scholar] [CrossRef]
- Houas, M.; Dahmani, Z. New results for a coupled system of fractional differential equations. Facta Univ. Ser. Math. Inform. 2013, 28, 133–150. [Google Scholar]
- Ali, A.; Bibi, F.; Ali, Z.; Shah, K.; Abdalla, B.; Abdeljawad, T. Investigation of existence and Ulam’s type stability for coupled fractal fractional differential equations. Eur. J. Pure Appl. Math. 2025, 18, 5963. [Google Scholar] [CrossRef]
- Younis, M.; Öztürk, M. Some novel proximal point results and applications. Univers. J. Math. Appl. 2025, 8, 8–20. [Google Scholar] [CrossRef]
- Abdou, A.A.N. Solving a nonlinear fractional differential equation using fixed point results in orthogonal metric spaces. Fractal Fract. 2023, 7, 817. [Google Scholar] [CrossRef]
- Alqahtani, B.; Fulga, A.; Karapinar, E. Common fixed point results on an extended b-metric space. J. Inequal. Appl. 2018, 2018, 158. [Google Scholar] [CrossRef]
- Hetmaniok, E.; Pleszczyński, M.; Khan, Y. Solving the integral differential equations with delayed argument by using the DTM method. Sensors 2022, 22, 4124. [Google Scholar] [CrossRef]
- Schaefer, H. Über die Methode der a Priori-Schranken. Math. Ann. 1955, 129, 415–416. [Google Scholar] [CrossRef]
- Rus, I.A. Ulam stabilities of ordinary differential equations in a Banach space. Carpath. J. Math. 2010, 26, 103–107. [Google Scholar]
- Khan, M.A.; Atangana, A. Numerical Methods for Fractal-Fractional Differential Equations and Engineering Simulations and Modeling; CRC Press: Boca Raton, FL, USA, 2023. [Google Scholar]
- Marsudi, I.; Darti, A. A comparative study on numerical solutions of initial value problems of differential equations using three numerical methods. BAREKENG J. Math. Appl. 2025, 19, 1263–1278. [Google Scholar] [CrossRef]











| Step Size h | CPU Time (s) | Max Error (Prey) | Max Error (Predator) |
|---|---|---|---|
| 0.200 | 0.0214 | 7.1035 × 10−2 | 1.2648 × 10−1 |
| 0.100 | 0.0548 | 3.2411 × 10−2 | 5.6976 × 10−2 |
| 0.050 | 0.1767 | 1.3717 × 10−2 | 2.3929 × 10−2 |
| 0.025 | 0.4547 | 4.5445 × 10−3 | 7.9133 × 10−3 |
Disclaimer/Publisher’s Note: The statements, opinions and data contained in all publications are solely those of the individual author(s) and contributor(s) and not of MDPI and/or the editor(s). MDPI and/or the editor(s) disclaim responsibility for any injury to people or property resulting from any ideas, methods, instructions or products referred to in the content. |
© 2025 by the authors. Licensee MDPI, Basel, Switzerland. This article is an open access article distributed under the terms and conditions of the Creative Commons Attribution (CC BY) license (https://creativecommons.org/licenses/by/4.0/).
Share and Cite
Damag, F.H.; Qurtam, A.A.; Ali, A.; Elsayed, A.; Adam, A.; Aldwoah, K.; Ali, S.O. Fractal–Fractional Coupled Systems with Constant and State- Dependent Delays: Existence Theory and Ecological Applications. Fractal Fract. 2025, 9, 652. https://doi.org/10.3390/fractalfract9100652
Damag FH, Qurtam AA, Ali A, Elsayed A, Adam A, Aldwoah K, Ali SO. Fractal–Fractional Coupled Systems with Constant and State- Dependent Delays: Existence Theory and Ecological Applications. Fractal and Fractional. 2025; 9(10):652. https://doi.org/10.3390/fractalfract9100652
Chicago/Turabian StyleDamag, Faten H., Ashraf A. Qurtam, Arshad Ali, Abdelaziz Elsayed, Alawia Adam, Khaled Aldwoah, and Salahedden Omer Ali. 2025. "Fractal–Fractional Coupled Systems with Constant and State- Dependent Delays: Existence Theory and Ecological Applications" Fractal and Fractional 9, no. 10: 652. https://doi.org/10.3390/fractalfract9100652
APA StyleDamag, F. H., Qurtam, A. A., Ali, A., Elsayed, A., Adam, A., Aldwoah, K., & Ali, S. O. (2025). Fractal–Fractional Coupled Systems with Constant and State- Dependent Delays: Existence Theory and Ecological Applications. Fractal and Fractional, 9(10), 652. https://doi.org/10.3390/fractalfract9100652

