Research on Slope Early Warning and Displacement Prediction Based on Multifractal Characterization
Abstract
1. Introduction
2. Materials and Methods
2.1. Projiect Overview and Monitoring Data
2.2. MF-DFA
2.3. M-K Test Method
2.4. PSO-LSTM Prediction Modeling
2.4.1. LSTM
- Forgetting Gate: This gate determines whether information should be discarded or retained. It processes relevant information through the sigmoid function, producing an output between 0 and 1, where values closer to 0 indicate less importance and greater likelihood of being discarded, while values closer to 1 signify critical information.
- Input Gate: This gate updates the cell state. After processing by both sigmoid and hyperbolic tangent () functions, a final output value closer to 0 indicates less importance, whereas a value closer to 1 indicates significant information.
- Output Gate: Similar to the input gate, the output gate determines the value of the next hidden state in the cell structure. The processed value from this gate is used to decide the information the hidden state should carry, which is then passed along with the new cell state.
2.4.2. Improvement of PSO Algorithm
2.4.3. PSO-LSTM
3. Results and Discussion
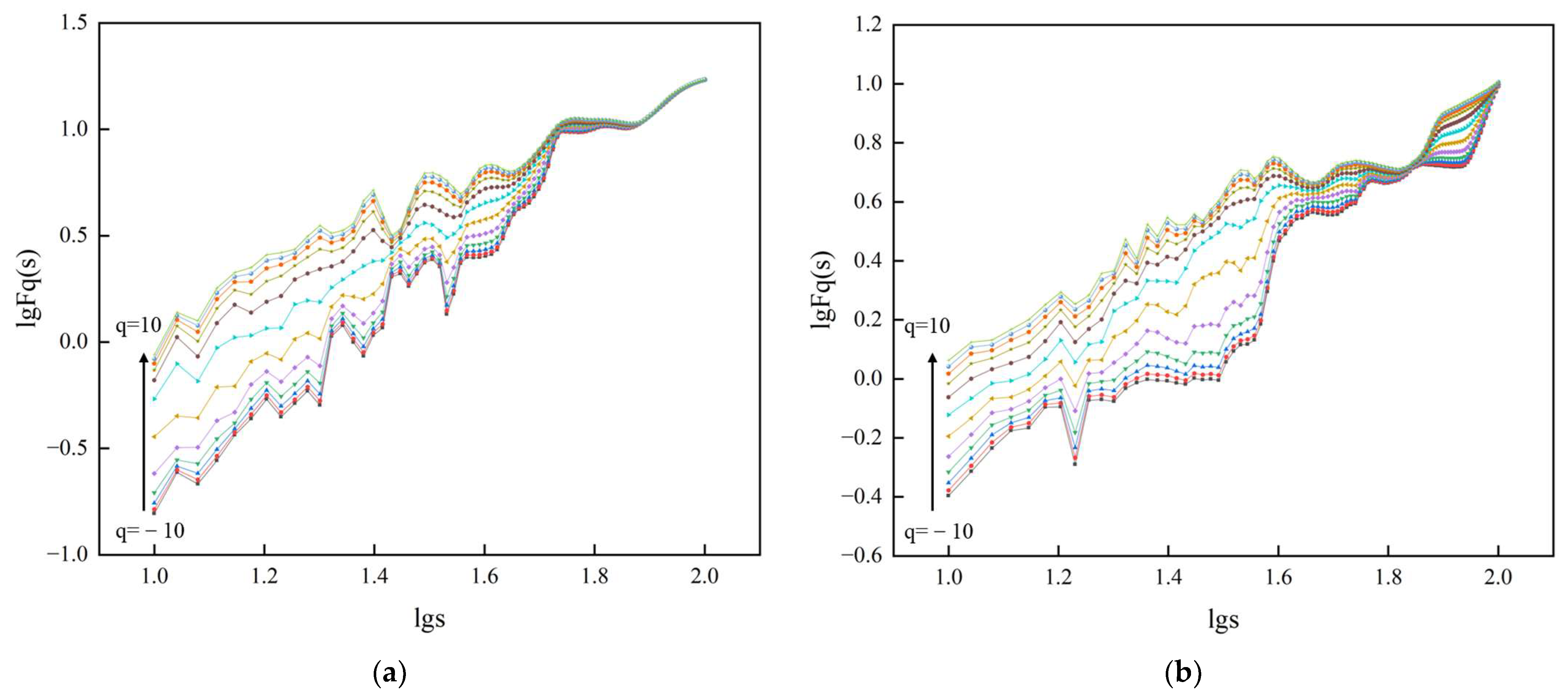
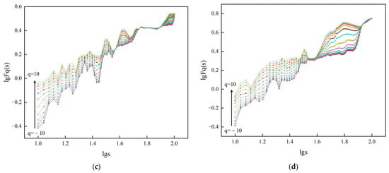
3.1. Multifractal Characterization of Slope Surface Displacement
3.2. Early Warning Grading Study of landslides on Slopes
3.2.1. Criteria for Classifying the Warning Level of Landslides on Slopes
- Level I warnings indicate that slope deformation is trending in an extremely unfavorable direction, posing a significant risk of damage and serving as a precursor to imminent disaster. In this scenario, it is recommended to implement necessary disaster prevention and management measures, including evacuation and relocation, to mitigate potential losses.
- Level II warnings indicate that deformation is moving in an unfavorable direction, presenting a general risk of damage.
- Level III warnings suggest that deformation is trending towards stabilization.
3.2.2. Slope Landslide Warning Classification
3.3. Prediction of Slope Surface Displacements
3.3.1. Optimization of Model Parameters
3.3.2. Model Predictions
4. Conclusions
- The application of the MF-DFA method reveals that the slope surface displacements exhibit multiple fractal characteristics, indicating a stable developmental trend toward stabilization.
- The PSO-LSTM prediction model was employed to forecast the deformation trends of slope surface displacements. The results for the test set yielded R2 = 0.91, MAE = 0.55, and RMSE = 0.72. The prediction errors associated with the PSO-LSTM model were minimal, demonstrating that the model effectively meets the requirements for slope surface displacement prediction.
- Synthesis of results from the analysis of multifractal characteristics and deformation predictions indicates that the current warning level for the slope is III, with subsequent deformations trending toward stabilization. Continued routine monitoring and inspections are recommended.
- The slopes analyzed in this study were characterized by a homogenous rock body and limited monitoring point locations. In future studies, a comprehensive fractal characterization of surface displacement monitoring results across multiple slopes with varying rock properties will be conducted. Additionally, numerical modeling of these slopes will be performed to further validate the accuracy of the proposed method. Additionally, incorporating more influencing factors related to slope deformation could further enhance the predictive accuracy of the PSO-LSTM model.
Author Contributions
Funding
Data Availability Statement
Acknowledgments
Conflicts of Interest
References
- Cao, S.; Ye, H.; Zhan, Y. Cliff roads: An ecological conservation technique for road construction in mountainous regions of China. Landsc. Urban Plan 2010, 94, 228–233. [Google Scholar] [CrossRef]
- Park, H.J.; West, T.R.; Woo, I. Probabilistic analysis of rock slope stability and random properties of discontinuity parameters, Interstate Highway 40, Western North Carolina, USA. Eng. Geol. 2005, 79, 230–250. [Google Scholar] [CrossRef]
- Niu, P.; Zhou, A.; Huang, H. Assessing model of highway slope stability based on optimized SVM. China Geol. 2020, 3, 339–344. [Google Scholar] [CrossRef]
- Lin, H.; Chang, S.; Wu, J.; Juang, C.H. Neural network-based model for assessing failure potential of highway slopes in the Alishan, Taiwan Area: Pre- and post-earthquake investigation. Eng. Geol. 2009, 104, 280–289. [Google Scholar] [CrossRef]
- Shinoda, M.; Miyata, Y.; Kurokawa, U.; Kondo, K. Regional landslide susceptibility following the 2016 Kumamoto earthquake using back-calculated geomaterial strength parameters. Landslides 2019, 16, 1497–1516. [Google Scholar] [CrossRef]
- Song, J.; Rodriguez-Marek, A.; Feng, T.; Ji, J. A generalized seismic sliding model of slopes with multiple slip surfaces. Earthq. Eng. Struct. D 2021, 50, 2595–2612. [Google Scholar] [CrossRef]
- Chen, L.; Zhao, C.; Li, B.; He, K.; Ren, C.; Liu, X.; Liu, D. Deformation monitoring and failure mode research of mining-induced Jianshanying landslide in karst mountain area, China with ALOS/PALSAR-2 images. Landslides 2021, 18, 2739–2750. [Google Scholar] [CrossRef]
- Kanungo, D.P.; Arora, M.K.; Sarkar, S.; Gupta, R.P. A comparative study of conventional, ANN black box, fuzzy and combined neural and fuzzy weighting procedures for landslide susceptibility zonation in Darjeeling Himalayas. Eng. Geol. 2006, 85, 347–366. [Google Scholar] [CrossRef]
- Kundu, S.; Saha, A.K.; Sharma, D.C.; Pant, C.C. Remote Sensing and GIS Based Landslide Susceptibility Assessment using Binary Logistic Regression Model: A Case Study in the Ganeshganga Watershed, Himalayas. J. Indian Soc. Remote 2013, 41, 697–709. [Google Scholar] [CrossRef]
- Wubalem, A.; Meten, M. Landslide susceptibility mapping using information value and logistic regression models in Goncha Siso Eneses area, northwestern Ethiopia. SN Appl. Sci. 2020, 2, 807. [Google Scholar] [CrossRef]
- Ayalew, L.; Yamagishi, H. Slope failures in the Blue Nile basin, as seen from landscape evolution perspective. Geomorphology 2004, 57, 95–116. [Google Scholar] [CrossRef]
- Temesgen, B.; Mohammed, M.U.; Korme, T. Natural hazard assessment using GIS and remote sensing methods, with particular reference to the landslides in the Wondogenet area, Ethiopia. Phys. Chem. Earth Part C—Sol. Terrestial Planet. Sci. 2001, 26, 665–675. [Google Scholar] [CrossRef]
- Singh, T.N.; Gulati, A.; Dontha, L.; Bhardwaj, V. Evaluating cut slope failure by numerical analysis—A case study. Nat. Hazards 2008, 47, 263–279. [Google Scholar] [CrossRef]
- Ramakrishnan, D.; Singh, T.N.; Verma, A.K.; Gulati, A.; Tiwari, K.C. Soft computing and GIS for landslide susceptibility assessment in Tawaghat area, Kumaon Himalaya, India. Nat. Hazards 2013, 65, 315–330. [Google Scholar] [CrossRef]
- Cheng, Y.M.; Lansivaara, T.; Wei, W.B. Two-dimensional slope stability analysis by limit equilibrium and strength reduction methods: Reply. Comput. Geotech. 2008, 35, 309–311. [Google Scholar] [CrossRef]
- Liu, S.Y.; Shao, L.T.; Li, H.J. Slope stability analysis using the limit equilibrium method and two finite element methods. Comput. Geotech. 2015, 63, 291–298. [Google Scholar] [CrossRef]
- Morales-Esteban, A.; Luis De Justo, J.; Reyes, J.; Miguel Azanon, J.; Durand, P.; Martinez-Alvarez, F. Stability analysis of a slope subject to real accelerograms by finite elements. Application to San Pedro cliff at the Alhambra in Granada. Soil Dyn. Earthq. Eng. 2015, 69, 28–45. [Google Scholar] [CrossRef]
- Stianson, J.R.; Chan, D.; Fredlund, D.G. Role of admissibility criteria in limit equilibrium slope stability methods based on finite element stresses. Comput. Geotech. 2015, 66, 113–125. [Google Scholar] [CrossRef]
- Moawwez, M.A.; Wang, J.; Hussain, M.A. Development of empirical correlations for limit equilibrium methods of slope stability analysis. Arab. J. Geosci. 2021, 14, 2020. [Google Scholar] [CrossRef]
- Tesfaye, M.; Regassa, B.; Garo, T. Rock slope stability modeling using kinematic and limit equilibrium methods along Woliso to Wonchi lake road, central Ethiopia. Model. Earth Syst. Environ. 2024, 10, 331–347. [Google Scholar] [CrossRef]
- Deparis, J.; Garambois, S.; Hantz, D. On the potential of Ground Penetrating Radar to help rock fall hazard assessment: A case study of a limestone slab, Gorges de la Bourne (French Alps). Eng. Geol. 2007, 94, 89–102. [Google Scholar] [CrossRef]
- Medeiros Santos, A.E.; Lana, M.S.; Cabral, I.E.; Pereira, T.M.; Naghadehi, M.Z.; Santos Da Silva, D.D.F.; Dos Santos, T.B. Evaluation of Rock Slope Stability Conditions Through Discriminant Analysis. Geotech. Geol. Eng. 2019, 37, 775–802. [Google Scholar] [CrossRef]
- Sarkar, S.; Kanungo, D.P.; Kumar, S. Rock Mass Classification and Slope Stability Assessment of Road Cut Slopes in Garhwal Himalaya, India. Geotech. Geol. Eng. 2012, 30, 827–840. [Google Scholar] [CrossRef]
- Vishal, V.; Siddique, T.; Purohit, R.; Phophliya, M.K.; Pradhan, S.P. Hazard assessment in rockfall-prone Himalayan slopes along National Highway-58, India: Rating and simulation. Nat. Hazards 2017, 85, 487–503. [Google Scholar] [CrossRef]
- Verma, A.K.; Kumar, N.; Sardana, S.; Singh, T.N. Rockfall Analysis and Optimized Design of Rockfall Barrier Along a Strategic Road near Solang Valley, Himachal Pradesh, India. Indian Geotech. J. 2018, 48, 686–699. [Google Scholar] [CrossRef]
- Sardana, S.; Verma, A.K.; Verma, R.; Singh, T.N. Rock slope stability along road cut of Kulikawn to Saikhamakawn of Aizawl, Mizoram, India. Nat. Hazards 2019, 99, 753–767. [Google Scholar] [CrossRef]
- Sardana, S.; Verma, A.K.; Singh, A.; Laldinpuia. Comparative analysis of rockmass characterization techniques for the stability prediction of road cut slopes along NH-44A, Mizoram, India. Bull. Eng. Geol. Environ. 2019, 78, 5977–5989. [Google Scholar] [CrossRef]
- Cignetti, M.; Godone, D.; Wrzesniak, A.; Giordan, D. Structure from Motion Multisource Application for Landslide Characterization and Monitoring: The Champlas du Col Case Study, Sestriere, North-Western Italy. Sensors 2019, 19, 2364. [Google Scholar] [CrossRef]
- Do, T.M.T.; Artieres, T. Learning mixture models with support vector machines for sequence classification and segmentation. Pattern Recogn. 2009, 42, 3224–3230. [Google Scholar] [CrossRef]
- Yang, Y.; Song, S.; Yue, F.; He, W.; Shao, W.; Zhao, K.; Nie, W. Superpixel-based automatic image recognition for landslide deformation areas. Eng. Geol. 2019, 259, 105166. [Google Scholar] [CrossRef]
- Li, Q.; Song, D.; Yuan, C.; Nie, W. An image recognition method for the deformation area of open-pit rock slopes under variable rainfall. Measurement 2022, 188, 110544. [Google Scholar] [CrossRef]
- Wang, G.; Zhao, B.; Wu, B.; Zhang, C.; Liu, W. Intelligent prediction of slope stability based on visual exploratory data analysis of 77 in situ cases. Int. J. Min. Sci. Technol. 2023, 33, 47–59. [Google Scholar] [CrossRef]
- Lin, S.; Zheng, H.; Han, B.; Li, Y.; Han, C.; Li, W. Comparative performance of eight ensemble learning approaches for the development of models of slope stability prediction. Acta Geotech. 2022, 17, 1477–1502. [Google Scholar] [CrossRef]
- Zhang, W.; Li, H.; Han, L.; Chen, L.; Wang, L. Slope stability prediction using ensemble learning techniques: A case study in Yunyang County, Chongqing, China. J. Rock Mech. Geotech. 2022, 14, 1089–1099. [Google Scholar] [CrossRef]
- Qi, C.; Tang, X. Slope stability prediction using integrated metaheuristic and machine learning approaches: A comparative study. Comput. Ind. Eng. 2018, 118, 112–122. [Google Scholar] [CrossRef]
- Kardani, N.; Zhou, A.; Nazem, M.; Shen, S. Improved prediction of slope stability using a hybrid stacking ensemble method based on finite element analysis and field data. J. Rock Mech. Geotech. 2021, 13, 188–201. [Google Scholar] [CrossRef]
- Khanh, P.; Kim, D.; Park, S.; Choi, H. Ensemble learning-based classification models for slope stability analysis. Catena 2021, 196, 104886. [Google Scholar] [CrossRef]
- Dong, Y.; Lan, Y.; Li, B.; Li, W. Study on deformation characteristics and early warning analysis of rainfall-type shallow soil landslides—Tongnan Orchard in Chongqing as an example. Yangtze River 2020, 51, 97–101. [Google Scholar] [CrossRef]
- Deng, X. Landslide deformation stability evaluation and early warning analysis based on information decomposition. Yangtze River 2021, 52, 101–107. [Google Scholar] [CrossRef]
- Zhou, Z.; Shen, J.; Shu, J.; Duan, W.; Yang, R.; Li, Y. Study of prediction and early warning of slope deformation of accumulation layer in front of a hydropower station dam in Southwest China. J. Chengdu Univ. Technol. (Sci. Technol. Ed.) 2020, 47, 481–491. [Google Scholar]
- Lei, H.; Zhou, X.; Wang, Y. Research on landslide early warning and prediction based on combined response of multifractal characteristics and sub item prediction. J. Geod. Geodyn. 2022, 42, 885–891. [Google Scholar] [CrossRef]
- Mao, H.; Zhang, M.; Li, B.; Xu, N. Stability Analysis of the Left Bank Slope of Baihetan Hydropower Station Based on the MF-DFA Method. Adv. Civ. Eng. 2020, 2020, 8898318. [Google Scholar] [CrossRef]
- Ding, L.; Li, C.; Lei, Z.; Zhang, C.; Wei, L.; Guo, Z.; Li, Y.; Fan, X.; Qi, D.; Wang, J. Spatiotemporal evolution of deformation and LSTM prediction model over the slope of the deep excavation section at the head of the South-North Water Transfer Middle Route Canal. Heliyon 2024, 10, e26301. [Google Scholar] [CrossRef]
- Xu, J.; Hou, X.; Wu, X.; Liu, Y.; Sun, G. Research on slope displacement prediction based on MIC-XGBoost-LSTM model. China J. Highw. Transp. 2024, 1–12. Available online: https://kns.cnki.net/KCMS/detail/detail.aspx?dbcode=CAPJ&dbname=CAPJLAST&filename=ZGGL20240221002&uniplatform=OVERSEA&v=1DM6sN0rIQ2AlZhs-Qi66TChuhveI3aSVq8otiIQOGTZAw56q-C9LbQiyTY2598- (accessed on 26 February 2024).
- Xiao, H.; Wang, S.; Chen, L.; Fan, Y.; Wan, J. An optimization network model for slope deformation prediction based on GA and LSTM fusion and tis application. J. Geod. Geodyn. 2024, 44, 491–496. [Google Scholar] [CrossRef]
- Yang, S.; Jin, A.; Nie, W.; Liu, C.; Li, Y. Research on SSA-LSTM-Based Slope Monitoring and Early Warning Model. Sustainability 2022, 14, 10246. [Google Scholar] [CrossRef]
- Yang, X.; Fan, X.; Wang, K.; Zhou, Z. Research on landslide susceptibility prediction model based on LSTM-RF-MDBN. Environ. Sci. Pollut. R 2024, 31, 1543–1561. [Google Scholar] [CrossRef]
- Zhang, X.; Zhu, C.; He, M.; Dong, M.; Zhang, G.; Zhang, F. Failure Mechanism and Long Short-Term Memory Neural Network Model for Landslide Risk Prediction. Remote Sens. 2022, 14, 166. [Google Scholar] [CrossRef]
- Lin, Z.; Sun, X.; Ji, Y. Landslide Displacement Prediction Model Using Time Series Analysis Method and Modified LSTM Model. Electronics 2022, 11, 1519. [Google Scholar] [CrossRef]
- Khalili, M.A.; Guerriero, L.; Pouralizadeh, M.; Calcaterra, D.; Di Martire, D. Monitoring and prediction of landslide-related deformation based on the GCN-LSTM algorithm and SAR imagery. Nat. Hazards 2023, 119, 39–68. [Google Scholar] [CrossRef]
- Xiong, Y. Correlation analysis between multifractal characteristics of regional geomorphology and development of geological disasters. Earth Sci. Res. J. 2021, 25, 49–55. [Google Scholar] [CrossRef]
- Sun, B.; Ren, F.; Liu, D. Research on the failure precursors of layered slate based on multifractal characteristics of acoustic emission. Rock Soil Mech. 2022, 43, 749–760. [Google Scholar] [CrossRef]
- Yang, C.; Huang, R.; Liu, D.; Qiu, W.; Zhang, R.; Tang, Y. Analysis and Warning Prediction of Tunnel Deformation Based on Multifractal Theory. Fractal Fract. 2024, 8, 108. [Google Scholar] [CrossRef]
- Niu, Y.; Liu, P.; Zhang, C.; Hu, Y.; Wang, J. Mechanical properties and dynamic multifractal characteristics of shale under anisotropic stress using AE technology. Geoenergy Sci. Eng. 2023, 226, 211748. [Google Scholar] [CrossRef]
- Telesca, L.; Chamoli, A.; Lovallo, M.; Stabile, T.A. Investigating the Tsunamigenic Potential of Earthquakes from Analysis of the Informational and Multifractal Properties of Seismograms. Pure Appl. Geophys. 2015, 172, 1933–1943. [Google Scholar] [CrossRef]













| Eigenvalue (Math.) | Group I | Group II | Group III | Group IV |
|---|---|---|---|---|
| 1.19744 | 0.67596 | 0.36077 | 0.2713 | |
| 0.06878 | −0.1566 | −0.1539 | 0.17519 |
| Warning Level | Indicator Criterion | Indicator Criterion | Treatment Measures |
|---|---|---|---|
| I | Decreasing trend | Increasing trend | Suspend construction and carry out necessary disaster prevention and management or relocation to avoid disaster damage. |
| II | Increasing trend | Decreasing trend | Enhance the frequency of monitoring and patrols and make disaster preparedness plans. |
| III | Steady trend | Steady trend | Normal monitoring and patrolling. |
| Indicators | Z-Value | Growing Trend | Warning Level | Integrated Early Warning |
|---|---|---|---|---|
| −2.0412 | steady trend | III | III | |
| 0.4082 | steady trend | III |
Disclaimer/Publisher’s Note: The statements, opinions and data contained in all publications are solely those of the individual author(s) and contributor(s) and not of MDPI and/or the editor(s). MDPI and/or the editor(s) disclaim responsibility for any injury to people or property resulting from any ideas, methods, instructions or products referred to in the content. |
© 2024 by the authors. Licensee MDPI, Basel, Switzerland. This article is an open access article distributed under the terms and conditions of the Creative Commons Attribution (CC BY) license (https://creativecommons.org/licenses/by/4.0/).
Share and Cite
Sun, X.; Su, Y.; Yang, C.; Tan, J.; Liu, D. Research on Slope Early Warning and Displacement Prediction Based on Multifractal Characterization. Fractal Fract. 2024, 8, 522. https://doi.org/10.3390/fractalfract8090522
Sun X, Su Y, Yang C, Tan J, Liu D. Research on Slope Early Warning and Displacement Prediction Based on Multifractal Characterization. Fractal and Fractional. 2024; 8(9):522. https://doi.org/10.3390/fractalfract8090522
Chicago/Turabian StyleSun, Xiaofei, Ying Su, Chengtao Yang, Junzhe Tan, and Dunwen Liu. 2024. "Research on Slope Early Warning and Displacement Prediction Based on Multifractal Characterization" Fractal and Fractional 8, no. 9: 522. https://doi.org/10.3390/fractalfract8090522
APA StyleSun, X., Su, Y., Yang, C., Tan, J., & Liu, D. (2024). Research on Slope Early Warning and Displacement Prediction Based on Multifractal Characterization. Fractal and Fractional, 8(9), 522. https://doi.org/10.3390/fractalfract8090522

