Abstract
This paper presents an integrated robotic trading strategy developed for the day-ahead energy market that includes different methods for time series analysis and forecasting, such as Detrended Fluctuation Analysis (DFA), Rescaled Range Analysis (R/S analysis), fractional derivatives, Long Short-Term Memory (LSTM) Networks, and Seasonal Autoregressive Integrated Moving Average (SARIMA) models. DFA and R/S analysis may capture the long-range dependencies and fractal features inherited by the nature of the electricity price time series and give information about persistence and variability in their behavior. Given this, fractional derivatives can be used to analyze price movements concerning the minor changes in price and time acceleration for that change, which makes the proposed framework more flexible for quickly changing market conditions. LSTM, from their perspective, may capture complex and non-linear dependencies, while SARIMA models may help handle seasonal trends. This integrated approach improves market signal interpretation and optimizes the market risk through adjustable stop-loss and take-profit levels which could lead to better portfolio performance. The proposed integrated strategy is based on actual data from the Bulgarian electricity market for the years 2017–2024. Findings from this research show how the combination of fractals with statistical and machine learning models can improve complex trading strategies implementation for the energy markets.
1. Introduction
The importance of day-ahead electricity prices, as they are an integral component in forecasting, derivative pricing, and risk management, calls for research into different approaches for effective analysis of market prices. Forecasting price movements in the electricity market is a serious challenge [1], as it is characterized by data intensiveness, non-stationarity, uncertainty, and hidden connections [2]. Several factors influence the energy market, such as policy change, macroeconomics, and tactical trading behavior [3]. As a result, there is a deregulated market with unstable prices, a high percentage of uncharacteristic price changes, a high level of volatility [4], a lack of regularity in supply and demand, and, in addition, the presence of seasonality. The main motive for performing price forecasting is the need to balance supply and demand, as well as to maintain a constant frequency of the electricity grid, as interruptions may occur due to seasonal weather changes, changes in economic activity, extraordinary events, and other complex factors [3,4] that change traditional models for energy production and consumption.
Sharp increases and decreases in prices [5] that lead to a state of high volatility [6] make it extremely difficult to predict market behavior. The availability of effective methods for forecasting electricity prices will support the process of targeting and addressing energy imbalances in production/consumption. Additionally, the price of fuel is another factor that needs to be considered as prices are directly impacted by the three primary fuels used to generate electricity gas, coal, and oil. Global fuel market volatility is a catalyst of electricity price change in such markets [4,5] because producers are forced to respond rapidly by adjusting prices according to fuel cost movements. This also increases the challenges of integrating more renewable energy sources. Although renewable energy production has a role in terms of sustainability benefits, it results in variability due to intermittency, where solar and wind generation depend on weather conditions [6], causing additional price volatility when the renewable output is higher or lower than expected. While renewable energy sources contribute to price volatility in the short term due to their intermittency, they also offer long-term benefits by reducing dependence on fossil fuels, which are subject to greater price fluctuations.
Electricity prices are influenced by policy and regulatory changes by leveraging existing market behavior through modifications in production costs, government interventions such as carbon pricing, incentives for renewable energy adoption, and emissions regulations [5]. The events in the political arena and market shocks, such as instability, trade barriers, and natural disasters can disturb the energy supply chain and cause sudden unpredictable fluctuations in electricity prices [3]. Finally, price volatility is also mainly affected by transmission and grid constraints. This limit in the capacity of transmission and distribution networks may also hinder electricity flow efficiently [4], leading to regional price differences and increased volatility, particularly during peak demand hours or when there is grid congestion.
In addition, global energy consumption continues to rise, driven by population growth, economic development, and expanding electrification. In 2023, the global energy mix primarily consisted of fossil fuels, such as oil, coal, and natural gas, which together accounted for over 75% of total consumption, contributing significantly to CO2 emissions. These emissions reached approximately 37.55 GTCO2 in 2023, representing a 1.1% increase compared to 2022 and underscoring the urgent need for sustainable energy solutions. Renewable energy sources, including wind and solar, are growing rapidly, yet their share remains comparatively small. These trends emphasize the critical importance of optimizing electricity markets to integrate renewables while maintaining economic and environmental balance [7] While this study primarily focuses on advancing forecasting methodologies and trading strategies for electricity markets, it is important to acknowledge that efficient market operations can indirectly contribute to environmental sustainability by optimizing resource use and reducing inefficiencies.
Due to the complexity of all these factors, the time series of electricity prices are non-linear and non-stationary, which requires appropriate forecasting methods to better manage these dynamic elements. Despite numerous studies on electricity price forecasting, existing methods often fail to address the interplay between long-term market persistence and short-term volatility. This study fills this gap by proposing a novel hybrid framework that integrates fractal-based methods with machine learning and statistical models, offering a comprehensive strategy for day-ahead market analysis. Consequently, due to the above market features, the price is both unregulated and volatile with abrupt movements making it near impossible for market participants to trace such patterns as seasonality in supply and demand [8]. Electricity price forecasting is important for all market participants, as energy traders buy electricity from producers and sell it to consumers or other market players as part of their business. Therefore, accurate short-term and long-term forecasts help these traders optimize their strategies to maximize profit and manage financial risks [5]. Power grid operators and other market participants like power producers and large industrial consumers also require accurate electricity price predictions. Reliable weather forecasts help the grid operators plan for their grid operations and load balancing to avoid power shortages or rise in surpluses; thus, the stability of the grid and efficient allocation of resource usage is maintained. Power producers use forecasts to optimize their generation schedules and match output levels with expected market prices while large consumers use the forecasts for energy usage planning to save money by moving consumption from high-price periods to low-price ones or when the prices are low use electricity storage units and storage when low market prices. Accurate forecasting methods can assist energy companies manage the imbalance in producing and consuming energy, which makes their risk management strategies optimal [6] and market operations more stable.
The complexity of electricity price forecasting has led to many approaches in the literature attempting to work around this problem. The authors of [1,2] emphasized the need for accurate short-term forecasts on daily energy demand and production and electricity prices as an essential process. For example, Ref. [2] found that financial time series forecasts could be improved using machine learning algorithms like support vector machines, a finding that also may be considered in the case of energy markets as they work with time series data. Weron [3] presented a thorough review of electricity price forecasting methods in the context of competitive markets, highlighting market challenges, price volatilities, and opportunities for improvement. Aggarwal et al. [4] discussed electricity price forecasting in liberalized markets and focused on the difficulties posed by significant volatility and the non-stationary nature of energy time series data. Advanced analytical methods, such as deep learning-based time series models and tools, are necessary to address these challenges including long-term dependencies and seasonal patterns discovery [8]. Castelli et al. [5] highlighted that modern machine learning models and recently developed techniques have demonstrated their effectiveness in contributing to improving electricity price prediction and maintaining competitiveness in the market. Mystakidis et al. [6] made an overview of the recent developments in energy forecasting algorithms and methods, as well as on deep learning or even hybrid models that could combine statistical and machine-learning techniques to invoke advanced solutions to complex energy market data. However, these approaches are limited since they may not be able to model the wide variety of dependencies and non-linearities that exist in electricity price data.
Due to these shortcomings, in this study, we propose a more comprehensive solution, using the synthesis of DFA, fractional derivatives, and LSTM networks with SARIMA models. DFA [9,10,11] relies on the self-similar property of time series data that is based on the notion of fractals first introduced by Mandelbrot; therefore, this method is used to detect long-range dependence and self-similarity property of time series data. That is why this method works much better for market behaviors that show long-term dependencies. Fractional derivatives, on the other hand, allow for a more detailed examination of aspects, such as price acceleration and deceleration, increasing the flexibility of creating new trading strategies [6,12]. Recent advancements in fractional calculus have significantly broadened its application scope. In dynamic systems, fractional derivatives have been used to model memory effects and hereditary properties effectively, offering a more flexible analytical framework compared to integer-order derivatives. Notably, applications in financial modeling have highlighted their capability to capture market dynamics, volatility clustering, and long-term dependencies, as demonstrated in [13,14]. These advancements complement our research, which leverages fractional calculus in the energy market to address the dynamic and nonlinear behavior of electricity prices. Moreover, fractional derivatives offer us a more profound understanding of time series dynamics since they measure how trends change over time, which can be important in developing adaptive strategies [12]. To further augment the forecasting framework, effectual models include LSTM networks for capturing complex non-linear relationships [15] and SARIMA models that capture seasonal trends in data [4,8].
The contribution of this paper comprises the design of an optimal strategy for analysis and price forecasting as a combination of these diverse analytical techniques to make better decisions, improve risk management and system stability, and increase portfolio performance in the energy market. This research bridges the challenges of day-ahead electricity price forecasting and trading by harnessing complementary features exhibited in fractal analysis, machine learning, and statistical models.
2. Background and Literature Review
2.1. Overview of Electricity Price Forecasting
Electricity price forecasting is very important for optimal decision-making in the energy markets such as trading, risk management, and planning of the operation of power systems. Day-ahead electricity prices are critical for scheduling purposes, as they maintain the stability and efficiency of a power market; therefore, accurate day-ahead electricity price forecasts are very important. Nevertheless, forecasting electricity prices is a very complex task due to their non-linear, volatile, and non-stationary [3,4] characteristics in the data. These prices become difficult to predict [16,17] due to various market influencing factors such as fuel price, demand and supply, regulations, and other factors.
2.2. Traditional Forecasting Models
Forecasting electricity prices has a long history, and various traditional methods have been developed to forecast them. ARIMA, exponential smoothing, and linear regression are among the common approaches. ARIMA [8,18] is a popular method for modeling time series of seasonal and trend data, often found in financial or energy forecasting. This method is not efficient enough in markets with dynamic price movement due to its linearity and stationarity assumptions. While exponential smoothing methods are useful for illustrating trends, they are unable to model these complex correlations between variables [8]. Despite its simplicity and interpretability, linear regression is unable to identify multifactorial or non-linear relationships [19].
2.3. Fractal Analysis and Detrended Fluctuation Analysis
Fractal analysis has become popular for the identification of self-similarity and long-range correlations in applications related to complex systems such as financial and energy markets. Fractals are one of the most basic ideas for catching the scaling characteristics of time series data. The DFA method, due to its high power in detecting long-memory properties, is a general algorithm for identifying long-range dependence and fractal features in non-stationary time series. Data patterns of persistence and variability can be both identified in energy market studies using DFA [19]; this makes DFA a proper method for designing a potential trading strategy that responds to trending behavior (i.e., persistent or antipersistent) in price changes [20].
2.4. Application of Fractional Derivatives
A step towards understanding the nature of time series processes more deeply is generalizing classical differentiation to non-integer orders, which can be achieved by fractional calculus. Fractional derivatives [21] provide finer granularity in observing price acceleration and deceleration by capturing small changes in trend over time. This tendency makes fractional derivatives an important tool for forecasting [12,22] due to their adaptability to changing market conditions and volatile markets.
2.5. Advanced Machine Learning Models
Machine learning technology can potentially gain the utility of data analysis because of its good non-linear fitting capacity and the complex characteristics of electricity price data. LSTMs, as a special type of RNN [15], have shown that they work very well not just for time series forecasting but also for general sequence modeling problems due to their design of remembering information for long periods and their ability to learn through backpropagation-based training algorithm. This shows that LSTM networks are good at capturing non-linear dependencies [23], which makes them an excellent algorithm for the very volatile and complex data they are considering, such as electricity prices. The SARIMA model is an extension of ARIMA that accounts for seasonal components and, thus better suited to accommodate a time series with periodic trends [8,24]. Because SARIMA models [18,24] provide the model with greater flexibility to fit the repetitive structure of seasonally fluctuating data, they are suitable when seasonality is a significant element for forecasting.
2.6. Integrated Approaches for Enhanced Forecasting
Integrated Approaches for Improved Forecasting
The integrated approach can be a useful tool to reduce the difficulties associated with electricity price forecasting by combining SARIMA models with fractal analysis, fractional derivatives, and LSTM networks in an innovative framework. This strategy involves using traditional models by combining DFA for long-term dependencies, fractional derivatives to represent detailed trend changes, LSTM to learn non-linear patterns, and SARIMA to reflect the seasonal component.
Empirical studies show [5,16] that models based on hybrid approaches (i.e., combining machine learning with statistical methods) lead to more accurate forecasts and greater adaptability to market changes than pure machine learning or statistical model alternatives. Based on this variety of analytical methods, this paper provides a contribution to the scientific research fields regarding electricity price research issues by combining these complementary techniques into a single framework to build an effective strategy for researching electricity prices, which improves day-ahead energy market decision-making.
3. Methodological Framework
3.1. Detrended Fluctuation Analysis
Time series are often fractal and non-stationary in nature. The DFA [25] is a stable approach for the dynamic time series containing noise, which identifies long-term and short-term correlations and different trends. DFA, introduced by Peng, is a method for quantifying long-range correlations in non-stationary time series. This method is particularly relevant for analyzing fractal characteristics in electricity price data, as it helps distinguish persistent trends from random fluctuations [26]. This method can be considered an application of root mean square analysis of random walks, modified to analyze non-stationary processes. In 1994, Peng introduced DFA, which extends the concept of an ordinary Fluctuation Analysis (FA) by analyzing non-stationary processes. The fluctuation exponent or scaling exponent (denoted α) examined here is somewhat similar to the Hurst exponent, but it is applicable for time series with non-stationary statistical or dynamic properties. The DFA method refers to the α (alpha) parameter, which describes the slope of a linear regression provided the relationship between Log(F(n)) and Log(n), with n as the length of the examined series. The cumulative sum of differences that first integrates the original time series (or its individual segments with an overall series length of n) by summing up the difference between the i-th value of the series to the mean value of elements in that series [27]:
Equation (1) provides the cumulative sum of the time series, which is a critical step in removing non-stationarity and isolating the fluctuations of the data. By integrating the time series, we create a baseline for identifying deviations due to long-term dependencies, where
- •
- Y(i) is the i-th value of the series;
- •
- Yint(k) is the k-th value of the integrated series;
- •
- k = 1, 2, … N;
- •
- is the mean value of the elements in the entire series, given by the following:
The mean of the time series is calculated to ensure that subsequent analyses focus on deviations and fluctuations, removing bias introduced by the overall trend. This step standardizes the data, making it suitable for fluctuation analysis. Following the division of the integrated series
into blocks of equal length n, the local trend (represented as
) is successively subtracted from the data in each block. In this manner, the local linear trend is eliminated segment by segment reducing the non-stationarity in the integrated series. We calculate the local linear trend in each segment of the integrated series based on a least-squares linear fit
. Removing this trend is essential for isolating fluctuations that characterize long-range correlations and fractal properties of the data. The trend line is defined by as follows:
where
- •
- is the value at point within the segment;
- •
- is the -intercept for the -th segment;
- •
- is the slope of the trend line in the -th segment;
- •
- is the position in the segment.
For the data points
within the segment the coefficients
and
are determined using the least-squares method. Specifically as follows:
where
- •
- is the mean of the values in the segment;
- •
- is the mean of the indices in the segment.
In Equations (4) and (5), the coefficients are computed using a least-squares approach to ensure the linear trend accurately reflects the average behavior within each segment. These coefficients are then used to detrend the series, preparing it for fluctuation analysis.
After calculating the coefficients
and
for each segment, we can remove the local trend
from the integrated series in that segment to gain detrended fluctuations. The following Formula (6) is used to determine the fluctuations F(n) in the resulting integrated and detrended time series:
The fluctuation function F(n) measures the deviation of the time series Y(k) from its local trend
, calculated within non-overlapping segments of size n. This function is fundamental in the DFA methodology for estimating the scaling exponent α, which characterizes long-range correlations. Here, N is the total number of data points and
represents the least-squares linear fit within each segment.
This is continued for several different block lengths or time scales and gives the relationship between the averaged fluctuations F(n) and the block length n. Thus, a plot
versus
can be made for each block. For each interval that we examine, a DFA function is determined.
At the j-th block, a partial DFA function for each
, is computed as follows:
where
.
After substituting into Formula (9), we have the following:
In Equations (7) and (8), the partial fluctuation function is calculated for individual segments, capturing localized variability. These are then aggregated to form the full fluctuation function, which provides a comprehensive measure of scale-dependent behavior in the time series.
An approximate association between the fluctuations function F(n) and the time scales n can be evaluated through the following linear relation:
. The slope of the regression line between Log(F(n)) and Log(n) gives the measured self-similarity parameter, which defines the correlation properties of the time series:
In (9), the scaling exponent α is derived from the relationship between the fluctuation function and the segment size. This parameter is an indicator of the self-similar and fractal properties of the time series, revealing long-range dependencies and persistence.
F(n) should grow with the block length n, at least from a mathematical standpoint. The value of the fractal parameter is 0.5 for uncorrelated time series, where α > 0.5 (0.5 < α < 1.5) implies correlation in the time series and 0 < α < 1 implies an absence of correlation between the values of a time series. And when α = 1.5 long-term correlations and scale invariance occur, this is a case of strong correlation or Brownian noise at (α = 1.5).
The proposed algorithm steps are as follows:
- Establish the weighted time series of the input sequence of length N with Formula (1).
- Split the integrated time sequence into non-overlapping blocks of length n.
- For each segment, calculate the local linear trend with Formula (3) and remove it from the signal by segments.
- Using Formula (2), average each segment to obtain the fluctuation function.
- Show how Log(F(n)) and Log(n) relate to one another.
- Use the least squares approach to find the regression line slope
- Find the parameter:
3.1.1. Derivatives of Time Series
The derivatives of time series are a good way to study their changes in a short period. The function’s derivative indicates what happens in the vicinity of a given examined point, such as the increase (monotonicity) and decrease ranges, as well as their intensity [27,28]. In time series analysis, the derivative of this function shows how the series acts in both directions from a point in time [29].
3.1.2. First and Second Derivatives of Hourly Electricity Price Series
If the time series consists of hourly values of prices of electricity (e.g., price per MWh), then the first derivative of the price series indicates the speed at which prices change over time, i.e., how fast they can go up or down. The first derivative is positive when prices are headed up, and negative when down. The first derivative reveals seasonal trends and patterns, price instability, market reactions, and regulatory changes. In markets with periods of peak load, the first derivative can illuminate peaks of demand for electricity/consumption.
The second derivative is the rate of change in the first derivative, measuring the acceleration of price changes. For time series of hourly electricity prices, it indicates whether the price increases or decreases are accelerating or disabling. The negative values of the second derivative imply the rate of price growth (or degradation) is decreasing, which means that this may lead to collapse or rapid changes in the market. Slow change is shown by values less than zero, which may show that electricity prices are stabilizing. On the other hand, a strong positive second derivative could indicate an expected price increase.
In addition to helping with evaluations of market stability, the first and subsequent derivatives of the price of electricity may offer insights into the tendencies of price movement over extremely brief time periods.
3.2. Application of Fractional Derivative
Fractional derivatives may provide a wider range than classical derivatives because we can extract complex patterns from the time series data using non-integer orders of differentiation. Fractional derivatives [30] are distinguished from integer-order derivatives by their higher-order ability to more accurately model the memory and hereditary properties of a time series, which are especially true in specific fields such as energy market analysis where future trends are greatly impacted by past behavior.
Since fractional derivatives allow the detection of small variations in trends, the study uses them for improving day-ahead electricity price forecasters. Fractional order derivative allows more flexible analytics for both local and global properties of the input time-series data. In particular, this allows us to detect acceleration and deceleration in electricity price changes [31,32], providing further signals we can use for driving adaptive trading strategies.
3.2.1. Mathematical Formulation of Fractional Derivatives
A widely used definition of fractional derivatives is given in terms of the Caputo derivative [33], which is shown as the following
This equation represents the Caputo fractional derivative, which generalizes classical differentiation to non-integer orders. The Caputo method is particularly suitable for time series with memory effects, enabling a more nuanced analysis of trend accelerations and decelerations over varying time scales, where
- •
- is the order of the derivative, with ;
- •
- is the Gamma function;
- •
- is the -th derivative of concerning
This formulation provides useful insights for studying time series data that provide memory effects, since it provides flexibility in quantifying the extent of past influences on present behavior. The parameter α is important to adjust the sensitivity of the derivative, thus allowing the model to adapt to different market conditions.
To simulate the system behavior with fractional-order derivatives, the Caputo fractional derivative was discretized using a numerical approximation method. Specifically, the Grünwald–Letnikov approach [34,35] was employed for its computational efficiency and suitability for time-series analysis. This method approximates the Caputo derivative using a finite-difference scheme, expressed as the following:
where
is the time step size,
are the binomial coefficients defined as
, and
is the number of past time steps considered. The step size
was chosen based on the resolution of the data, ensuring numerical stability and convergence. This discretization process effectively captures the memory and hereditary properties of the fractional derivative, aligning with the dynamic nature of electricity prices.
3.2.2. Application in Energy Price Forecasting
Fractional derivatives can be used to detect changes in the normalized hourly electricity price data, including both abrupt and gradual changes. Such an approach enables more accurate detection of turning points, trend transitions, and cyclical movements within the data, which are important for developing strong trading strategies. Based on this, the influence of fractional differentiation on model accuracy and reactivity to market dynamics will be assessed [36,37] by comparing the results gained with different α values.
3.2.3. Integration with Other Forecasting Models
For increased forecasting performance, the result obtained from the use of fractional derivatives will be combined with other forecasting methods such as LSTM and SARIMA. This combined approach benefits from both methods, facilitating flexibility in acquiring long-term dependencies as well as short-term fluctuations in electricity prices. This coupling supports the creation of adaptive signals [38] important for understanding the behavior of dynamic market environments. To achieve this flexibility, the selection of α values (α = 0.2, 0.5, 0.8) for the fractional derivative analysis was guided by both theoretical and practical considerations. Smaller α values emphasize short-term fluctuations, enabling the detection of sudden market shifts and transient noise, while larger α values focus on long-term trends and persistent patterns. These specific values were determined through empirical testing to ensure the model effectively balances sensitivity to high-frequency market variations with the ability to capture underlying price dynamics. This approach aligns with previous research that highlights fractional derivatives as powerful tools for modeling diverse scales of behavior in time-series data, particularly in dynamic and nonlinear market environments.
3.3. Long Short-Term Memory Network
LSTM networks as a special kind of RNN architecture [39] made for learning sequence dependencies have proven to be effective methods for time series forecasting tasks, including the prediction of day-ahead electricity prices. LSTM networks are specifically designed to avoid long-term dependency problems that traditional RNN networks suffer from by using memory units, forget gates, and input (and output) mechanisms, which allow the network to choose whether or not to keep or discard information contained in its internal state. The main building blocks of an LSTM model are three gates—input, forget, and output—that control the information that passes through the memory cell. These advantages make the LSTM models capable of identifying complex, non-linear patterns [40,41], which is useful for electricity prices as market conditions can vary rapidly over time due to a lot of external factors.
3.3.1. Mathematical Formulation of LSTM Networks
An LSTM network processes an input sequence
at each time step t, using the following components:
- •
- Forget Gate decides what should be thrown away from the cell state. It controls the flow of past information into the memory cell by determining which aspects of the previous hidden state are relevant. The sigmoid activation function (σ) ensures that the output remains between 0 and 1, providing a smooth, probabilistic decision about retaining or forgetting specific information. This mechanism is crucial for adapting to changing patterns in dynamic time series such as electricity prices. The forget gate is given as follows:where
- •
- is the forget gate vector;
- •
- is the sigmoid activation function;
- •
- is the weight matrix;
- •
- is the bias vector.
- •
- The Input Gate controls how much of the new information is to be stored in a memory state. It determines the importance of new information from the current input and previous hidden state . Using a sigmoid activation function, it assigns a weight to this information, modulating the influence of new patterns on the memory cell. This step ensures that the LSTM remains responsive to significant changes in the data. The Input Gate is described as follows:where
- •
- is the input gate vector;
- •
- is the cell state candidate value;
- •
- are weight matrices;
- •
- are bias vectors.
- •
- The Cell State Update state combines retained information from the previous state, and new candidate information, weighted by the Forget Gate input gate , respectively. This update ensures that the LSTM captures long-term dependencies while remaining adaptable to new patterns in the data where the cell state is updated as follows:
- •
- The Output Gate that controls the information from cell state to output. It determines the extent to which the updated cell state contributes to the hidden state at the current time step. The sigmoid activation function modulates this contribution, balancing the preservation of long-term dependencies with the need to reflect recent changes in the data. The relevant output gate is expressed as follows:where
- •
- is the output gate vector;
- •
- is the output of the hidden state vector.
3.3.2. Application of LSTM in Electricity Price Forecasting
We propose the LSTM network framework for predicting day-ahead hourly electricity prices based on historical time series price data from the Bulgarian electricity market. The features used as input are the historical electricity prices along with the memory cells and gates which form a time-series feature. The LSTM model structure [42,43] is designed in such a way that it can be easily adjusted to market behavior when it comes to dynamics and complex nature. Hyperparameters like the number of layers and neurons, learning rate, and batch size will be tuned until the best configuration is percentage identified for proper forecasting. Here, the focus is on utilizing the ability of LSTM to identify non-linear trends and variations in data.
3.3.3. Performance Evaluation and Comparison
To validate the effectiveness of the LSTM model, the prediction accuracy is compared with that of conventional models (i.e., ARIMA and SARIMA). The performance is evaluated using metrics like Mean Absolute Error (MAE), Root Mean Square Error (RMSE), and Mean Absolute Percentage Error (MAPE) [16]. This comparison shows the strengths or weaknesses of LSTM networks for modeling non-linear dependencies and solving seasonality issues at electricity price forecasting in case-based scenarios.
3.4. Seasonal Autoregressive Integrated Moving Average (SARIMA) Model
SARIMA is a statistical modeling technique that is considered an extension of the ARIMA model for time series forecasting with seasonality incorporated into it. If the data have periodic or regular seasonality, SARIMA can model and predict these as well. SARIMA (p, d, q)(P, D, Q)m then is a model with non-seasonal parameters p, d, and q where seasonal parameters are P, D, and Q and the number of observations per seasonal cycle m [8].
3.4.1. Mathematical Formulation of the SARIMA Model
The SARIMA model is defined as follows:
where
- •
- is the observed value at time ;
- •
- and are the non-seasonal and seasonal autoregressive (AR) parameters;
- •
- and are the non-seasonal and seasonal moving average (MA) parameters;
- •
- is the backshift operator;
- •
- and represent the non-seasonal and seasonal differencing orders;
- •
- is white noise with a mean of zero.
Equation (18) defines the SARIMA model, incorporating both seasonal and non-seasonal components to address periodic trends in electricity prices. The autoregressive (ϕ), moving average (θ), seasonal autoregressive (Φ), and seasonal moving average (Θ) terms capture dependencies across multiple time lags and seasonal cycles. The differencing orders (d and D) help remove trends and seasonal effects, ensuring stationarity in the data. This formulation enables the SARIMA model to effectively forecast prices in a market characterized by recurring patterns and long-term seasonal influences.
3.4.2. Application of SARIMA in Electricity Price Forecasting
The SARIMA model has been applied in this study by using hourly day-ahead electricity prices from the Bulgarian electricity market. Then, both short and seasonal patterns in the price series are removed. The SARIMA modeling process consists of a few key steps:
- Based on the autocorrelation function (ACF) and partial autocorrelation function (PACF) plots, identify possible values of p, d, q, P, D, Q, and m.
- Estimate the parameters of the model using maximum likelihood estimation.
- Tests for autocorrelation, normality, and the adequacy of the fitted model will be applied to analyze residuals.
- Produce predictions of future electricity prices based on the fitted model.
The seasonal parameters help SARIMA to consider the repeated cycles of electricity price data and create a better forecasting process than models without seasonal representation [16].
3.4.3. Advantages and Limitations of SARIMA
The SARIMA model presents various advantages for electricity price forecasting, including explicit seasonal modeling and both short- and long-term dependence capturing. On the other hand, SARIMA is based on linearity and has limitations related to the synthesis of non-linear patterns or abrupt market changes. Moreover, including multiple seasonal and non-seasonal components may increase parameters and model complexity [44,45] yielding overfitting when the model is not adequately generalized.
3.5. Analysis and Forecasting Strategy Workflow
In this paper, we create a strategy for electricity price analysis and optimal forecasting by incorporating multiple models to make better decisions and improve the efficiency of day-ahead electricity market forecasting. This workflow integrates features of accuracy incorporating market prediction potential and adaptive capacity to changing market dynamics through the use of fractal analysis, fractional derivatives, long short-term memory networks, and SARIMA.
To clarify the methodology, we have provided a visual representation of the workflow in Figure 1. The flowchart outlines the key steps of our proposed forecasting and trading strategy, integrating data preprocessing, feature engineering, model training, and model integration, leading to the implementation of trading strategies. This chapter provides a short description of an outline of the methodology with a step-by-step description to execute the trading strategy and underline other elements of how the framework works for electricity price forecasting and model combination.
Figure 1.
Analysis and Forecasting Strategy Workflow.
3.5.1. Preprocessing and Dynamic Data Structuring
Data preparation starts with a structuring and pre-processing procedure, where historical hourly electricity prices are normalized through parameter scaling methodology to fit established compatibility in the models. An adaptive interpolation model is used to deal with missing values, and it uses automatic outlier detection based on statistical thresholds in a locally adjusted range according to the volatility type of time series data.
3.5.2. Forecasts Generation and Decision-Making
In this study, models that first go through a training phase are used to make predictions. The SARIMA model can be used to determine the seasonal and cyclic trends present in time-series data while the LSTM network is used for discovering non-linear dependencies between observations and long-term trends. The use of fractional derivatives will help adjust the forecasts by studying the acceleration and deceleration of price changes over time, allowing for quicker adaptation to market fluctuations.
The expected movements in price are translated into signals for buying or selling. The final output from the SARIMA model, LSTM network, and fractal analysis methods is used to make a buy, sell, or hold decision for trades in electricity trade decisively. Dynamic stop-loss and take-profit levels are used according to the possible trends and volatility of the market, which also helps in reducing risk and increasing profits.
4. Results
The obtained results from the forecasting models and trading strategy are based on the Bulgarian day-ahead electricity market data. The performance of the individual models, their combination, and the actual trading strategy are all assessed below with additional analysis. The success of the models in predicting electricity prices and generating profitable trading signals is estimated by the key metrics. The calculations and data analysis are performed using the MATLAB 9.4 R2018a Simulink package and Python 3.11.5.
4.1. Data Description
The dataset used in this study includes the hourly day-ahead electricity prices from the Bulgarian electricity market, which is collected and downloaded from the ENTSO-E Transparency Platform. The examined period is from 1 January 2017 to 30 September 2024. The data were recorded every hour which gives us 24 data points in a day. This dataset includes 67,927 data points from the whole collection, which provides a significant sample size for making statistical and machine-learning analyses.
The data in Figure 2 spans about seven seasons covering seasonal impacts, economic conditions, and market cycles, which allows for the analysis of long-term trends, seasonality, and volatility across the market. The prices are quoted in EUR/MWh (Euros per Megawatt-hour.) The dataset gives the date and time for each record in Central European Time (CET/CEST).
Figure 2.
Hourly Day-Ahead prices dataset.
Seasonal periodicity can be observed in the dataset, which corresponds to expected changes in electricity demand and supply throughout different months of the year. For example, the period through the winter months can result in peaks of demand due to heating needs, while during summer months may have peaks because of cooling. It has also enabled a fuller disaggregation of variation by identifying the various drivers for price change—whether demand is more or less than expected, generation supply is lower or higher than forecast output, and market conditions are conducive to very high prices. Annual patterns can be clearly seen, for example, in the upward or downward trajectory of prices over time that may correlate to regulatory changes, shifts in energy generation, or market forces. Therefore, statistical thresholds were applied to identify and adjust or remove outliers in order to minimize skewed analysis and enhance robustness. The dataset was normalized using min-max normalization to make it compatible with different forecasting models, and to increase the convergence of the model during training.
4.2. DFA Applied to Electricity Prices in Bulgaria
The DFA method was applied to the real-time series data of Bulgaria’s electricity prices in order to detect long-term dependencies and correlations. DFA alpha parameter (α) values for electricity prices, which were calculated on a monthly basis from January 2022 to September 2024, are shown in Table 1.
Table 1.
DFA Parameters for Monthly Electricity Prices in Bulgaria.
The output of the results shows that during most of the months, α values are in the range of 0.5 < α < 1, indicating a persistence of correlations in the series. This means that monthly price changes persist in the same direction, and they continue to rise or fall due, for example, to market factors, seasonal influences, or concerns regarding regulation. In months such as July 2022 and July 2023, values of α were above 1, which points to significant long-term correlations between them because of their fractal structure. The observed α values highlight the fractal nature of electricity price time series, where high persistence (e.g., α > 0.9) reflects sustained market trends and lower values (α ≈ 0.5) point to stochastic or rapidly changing behaviors. These dynamics guide the selection of forecasting models tailored to specific market conditions. This behavior is considered more complex and self-similar; therefore, it can be considered that the market is being influenced, perhaps as a result of structural or regulatory changes in the economy, macroeconomic developments, or lasting supply–demand mismatches.
DFA identifies persistent correlations, meaning that predictive models are able to use these unbiased signals for some predictive power when constructing forecasts and trading strategies. Understanding price inertia, that upward or downward trends can last for months, allows market participants to create solid forecasting and risk management devices. The observed energy market dynamics during these periods may also have reflected the effects of a multifaceted combination of geopolitical and more localized tensions in energy policy, demand or supply, and even weather conditions and economic situation at the national level. The long-term correlation and fractal behavior hint at a permanent influence on pricing from exogenous shocks or cyclical events. Such persistence in price differentials may indicate basing structural or regulatory changes within the energy market, persistent external shocks, or other supply–demand imbalances that are time-dependent (e.g., regulation and long-run strategic elements of competition). Although not an obvious finding in the context of the existing results, such persistent correlations as observed through the DFA parameter could be used by price forecasting models to implement and utilize these consistent and impactful dynamics into their input for more accuracy or a trading strategy implementing these inputs. This suggests price inertia, which could be useful knowledge for market participants who wish to create more resilient prediction instruments and risk management systems.
Table 2 presents the DFA parameter values (α) for annual electricity prices in Bulgaria from January 2017 to September 2024. It is observed that the α values for all years all greater than 0.83, from which 5 years are exhibiting values higher than 0.93. This indicates strong long-term correlation behavior, where past electricity prices have a significant impact on how electricity prices will evolve in the future and thus an indication of predictability or persistence.
Table 2.
DFA α values for the annual electricity prices in Bulgaria from 2017 to 2024.
The yearly DFA parameters shown in Table 2 can be observed as interesting long-term correlations expressed in trend information on electricity prices in Bulgaria for the period starting from the beginning of 2017 until September 2024. This information is important, as it helps to understand whether price actions in the market are persistent and provide high levels of predictability for longer periods of time or vice versa. The values of α for all the observed years are above 0.8, with notably high values during some years suggesting a strong long-term correlation between the realization dates across those years. It also may be considered that during these time series, electricity prices are very strongly correlated with each other over long time periods. This is indicative of the extent to which price trends expect an influence on future movements and suggests some predictability in price movements and, possibly, persistency as well. High α values indicate that there are market forces, structural factors, or regulatory conditions that create stability and consistent directional trends. The value of α, which is nearly 1 in 2020, implies strong long-term correlations and that the price movements are persistent, and suggests that price patterns were consistent during the observed period. While the α values for 2021 and 2022 are marginally below those of previous years, they still demonstrate a well above-average correlation with high α values above the 0.8 mark. This could be indicative of more fluctuating factors in the market price settings or shocks that enter between a level of continuity. If broader market prices are choppy, the level of persistence still implies a degree of price “stickiness”, or trend.
In conclusion, the obtained DFA values reflect the characteristics of fractal presence and long-term dependencies found in electricity prices time series data. In summary, the high value of α shows that it is much more likely that market trends continue than to reverse, which enables good prediction models while the low α value shows that the market may see quick increases in the prices and quick fluctuations in volatility. The fractal shape of the time series data and both estimated DFA values suggest that the power market has complicated interactions and feedback processes. This can range from the supply–demand imbalance through various market coupling mechanisms, economic variations, and regulatory frameworks that change the conditions of the market on a permanent basis. This complexity, in turn, underscores the need for more sophisticated forecasting methods that can adapt to and exploit these fundamental relationships as they evolve over time.
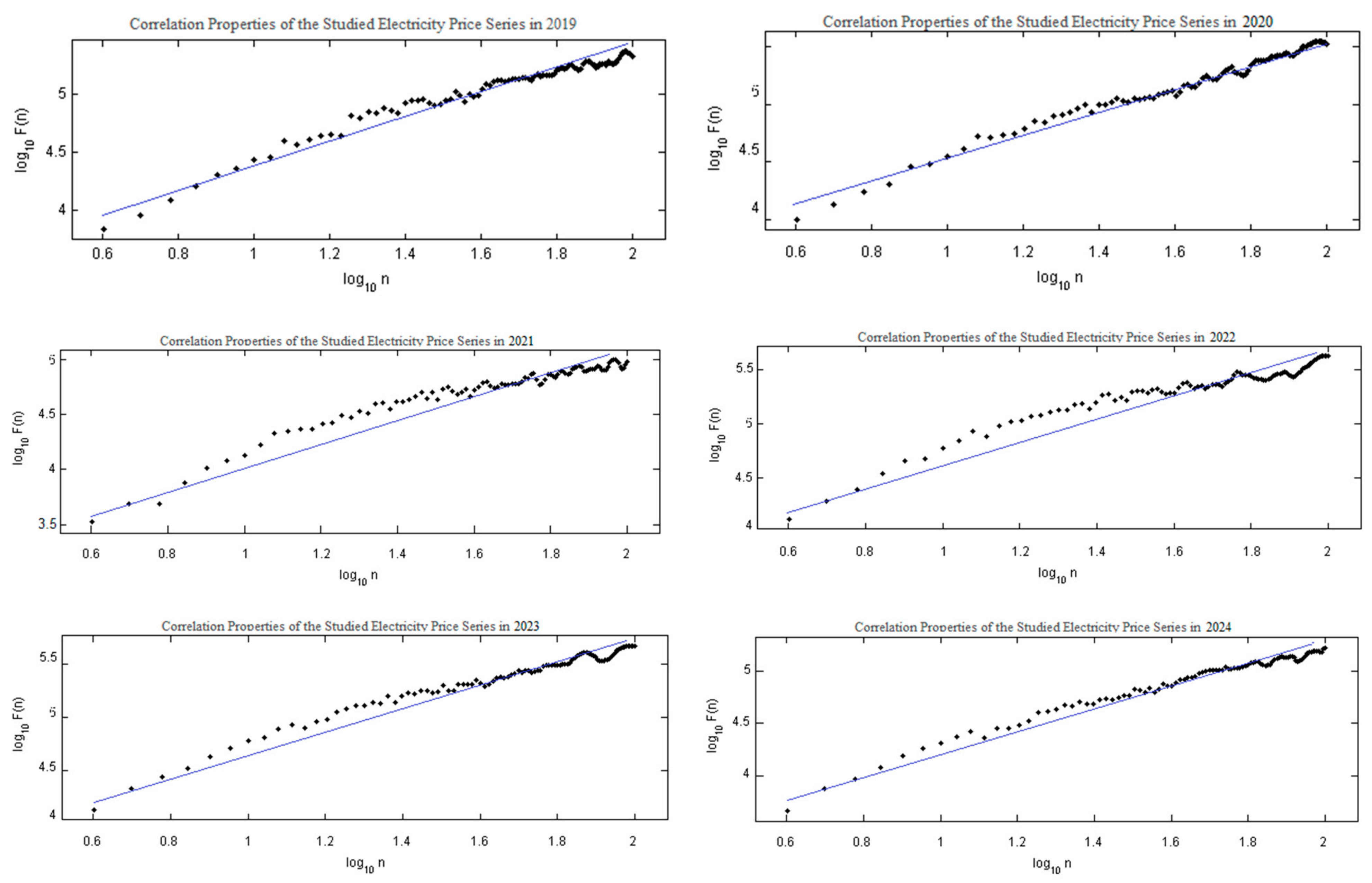
Figure 3 graphically represents the annual values of the α parameter for Bulgarian hourly electricity prices from 2019 to 2024. Each plot displays the relationship between the logarithm of the fluctuation function
and the logarithm of the block size
The regression line slope for each plot reflects the estimated long-term α parameter, allowing us to better understand the long-range dependence characteristics of the electricity price time series per year.
Figure 3.
α parameter of Bulgarian hourly electricity price market (2019–2024).
Results shown in Figure 4 present the annual electricity prices from 2019 to 2024 along with their respective first and second derivatives. If we examine the annual electricity prices from 2019 up until 2024, and their first and second derivatives as they appear in the figures, through inspection of both price patterns as well as the implied market behavior over this period also by year, we can draw conclusions about price behavior.

Figure 4.
Annual Electricity Prices (2019–2024) and their First and Second Derivatives.
The examination of upward, downward, and trend electricity price movements from 2019 to 2024 suggests the electricity market transitions in 2019 through relative stability, toward increasing volatility in both up and down pricing, culminating in peak volatility between 2021 and 2022, before settling into an eventual path back toward stabilization. The derivatives also show the variation and its second order, which are obtained based on driving forces as well as market responses regarding response to driving factors such as regulatory changes and pressure by various economic basics.
According to the DFA, the electricity price time series have persistent long-range correlations, with α values consistently greater than 0.5. These results provide evidence that price movements are not random, but rather persistent in nature, and thus non-random historical prices serve as a very good predictor for the price trend in the future. Such behavior could be induced either by cyclical demand or supply, inelastic market structures, and regulation, as well as protracted domestic macroeconomic settings that prevent prices from changing for considerably longer periods. This memory effect provides evidence that there is real potential to apply some of the more advanced predictive modeling as strategy optimization techniques, for example with LSTM and fractional derivative implemented to leverage past behavior as input for predicting future outcomes.
4.3. Performance of Fractal Derivatives Applied to Electricity Prices in Bulgaria
It is familiar that fractional derivatives generalize classical differentiation to non-integer order, providing increased flexibility for analyzing time series data with non-linear dynamics. The fractional derivatives generalize to non-integer orders the classical differentiation, which is characterized by much more flexibility to detect complex, nonlinear behavior of time series data. This is why we chose the Caputo derivative, since it is more appropriate to investigate time series that are endowed with memory quality, such as in electricity market data, where past trends have a large effect on future price movements. The derivative is carried out concerning the amount of past data. The latter can detect both short-term fluctuations and long-term trends by tuning the warping parameter (α). Varying the fractional order (α) in Caputo derivatives demonstrates the flexibility of tuning the analysis based on market conditions. For instance, lower α values amplify responsiveness to volatile profiles, while higher α values suppress noise, focusing on enduring market patterns.
The electricity price data for Bulgaria that is analyzed is for the period from January 2017 to September 2024 and was subject to fractional derivative observations with the different estimation values of α (0.2, 0.5, and 0.8). To offer a strong perspective on price behavior via time scales, fractional derivatives were calculated using the definition of the Caputo derivative. The fractional derivatives computed for these values of α are shown in Figure 5, together with the original price series as a background.
Figure 5.
Fractional derivatives of price time series using the Caputo method with different alpha values.
The fractional derivative curve with α = 0.2 exhibited increased responsiveness to small-scale price fluctuations. Such behavior corresponds to more oscillations occurring at a higher average frequency and distinct peaks indicating sudden spikes in electricity prices. This sensitivity is good for detecting quick market shifts and disposal of potential short-term trading possibilities while taking immediate action when there are abrupt changes in supply or demand conditions.
In the case when α is equal to 0.5, the fractional derivative took a compromise between short-term and long-term orientation. By being less sensitive than micro price changes, it gives a more stable picture of price dynamics and this, in general, is good for mid-term forecasting and trends that influence market stability. The slope curve mirrored market behavior with bumps and dips, identifying important turning points but not overly sensitive to noise.
With even higher values of α like 0.8, the fractional derivative was smoother again indicating price action absorption over longer periods and lower sensitivity to short-lived variations. This approach displays the daily market changes and helps to note when some moves are always toward a rise or fall direction. The smoother curve indicates that there are persistent trends and market cycles present in behavior, which conclusion shall be important for long-term strategic planning and investment decisions.
For instance, as demonstrated in the case of hourly electricity prices shown in Figure 4, fractal analysis concludes that a fractional derivative value is positive, and gradually ascending means electricity prices are in an uptrend which indicates the growing demand or limitation on supply. Conversely, if the value of the derived oscillometer changes from positive to negative or begins to slow down, traders can expect a reversal and act accordingly. As shown in the case processed fractional derivatives extend classical methods of differentiation, allowing to describe market dynamics using different orders of differentiation (α). This flexibility enables capturing the short-term variations and long-term trends at the same time, which makes it possible to provide better insights into price behaviors, especially in electricity markets where past behaviors tend to carry over their impacts on nearby prices as well. Traders can shift their focus towards a long-term trend or a shorter one and update the behavior by modifying α. Such flexibility is essential to deal with volatile market conditions and can provide inputs for strategic trading choices.
Electricity prices can have a complex dynamics nature and therefore fractional solutions for electricity price analysis and forecasting can also be used. Splitting α values on every single α value would create insights into price movements that can be unique for any trader or other market participants, and it can translate into automated trading strategies and risk management in a working timeframe. This can help in identifying stability, inertia, or any such shifts that can be used to drive actionable optimal and risk-based strategies. By incorporating fractional derivatives into the trading algorithms, a solid framework for capturing market complexities shall be established which will allow traders to make data-driven decisions and improve their market-based performance.
4.4. Performance of LSTM and SARIMA Applied to Electricity Prices in Bulgaria
The performance of the two models LSTM and SARIMA in terms of hourly day-ahead price forecasting for the Bulgarian electricity market will be evaluated and analyzed hereafter for the period from 2017 to 2024. Provided will be a full comparison of the predictive ability, advantages, and disadvantages of each model and how these models augment each other in approximating complex market dynamics.
4.4.1. LSTM Model Performance
The LSTM model based on historical data was trained to forecast hourly day-ahead prices for the Bulgarian market. Using the model’s structure, which uses memory cells and gating mechanisms Input, Forget, and Output Gates, takes into account all the features that the LSTM is good at capturing complex temporal dependencies and adapt to the dynamic and nonlinear behavior of electricity prices. The LSTM architecture’s flexibility enables customization for different market dynamics. For example, adjusting the look-back window balances the trade-off between capturing long-term trends and responding to recent changes, while dropout rates regulate the model’s adaptability to volatile or stable profiles.
Data pre-processing is the process of transforming raw data into a clean form and format, suitable for building machine learning models. The MinMax Scaler function is used to scale the electricity prices from 0 to 1, as this normalization helps with convergence during training by preventing values from varying too much. The data were divided by 80–20 into training and test datasets, respectively. For this purpose, sequences of input–output pairs from the time series were created by sliding window strategy in order to generate the input data for the LSTM model with a back period of 50 time steps.
This LSTM model architecture adopted three LSTM layers, each containing 128 units followed by dropout layers to avoid overfitting. The architecture contained an Input Layer to define the sequences as (50,1), where 50 was the number of time steps, and Hidden Layers consisting of LSTM layers with 128 units, along with Dropout Layers (rate = 0.3) to generalize well and prevent overfitting. The Output Layer consisted of a dense layer with one output, predicting the next price value. The model was trained for 100 epochs with a batch size of 64, using the Adam optimizer and worked on the MSE loss function. The training process was monitored to avoid overfitting, as the convergence behavior was quite similar. The model prediction performance was evaluated using standard evaluation metrics.
The model’s performance results on these datasets are shown in Table 3, from which it is notable that the model proved capable of capturing the short-term fluctuations as well as some of the non-linear market trends. Figure 6 represents the graphical comparisons for the actual and predicted prices for the test set, showing that, while there are some slight variances during volatile periods, the model is accurately tracking price fluctuations.
Table 3.
Key performance metrics achieved for the LSTM model.
Figure 6.
Actual vs. Predicted Prices and Forecasted Prices for the Next 60 Days Using LSTM Model.
We evaluated the performance of the proposed models using standard metrics (MAE, MSE, RMSE) to measure their forecasting accuracy. The LSTM model achieved superior performance, particularly in capturing short-term price fluctuations and non-linear trends, as evidenced by its MAE of 15.20 EUR/MWh. These results highlight the model’s capability to adapt to volatile market conditions and offer precise predictions, critical for day-ahead trading strategies.
Visualization in Figure 6 provides a two-part illustration of the modeling results from the LSTM predictive model. In the above plot, panel one named “Actual vs. Predicted Prices (Test Set)”, the model prediction is made from the trained test set electricity prices shown in the blue line are compared to the actual market prices shown in the orange line. The proximity of the predicted values to the actual values suggests that the LSTM model can capture significant temporal trends, non-linear variations, and short-term price fluctuations in the market. Small divergences seen during the times of highest volatility show how difficult it is to predict these sudden changes in market behavior; however, aside from that, the proficiency shown by the LSTM for tracking trends demonstrates strong applicability for forecasting. The lower plot is named “Next 60-Day Predicted Prices” and shows future predictions. The forecasted values in the blue line, on the other hand, are a reflection of how the market behavior in the past would continue, feeding information to us with regard to expected future behavior in the day-ahead electricity market. Such forecasting capability plays a key role in assisting in decision-making for market, planning, and strategy preparation. This shows an effective performance of the LSTM model as a reliable technique in short- and medium-term forecasting that can facilitate market participants for forecasting market direction and adjusting their trading strategies accordingly.
It also helps us identify the trading strategy in the electricity market by indicating the capacity of prediction for the LSTM Model. By predicting peaks and lows in prices, market participants can either capitalize on trading or avoid losses. This, in combination with the ability of the model to adjust itself for complex market behaviors and nonlinearities further adds towards a robust utility when anticipating sharp price movements.
4.4.2. SARIMA Model Performance
The SARIMA model captures the periodic trends and patterns within the electricity price time series data by extending the basic ARIMA framework to incorporate seasonal components. The non-seasonal autoregressive order (p), differencing order (d), and moving average order (q), as well as seasonal orders P, D, and Q, were chosen based on ACF/PACF analysis and generated plots that examined the underlying lag structures and seasonal behaviors in the data. Seasonal parameters in the SARIMA model allow for precise characterization of recurring patterns. For example, increasing the seasonal autoregressive order (P) improves the model’s performance in markets with strong annual cycles, while lower values are more appropriate for irregular profiles. After training the SARIMA model on historical data and performing hyperparameter optimization to minimize forecast error, we have identified its best-fit configuration as SARIMA(5,1,2)(2,0,0,12). The metrics in Table 4 show a good level of predictive accuracy, as the average deviation between the predicted prices and actual prices is relatively low. The model’s ability to assimilate hidden trends, periodicity, and cyclical behaviors of data is also evidenced by its statistically significant coefficients.
Table 4.
Key performance metrics achieved for the SARIMA model.
The SARIMA model, with its emphasis on capturing seasonal trends and long-term dependencies, achieved a MAE of 23.16 EUR/MWh. Although slightly less accurate in volatile conditions, it provided valuable insights into recurring patterns and long-term market dynamics. Its ability to model predictable seasonal components complements the LSTM’s strengths in short-term forecasting.
Furthermore, the model produced a Log Likelihood of −11,795 · 662 and an AIC = 23,611.323 suggesting that the model fit is very strong among potential combinations of the other parameters tested. The statistical significance of key autoregressive (AR) and moving average (MA) terms were high (p-values < 0.001), showing that the model was fit to the data based upon historical dependencies and season trends influencing electricity prices. Residuals checked using the Ljung–Box Q-test indicated little to no autocorrelation remaining, although diagnostics for heteroscedasticity and kurtosis revealed signs of market variability during the analysis period. This indicates that the data are particularly sensitive to the volatility component and the SARIMA model can capture trends and seasonality well for longer-term electricity price forecasting.
The potential of the SARIMA model showed good potential in capturing long-term seasonal trends and regular seasonality of the electricity market. Therefore, it could be considered that it is a good tool for forecasting predictable price cycles based, for instance, on regular demand fluctuations due to seasonal needs or market events. Using these data helps market participants to be ready for expected price directions and create preemptive market tactics. The model performs reasonably well in a stable market, but the performance fluctuates during sudden changes or high volatility, as can be seen from some mismatches during sudden spikes in the graphs pair. This limitation shows that the analysis of electricity prices should be performed carefully and that, if necessary, additional models that can support non-linear behavior and sudden spikes should be used.
Figure 7 shows the graphical analysis of the SARIMA model performance and forecasted results. The first plot shows the actual prices (blue line) of electricity in history and the estimated price by the SARIMA model (orange shading is the forecasted range). The dashed vertical line shows the starting point of the forecast period, from where historical data end and the forecasted SARIMA prices take over for the next 60 days.
Figure 7.
Graphical analysis of SARIMA model results.
The third graph in Figure 7 compares actual and predicted prices, highlighting model accuracy by comparing the prices predicted by the model with those in the test set. The predicted price values, represented by the orange line, and actual price values, shown in the blue line, correspond closely, which indicates that this model performs well in capturing the market behavior during stable conditions.
In this context, the SARIMA model provides useful forecasts of the price evolution of electricity to trade electricity in the market, assisting market agents in planning according to seasonal characteristics and anticipating expected market trends from historical seasonality, which can also aid hedging strategies and mark resources allocation. Nevertheless, understanding what the model can and cannot do allows traders to impose stop-loss limits (on particular market positions) and take measures against contingency during times of lower predictability. Overall, the SARIMA model performed quite well in learning as well as forecasting seasonal and trend parts of electricity prices, which can be an effective sales strategy tool. The integration with alternative forecasting methodologies benefits exposing markets to greater adaptability and resilience in different conditions.
4.5. Combined Strategy Performance
The presented combined approach for electricity price forecasting incorporates the strengths of LSTM models as well as SARIMA-based analysis, and also includes findings regarding DFA results and fractal derivative performances. The combined strategy is designed to reflect short-term market movements and long-term trends and correlations, producing a flexible and powerful base for price forecasting.
The conducted DFA on Bulgarian electricity prices revealed the presence of long-term correlations and persistent market dependence over the years observed. In particular, the monthly and yearly electricity prices alpha (α) results showed a very strong temporal correlation as for most of the months α values were in the range of 0.5 < α < 1.
The results of fractional derivatives, with the use the Caputo method, gave additional insights into the dynamics involved in electricity prices. Using a sequential application of fractional derivatives (α = 0.2, 0.5, and 0.8) shows how complex the non-linear behavior of market prices can be, both in short-term fluctuations and long-term trends. For the minimal α setting (for example, α = 0.2), the fractional derivative became more responsive to fine-grained market fluctuations and could catch short price spikes and sudden movements in lower parts of the market. For example, larger values of α, such as α = 0.8, tended to reduce short-term noise while highlighting long-term trends in the market and cycles that exhibited persistence.
It can be considered that the SARIMA model can be very good at identifying periodicities and seasonal trends over long periods. Still, it will not perform as well during sudden price changes or shocks in the market. The LSTM is the perfect fit that accommodates sudden changes and captures non-linearity. Then, we have a much richer picture of such a combined approach with fractals and DFA characteristics to market persistence, memory effects, and short- as well as long-term dependencies. We used the combined model strategy with MAE, MSE, and RMSE for the accuracy of forecasting. The models differed partly in their predictions. The SARIMA model next estimated that the prices would remain stable for 60 days, whilst the LSTM model predicted jumps in price. This suggests that each contribution of the model can predict better than the others; therefore, the composite should be integrated carefully, and the component should be weighted properly to maximize overall forecasting accuracy.
The hybrid approach used in this study for short-term forecasting showed the advantages of the SARIMA model on seasonal patterns and cyclical behaviors, and the LSTM model, while also addressing complex non-linear dynamic relations, as well as the extra analytical value that DFA and fractal derivative can contribute to long-term forecasting prowess volatile market situations. This combined strategy allows leveraging the strengths of both models—LSTM for short-term fluctuations and SARIMA for seasonal consistency—, resulting in a robust framework for electricity price forecasting. The results achieved with both models align well with the variability and persistence characteristics observed in the DFA, demonstrating the coherence and reliability of the proposed framework.
5. Conclusions and Future Work
The research provides a unique contribution by synthesizing fractal analysis, fractional derivatives, LSTM, and SARIMA models into a unified forecasting and trading strategy. To our knowledge, this is the first study to combine these techniques in the energy market domain, demonstrating improved performance over standalone models.
This strategy uses the above models to calculate long-range dependencies and short-run variations in electricity price data, enabling better predictions than using each model separately. DFA and fractional derivatives provide a deeper understanding of the structure of electricity price series, while the LSTM model captures non-linear long-term dependencies and the dynamic structure of the markets.
However, there are still difficulties with forecasting abrupt market shocks and high volatility. Additionally, the framework faces other challenges, including computational complexity, the interpretability of some methods like LSTM and fractional derivatives, data preprocessing requirements, dependency on high-quality datasets, limited generalizability to other markets, and challenges in integrating outputs from multiple models. These limitations highlight the importance of further research to enhance the framework’s robustness, scalability, and usability in diverse energy market contexts. Therefore, future work should focus on expanding the proposed methodology to integrate attention mechanisms within LSTM networks, develop hybrid architectures, and use ensemble methods for improved prediction.
While this study focuses on day-ahead electricity price forecasting, the integrated approach combining fractal analysis, fractional derivatives, LSTM, and SARIMA models can be adapted for other forecast horizons. For medium-term forecasting, the models can incorporate additional features, such as macroeconomic indicators and policy changes. These features can enhance the models’ ability to predict mid-range dynamics and align with evolving policy frameworks. Long-term forecasting, on the other hand, can leverage the seasonal and trend-capturing capabilities of SARIMA, while incorporating external factors like infrastructure developments, climate impacts, and technological shifts. The importance of accurate short-term price forecasting extends beyond the day-ahead market itself, as forward and futures market pricing is closely tied to day-ahead forecasted prices. Future research could explore optimizing the parameters and training methodologies for these horizons, ensuring the models’ scalability and reliability across diverse forecasting timeframes.
Author Contributions
Conceptualization, methodology, software, validation, E.P., G.G.-T.; formal analysis, investigation, data curation, E.P.; writing—original draft preparation, E.P.; writing—review and editing, G.G.-T. All authors have read and agreed to the published version of the manuscript.
Funding
This research received no external funding.
Data Availability Statement
The data used in the study are publicly available and can be found at the link: https://m-transparency.entsoe.eu/, accessed on 13 November 2024.
Conflicts of Interest
The authors declare no conflicts of interest.
References
- Aneiros, G.; Vilar, J.; Raña, P. Short-term forecast of daily curves of electricity demand and price. Int. J. Electr. Power Energy Syst. 2016, 80, 96–108. [Google Scholar] [CrossRef]
- Huang, W.; Nakamori, Y.; Wang, S.-Y. Forecasting stock market movement direction with support vector machine. Comput. Oper. Res. 2005, 32, 2513–2522. [Google Scholar] [CrossRef]
- Weron, R. Electricity price forecasting: A review of the state-of-the-art with a look into the future. Int. J. Forecast. 2014, 30, 1030–1081. [Google Scholar] [CrossRef]
- Aggarwal, S.K.; Saini, L.M.; Kumar, A. Electricity price forecasting in deregulated markets: A review and evaluation. Int. J. Electr. Power Energy Syst. 2009, 31, 13–22. [Google Scholar] [CrossRef]
- Castelli, M.; Groznik, A.; Popovič, A. Forecasting Electricity Prices: A Machine Learning Approach. Algorithms 2020, 13, 119. [Google Scholar] [CrossRef]
- Mystakidis, A.; Koukaras, P.; Tsalikidis, N.; Ioannidis, D.; Tjortjis, C. Energy Forecasting: A Comprehensive Review of Techniques and Technologies. Energies 2024, 17, 1662. [Google Scholar] [CrossRef]
- Nassar, Y.F.; Alsadi, S.Y.; El-Khozondar, H.J.; Ismail, M.S.; Al-Maghalseh, M.; Khatib, T.; Sa’ed, J.A.; Mushtaha, M.H.; Djerafi, T. Design of an isolated renewable hybrid energy system: A case study. Mater Renew Sustain. Energy 2022, 11, 225–240. [Google Scholar] [CrossRef]
- Box, G.E.P.; Jenkins, G.M.; Reinsel, G.C.; Ljung, G.M. Time Series Analysis: Forecasting and Control; Wiley: Hoboken, NJ, USA, 2015. [Google Scholar]
- Rigoli, L.M.; Lorenz, T.; Coey, C.; Kallen, R.; Jordan, S.; Richardson, M.J. Co-actors Exhibit Similarity in Their Structure of Behavioural Variation That Remains Stable Across Range of Naturalistic Activities. Sci. Rep. 2020, 10, 6308. [Google Scholar] [CrossRef]
- Mahmoodi, K.; Kerick, S.E.; Grigolini, P.; Franaszczuk, P.J.; West, B.J. Temporal complexity measure of reaction time series: Operational versus event time. Brain Behav. 2023, 13, e3069. [Google Scholar] [CrossRef]
- Zhao, S.; Jiang, Y.; He, W.; Mei, Y.; Xie, X.; Wan, S. Detrended fluctuation analysis based on best-fit polynomial. Front. Environ. Sci. 2022, 10, 1054689. [Google Scholar] [CrossRef]
- Taleb, N.N. Antifragile: Things That Gain from Disorder; Random House: New York, NY, USA, 2012. [Google Scholar]
- Ionescu, C.; Machado, J.T.; Baleanu, D. Recent Advancements of Fractional Calculus and Its Applications in Physical Systems. Eur. Phys. J. Spec. Top. 2023, 232, 2347–2350. [Google Scholar] [CrossRef]
- Das, S.; Podlubny, I.; Kusnezov, D. Fractional Models for Analysis of Economic Risks. Fract. Calc. Appl. Anal. 2023, 26, 2602–2617. [Google Scholar] [CrossRef]
- Kılıç, D.K.; Nielsen, P.; Thibbotuwawa, A. Intraday Electricity Price Forecasting via LSTM and Trading Strategy for the Power Market: A Case Study of the West Denmark DK1 Grid Region. Energies 2024, 17, 2909. [Google Scholar] [CrossRef]
- Hyndman, R.J.; Athanasopoulos, G. Forecasting: Principles and Practice; OTexts: Melbourne, Australia, 2018. [Google Scholar]
- Billé, A.G.; Gianfreda, A.; Grosso, F.D.; Ravazzolo, F. Forecasting electricity prices with expert, linear, and nonlinear models. Int. J. Forecast. 2023, 39, 570–586. [Google Scholar] [CrossRef]
- Pierre, A.A.; Akim, S.A.; Semenyo, A.K.; Babiga, B. Peak Electrical Energy Consumption Prediction by ARIMA, LSTM, GRU, ARIMA-LSTM and ARIMA-GRU Approaches. Energies 2023, 16, 4739. [Google Scholar] [CrossRef]
- Smyl, S. A hybrid method of exponential smoothing and recurrent neural networks for time series forecasting. Int. J. Forecast. 2020, 36, 75–85. [Google Scholar] [CrossRef]
- Paun, M.-A.; Paun, V.-A.; Paun, V.-P. Monetary Datum Fractal Analysis Using the Time Series Theory. Symmetry 2023, 15, 1896. [Google Scholar] [CrossRef]
- Abdelhamid, H.; Stamov, G.; Souid, M.S.; Stamova, I. New Results Achieved for Fractional Differential Equations with Riemann–Liouville Derivatives of Nonlinear Variable Order. Axioms 2023, 12, 895. [Google Scholar] [CrossRef]
- Zhukov, D.; Otradnov, K.; Kalinin, V. Fractional-Differential Models of the Time Series Evolution of Socio-Dynamic Processes with Possible Self-Organization and Memory. Mathematics 2024, 12, 484. [Google Scholar] [CrossRef]
- Wang, Z.; Mae, M.; Yamane, T.; Ajisaka, M.; Nakata, T.; Matsuhashi, R. Enhanced Day-Ahead Electricity Price Forecasting Using a Convolutional Neural Network–Long Short-Term Memory Ensemble Learning Approach with Multimodal Data Integration. Energies 2024, 17, 2687. [Google Scholar] [CrossRef]
- Janczura, J.; Trück, S.; Weron, R.; Wolff, R.C. Identifying spikes and seasonal components in electricity spot price data: A guide to robust modeling. Energy Econ. 2013, 38, 96–110. [Google Scholar] [CrossRef]
- Berthelot, B.; Grivel, E.; Legrand, P.; Giremus, A. Definition of the fluctuation function in the detrended fluctuation analysis and its variants. Eur. Phys. J. B 2021, 94, 225. [Google Scholar] [CrossRef]
- Peng, C.-K.; Buldyrev, S.V.; Havlin, S.; Simons, M.; Stanley, H.E.; Goldberger, A.L. Mosaic organization of DNA nucleotides. Phys. Rev. E 1994, 49, 1685–1689. [Google Scholar] [CrossRef]
- Yue, J.; Zhao, X.; Shang, P. Effect of Trends on Detrended Fluctuation Analysis of Precipitation Series. Math. Probl. Eng. 2010, 2010, 749894. [Google Scholar] [CrossRef]
- Gorecki, T.; Łuczak, M. First and Second Derivatives in Time Series Classification Using DTW. Commun. Stat. Simul. Comput. 2014, 43, 2081–2092. [Google Scholar] [CrossRef]
- Gorecki, T.; Łuczak, M. Using derivatives in time series classification. Data Min. Knowl. Discov. 2013, 26, 310–331. [Google Scholar] [CrossRef]
- Fečkan, M.; Danca, M.-F.; Chen, G. Fractional Differential Equations with Impulsive Effects. Fractal Fract. 2024, 8, 500. [Google Scholar] [CrossRef]
- Kilbas, A.A.; Srivastava, H.M.; Trujillo, J.J. Theory and Applications of Fractional Differential Equations; Elsevier: Amsterdam, The Netherlands, 2006. [Google Scholar]
- Magin, R.L. Fractional Calculus in Bioengineering; Begell House: Redding, CT, USA, 2006. [Google Scholar]
- Baitichea, Z.; Derbazia, C.; Benchohra, M. ψ–Caputo Fractional Differential Equations with Multi-point Boundary Conditions by Topological Degree Theory. Results Nonlinear Anal. 2020, 4, 167–178. [Google Scholar]
- Ortigueira, M.D.; Coito, F. From Differences to Derivatives. Fract. Calc. Appl. Anal. 2004, 7, 459–478. [Google Scholar]
- Cook, J.D. Introduction to Grünwald–Letnikov Fractional Derivatives. 2016. Available online: https://www.johndcook.com/blog/2016/07/26/grunwald-letnikov/ (accessed on 13 November 2024).
- Sun, H.; Zhang, Y.; Baleanu, D.; Chen, W.; Chen, Y. A new collection of real-world applications of fractional calculus in science and engineering. Commun. Nonlinear Sci. Numer. Simul. 2018, 64, 213–231. [Google Scholar] [CrossRef]
- Herrmann, R. Fractional Calculus: An Introduction for Physicists; World Scientific: Singapore, 2014. [Google Scholar]
- Ahmed, E.; El-Sayed, A.; El-Saka, H.A. On some Riemann-Liouville fractional order models. Phys. Lett. A 2007, 358, 1–4. [Google Scholar] [CrossRef]
- Liu, H.; Shen, X.; Tang, X.; Liu, J. Day-Ahead Electricity Price Probabilistic Forecasting Based on SHAP Feature Selection and LSTNet Quantile Regression. Energies 2023, 16, 5152. [Google Scholar] [CrossRef]
- Gers, F.A.; Schmidhuber, J.; Cummins, F. Learning to Forget: Continual Prediction with LSTM. Neural Comput. 2000, 12, 2451–2471. [Google Scholar] [CrossRef]
- Graves, A. Generating Sequences with Recurrent Neural Networks. arXiv 2013, arXiv:1308.0850. [Google Scholar]
- Yu, H.-F.; Rao, N.; Dhillon, I.S. Temporal Regularized Matrix Factorization for High-Dimensional Time Series Prediction. In Proceedings of the Neural Information Processing Systems (NIPS), Barcelona, Spain, 5–10 December 2016. [Google Scholar]
- Goodfellow, I.; Bengio, Y.; Courville, A. Deep Learning; MIT Press: Cambridge, MA, USA, 2016. [Google Scholar]
- Chatfield, C. The Analysis of Time Series: An Introduction, 6th ed.; Chapman & Hall/CRC: Boca Raton, FL, USA, 2003. [Google Scholar]
- Brockwell, P.J.; Davis, R.A. Introduction to Time Series and Forecasting, 2nd ed.; Springer: New York, NY, USA, 2002. [Google Scholar]
Disclaimer/Publisher’s Note: The statements, opinions and data contained in all publications are solely those of the individual author(s) and contributor(s) and not of MDPI and/or the editor(s). MDPI and/or the editor(s) disclaim responsibility for any injury to people or property resulting from any ideas, methods, instructions or products referred to in the content. |
© 2024 by the authors. Licensee MDPI, Basel, Switzerland. This article is an open access article distributed under the terms and conditions of the Creative Commons Attribution (CC BY) license (https://creativecommons.org/licenses/by/4.0/).