Next Article in Journal
Fractal–Fractional Coupled Systems with Constant and State- Dependent Delays: Existence Theory and Ecological Applications
Previous Article in Journal
Dynamics in a Fractional-Order Four-Species Food Web System with Top Predator and Delays
 
 
Font Type:
Arial Georgia Verdana
Font Size:
Aa Aa Aa
Line Spacing:
Column Width:
Background:
Article

Triply Coupled Systems of Differential Equations with Time-Dependent Delay and Application to Three-Species Food-Chain Dynamics

1
Department of Mathematics, College of Science, University of Hail, Hail 55473, Saudi Arabia
2
Physics Department, College of Science, Imam Mohammad Ibn Saud Islamic University (IMSIU), Riyadh 11623, Saudi Arabia
3
Department of Mathematics, University of Malakand, Lower Dir, Chakdara 18000, Khyber Pakhtunkhwa, Pakistan
4
Department of Mathematics, Faculty of Science, Islamic University of Madinah, Madinah 42351, Saudi Arabia
5
Department of Mathematics, College of Science, Qassim University, Buraydah 51452, Saudi Arabia
*
Authors to whom correspondence should be addressed.
Fractal Fract. 2025, 9(10), 651; https://doi.org/10.3390/fractalfract9100651
Submission received: 13 August 2025 / Revised: 3 October 2025 / Accepted: 7 October 2025 / Published: 8 October 2025

Abstract

We introduce a class of triply coupled systems of differential equations with fractal–fractional Caputo derivatives and time-dependent delays. This framework captures long-memory effects and complex structural patterns while allowing delays to evolve over time, offering greater realism than constant-delay models. The existence and uniqueness of solutions are established using fixed point theory, and Hyers–Ulam stability is analyzed. A numerical scheme based on the Adams–Bashforth method is implemented to approximate solutions. The approach is illustrated through a numerical example and applied to a three-species food-chain model, comparing scenarios with and without time-dependent delays to demonstrate their impact on system dynamics.

1. Introduction

Recent advances in mathematical biology highlight the importance of incorporating time delays into models. Such delays represent real-life phenomena more accurately, including feeding cycles, maturation periods, resource replenishment, and delayed responses. These delays introduce memory-driven dynamics into the system, significantly shaping its behavior over time. Both early and modern studies—such as [1,2,3,4]—have shown that delay differential equations (DDEs) produce rich dynamical outcomes. These include instabilities, bifurcation phenomena, and persistent oscillatory behavior, mainly due to the influence of past system states on present evolution. For instance, the research presented in [5] utilized the Caputo–Fabrizio fractional operator to investigate nonlinear models involving both constant and state-proportional delays. Further relevant studies are discussed in [6,7,8].
Classical DDEs often rely on constant or predetermined delays, which may not adequately capture the evolving nature of many real-world processes. In biological, physical, and engineering systems, the delay experienced by the system is often influenced by the current state or time, and the underlying dynamics exhibit memory effects and nonlocal behavior. Traditional integer-order models are limited in describing such complex systems.
Traditional integer-order models often fall short in describing complex systems, particularly when accounting for memory-dependent or hereditary traits. To bridge this gap, fractional-order differential models were introduced, employing nonlocal operators that are defined through integral kernels. The growing interaction between fractional calculus and practical modeling has significantly advanced the field, establishing fractional differential equations (FDEs) as an essential tool in modern applied mathematics. These equations are now widely employed in multiple domains (see [9,10,11]). However, classical fractional formulations may prove insufficient in scenarios involving irregular geometries, fractal media, or anomalous transport phenomena. This growing interest has led to the adoption of fractal–fractional derivatives, particularly in the Caputo sense, which employ power-law memory kernels. Such derivatives provide a dual capability: modeling time-dependent feedback while capturing structural complexity. These operators have the ability to capture both memory effects and scale-dependent behaviors in complex systems [12]. In ref. [13], the authors utilized fractal–fractional calculus to apply analytical methods for examining the dynamics of a breast cancer model, uncovering significant insights into disease progression. A similar approach was adopted in ref. [14], where a waterborne disease model was analyzed using fractal–fractional operators. The work focused on both theoretical development and numerical simulations to better understand the system’s behavior. In ref. [15], a model involving liver fibrosis was constructed within the framework of fractal–fractional derivatives, emphasizing transitions across subintervals and providing mathematical interpretations. Likewise, the study described in ref. [16] investigated the spread of Ebola using a Φ -piecewise hybrid fractional derivative framework. These developments reflect the growing reliance on advanced mathematical modeling to interpret and predict complex biological phenomena.
The study of coupled systems of differential equations also plays a crucial role in modeling complex phenomena where multiple dynamical components interact over time (see [17]). Coupled systems of DEs with two state variables have widely been studied, as in [18,19,20]. In particular, triply coupled systems arise naturally in various fields such as mathematical biology, engineering, epidemiology, and economics. Classical triply coupled system models have been considered by many researchers (for instance, see [21,22]). However, triply coupled systems in which the state of each variable depends on the delayed states of all other variables are rarely investigated. Unlike classical coupled systems, triply coupled models with time-dependent delays capture more realistic interactions, including feedback, memory, and nonlocal effects that occur in real-world processes. Furthermore, incorporating fractal–fractional derivatives in the Caputo sense enhances the model’s ability to describe systems with hereditary properties and anomalous dynamics. This framework not only generalizes classical differential equations but also accommodates both the fractal nature of the time domain and the fading memory that is inherent in many physical and biological systems. The present work analyzes the existence, uniqueness, and stability of solutions for such systems using fixed point theory. This provides a rigorous mathematical foundation for further analytical and numerical investigations.
We propose the following triply coupled system of DEs involving fractal–fractional Caputo (FFC) derivatives and time-dependent delays:
D z ρ , σ FFC ϑ ( z ) = f z , ϑ ( z ) , θ ( z χ 1 ( z ) ) , ϕ ( z χ 1 ( z ) ) , D z ρ , σ FFC θ ( z ) = g z , θ ( z ) , ϕ ( z χ 2 ( z ) ) , ϑ ( z χ 2 ( z ) ) , D z ρ , σ FFC ϕ ( z ) = h z , ϕ ( z ) , ϑ ( z χ 3 ( z ) ) , θ ( z χ 3 ( z ) ) ,
subject to the initial conditions:
ϑ ( z ) = F 1 ( z ) , z [ δ , 0 ] , θ ( z ) = F 2 ( z ) , z [ δ , 0 ] , ϕ ( z ) = F 3 ( z ) , z [ δ , 0 ] ,
where
δ = max sup z [ 0 , T ] χ 1 ( z ) , sup z [ 0 , T ] χ 2 ( z ) , sup z [ 0 , T ] χ 3 ( z ) .
Here, D z ρ , σ FFC ϑ ( z ) is a fractal–fractional Caputo differential operator; ρ is the fractional order, σ is the fractal dimension, the functions χ 1 ( z ) , χ 2 ( z ) , χ 3 ( z ) represent bounded time-dependent delays, z [ 0 , T ] represents the time, and f , g , h define the coupling dynamics among the state variables ϑ , ϕ , θ . The system exhibits interaction under memory and fractal effects, governed by the FFC operator.

Novelty and Main Contributions

The novelty and main contributions of this work are as follows:
The present work advances the existing literature on fractional-order systems with delays by introducing time-dependent delays in the framework of fractal–fractional Caputo DEs. While most earlier studies have focused on constant or fixed delays, time-dependent delays provide a more realistic description of dynamical processes in which the lag evolves in relation to time, capturing memory and hereditary effects more accurately. Furthermore, our study develops theoretical guarantees for existence, uniqueness, and stability under this generalized setting, which to the best of our knowledge have not been systematically established in previous works. On the computational side, we employ the Adams–Bashforth scheme adapted to the fractal–fractional Caputo derivative with time-dependent delays and validate the model through a biologically relevant food-chain system. This combined theoretical and numerical framework highlights both the originality and practical applicability of our contribution.
We divide the manuscript into several sections as follows: Section 2 outlines the essential preliminary concepts. Section 3 addresses the existence results for the proposed model. Section 4 addresses sthe tability findings. Section 5 is devoted to numerical solution. Section 6 is devoted to the application of the key findings to a general numerical problem and a real-world three-species food-chain model. In Section 7, we present our conclusions.

2. Preliminaries

Here, we give foundational concepts from fractal–fractional calculus. Furthermore, we provide a key result that forms the basis for later theoretical analysis.
Definition 1 
([12]). Consider w to be a function that is continuous and exhibits fractal differentiability over the open interval ( 0 , T ) . For the parameters 0 < ρ , σ 1 , the fractal–fractional integral (FFI) of w involving a power-law kernel is presented as follows:
I ρ , σ FFC w ( z ) = σ Γ ( ρ ) 0 z ( z v ) ρ 1 v σ 1 w ( v ) d v , z [ 0 , T ] .
Definition 2 
([12]). Consider w to be a function that is continuous and exhibits fractal differentiability over the open interval ( 0 , T ) . Then, for 0 < ρ , σ 1 , the FFC derivative of w involving a power-law kernel is presented as follows:
D z ρ , σ FFC w ( z ) = 1 Γ ( 1 ρ ) 0 z ( z v ) ρ d d v σ w ( v ) d v , z [ 0 , T ] .
Theorem 1 
([23]). Let W denote a normed linear space, and suppose that V W is a convex subset that includes the zero vector. If W : V V is a completely continuous operator, then either the set
U = w V : w = μ W ( w ) , 0 < μ < 1
is unbounded, or W admits at least one fixed point in V .
Lemma 1. 
Assume that ϑ ( z ) , ϕ ( z ) , θ ( z ) are σ-fractal-differentiable on [ 0 , T ] and satisfy the triply coupled system (1). Then, the system is equivalent to the following integral equations:
ϑ ( z ) = F 1 ( 0 ) + σ Γ ( ρ ) 0 z ( z s ) ρ 1 s σ 1 f s , ϑ ( s ) , θ ( s χ 1 ( s ) ) , ϕ ( s χ 1 ( s ) ) d s , θ ( z ) = F 2 ( 0 ) + σ Γ ( ρ ) 0 z ( z s ) ρ 1 s σ 1 g s , θ ( s ) , ϕ ( s χ 2 ( s ) ) , ϑ ( s χ 2 ( s ) ) d s , ϕ ( z ) = F 3 ( 0 ) + σ Γ ( ρ ) 0 z ( z s ) ρ 1 s σ 1 h s , ϕ ( s ) , ϑ ( s χ 3 ( s ) ) , θ ( s χ 3 ( s ) ) d s .
Proof. 
Applying the FFC fractional integral operator I ρ , σ FFC to both sides of each equation in (1) and using the property
I ρ , σ FFC D z ρ , σ FFC ξ ( z ) = ξ ( z ) ξ ( 0 ) ,
we obtain the following:
ϑ ( z ) = ϑ ( 0 ) + σ Γ ( ρ ) 0 z ( z s ) ρ 1 s σ 1 f s , ϑ ( s ) , θ ( s χ 1 ( s ) ) , ϕ ( s χ 1 ( s ) ) d s , θ ( z ) = θ ( 0 ) + σ Γ ( ρ ) 0 z ( z s ) ρ 1 s σ 1 g s , θ ( s ) , ϕ ( s χ 2 ( s ) ) , ϑ ( s χ 2 ( s ) ) d s , ϕ ( z ) = ϕ ( 0 ) + σ Γ ( ρ ) 0 z ( z s ) ρ 1 s σ 1 h s , ϕ ( s ) , ϑ ( s χ 3 ( s ) ) , θ ( s χ 3 ( s ) ) d s ,
Using the initial conditions ϑ ( 0 ) = F 1 ( 0 ) , ϕ ( 0 ) = F 2 ( 0 ) , and θ ( 0 ) = F 3 ( 0 ) , the integral form follows. Conversely, applying the FFC derivative to the integral equations and using the identity
D z ρ , σ FFC F ( 0 ) + I ρ , σ FFC ξ ( z ) = ξ ( z ) ,
yields the original triply coupled system (1). The initial values are preserved, completing the proof. □

3. Investigation of Existence and Uniqueness Results

Let us define the Banach space:
B : = C ( [ δ , T ] , R ) × C ( [ δ , T ] , R ) × C ( [ δ , T ] , R ) ,
equipped with the following norm:
( ϑ , θ , ϕ ) B : = max sup z [ δ , T ] | ϑ ( z ) | , sup z [ δ , T ] | θ ( z ) | , sup z [ δ , T ] | ϕ ( z ) | .
Define the operator W : B B by
W ( ϑ , θ , ϕ ) ( z ) : = W 1 ( ϑ , θ , ϕ ) ( z ) , W 2 ( ϕ , θ , ϑ ) ( z ) , W 3 ( ϕ , ϑ , θ ) ( z ) ,
where for z [ 0 , T ] ,
W 1 ( ϑ , θ , ϕ ) ( z ) = F 1 ( 0 ) + σ Γ ( ρ ) 0 z ( z s ) ρ 1 s σ 1 f s , ϑ ( s ) , θ ( s χ 1 ( s ) ) , ϕ ( s χ 1 ( s ) ) d s , W 2 ( ϕ , ϑ , θ ) ( z ) = F 2 ( 0 ) + σ Γ ( ρ ) 0 z ( z s ) ρ 1 s σ 1 g s , θ ( s ) , ϕ ( s χ 2 ( s ) ) , ϑ ( s χ 2 ( s ) ) d s , W 3 ( ϕ , ϑ , θ ) ( z ) = F 3 ( 0 ) + σ Γ ( ρ ) 0 z ( z s ) ρ 1 s σ 1 h s , ϕ ( s ) , ϑ ( s χ 3 ( s ) ) , θ ( s χ 3 ( s ) ) d s ,
and for z [ δ , 0 ) , we define the following:
W 1 ( ϑ , θ , ϕ ) ( z ) : = F 1 ( z ) , W 2 ( θ , ϕ , ϑ ) ( z ) : = F 2 ( z ) , W 3 ( ϕ , ϑ , θ ) ( z ) : = F 3 ( z ) .
To establish the existence and uniqueness of solutions to the system (1) and (2), we impose the following assumptions:
Assumption 1. 
The functions
f : [ 0 , T ] × R 3 R , g : [ 0 , T ] × R 3 R , h : [ 0 , T ] × R 3 R
are continuous.
Assumption 2. 
There exist constants L f , L g , L h > 0 such that for all z [ 0 , T ] and for all real numbers ϑ , θ , ϕ , ϑ ˜ , θ ˜ , ϕ ˜ R ,
| f ( z , ϑ , θ χ , ϕ χ ) f ( z , ϑ ˜ , θ ˜ χ , ϕ ˜ χ ) | L f ( | ϑ ϑ ˜ | + | θ ˜ χ θ ˜ χ | + | ϕ ˜ χ ϕ ˜ χ | ) , | g ( z , θ , ϕ χ , ϑ χ ) g ( z , θ ˜ , ϕ ˜ χ , ϑ ˜ χ ) | L g ( | θ θ ˜ | + | ϕ ˜ χ ϕ ˜ χ | + | ϑ ˜ χ ϑ ˜ χ | ) , | h ( z , θ , ϕ χ , ϑ χ ) h ( z , ϑ ˜ , θ ˜ χ , ϕ ˜ χ ) | L h ( | ϕ ϕ ˜ | + | ϑ ˜ χ ϑ ˜ χ | + | θ ˜ χ θ ˜ χ | ) .
Assumption 3. 
The time delay functions χ 1 ( z ) , χ 2 ( z ) , χ 3 ( z ) are continuous on [ 0 , T ] and satisfy
0 χ i ( z ) δ , for all z [ 0 , T ] , i = 1 , 2 , 3 .
Assumption 4. 
The functions F 1 , F 2 , F 3 C ( [ δ , 0 ] , R ) are bounded and continuous.
Assumption 5. 
There exist constants K f , K g , K h > 0 such that
| f ( z , ϑ , θ χ , ϕ χ ) | K f , | g ( z , θ , ϕ χ , ϑ χ ) | K g , | h ( z , ϕ , ϑ χ , θ χ ) | K h .
Theorem 2. 
If (A1)(A5) hold true, then the proposed triply coupled system (1) and (2), with time-dependent delays, admits a minimum of one solution.
Proof. 
For the proof of this result, we apply Theorem 1.
Step 1: Continuity.
Let ( ϑ n , θ n , ϕ n ) ( ϑ , θ , ϕ ) in B as n . Define
f n ( s ) : = f s , ϑ n ( s ) , θ n ( s χ 1 ( s ) ) , ϕ n ( s χ 1 ( s ) ) , f ( s ) : = f s , ϑ ( s ) , θ ( s χ 1 ( s ) ) , ϕ ( s χ 1 ( s ) ) , g n ( s ) : = g s , θ n ( s ) , ϕ n ( s χ 2 ( s ) ) , ϑ n ( s χ 2 ( s ) ) , g ( s ) : = g s , θ ( s ) , ϕ ( s χ 2 ( s ) ) , ϑ ( s χ 2 ( s ) ) , h n ( s ) : = h s , ϕ n ( s ) , ϑ n ( s χ 3 ( s ) ) , θ n ( s χ 3 ( s ) ) , h ( s ) : = h s , ϕ ( s ) , ϑ ( s χ 3 ( s ) ) , θ ( s χ 3 ( s ) ) .
By uniform convergence and continuity of delay functions χ i ( · ) , we have pointwise convergence: f n ( s ) f ( s ) , g n ( s ) g ( s ) , and h n ( s ) h ( s ) . By assumption (A5), each function is bounded. Moreover, the kernel ( z s ) ρ 1 s σ 1 is integrable on [ 0 , T ] . Using the dominated convergence theorem,
sup z [ 0 , T ] | W 1 ( ϑ n , θ n , ϕ n ) ( z ) W 1 ( ϑ , θ , ϕ ) ( z ) | 0 ,
and similarly for W 2 and W 3 . Thus, W is continuous.
Step 2: Boundedness.
Let r > 0 be a constant, and define the closed ball:
B r : = ( ϑ , θ , ϕ ) B : ( ϑ , θ , ϕ ) B r .
For ( ϑ , θ , ϕ ) B r , using assumption (A5),
| W 1 ( ϑ , θ , ϕ ) ( z ) | | F 1 ( 0 ) | + σ Γ ( ρ ) 0 z ( z s ) ρ 1 s σ 1 K f d s .
Consider the integral
0 z ( z s ) ρ 1 s σ 1 d s .
Letting s = z ζ , the integral becomes
0 z ( z s ) ρ 1 s σ 1 d s = z ρ + σ 1 β ( σ , ρ ) ,
where β ( σ , ρ ) is the beta function. Thus,
| W 1 ( ϑ , θ , ϕ ) ( z ) | | F 1 ( 0 ) | + σ z σ + ρ 1 β ( ρ , σ ) K f = : r 1 .
Similarly,
| W 2 ( ϕ , ϑ , θ ) ( z ) | | F 2 ( 0 ) | + σ z σ + ρ 1 β ( ρ , σ ) K g = : r 2 ,
and
| W 3 ( θ , ϕ , ϑ ) ( z ) | | F 3 ( 0 ) | + σ z σ + ρ 1 β ( ρ , σ ) K h = : r 3 .
Combining the three bounds on W 1 , W 2 , and W 3 into a single bound for the whole operator, we have
W ( ϑ , θ , ϕ ) B max { r 1 , r 2 , r 3 } = : r .
Therefore, W ( B r ) B r , where r : = max { r 1 , r 2 , r 3 } .
Step 3: Equicontinuity.
Let z 1 , z 2 [ 0 , T ] , with z 1 < z 2 . Then, for W 1 ,
| W 1 ( ϑ ( z 2 ) , θ ( z 2 ) , ϕ ( z 2 ) ) W 1 ( ϑ ( z 1 ) , θ ( z 1 ) , ϕ ( z 1 ) ) | σ Γ ( ρ ) z 1 z 2 ( z 2 s ) ρ 1 s σ 1 | f ( s , ϑ ( s ) , θ ( s χ 1 ( s ) ) , ϕ ( s χ 1 ( s ) ) ) | d s + σ Γ ( ρ ) 0 z 1 ( z 2 s ) ρ 1 ( z 1 s ) ρ 1 s σ 1 | f ( s , ϑ ( s ) , θ ( s χ 1 ( s ) ) , ϕ ( s χ 1 ( s ) ) ) | d s σ K f Γ ( ρ ) z 1 z 2 ( z 2 s ) ρ 1 s σ 1 d s + σ K f Γ ( ρ ) 0 z 1 ( z 2 s ) ρ 1 ( z 1 s ) ρ 1 s σ 1 d s .
Each term tends to zero as z 1 z 2 ; therefore, W 1 is equicontinuous. This is similar for W 2 and W 3 . Hence, W is equicontinuous.
By the Arzelà–Ascoli Theorem and Steps 1–3, W is compact.
Step 4: A priori boundedness.
Let ( ϑ , θ , ϕ ) = ϱ W ( ϑ , θ , ϕ ) for some ϱ [ 0 , 1 ] . Then,
| W 1 ( ϑ , θ , ϕ ) ( z ) | ϱ | F 1 ( 0 ) | + σ Γ ( ρ ) 0 z ( z s ) ρ 1 s σ 1 K f d s .
Using the transformation,
0 z ( z s ) ρ 1 s σ 1 d s = z ρ + σ 1 β ( σ , ρ ) ,
we have
| W 1 ( ϑ , θ , ϕ ) ( z ) | ϱ | F 1 ( 0 ) | + σ z σ + ρ 1 β ( ρ , σ ) K f = : ϱ M 1 M 1 .
Similarly,
| W 2 ( ϕ , ϑ , θ ) ( z ) | ϱ | F 2 ( 0 ) | + σ z σ + ρ 1 β ( ρ , σ ) K g = : ϱ M 2 M 2 ,
and
| W 3 ( θ , ϕ , ϑ ) ( z ) | ϱ | F 3 ( 0 ) | + σ z σ + ρ 1 β ( ρ , σ ) K h = : ϱ M 3 M 3 .
Thus, the set { ( ϑ , θ , ϕ ) = ϱ W ( ϑ , θ , ϕ ) , ϱ [ 0 , 1 ] } is bounded.
All the conditions of Schaefer’s Fixed Point Theorem are satisfied. Hence, W has a fixed point in B r , which corresponds to a solution of the triply coupled system (1) and (2). □
Theorem 3. 
Let (A1)(A3) hold true and suppose that f, g, and h satisfy the Lipschitz conditions in (A2). If
2 σ ( L f + L g + L h ) Γ ( σ ) Γ ( ρ + σ ) T ρ + σ 1 < 1 ,
then the triply coupled system (1) and (2) with time-dependent delays admits a unique solution on [ 0 , T ] .
Proof. 
Let ( ϑ 1 , θ 1 , ϕ 1 ) , ( ϑ 2 , θ 2 , ϕ 2 ) B . For all z [ 0 , T ] , we consider
| W 1 ( ϑ 1 , θ 1 , ϕ 1 ) ( z ) W 1 ( ϑ 2 , θ 2 , ϕ 2 ) ( z ) | σ Γ ( ρ ) 0 z ( z s ) ρ 1 s σ 1 × f ( s , ϑ 1 ( s ) , θ 1 ( s χ 1 ( s ) ) , ϕ 1 ( s χ 1 ( s ) ) ) f ( s , ϑ 2 ( s ) , θ 2 ( s χ 1 ( s ) ) , ϕ 2 ( s χ 1 ( s ) ) ) d s .
Using the Lipschitz condition (A2), we have
| W 1 ( ϑ 1 , θ 1 , ϕ 1 ) ( z ) W 1 ( ϑ 2 , θ 2 , ϕ 2 ) ( z ) | σ L f Γ ( ρ ) 0 z ( z s ) ρ 1 s σ 1 × | ϑ 1 ( s ) ϑ 2 ( s ) | + | θ 1 ( s χ 1 ( s ) ) θ 2 ( s χ 1 ( s ) ) | + | ϕ 1 ( s χ 1 ( s ) ) ϕ 2 ( s χ 1 ( s ) ) | d s .
Taking the maximum over z [ 0 , T ] and using the norm definition ( ϑ , θ , ϕ ) B = sup z [ δ , T ] { | ϑ ( z ) | , | θ ( z ) | , | ϕ ( z ) | } , we get the following:
W 1 ( ϑ 1 , θ 1 , ϕ 1 ) W 1 ( ϑ 2 , θ 2 , ϕ 2 ) B 2 σ L f Γ ( ρ ) 0 T ( T s ) ρ 1 s σ 1 d s · ( ϑ 1 ϑ 2 , θ 1 θ 2 , ϕ 1 ϕ 2 ) B .
Now, using the identity
0 T ( T s ) ρ 1 s σ 1 d s = T ρ + σ 1 · β ( σ , ρ ) = T ρ + σ 1 · Γ ( σ ) Γ ( ρ ) Γ ( ρ + σ ) ,
we get
W 1 ( ϑ 1 , θ 1 , ϕ 1 ) W 1 ( ϑ 2 , θ 2 , ϕ 2 ) B 2 σ L f Γ ( σ ) Γ ( ρ + σ ) T ρ + σ 1 · ( ϑ 1 ϑ 2 , θ 1 θ 2 , ϕ 1 ϕ 2 ) B .
Similarly,
W 2 ( θ 1 , ϕ 1 , ϑ 1 ) W 2 ( θ 2 , ϕ 2 , ϑ 2 ) B 2 σ L g Γ ( σ ) Γ ( ρ + σ ) T ρ + σ 1 · ( θ 1 θ 2 , ϕ 1 ϕ 2 , ϑ 1 ϑ 2 ) B ,
and
W 3 ( ϕ 1 , θ 1 , ϑ 1 ) W 3 ( ϕ 2 , θ 2 , ϑ 2 ) B 2 σ L h Γ ( σ ) Γ ( ρ + σ ) T ρ + σ 1 · ( ϕ 1 ϕ 2 , ϑ 1 ϑ 2 , θ 1 θ 2 ) B .
Thus, combining the three yields the following:
W ( ϑ 1 , θ 1 , ϕ 1 ) W ( ϑ 2 , θ 2 , ϕ 2 ) B 2 σ ( L f + L g + L h ) Γ ( σ ) Γ ( ρ + σ ) T ρ + σ 1 · ( ϑ 1 ϑ 2 , θ 1 θ 2 , ϕ 1 ϕ 2 ) B .
If
2 σ ( L f + L g + L h ) Γ ( σ ) Γ ( ρ + σ ) T ρ + σ 1 < 1 ,
then W is a contraction on B .
By the Banach Fixed Point Theorem, W admits a unique fixed point in B , which corresponds to a unique solution of the triply coupled system. □

4. Stability Analysis

Here, we perform a stability analysis of the cyclic coupled system (1) and (2), with time-dependent delays. In particular, we analyze the stability in the sense of Hyers–Ulam stability. This concept of stability has proven effective in examining perturbations of solutions in both linear and nonlinear settings.
Let ( ϑ ˜ ( z ) , ϕ ˜ ( z ) ) be an approximate solution of (1) and (2), satisfying the following inequalities:
D z ρ , σ FFC ϑ ˜ ( z ) f z , ϑ ˜ ( z ) , θ ˜ ( z χ 1 ( z ) ) , ϕ ˜ ( z χ 1 ( z ) ) ϵ 1 , D z ρ , σ FFC θ ˜ ( z ) h z , θ ˜ ( z ) , ϕ ˜ ( z χ 3 ( z ) ) , ϑ ˜ ( z χ 3 ( z ) ) ϵ 2 , , D z ρ , σ FFC ϕ ˜ ( z ) g z , ϕ ˜ ( z ) , ϑ ˜ ( z χ 2 ( z ) ) , θ ˜ ( z χ 2 ( z ) ) ϵ 3 ,
for all z [ 0 , T ] , where ϵ 1 , ϵ 2 , ϵ 3 > 0 are perturbation constants. The following definition is adopted from [22].
Definition 3. 
The triply coupled system (1) and (2) is said to be Hyers–Ulam (HU)-stable if there exists a unique exact solution ( ϑ ( z ) , θ ( z ) , ϕ ( z ) ) such that
ϑ ˜ ( z ) ϑ ( z ) C 1 ϵ 1 , θ ˜ ( z ) θ ( z ) C 2 ϵ 2 , ϕ ˜ ( z ) ϕ ( z ) C 3 ϵ 3 ,
for all z [ 0 , T ] , where C 1 , C 2 , C 3 > 0 are constants that are independent of ϵ 1 , ϵ 2 , and ϵ 3 .
Remark 1. 
( ϑ ˜ ( z ) , θ ˜ ( z ) , ϕ ˜ ( z ) ) is a solution to the set of inequalities (6) if there exist continuous perturbation functions 1 , 2 , 3 C ( [ 0 , T ] , R ) depending on ϑ, θ and ϕ such that
(i)
The perturbation functions are uniformly bounded:
| 1 ( z ) | ε 1 , | 2 ( z ) | ε 2 , | 3 ( z ) | ε 3 , for all z [ 0 , T ] ,
for some ε 1 , ε 2 , ε 3 > 0 .
(ii)
D z ρ , σ FFC ϑ ˜ ( z ) = f z , ϑ ˜ ( z ) , θ ˜ ( z χ 1 ( z ) ) , ϕ ˜ ( z χ 1 ( z ) ) + 1 ( z ) , D z ρ , σ FFC ϕ ˜ ( z ) = g z , θ ˜ ( z ) , ϕ ˜ ( z χ 2 ( z ) ) , ϑ ˜ ( z χ 2 ( z ) ) + 2 ( z ) , D z ρ , σ FFC ϕ ˜ ( z ) = h z , ϕ ˜ ( z ) , ϑ ˜ ( z χ 3 ( z ) ) , θ ˜ ( z χ 3 ( z ) ) + 3 ( z ) .
Using Remark 1, we obtain the following problem with small perturbation functions:
D z ρ , σ FFC ϑ ˜ ( z ) = f z , ϑ ˜ ( z ) , θ ˜ ( z χ 1 ( z ) ) , ϕ ˜ ( z χ 1 ( z ) ) + 1 ( z ) , D z ρ , σ FFC θ ˜ ( z ) = g z , θ ˜ ( z ) , ϕ ˜ ( z χ 2 ( z ) ) , ϑ ˜ ( z χ 2 ( z ) ) + 2 ( z ) , D z ρ , σ FFC ϕ ˜ ( z ) = h z , ϕ ˜ ( z ) , ϑ ˜ ( z χ 3 ( z ) ) , θ ˜ ( z χ 3 ( z ) ) + 3 ( z ) ,
subject to the initial conditions:
ϑ ˜ ( z ) = F 1 ( z ) , z [ δ , 0 ] , θ ˜ ( z ) = F 2 ( z ) , z [ δ , 0 ] , ϕ ˜ ( z ) = F 3 ( z ) , z [ δ , 0 ] ,
with
δ = max sup z [ 0 , T ] χ 1 ( z ) , sup z [ 0 , T ] χ 2 ( z ) , sup z [ 0 , T ] χ 3 ( z ) .
The solution to problem (9) is given by
ϑ ˜ ( z ) = F 1 ( 0 ) + σ Γ ( ρ ) 0 z ( z s ) ρ 1 s σ 1 f s , ϑ ˜ ( s ) , θ ˜ ( s χ 1 ( s ) ) ϕ ˜ ( s χ 1 ( s ) ) d s + σ Γ ( ρ ) 0 z ( z s ) ρ 1 s σ 1 1 ( z ) d s , θ ˜ ( z ) = F 2 ( 0 ) + σ Γ ( ρ ) 0 z ( z s ) ρ 1 s σ 1 g s , θ ˜ ( s ) , ϕ ˜ ( s χ 2 ( s ) ) , ϑ ˜ ( s χ 2 ( s ) ) d s + σ Γ ( ρ ) 0 z ( z s ) ρ 1 s σ 1 2 ( z ) d s , ϕ ˜ ( z ) = F 3 ( 0 ) + σ Γ ( ρ ) 0 z ( z s ) ρ 1 s σ 1 h s , ϕ ˜ ( s ) , ϑ ˜ ( s χ 3 ( s ) ) , θ ˜ ( s χ 3 ( s ) ) d s + σ Γ ( ρ ) 0 z ( z s ) ρ 1 s σ 1 3 ( z ) d s .
Theorem 4. 
Let (A1)(A3) hold true and suppose that f and g satisfy the Lipschitz conditions in (A2). If
2 σ ( L f + L g + L h ) Γ ( σ ) Γ ( ρ + σ ) T ρ + σ 1 < 1 ,
then the triply coupled system (1) and (2) with time-dependent delays is HU-stable.
Proof. 
Let ( ϑ ˜ ( z ) , θ ˜ ( z ) , ϕ ˜ ( z ) ) be any solution and ( ϑ ( z ) , θ ( z ) , ϕ ( z ) ) be the unique solution to the triply coupled system (1) and (2). Then, for all z [ 0 , T ] , we have
| ( ϑ ˜ ( z ) , θ ˜ ( z ) , ϕ ˜ ( z ) ) ( ϑ ( z ) , θ ( z ) , ϕ ( z ) ) | σ Γ ( ρ ) 0 z ( z s ) ρ 1 s σ 1 × | f ( s , ϑ ˜ ( s ) , θ ˜ ( s χ 1 ( s ) ) , ϕ ˜ ( s χ 1 ( s ) ) ) f ( s , ϑ ( s ) , θ ( s χ 1 ( s ) ) , ϕ ( s χ 1 ( s ) ) ) | d s + σ Γ ( ρ ) 0 z ( z s ) ρ 1 s σ 1 | 1 ( z ) | d s .
From Theorem 3 and Remark 1, we obtain the following:
( ϑ ˜ , θ ˜ , ϕ ˜ ) ( ϑ , θ , ϕ ) B 2 σ L f Γ ( σ ) Γ ( ρ + σ ) T ρ + σ 1 ( ϑ ˜ , θ ˜ , ϕ ˜ ) ( ϑ , θ , ϕ ) B + σ Γ ( σ ) Γ ( ρ + σ ) T ρ + σ 1 ε 1 .
This implies that
( ϑ ˜ , θ ˜ , ϕ ˜ ) ( ϑ , θ , ϕ ) B σ Γ ( σ ) Γ ( ρ + σ ) T ρ + σ 1 1 2 σ L f Γ ( σ ) Γ ( ρ + σ ) T ρ + σ 1 ε 1 = : C 1 ε 1 .
Similarly, for function g, we obtain
( θ ˜ , ϕ ˜ , ϑ ˜ ) ( θ , ϕ , ϑ ) B σ Γ ( σ ) Γ ( ρ + σ ) T ρ + σ 1 1 2 σ L g Γ ( σ ) Γ ( ρ + σ ) T ρ + σ 1 ε 2 = : C 2 ε 2 ,
and for function h, we obtain
( ϕ ˜ , ϑ ˜ , θ ˜ ) ( ϕ , ϑ , θ ) B σ Γ ( σ ) Γ ( ρ + σ ) T ρ + σ 1 1 2 σ L h Γ ( σ ) Γ ( ρ + σ ) T ρ + σ 1 ε 3 = : C 3 ε 3 .
Let ε = max ( ε 1 , ε 2 , ε 3 ) . Then,
( ϑ ˜ , θ ˜ , ϕ ˜ ) ( ϑ , θ , ϕ ) B C ε ,
where
C = σ Γ ( σ ) Γ ( ρ + σ ) T ρ + σ 1 1 2 σ ( L f + L g + L h ) Γ ( σ ) Γ ( ρ + σ ) T ρ + σ 1 .
Hence, the triply coupled system (1) and (2) with time-dependent delays is HU-stable if
2 σ ( L f + L g + L h ) Γ ( σ ) Γ ( ρ + σ ) T ρ + σ 1 < 1 .

5. Numerical Schemes

Here, we present a numerical approach for the time-varying delays problem by employing the ABM along with Lagrangian piecewise interpolation [24]. This numerical method has been widely used for approximating solutions to nonlinear fractal–fractional order problems in many mathematical models.
The integral formulation of the considered model, at z = z r + 1 [ 0 , T ] , is presented as
ϑ r + 1 = ϑ ( 0 ) + σ Γ ( ρ ) 0 z r + 1 s σ 1 ( z r + 1 s ) ρ 1 f s , ϑ ( s ) , θ χ 1 ( s ) , ϕ χ 1 ( s ) d s , θ r + 1 = θ ( 0 ) + σ Γ ( ρ ) 0 z r + 1 s σ 1 ( z r + 1 s ) ρ 1 g s , θ ( s ) , ϕ χ 2 ( s ) , ϑ χ 2 ( s ) d s , ϕ r + 1 = ϕ ( 0 ) + σ Γ ( ρ ) 0 z r + 1 s σ 1 ( z r + 1 s ) ρ 1 h s , ϕ ( s ) , ϑ χ 3 ( s ) , θ χ 3 ( s ) d s .
For z r + 1 [ 0 , T ] , approximating the system of Equation (12) yields
ϑ r + 1 = ϑ ( 0 ) + σ Γ ( ρ ) ϑ = 0 r t ϑ z r + 1 s σ 1 ( z r + 1 s ) ρ 1 f s , ϑ ( s ) , θ χ 1 ( s ) , ϕ χ 1 ( s ) d s , θ r + 1 = θ ( 0 ) + σ Γ ( ρ ) ϑ = 0 r t ϑ z r + 1 s σ 1 ( z r + 1 s ) ρ 1 g s , θ ( s ) , ϕ χ 2 ( s ) , ϑ χ 2 ( s ) d s , ϕ r + 1 = ϕ ( 0 ) + σ Γ ( ρ ) ϑ = 0 r t ϑ z r + 1 s σ 1 ( z r + 1 s ) ρ 1 h s , ϕ ( s ) , ϑ χ 3 ( s ) , θ χ 3 ( s ) d s .
To approximate the kernels within the integrals, we employ Lagrangian polynomial piecewise interpolation on the interval [ z r , z r + 1 ] , as given by
Υ r ( s ) = s z r 1 z r z r 1 z r σ 1 f z r , ϑ r , θ χ 1 r , ϕ χ 1 r , s z r z r z r 1 z r 1 σ 1 f z r 1 , ϑ r 1 , θ χ 1 r 1 , ϕ χ 1 r 1 , Φ r ( s ) = s z r 1 z r z r 1 z r σ 1 g z r , θ r , ϕ χ 2 r , ϑ χ 2 r , s z r z r z r 1 z r 1 σ 1 g z r 1 , θ r 1 , ϕ χ 2 r 1 , ϑ χ 2 r 1 , Ψ r ( s ) = s z r 1 z r z r 1 z r σ 1 h z r , ϕ r , ϑ χ 3 r , θ χ 3 r , s z r z r z r 1 z r 1 σ 1 h z r 1 , ϕ r 1 , ϑ χ 3 r 1 , θ χ 3 r 1 .
Using these approximations in the system (13), we obtain
ϑ r + 1 = ϑ ( 0 ) + σ Γ ( ρ ) ϑ = 0 r t ϑ z r + 1 s σ 1 ( z r + 1 s ) ρ 1 Υ r ( s ) d s , z r + 1 [ 0 , T ] , θ r + 1 = θ ( 0 ) + σ Γ ( ρ ) ϑ = 0 r t ϑ z r + 1 s σ 1 ( z r + 1 s ) ρ 1 Φ r ( s ) d s , z r + 1 [ 0 , T ] , ϕ r + 1 = ϕ ( 0 ) + σ Γ ( ρ ) ϑ = 0 r t ϑ z r + 1 s σ 1 ( z r + 1 s ) ρ 1 Ψ r ( s ) d s , z r + 1 [ 0 , T ] .
Piecewise interpolation using Lagrangian polynomial, followed by integration, gives the scheme for the numerical solution to the considered problem as follows:
ϑ r + 1 = ϑ ( 0 ) + σ Δ ρ Γ ( ρ + 2 ) = 1 r [ z σ 1 f z , ϑ , θ χ 1 , ϕ χ 1 ( ( r + 1 ) ρ ( r + 2 + ρ ) ( r ) ρ ( r + 2 + 2 ρ ) ) z 1 σ 1 f z 1 , ϑ 1 , θ χ 1 1 , ϕ χ 1 1 × ( r + 1 ) ρ 1 ( r ) ρ ( r + 1 + ρ ) ] ; z , z 1 [ 0 , T ] , θ r + 1 = θ ( 0 ) + σ Δ ρ Γ ( ρ + 2 ) = 1 r [ z σ 1 g z , θ , ϑ χ 2 , ϕ χ 2 ( ( r + 1 ) ρ ( r + 2 + ρ ) ( r ) ρ ( r + 2 + 2 ρ ) ) z 1 σ 1 g z 1 , θ 1 , ϑ χ 2 1 , ϕ χ 2 1 × ( r + 1 ) ρ 1 ( r ) ρ ( r + 1 + ρ ) ] ; z , z 1 [ 0 , T ] , ϕ r + 1 = ϕ ( 0 ) + σ Δ ρ Γ ( ρ + 2 ) = 1 r [ z σ 1 h z , ϕ , ϑ χ 3 , θ χ 3 ( ( r + 1 ) ρ ( r + 2 + ρ ) ( r ) ρ ( r + 2 + 2 ρ ) ) z 1 σ 1 h z 1 , ϕ 1 , ϑ χ 3 1 , θ χ 3 1 × ( r + 1 ) ρ 1 ( r ) ρ ( r + 1 + ρ ) ] ; z , z 1 [ 0 , T ] ,

6. Numerical Application

This section is further divided into two subsections. In the first subsection, we apply our theoretical results to a general triply coupled system of DEs with time-dependent delays. In the second subsection, we apply the concept of time-varying delays to a real-world model of a three-species food-chain. Numerical simulations are performed using the extended ABM numerical method and MATLAB R2024a.

6.1. A General Triply Coupled System of DEs with Time-Dependent Delays

In this subsection, we consider a triply coupled system of DEs with time-dependent delays in the FFC sense:
D z 2 5 , 1 10 FFC ϑ ( z ) = 0.05 ϑ ( z ) 1 + z 2 + ϑ 2 ( z ) + 0.01 θ ( z χ 1 ( z ) ) 1 + θ 2 ( z χ 2 ( z ) ) + 0.01 ϕ ( z χ 1 ( z ) ) 1 + ϕ 2 ( z χ 2 ( z ) ) , D z 1 2 , 9 10 FFC ϑ ( z ) = 1 10 cos ( θ ( z ) ) 1 + z 2 + sin ( ϕ ( z χ 2 ( z ) ) ) 1 + ϕ 2 ( z χ 2 ( z ) ) + sin ( ϑ ( z χ 1 ( z ) ) ) 1 + ϑ 2 ( z χ 1 ( z ) ) , D z 3 5 , 1 5 FFC ϑ ( z ) = 1 10 ϕ ( z ) 1 + z 2 + ϕ 2 ( z ) + ϑ ( z χ 2 ( z ) ) 1 + ϑ 2 ( z χ 1 ( z ) ) + cos ( θ ( z χ 2 ( z ) ) ) 1 + θ 2 ( z χ 2 ( z ) ) ,
with the following initial conditions:
ϑ ( z ) = 0.5 + 0.1 sin ( 2 π z ) , θ ( z ) = 0.3 + 0.1 cos ( 2 π z ) , ϕ ( z ) = 0.05 + 0.1 cos ( 2 π z ) , for z [ δ , 0 ] ,
where
χ 1 ( z ) = 0.1 z , χ 2 ( z ) = 0.05 z , δ = max z [ 0 , T ] { χ 1 ( z ) , χ 2 ( z ) } .
We set
f ( z , ϑ , θ , ϕ ) = 0.05 ϑ 1 + z 2 + ϑ 2 + 0.01 θ 1 + θ 2 + 0.01 ϕ 1 + ϕ 2 , g ( z , θ , ϕ , ϑ ) = 1 10 cos ( θ ) 1 + z 2 + sin ( ϕ ) 1 + ϕ 2 + sin ( ϑ ) 1 + ϑ 2 , h ( z , ϕ , ϑ , θ ) = 1 10 ϕ 1 + z 2 + ϕ 2 + ϑ 1 + ϑ 2 + cos ( θ ) 1 + θ 2 .
First, we estimate the Lipschitz constants for f:
0.05 ϑ 1 1 + z 2 + ϑ 1 2 0.05 ϑ 2 1 + z 2 + ϑ 2 2 0.05 | ϑ 1 ϑ 2 | , 0.01 θ 1 1 + θ 1 2 0.01 θ 2 1 + θ 2 2 0.01 | θ 1 θ 2 | , 0.01 ϕ 1 1 + ϕ 1 2 0.01 ϕ 2 1 + ϕ 2 2 0.01 | ϕ 1 ϕ 2 | .
L f = 0.05 + 0.01 + 0.01 = 0.07 .
Similarly, for g, we estimate the Lipschitz constants as
cos ( θ 1 ) cos ( θ 2 ) 1 + z 2 | θ 1 θ 2 | 1 + z 2 | θ 1 θ 2 | ,
sin ( ϕ 1 ) 1 + ϕ 1 2 sin ( ϕ 2 ) 1 + ϕ 2 2 0.1 | ϕ 1 ϕ 2 | , sin ( ϑ 1 ) 1 + ϑ 1 2 sin ( ϑ 2 ) 1 + ϑ 2 2 0.1 | ϑ 1 ϑ 2 | .
L g = 1 10 ( 1 + 0.1 + 0.1 ) = 0.12 .
And for h, the Lipschitz constants are estimated as
ϕ 1 1 + z 2 + ϕ 1 2 ϕ 2 1 + z 2 + ϕ 2 2 | ϕ 1 ϕ 2 | ,
ϑ 1 1 + ϑ 1 2 ϑ 2 1 + ϑ 2 2 0.5 | ϑ 1 ϑ 2 | , cos ( θ 1 ) 1 + θ 1 2 cos ( θ 2 ) 1 + θ 2 2 0.5 | θ 1 θ 2 | .
L h = 1 10 ( 1 + 0.5 + 0.5 ) = 0.2 .
Using the condition of
σ ( L f + L g + L h ) Γ ( σ ) Γ ( ρ + σ ) T ρ + σ 1 ,
for σ = 0.1 , ρ = 0.4 , and T = 1 :
0.1 ( 0.07 + 0.12 + 0.2 ) Γ ( 0.1 ) Γ ( 0.5 ) T 0.5 = 0.1 · 0.39 · 9.5135 1.7725 0.371 1.7725 0.209 < 1 .
Therefore, applying Theorem 3, it is guaranteed that (17) has a unique solution.

6.2. Application to Three-Species Food-Chain Model

In this subsection, we apply the concept of time-dependent delays to a real-world model of a three-species food-chain.
We consider a three-species food-chain model with the lowest trophic level ϑ ( z ) , the middle trophic level θ ( z ) , and the highest trophic level ϕ ( z ) . The governing system is given by the fractional differential equations with time-dependent delays:
D z q ϑ ( z ) = p ϑ ( z ) ξ 1 ϑ ( z ) K ς θ ( z χ θ ( z ) ) 1 + a ϑ ( z ) , D z q θ ( z ) = p θ ( z ) θ + b ς ϑ ( z χ ϑ ( z ) ) 1 + a ϑ ( z χ ϑ ( z ) ) ε ϕ ( z χ ϕ ( z ) ) , D z q ϕ ( z ) = p ϕ ( z ) ϑ + c ε θ ( z χ θ ( z ) ) .
The time-dependent delays are given by
χ ϑ ( z ) = 0.1 sin ( 0.01 z ) + 0.2 , χ θ ( z ) = 0.1 cos ( 0.01 z ) + 0.2 , χ ϕ ( z ) = 0.05 sin ( 0.005 z ) + 0.1 .
The parameter values used in the numerical simulations of the application model are listed in Table 1.
The initial conditions for z 0 are given by the history functions:
ϑ ( z ) = 0.6 + 0.1 sin ( z ) , θ ( z ) = 0.12 + 0.01 cos ( z ) , ϕ ( z ) = 0.006 + 0.001 sin ( z ) .
In addition to the existing literature on fractional-order food-chain models, we note the closely related study by Das and Samanta [29], where a delayed fractional-order food-chain model with fear effects and prey refuge was investigated. Their work focuses primarily on ecological extensions through the incorporation of behavioral factors such as fear and refuge, while the delay considered is constant. By contrast, the present study develops a more general theoretical framework by incorporating time-dependent delays within the setting of fractal–fractional Caputo differential equations. Furthermore, our approach is not restricted to ecological dynamics but can be adapted to other applied domains, such as disease modeling and population dynamics in health sciences. From the numerical perspective, while our examples are less complex than those in [29], they are intentionally chosen to demonstrate the feasibility and robustness of the newly developed theoretical framework. Extending this analysis to richer ecological settings remains a promising avenue for future research.
The proposed model example is simulated for multiple cases:
( q , p ) { ( 0.20 , 0.20 ) , ( 0.60 , 0.40 ) , ( 0.90 , 0.80 ) } .
First, we analyze the effects of time-varying delays on the lowest, middle, and highest trophic species.
From the plots in Figure 1, Figure 2 and Figure 3, we observe that both cases—without delays (blue solid line) and with time-dependent delays (red dashed line)—exhibit similar qualitative dynamics. Starting from the same initial condition, the solutions undergo oscillations before eventually converging to the steady-state value of 0.945 . We observe that the oscillations in the delayed case show slightly higher amplitudes during certain cycles (e.g., around t 60 and t 98 ). This suggests that time-dependent delays add small perturbations to the transient dynamics.
It can be observed that the presence of time-dependent delays does not destabilize the system. Both cases dampen oscillations at a similar rate, and the steady-state value is unchanged, meaning that the long-term equilibrium is robust to such delays.
The main visible effects are a subtle shift and amplitude modulation in the oscillations during the transient phase; however, the asymptotic behavior remains essentially the same.
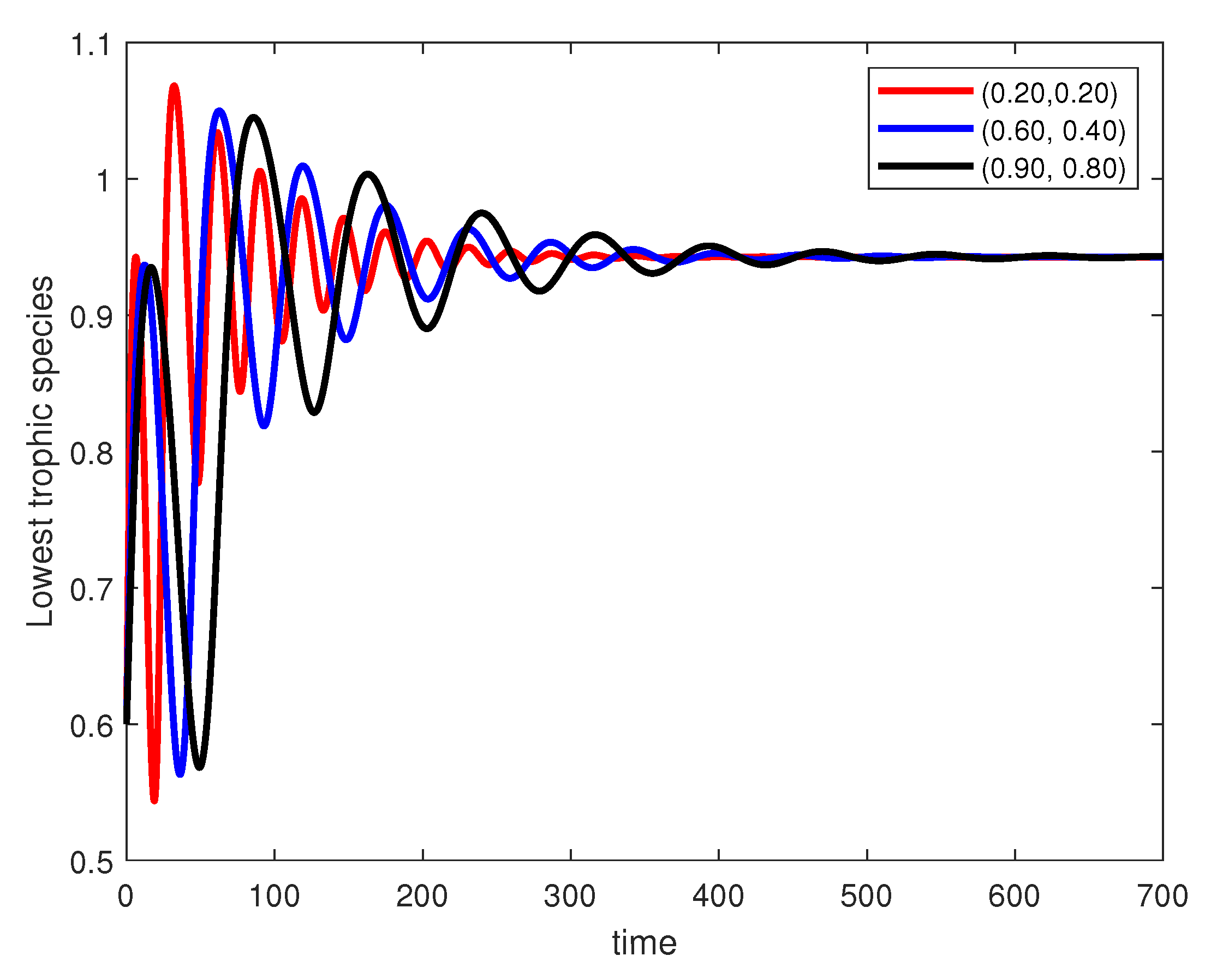
In the following figures, we analyze the impact of fractal–fractional order values on dynamical behaviors of the lowest, middle, and highest trophic species.
From Figure 4, we observe dampened oscillatory growth toward a steady state, with lower fractional orders and fractal dimensions leading to faster stabilization. From Figure 5, we can observe that the middle trophic species exhibits predator–prey-type oscillations that decay over time. Lower fractional orders and fractal dimensions again smooth out dynamics faster. Similarly, in Figure 6, the highest trophic species follow similar delayed oscillatory patterns before stabilizing.

Discussion of Numerical Method’s Limitations

In this study, we employ the Adams–Bashforth method (ABM), an explicit multi-step scheme, to approximate the solutions of the fractal–fractional Caputo system with time-dependent delays. Although the method is straightforward to implement and computationally efficient, it also presents certain limitations. In particular, explicit schemes are prone to stability issues in stiff systems and may perform poorly in high-dimensional models with strong nonlinear interactions. Furthermore, achieving satisfactory accuracy requires the use of small step sizes, which increases computational costs. These limitations point to the need for future research on more robust numerical techniques. Potential directions include implicit predictor–corrector methods, adaptive-step solvers, and exponential integrators, which may provide improved stability and efficiency for large-scale or stiff problems.

7. Conclusions

In this study, we developed and analyzed a triply coupled system of fractal–fractional Caputo differential equations with time-dependent delays. This framework provides a more realistic representation of dynamical processes with evolving memory and delay effects. The theoretical analysis confirmed the existence, uniqueness, and HU stability of the solutions.
The proposed ABM scheme effectively approximated the intricate dynamics of the system. Numerical simulations, including a three-species food-chain model, revealed that incorporating time-dependent delays can significantly alter system behavior compared with systems without delays. These results highlight the importance of time-dependent delays in modeling real-world phenomena.
Overall, this study contributes to a deeper understanding of fractional-order systems with dynamic memory effects and opens new directions for future research in nonlinear dynamical modeling with time-dependent delays.

Author Contributions

Methodology, L.M.A. and A.A. (Alawia Adam); Validation, L.M.A. and K.A.; Formal analysis, F.G. and A.A. (Arshad Ali); Investigation, A.A. (Alawia Adam) and M.M.R.; Resources, K.A. and A.K.; Writing—original draft preparation, A.A. (Arshad Ali); Writing—review and editing, A.K., A.A. (Alawia Adam) and K.A.; Visualization, F.G. and M.M.R.; Project administration, K.A. All authors have read and agreed to the published version of the manuscript.

Funding

This work was supported and funded by the Deanship of Scientific Research at Imam Mohammad Ibn Saud Islamic University (IMSIU) (grant number IMSIU-DDRSP2502).

Data Availability Statement

All data is included in paper.

Conflicts of Interest

The authors declare no conflicts of interest.

References

  1. Cushing, J.M. Integrodifferential Equations and Delay Models in Population Dynamics; Springer: Berlin/Heidelberg, Germany, 2013; Volume 20. [Google Scholar]
  2. MacDonald, N. Time Lags in Biological Models; Lecture Notes in Biomathematics; Springer: Berlin/Heidelberg, Germany, 1978; Volume 27. [Google Scholar]
  3. Gopalsamy, K. Stability and Oscillations in Delay Differential Equations of Population Dynamics; Springer: Berlin/Heidelberg, Germany, 2013; Volume 74. [Google Scholar]
  4. Kuang, Y. Delay Differential Equations with Applications in Population Dynamics; Academic Press: New York, NY, USA, 1993. [Google Scholar]
  5. Shah, K.; Sher, M.; Sarwar, M.; Abdeljawad, T. Analysis of a nonlinear problem involving discrete and proportional delay with application to houseflies model. AIMS Math. 2024, 9, 7321–7339. [Google Scholar] [CrossRef]
  6. Ruan, S. Delay differential equations in single species dynamics. In Delay Differential Equations and Applications; Arino, O., Hbid, M.L., Dads, E.A., Eds.; Springer: Dordrecht, The Netherlands, 2006; pp. 477–517. [Google Scholar]
  7. Rihan, F.A. Delay Differential Equations and Applications to Biology; Springer: Singapore, 2021. [Google Scholar]
  8. Cooke, K.L.; Yorke, J.A. Some equations modelling growth processes and gonorrhea epidemics. Math. Biosci. 1973, 16, 75–101. [Google Scholar] [CrossRef]
  9. Podlubny, I. Fractional Differential Equations; Academic Press: San Diego, CA, USA, 1999. [Google Scholar]
  10. Samko, S.G.; Kilbas, A.A.; Marichev, O.I. Fractional Integrals and Derivatives: Theory and Applications; Gordon and Breach: Amsterdam, The Netherlands, 1993. [Google Scholar]
  11. Alazopoulos, K.A. Non-local continuum mechanics and fractional calculus. Mech. Res. Commun. 2006, 33, 753–757. [Google Scholar] [CrossRef]
  12. Atangana, A. Fractal-fractional differentiation and integration: Connecting fractal calculus and fractional calculus to predict complex systems. Chaos Solitons Fractals 2017, 102, 396–406. [Google Scholar] [CrossRef]
  13. Aldwoah, K.A.; Almalahi, M.A.; Hleili, M.; Alqarni, F.A.; Aly, E.S.; Shah, K. Analytical study of a modified-ABC fractional order breast cancer model. J. Appl. Math. Comput. 2024, 70, 3685–3716. [Google Scholar] [CrossRef]
  14. Khan, H.; Alzabut, J.; Shah, A.; He, Z.; Etemad, S.; Rezapour, S.; Zada, A. On fractal-fractional waterborne disease model: A study on theoretical and numerical aspects of solutions via simulations. Fractals 2023, 31, 2340055. [Google Scholar] [CrossRef]
  15. Hamza, A.E.; Osman, O.; Ali, A.; Alsulami, A.; Aldwoah, K.; Mustafa, A.; Saber, H. Fractal-fractional-order modeling of liver fibrosis disease and its mathematical results with subinterval transitions. Fractal Fract. 2024, 8, 638. [Google Scholar] [CrossRef]
  16. Alraqad, T.; Almalahi, M.A.; Mohammed, N.; Alahmade, A.; Aldwoah, K.A. Modeling Ebola dynamics with a Φ-piecewise hybrid fractional derivative approach. Fractal Fract. 2024, 8, 596. [Google Scholar] [CrossRef]
  17. Tahara, T.; Gavina, M.K.A.; Kawano, T.; Tubay, J.M.; Rabajante, J.F.; Itom, H.; Morita, S.; Ichinose, G.; Okabe, T.; Togashi, T. Asymptotic stability of a modified Lotka–Volterra model with small immigrations. Sci. Rep. 2018, 8, 7029. [Google Scholar] [CrossRef] [PubMed]
  18. Ali, A.; Bibi, F.; Ali, Z.; Shah, K.; Abdalla, B.; Abdeljawad, T. Investigation of existence and Ulam’s type stability for coupled fractal fractional differential equations. Eur. J. Pure Appl. Math. 2025, 18, 5963. [Google Scholar] [CrossRef]
  19. Li, M.; Liu, Y. Existence and uniqueness of positive solutions for a coupled system of nonlinear fractional differential equations. Open J. Appl. Sci. 2013, 3, 53–61. [Google Scholar] [CrossRef]
  20. Houas, M.; Dahmani, Z. New results for a coupled system of fractional differential equations. Facta Univ. Ser. Math. Inform. 2013, 28, 133–150. [Google Scholar]
  21. Madani, Y.A.; Rabih, M.N.A.; Alqarni, F.A.; Ali, Z.; Aldwoah, K.A.; Hleili, M. Existence, uniqueness, and stability of a nonlinear tripled fractional order differential system. Fractal Fract. 2024, 8, 416. [Google Scholar] [CrossRef]
  22. Algolam, M.S.; Osman, O.; Ali, A.; Mustafa, A.; Aldwoah, K.; Alsulami, A. Fixed point and stability analysis of a tripled system of nonlinear fractional differential equations with n-nonlinear terms. Fractal Fract. 2024, 8, 697. [Google Scholar] [CrossRef]
  23. Schaefer, H. Über die Methode der a Priori-Schranken. Math. Ann. 1955, 129, 415–416. [Google Scholar] [CrossRef]
  24. Khan, M.A.; Atangana, A. Numerical Methods for Fractal-Fractional Differential Equations and Engineering Simulations and Modeling; CRC Press: Boca Raton, FL, USA, 2023. [Google Scholar]
  25. Djilali, S.; Cattani, C.; Guin, L.N. Delayed predator–prey model with prey social behavior. Eur. Phys. J. Plus 2021, 136, 1–20. [Google Scholar] [CrossRef]
  26. Khajanchi, S. Dynamic behavior of a Beddington–DeAngelis type stage structured predator–prey model. Appl. Math. Comput. 2014, 244, 344–360. [Google Scholar] [CrossRef]
  27. Panday, P.; Pal, N.; Samanta, S.; Tryjanowski, P.; Chattopadhyay, J. Dynamics of a stage-structured predator–prey model: Cost and benefit of fear-induced group defense. J. Theor. Biol. 2021, 528, 110846. [Google Scholar] [CrossRef] [PubMed]
  28. Kaushik, R.; Banerjee, S. Predator–prey system: Prey’s counter-attack on juvenile predators shows opposite side of the same ecological coin. Appl. Math. Comput. 2021, 388, 125530. [Google Scholar] [CrossRef]
  29. Das, M.; Samanta, G.P. A delayed fractional order food chain model with fear effects and prey refuge. Math. Comput. Simul. 2020, 178, 218–245. [Google Scholar] [CrossRef]
Figure 1. Effects of time-dependent delays on lowest trophic species.
Figure 1. Effects of time-dependent delays on lowest trophic species.
Fractalfract 09 00651 g001
Figure 2. Effects of time-dependent delays on middle trophic species.
Figure 2. Effects of time-dependent delays on middle trophic species.
Fractalfract 09 00651 g002
Figure 3. Effects of time-dependent delays on highest trophic species.
Figure 3. Effects of time-dependent delays on highest trophic species.
Fractalfract 09 00651 g003
Figure 4. Impacts of fractal–fractional order values on dynamical behavior of lowest trophic species over time z.
Figure 4. Impacts of fractal–fractional order values on dynamical behavior of lowest trophic species over time z.
Fractalfract 09 00651 g004
Figure 5. Impacts of fractal–fractional order values on dynamical behavior of middle trophic level species over time z.
Figure 5. Impacts of fractal–fractional order values on dynamical behavior of middle trophic level species over time z.
Fractalfract 09 00651 g005
Figure 6. Impacts of fractal–fractional order values on dynamical behavior of highest trophic level species over time z.
Figure 6. Impacts of fractal–fractional order values on dynamical behavior of highest trophic level species over time z.
Fractalfract 09 00651 g006
Table 1. Model parameters and their values.
Table 1. Model parameters and their values.
Parameter ξ K ς a ε b θ ϑ c
Values 0.5 1.2 11 1.8 0.9 0.3 0.3 0.8
Source [25] [26] [26]assumedassumed[26][27][27][28]
Disclaimer/Publisher’s Note: The statements, opinions and data contained in all publications are solely those of the individual author(s) and contributor(s) and not of MDPI and/or the editor(s). MDPI and/or the editor(s) disclaim responsibility for any injury to people or property resulting from any ideas, methods, instructions or products referred to in the content.

Share and Cite

MDPI and ACS Style

Gassem, F.; Abdalgadir, L.M.; Ali, A.; Kamel, A.; Adam, A.; Aldwoah, K.; Rashed, M.M. Triply Coupled Systems of Differential Equations with Time-Dependent Delay and Application to Three-Species Food-Chain Dynamics. Fractal Fract. 2025, 9, 651. https://doi.org/10.3390/fractalfract9100651

AMA Style

Gassem F, Abdalgadir LM, Ali A, Kamel A, Adam A, Aldwoah K, Rashed MM. Triply Coupled Systems of Differential Equations with Time-Dependent Delay and Application to Three-Species Food-Chain Dynamics. Fractal and Fractional. 2025; 9(10):651. https://doi.org/10.3390/fractalfract9100651

Chicago/Turabian Style

Gassem, F., L. M. Abdalgadir, Arshad Ali, Alwaleed Kamel, Alawia Adam, Khaled Aldwoah, and M. M. Rashed. 2025. "Triply Coupled Systems of Differential Equations with Time-Dependent Delay and Application to Three-Species Food-Chain Dynamics" Fractal and Fractional 9, no. 10: 651. https://doi.org/10.3390/fractalfract9100651

APA Style

Gassem, F., Abdalgadir, L. M., Ali, A., Kamel, A., Adam, A., Aldwoah, K., & Rashed, M. M. (2025). Triply Coupled Systems of Differential Equations with Time-Dependent Delay and Application to Three-Species Food-Chain Dynamics. Fractal and Fractional, 9(10), 651. https://doi.org/10.3390/fractalfract9100651

Article Metrics

Back to TopTop