Strength and Fractal Characteristics of Artificial Frozen–Thawed Sandy Soft Soil
Abstract
1. Introduction
2. Materials and Methods
2.1. Experimental Materials
2.2. Experimental Design and Sample Preparation
2.3. Test Methods
2.3.1. Basic Principles of Nuclear Magnetic Resonance
2.3.2. Fractal Dimension Principle
3. Analysis of Experimental Results
3.1. Quantitative Analysis of the Microstructure of Frozen–Thawed Sandy Soft Soil
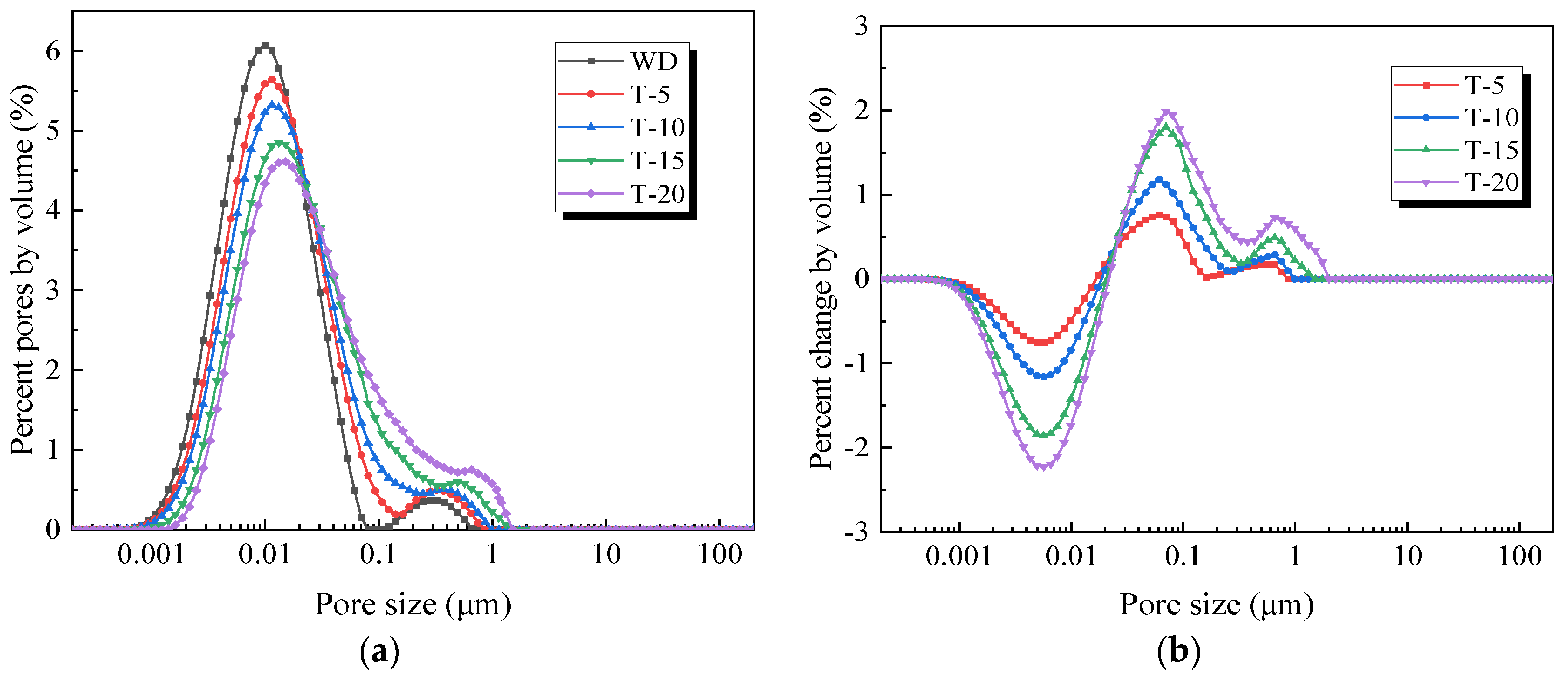
3.1.1. Impact of Freezing Temperature on Pore Distribution
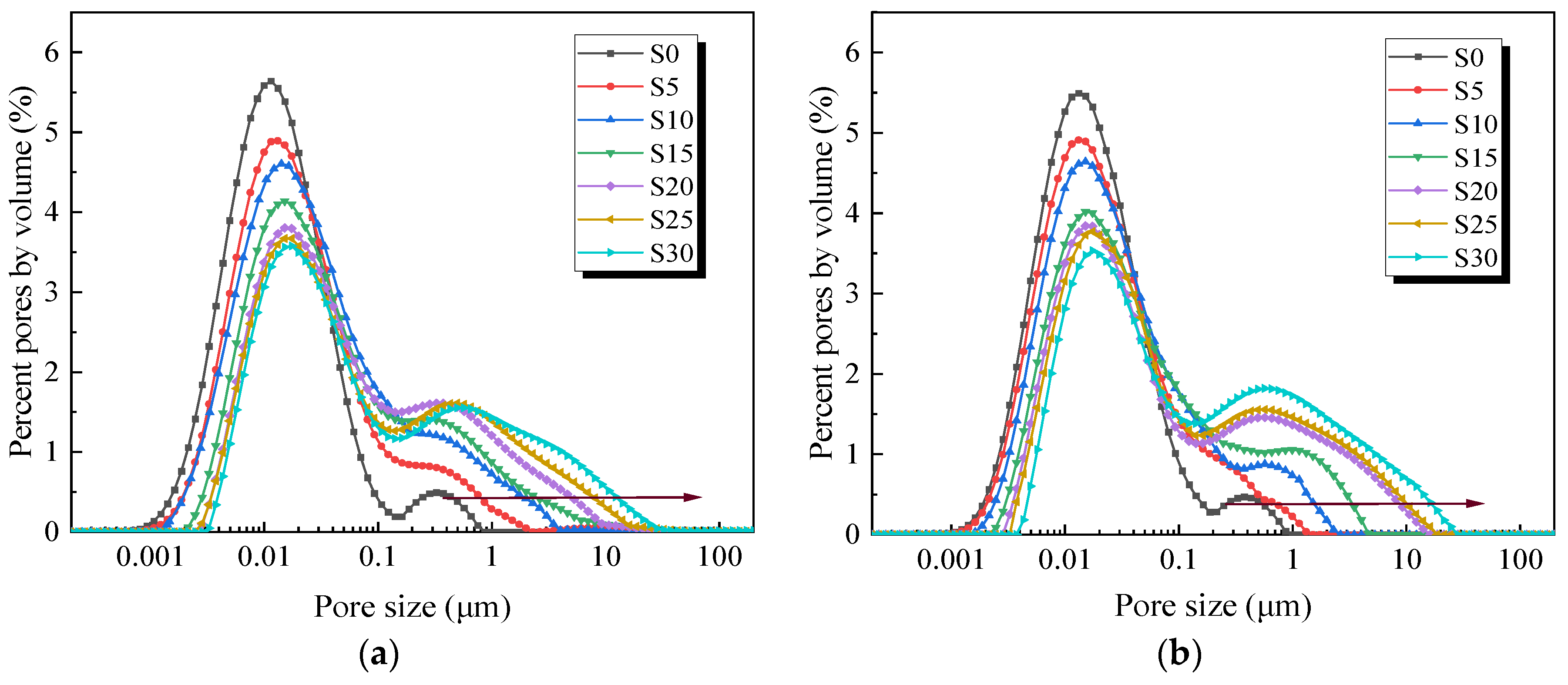
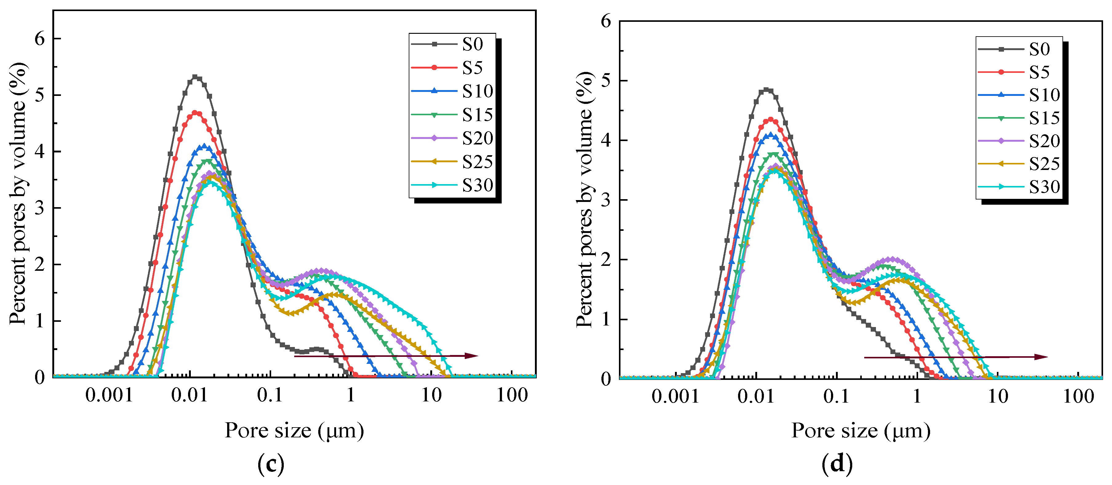
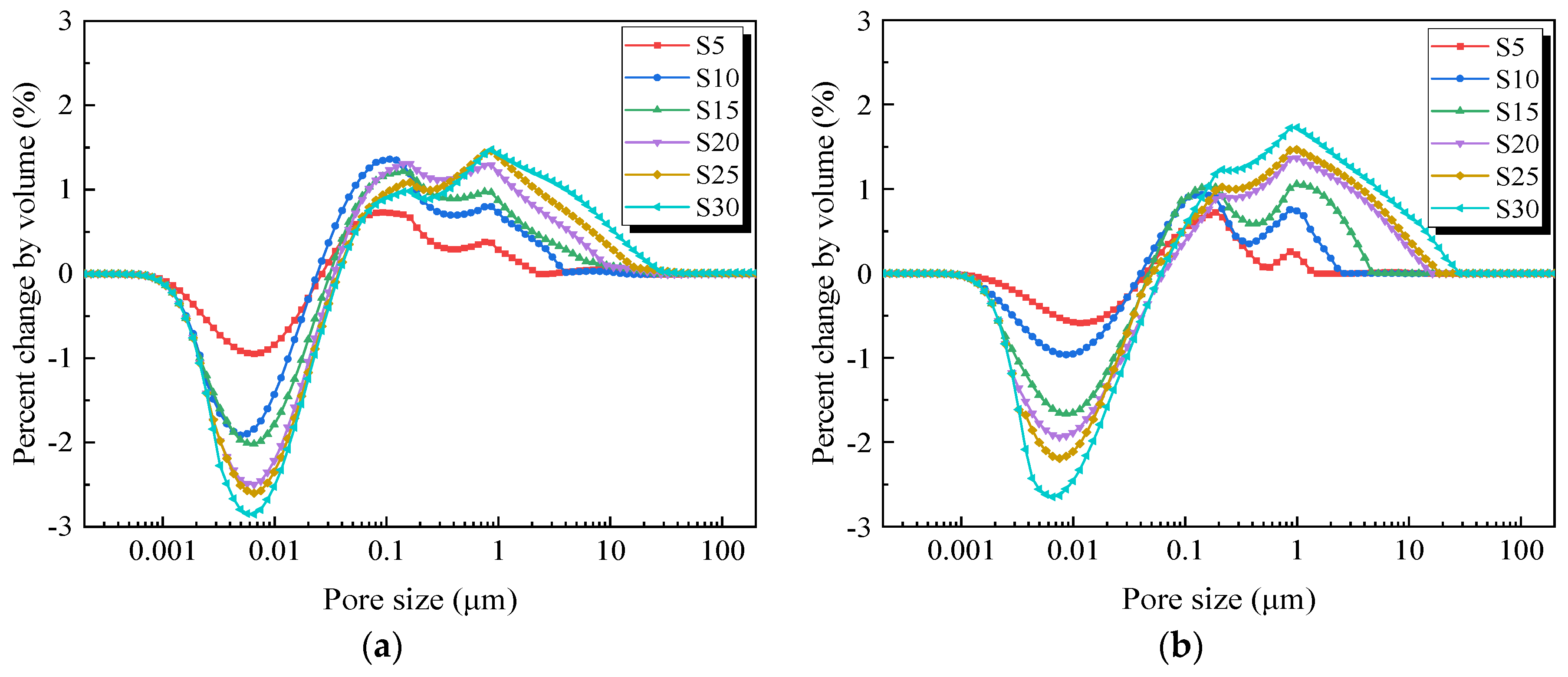
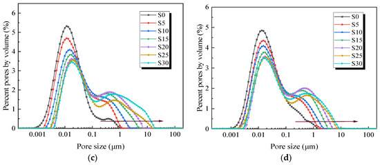
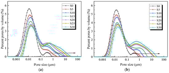
3.1.2. Impact of Sand Content on Pore Distribution
3.2. Analysis of Fractal Characteristics in Frozen–Thawed Sandy Soft Soil
3.2.1. Analysis of Fractal Dimensions of Sandy Soft Soil at Various Freezing Temperatures
3.2.2. Analysis of Pre-Freezing Fractal Dimensions of Soft Soil at Various Sand Contents
3.2.3. Analysis of Post-Freeze–Thaw Fractal Dimensions of Soft Soil at Various Sand Contents
3.3. Analysis of the Unconfined Compressive Strength of Frozen Sand–Clay Mixtures
4. Discussion
5. Conclusions
- (1)
- Pore distribution shows self-similarity, indicating fractal characteristics. Higher fractal dimensions in pore size distribution suggest more complex pore structures. Pore fluids are categorized based on the T2 cutoff value: fluids with T2 < 2.31 ms are considered bound, while those with T2 > 2.31 ms are considered movable. Fractal characteristics are more pronounced in movable fluids compared to bound fluids.
- (2)
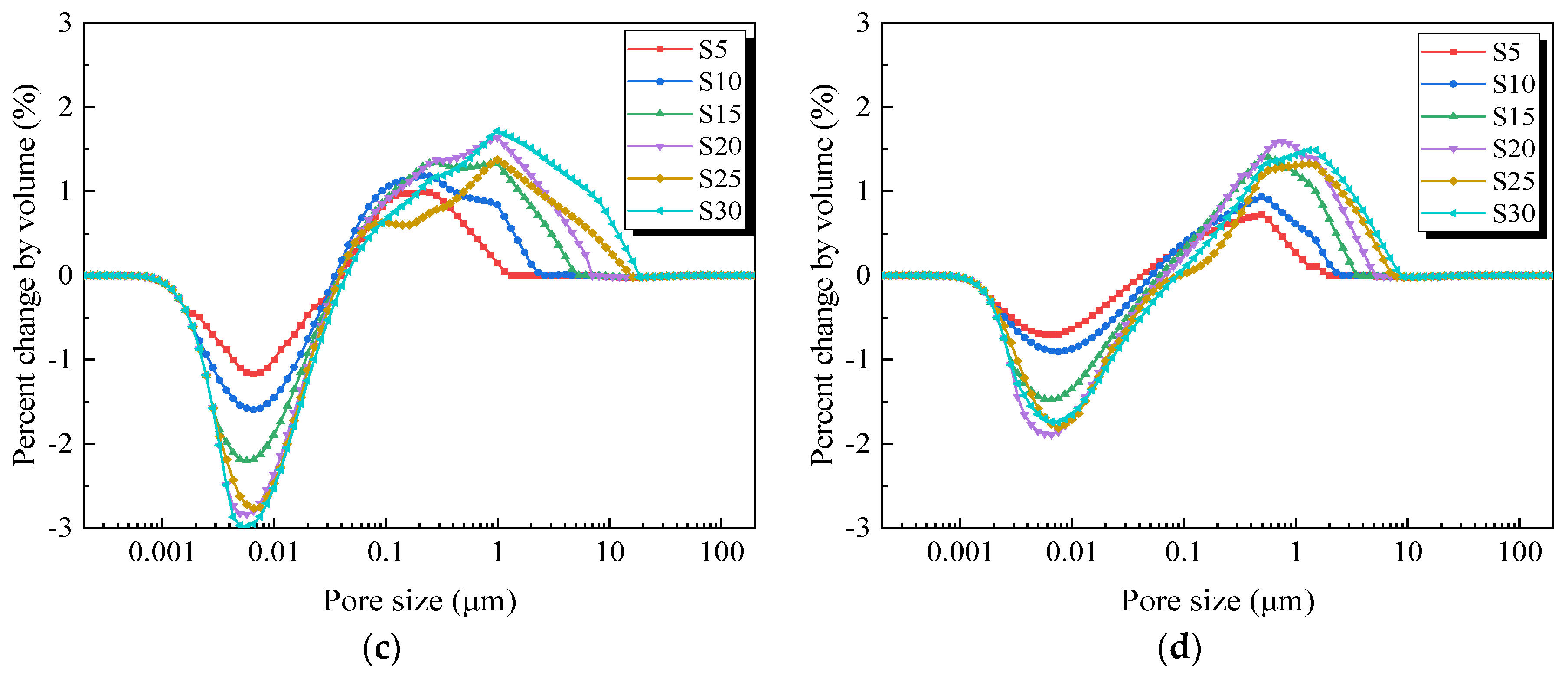
- Both pre- and post-freeze–thaw pore distributions follow a bimodal pattern, with the main peak representing smaller pores and the secondary peak larger pores. After freezing, there is a trend towards increasing pore size, which becomes more pronounced as temperatures decrease. This indicates that as pore water expands during freezing, some smaller soil pores connect with adjacent pores to form larger pores or fissures.
- (3)
- Variations in sand content affect pore distribution. As sand content increases, the number of smaller pores decreases, and the largest pores in the soil structure tend to expand. This trend occurs because irregular sands form more branched and complex large void structures, altering the local soil structure.
- (4)
- Variations in sand content and freezing temperature both affect the unconfined compressive strength of frozen sand–clay. A higher sand content leads to a lower unconfined compressive strength of the frozen soil. Conversely, lower freezing temperatures result in higher unconfined compressive strength.
- (5)
- As the freezing temperature decreases, the skeletal structure becomes more loosely arranged, leading to an increase in fractal dimension. This indicates that lower temperatures exacerbate the damaging effects of freezing on soil structure.
- (6)
- The fractal dimensions of bound and free fluids show significant correlations with sand content both before and after freeze–thaw cycles, with these correlations being more pronounced before freezing. A higher sand content leads to larger, more irregularly and unevenly distributed pores, thereby increasing the fractal dimension.
- (7)
- A larger fractal dimension signifies more complex pores and a looser skeletal structure when the freezing temperature changes. This indicates a higher degree of freezing and results in greater unconfined compressive strength.
- (8)
- When sand content varies, a larger fractal dimension indicates an increase in large voids and a more complex pore structure, making it harder for water to freeze. This results in a lower degree of freezing and reduced unconfined compressive strength.
Author Contributions
Funding
Data Availability Statement
Acknowledgments
Conflicts of Interest
References
- Tomassi, A.; Milli, S.; Tentori, D. Synthetic seismic forward modeling of a high-frequency depositional sequence: The example of the Tiber depositional sequence (Central Italy). Mar. Pet. Geol. 2024, 160, 106624. [Google Scholar] [CrossRef]
- Xue, F.C. Dynamic responses of subway tunnel in clay stratum to moving loads. Arab. J. Sci. Eng. 2017, 42, 1327–1340. [Google Scholar]
- Ding, Z.; Zhang, X.; Yin, X. Analysis of the influence of soft soil grouting on the metro tunnel based on field measurement. Eng. Comput. 2019, 36, 1522–1541. [Google Scholar] [CrossRef]
- Cui, Z.D.; Zhang, L.J.; Hou, C.Y. Seismic behavior of subway station in the soft clay field before and after freeze-thaw cycle. Soil Dyn. Earthq. Eng. 2023, 175, 108222. [Google Scholar] [CrossRef]
- Liu, J.; Yang, Y.; Yang, C. Analysis and prediction of long-term settlement of metro shield tunnel in saturated sand. Geotech. Geol. Eng. 2021, 39, 5241–5252. [Google Scholar] [CrossRef]
- Yan, Q.; Wu, W.; Zhang, C. Monitoring and evaluation of artificial ground freezing in metro tunnel construction—A case study. KSCE J. Civ. Eng. 2019, 23, 2359–2370. [Google Scholar] [CrossRef]
- Zhou, J.; Guo, Z.; Wang, C. Analysis of Freeze–Thaw Response and Pore Characteristics of Artificially Frozen Soft Soil under Combined Formation Seepage. Appl. Sci. 2022, 12, 10687. [Google Scholar] [CrossRef]
- Zhou, J.; Tang, Y. Practical model of deformation prediction in soft clay after artificial ground freezing under subway low-level cyclic loading. Tunn. Undergr. Space Technol. 2018, 76, 30–42. [Google Scholar] [CrossRef]
- Kong, B.; Xia, F.; Yu, B. Pore size changes in marine soft soil under various freezing conditions. J. Mar. Sci. Eng. 2020, 8, 170. [Google Scholar] [CrossRef]
- Yao, Y.; Zhu, Y.; Shen, D. Fuzzy random evaluation of creep model of frozen soft soil in metro tunnel construction using artificial ground freezing technique. Sci. Rep. 2023, 13, 9468. [Google Scholar] [CrossRef]
- Fan, W.; Yang, P.; Yang, Z.J. Impact of freeze-thaw on the physical properties and compressibility of saturated clay. Cold Reg. Sci. Technol. 2019, 168, 102873. [Google Scholar] [CrossRef]
- Fan, W.; Yang, P. Ground temperature characteristics during artificial freezing around a subway cross passage. Transp. Geotech. 2019, 20, 100250. [Google Scholar] [CrossRef]
- Li, J.; Tang, Y.; Feng, W. Creep behavior of soft clay subjected to artificial freeze–thaw from multiple-scale perspectives. Acta Geotech. 2020, 15, 2849–2864. [Google Scholar] [CrossRef]
- Xiao, J.; Shan, J.; Wu, N. Long-term settlement of metro viaduct piers: A case study in Shanghai soft soil. Transp. Geotech. 2023, 42, 101075. [Google Scholar] [CrossRef]
- Zhang, R.; Cheng, X.; Li, Y. Research on the ground subsidence mechanism of cross passage caused by freezing method construction. Adv. Civ. Eng. 2021, 2021, 6622177. [Google Scholar] [CrossRef]
- Ma, J.; Huang, K.; Zou, B. The influence of tunnel insulation measures on the temperature spatiotemporal variation of frozen soil during artificial ground freezing. Cold Reg. Sci. Technol. 2023, 214, 103942. [Google Scholar] [CrossRef]
- Pfeifer, P.; Avnir, D. Chemistry in noninteger dimensions between two and three. I. Fractal theory of heterogeneous surfaces. J. Chem. Phys. 1983, 79, 3558–3565. [Google Scholar] [CrossRef]
- Avnir, D.; Jaroniec, M. An isotherm equation for adsorption on fractal surfaces of heterogeneous porous materials. Langmuir 1989, 5, 1431–1433. [Google Scholar] [CrossRef]
- Li, J.; Ostoja-Starzewski, M. Thermo-poromechanics of fractal media. Philos. Trans. R. Soc. A 2020, 378, 20190288. [Google Scholar] [CrossRef]
- Zhao, Y.; Feng, Z.; Lv, Z. Percolation laws of a fractal fracture-pore double medium. Fractals 2016, 24, 1650053. [Google Scholar] [CrossRef]
- Chen, X.; Yao, G.; Herrero-Bervera, E. A new model of pore structure typing based on fractal geometry. Mar. Pet. Geol. 2018, 98, 291–305. [Google Scholar] [CrossRef]
- Zhu, J.F.; Liu, J.Z.; Yang, Y.M. Fractal characteristics of pore structures in 13 coal specimens: Relationship among fractal dimension, pore structure parameter, and slurry ability of coal. Fuel Process. Technol. 2016, 149, 256–267. [Google Scholar] [CrossRef]
- Xu, J.; Wu, K.; Li, Z. A model for gas transport in dual-porosity shale rocks with fractal structures. Ind. Eng. Chem. Res. 2018, 57, 6530–6537. [Google Scholar] [CrossRef]
- Wei, D.; Gao, Z.; Zhang, C. Pore characteristics of the carbonate shoal from fractal perspective. J. Pet. Sci. Eng. 2019, 174, 1249–1260. [Google Scholar] [CrossRef]
- Yu, Q.; Dai, Z.; Zhang, Z. Estimation of sandstone permeability with SEM images based on fractal theory. Transp. Porous Media 2019, 126, 701–712. [Google Scholar] [CrossRef]
- Sun, M.; Zou, C.; Xin, D. Pore structure evolution mechanism of cement mortar containing diatomite subjected to freeze-thaw cycles by multifractal analysis. Cem. Concr. Compos. 2020, 114, 103731. [Google Scholar] [CrossRef]
- Wang, H.Z.; Liu, X.H.; Yang, X.J. Intergrowth of a carbon layer and fractal-like trees on 3Y-TZP in TEM observations. Mater. Sci. Eng. A 2001, 311, 180–184. [Google Scholar] [CrossRef]
- Kulkarni, P.; Watwe, V.; Doltade, T. Fractal kinetics for sorption of methylene blue dye at the interface of Alginate Fullers earth composite beads. J. Mol. Liq. 2021, 336, 116225. [Google Scholar] [CrossRef]
- Xu, S.; Yang, Z.; Wu, S. Fractal analysis of pore structure differences between shale and sandstone based on the nitrogen adsorption method. Nat. Resour. Res. 2022, 31, 1759–1773. [Google Scholar] [CrossRef]
- Liu, K.; Jin, Z.; Zeng, L. Determination of clay bound water in shales from NMR signals: The fractal theory. Energy Fuels 2021, 35, 18406–18413. [Google Scholar] [CrossRef]
- Zhu, S.; Zhen, Q.; Zhang, X. Multifractal characteristics of the pore structures of physically amended sandy soil and the relationship between soil properties and multifractal parameters. Arch. Agron. Soil Sci. 2020, 66, 1188–1202. [Google Scholar] [CrossRef]
- Kong, B.; He, S.H.; Tao, Y. Pore structure and fractal characteristics of frozen–thawed soft soil. Fractal Fract. 2022, 6, 183. [Google Scholar] [CrossRef]
- He, S.H.; Ding, Z.; Hu, H.B. Effect of grain size on microscopic pore structure and fractal characteristics of carbonate-based sand and silicate-based sand. Fractal Fract. 2021, 5, 152. [Google Scholar] [CrossRef]
- Paz Ferreiro, J.; Miranda, J.; Vázquez, E.V. Multifractal analysis of soil porosity based on mercury injection and nitrogen adsorption. Vadose Zone J. 2010, 9, 325–335. [Google Scholar] [CrossRef]
- Guo, X.; Huang, Z.; Zhao, L. Pore structure and multi-fractal analysis of tight sandstone using MIP, NMR and NMRC methods: A case study from the Kuqa depression, China. J. Pet. Sci. Eng. 2019, 178, 544–558. [Google Scholar] [CrossRef]
- Hu, Z.; Zheng, S.; Li, Y. Synthesis of a novel porous diatomite/AlOOH composite material and its humidity control performance. Chem. Pap. 2022, 76, 3909–3918. [Google Scholar] [CrossRef]
- Ge, X.; Fan, Y.; Liu, J. An empirical method to correct nuclear magnetic resonance porosity of tight sandstone using low-field nuclear magnetic resonance data. AAPG Bull. 2023, 107, 539–551. [Google Scholar] [CrossRef]
- Kuptsov, K.; Griffiths, R.; Maggs, D. Technology update: Magnetic resonance-while-drilling system improves understanding of complex reservoirs. J. Pet. Technol. 2015, 67, 26–29. [Google Scholar] [CrossRef]
- Zhou, S.D.; Liu, D.M.; Cai, Y.D. Fractal characterization of pore–fracture in low-rank coals using a low-field NMR relaxation method. Fuel 2016, 181, 218–226. [Google Scholar] [CrossRef]
- Liang, Z.K.; Li, Z.; Jiang, Z.X. Characteristics of pore structure and fractal dimension in continental shale based on NMR experiments and SEM image analyses—A case study of Shahezi formation shale in Changling fault depression of Songliao Basin. China J. Earth Sci. Environ. 2020, 42, 313–328. [Google Scholar]





















| Index | Natural Density (g·cm−3) | Dry Density (g·cm−3) | Water Content (%) | Liquid Limit (%) | Plastic Limit (%) | Cohesion (kPa) | Internal Friction Angle (°) |
|---|---|---|---|---|---|---|---|
| Mean | 1.75 | 1.37 | 33.96 | 38.34 | 20.59 | 15.18 | 18.23 |
| Index | Particle Size Range (mm) | Particle Size Range (mm) | Maximum Dry Density (g·cm−3) | Minimum Void Ratio | Maximum Void Ratio | Specific Gravity |
|---|---|---|---|---|---|---|
| Mean | 0.1~1 | 1.43 | 1.73 | 0.53 | 0.84 | 2.63 |
| Sample ID | Sample Dimensions (mm × mm) | Percentage of Sand Content (%) |
|---|---|---|
| S0 | 38 × 76 | 0 |
| S5 | 38 × 76 | 5 |
| S10 | 38 × 76 | 10 |
| S15 | 38 × 76 | 15 |
| S20 | 38 × 76 | 20 |
| S25 | 38 × 76 | 25 |
| S30 | 38 × 76 | 30 |
| Sample ID | Sample ID | Freezing Temperature (°C) | Freezing Duration (h) | Melting Temperature (°C) | Melting Duration (h) |
|---|---|---|---|---|---|
| WD | 38 × 76 | - | - | - | - |
| T-5 | 38 × 76 | −5 | 24 | 20 | 24 |
| T-10 | 38 × 76 | −10 | 24 | 20 | 24 |
| T-15 | 38 × 76 | −15 | 24 | 20 | 24 |
| T-20 | 38 × 76 | −20 | 24 | 20 | 24 |
| Sample ID | Db | R2 | Dm | R2 |
|---|---|---|---|---|
| T-5 | 0.583 | 0.82 | 2.944 | 0.94 |
| T-10 | 0.634 | 0.76 | 2.948 | 0.95 |
| T-15 | 0.888 | 0.83 | 2.951 | 0.96 |
| T-20 | 0.927 | 0.81 | 2.958 | 0.98 |
| Sample ID | Db | R2 | Dm | R2 |
|---|---|---|---|---|
| S0 | 0.757 | 0.83 | 2.919 | 0.89 |
| S5 | 0.774 | 0.82 | 2.932 | 0.90 |
| S10 | 0.848 | 0.84 | 2.944 | 0.93 |
| S15 | 0.866 | 0.85 | 2.953 | 0.97 |
| S20 | 0.907 | 0.87 | 2.962 | 0.98 |
| S25 | 0.984 | 0.84 | 2.977 | 0.99 |
| S30 | 1.013 | 0.89 | 2.985 | 0.99 |
| Sample ID | Db | R2 | Dm | R2 |
|---|---|---|---|---|
| S0 | 0.706 | 0.8 | 2.93 | 0.94 |
| S5 | 0.725 | 0.82 | 2.95 | 0.96 |
| S10 | 0.775 | 0.8 | 2.96 | 0.97 |
| S15 | 0.818 | 0.87 | 2.97 | 0.98 |
| S20 | 0.837 | 0.84 | 2.979 | 0.99 |
| S25 | 0.916 | 0.86 | 2.984 | 0.99 |
| S30 | 1.035 | 0.87 | 2.994 | 0.99 |
| Sample ID | Unconfined Compressive Strength (MPa) | |||
|---|---|---|---|---|
| T-5 | T-10 | T-15 | T-20 | |
| S0 | 1.60 | 2.35 | 3.12 | 3.41 |
| S5 | 1.47 | 2.22 | 2.95 | 3.16 |
| S10 | 1.20 | 1.95 | 2.76 | 2.95 |
| S15 | 0.99 | 1.80 | 2.58 | 2.80 |
| S20 | 0.88 | 1.69 | 2.37 | 2.61 |
| S25 | 0.69 | 1.38 | 2.02 | 2.32 |
| S30 | 0.62 | 1.31 | 1.71 | 2.13 |
Disclaimer/Publisher’s Note: The statements, opinions and data contained in all publications are solely those of the individual author(s) and contributor(s) and not of MDPI and/or the editor(s). MDPI and/or the editor(s) disclaim responsibility for any injury to people or property resulting from any ideas, methods, instructions or products referred to in the content. |
© 2024 by the authors. Licensee MDPI, Basel, Switzerland. This article is an open access article distributed under the terms and conditions of the Creative Commons Attribution (CC BY) license (https://creativecommons.org/licenses/by/4.0/).
Share and Cite
Kong, B.; Yan, Y.; He, H.; Yu, J.; Zou, B.; Chen, Q. Strength and Fractal Characteristics of Artificial Frozen–Thawed Sandy Soft Soil. Fractal Fract. 2024, 8, 393. https://doi.org/10.3390/fractalfract8070393
Kong B, Yan Y, He H, Yu J, Zou B, Chen Q. Strength and Fractal Characteristics of Artificial Frozen–Thawed Sandy Soft Soil. Fractal and Fractional. 2024; 8(7):393. https://doi.org/10.3390/fractalfract8070393
Chicago/Turabian StyleKong, Bowen, Yuntian Yan, Huan He, Jing Yu, Baoping Zou, and Qizhi Chen. 2024. "Strength and Fractal Characteristics of Artificial Frozen–Thawed Sandy Soft Soil" Fractal and Fractional 8, no. 7: 393. https://doi.org/10.3390/fractalfract8070393
APA StyleKong, B., Yan, Y., He, H., Yu, J., Zou, B., & Chen, Q. (2024). Strength and Fractal Characteristics of Artificial Frozen–Thawed Sandy Soft Soil. Fractal and Fractional, 8(7), 393. https://doi.org/10.3390/fractalfract8070393

