Multifractal Analysis of 3D Correlated Nanoporous Networks
Abstract
1. Introduction
2. Methodology
2.1. Models
2.2. 3D Correlated Nanoporous Network Simulations
- From the collection of sites of size R represented by , sites were randomly sampled and placed on the nodes of the cubic lattice.
- From the collection of bonds of size R represented by , bonds were randomly sampled and placed on the nodes of the cubic lattice.
- Inconsistencies or violations to the CP of the DSBM were accounted for in the initial cubic lattice made up of the sites and bonds and were corrected through a random exchange of its elements; that is, two sites were chosen at random from the network, and an attempt was made to exchange from their nodal positions. The exchange was carried out only when both sites were greater than or equal to all the bonds that surrounded them (the CP of the DSBM is fulfilled). The same was done with the bonds, except that the bonds had to be smaller than the sites surrounding them.
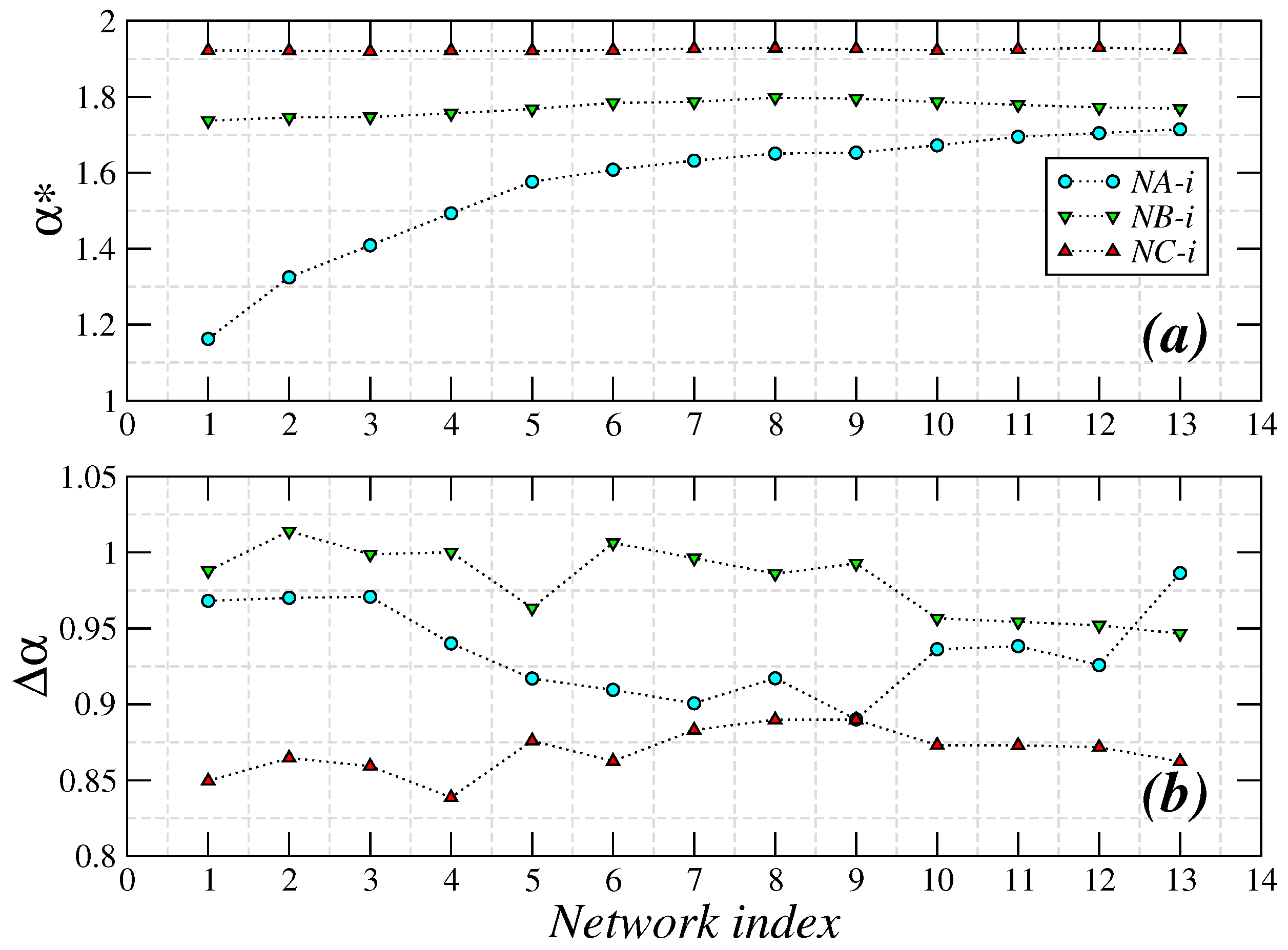
- Once there were zero CP violations, a series of network transitions (“shake the network”) were performed as many times as necessary, going through different possible network configurations, until the most probable configuration (equilibrium) was reached. The network was “relaxed” by randomly exchanging its elements (the exchange of porous entities is a crucial process, carried out only when the CP is not violated in each exchange attempt). For this, a Monte Carlo Step (MCS) was defined as exchange attempts of network elements (sites and bonds). Each specific number of network element exchanges (MCSs) was recorded, obtaining a series of 12 subsequent networks (, , and ) for each initially established configuration (, , and ). The letter i is an index representing a specific network configuration generated according to MCSs, i.e., . Table 2 presents the MCS values used to generate different network configurations as randomly as possible. In this study, the determination of sizes of the nanoporous elements (sites and bonds), the selection of the nanoporous elements, and the selection of the nodal positions of the lattice for exchanges between the elements were all carried out randomly. This was achieved by generating an algorithm of pseudo-random numbers [11,22].
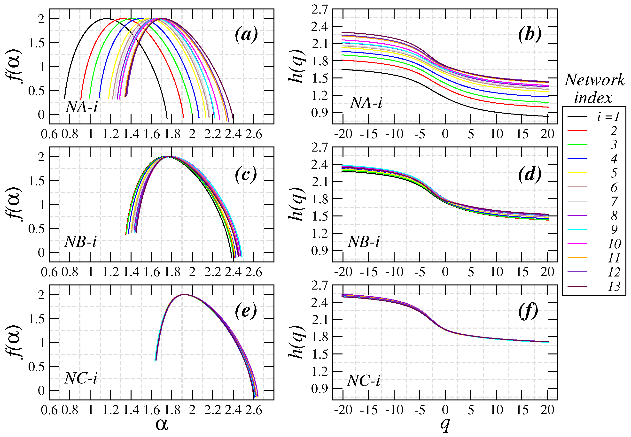
2.3. Two-Dimensional MF-DFA (2D MF-DFA)
- Width of the spectrum: distance between the maximum and minimum singularity strength:where .
- Main singularity strength :
- The support, information, and correlation dimensions:
3. Results and Discussions
4. Conclusions
Author Contributions
Funding
Institutional Review Board Statement
Informed Consent Statement
Data Availability Statement
Acknowledgments
Conflicts of Interest
References
- Dullien, F.A. Porous Media: Fluid Transport and Pore Structure; Academic Press: Cambridge, MA, USA, 2012. [Google Scholar]
- Lowell, S.; Shields, J.E. Powder Surface area and Porosity; Springer Science & Business Media: Berlin/Heidelberg, Germany, 2013; Volume 2. [Google Scholar]
- Sahimi, M. Flow and Contaminant Transport in Porous Media and Fractured Rock; VCH: Weinheim, Germany, 1995. [Google Scholar]
- Sharma, R.P.; Białecki, M.; Cooper, M.P.; Radliński, A.P.; Szymczak, P. Pore merging and flow focusing: Comparative study of undissolved and karstified limestone based on microtomography. Chem. Geol. 2023, 627, 121397. [Google Scholar] [CrossRef]
- Felipe, C.; Rojas, F.; Kornhauser, I.; Thommes, M.; Zgrablich, G. Mechanistic and experimental aspects of the structural characterization of some model and real systems by nitrogen sorption and mercury porosimetry. Adsorpt. Sci. Technol. 2006, 24, 623–644. [Google Scholar] [CrossRef]
- Chávez, F.; Felipe, C.; Lima, E.; Lara, V.; Ángeles-Chávez, C.; Hernandez, M.A. Preparation of self-organized porous tungsten oxide using HFCVD technique. Mater. Chem. Phys. 2010, 120, 36–41. [Google Scholar] [CrossRef]
- Cruz-Leal, M.; Goiz, O.; Chávez, F.; Pérez-Sánchez, G.; Hernández-Como, N.; Santes, V.; Felipe, C. Study of the thermal annealing on structural and morphological properties of high-porosity A-WO3 films synthesized by HFCVD. Nanomaterials 2019, 9, 1298. [Google Scholar] [CrossRef] [PubMed]
- Zhao, Y.; Lin, B.; Liu, T.; Zheng, Y.; Sun, Y.; Zhang, G.; Li, Q. Multifractal analysis of coal pore structure based on NMR experiment: A new method for predicting T2 cutoff value. Fuel 2021, 283, 119338. [Google Scholar] [CrossRef]
- Sing, K.S. Reporting physisorption data for gas/solid systems with special reference to the determination of surface area and porosity (Recommendations 1984). Pure Appl. Chem. 1985, 57, 603–619. [Google Scholar] [CrossRef]
- Thommes, M.; Kaneko, K.; Neimark, A.V.; Olivier, J.P.; Rodriguez-Reinoso, F.; Rouquerol, J.; Sing, K.S. Physisorption of gases, with special reference to the evaluation of surface area and pore size distribution (IUPAC Technical Report). Pure Appl. Chem. 2015, 87, 1051–1069. [Google Scholar] [CrossRef]
- Felipe, C.; Cordero, S.; Kornhauser, I.; Zgrablich, G.; López, R.; Rojas, F. Domain Complexion Diagrams Related to Mercury Intrusion-Extrusion in Monte Carlo-Simulated Porous Networks. Part. Part. Syst. Charact. 2006, 23, 48–60. [Google Scholar] [CrossRef]
- Kikkinides, E.; Enke, D.; Valiullin, R. Gas Sorption Characterization of Porous Materials Employing a Statistical Theory for Bethe Lattices. J. Phys. Chem. 2024, 128, 4573–4587. [Google Scholar] [CrossRef]
- Cho, Y.S. Explosive percolation on the Bethe lattice is ordinary. Eur. Phys. J. B 2024, 97, 58. [Google Scholar] [CrossRef]
- Sahimi, M. Applications of Percolation Theory; CRC Press: Boca Raton, FL, USA, 1994. [Google Scholar]
- Rodríguez, C.; Felipe, C.; Vidales, A.M.; Domínguez, A.; Kornhauser, I.; Rojas, F. In silico study of the wettabilitty effects on gas cluster growth by solute diffusion in correlated porous media. Colloids Surfaces A Physicochem. Eng. Asp. 2007, 300, 106–110. [Google Scholar] [CrossRef]
- Rojas, F.; Kornhauser, I.; Felipe, C.; Esparza, J.; Cordero, S.; Dominguez, A.; Riccardo, J. Capillary condensation in heterogeneous mesoporous networks consisting of variable connectivity and pore-size correlation. Phys. Chem. Chem. Phys. 2002, 4, 2346–2355. [Google Scholar] [CrossRef]
- Wu, C.; Lin, G.; Liu, L.; Liu, T.; Li, C.; Guo, Z. Microstructure Characterization of Bubbles in Gassy Soil Based on the Fractal Theory. J. Ocean Univ. China 2024, 23, 129–137. [Google Scholar] [CrossRef]
- Hu, Y.; Patmonoaji, A.; Zhang, C.; Suekane, T. Experimental study on the displacement patterns and the phase diagram of immiscible fluid displacement in three-dimensional porous media. Adv. Water Resour. 2020, 140, 103584. [Google Scholar] [CrossRef]
- Augustyniak, J.; Perkowski, D.M. Compound analysis of gas bubble trajectories with help of multifractal algorithm. Exp. Therm. Fluid Sci. 2021, 124, 110351. [Google Scholar] [CrossRef]
- Sun, M.; Zou, C.; Xin, D. Pore structure evolution mechanism of cement mortar containing diatomite subjected to freeze-thaw cycles by multifractal analysis. Cem. Concr. Compos. 2020, 114, 103731. [Google Scholar] [CrossRef]
- Sánchez-Chávez, H.; Flores-Cano, L.; Santiago-Hernández, A.; García-Soriano, A. Multifractal approach for a biological porous media: Human dentin case. Microsc. Res. Tech. 2024, 87, 10–20. [Google Scholar] [CrossRef] [PubMed]
- Manno, I. Introduction to the Monte-Carlo Method; Akademiai Kiado: Budapest, Hungary, 1999. [Google Scholar]
- Mayagoitia, V. Fundamentals of the textural characterization of catalysts. Catal. Lett. 1993, 22, 93–105. [Google Scholar] [CrossRef]
- Muzemder, A.S.H.; Singh, K. Influence of Sedimentary Structure and Pore-Size Distribution on Upscaling Permeability and Flow Enhancement Due to Liquid Boundary Slip: A Pore-Scale Computational Study. Adv. Water Resour. 2024, 190, 104752. [Google Scholar] [CrossRef]
- Reis, P.; Moura, M.; Linga, G.; Rikvold, P.A.; Toussaint, R.; Flekkøy, E.G.; Måløy, K.J. A simplified pore-scale model for slow drainage including film-flow effects. Adv. Water Resour. 2023, 182, 104580. [Google Scholar] [CrossRef]
- Mayagoitia, V.; Rojas, F.; Kornhauser, I. Domain complexions in capillary condensation. Part 1.—The ascending boundary curve. J. Chem. Soc. Faraday Trans. 1 Phys. Chem. Condens. Phases 1988, 84, 785–799. [Google Scholar] [CrossRef]
- Mayagoitia, V.; Gilot, B.; Rojas, F.; Kornhauser, I. Domain complexions in capillary condensation. Part 2.—Descending boundary curve and scanning. J. Chem. Soc. Faraday Trans. 1 Phys. Chem. Condens. Phases 1988, 84, 801–813. [Google Scholar] [CrossRef]
- Mayagoitia, V.; Rojas, F.; Kornhauser, I. Pore network interactions in ascending processes relative to capillary condensation. J. Chem. Soc. Faraday Trans. 1 Phys. Chem. Condens. Phases 1985, 81, 2931–2940. [Google Scholar] [CrossRef]
- Mayagoitia, V.; Kornhauser, I. Capillary processes in porous networks: 1. Models of porous structures. Princ. Appl. Pore Struct. Charact. 1985, 15–26. [Google Scholar]
- Mayagoitia, V.; Kornhauser, I. Capillary Processes in Porous Networks: 2. Capillary Condensation and Evaporation. Princ. Appl. Pore Struct. Charact. 1985, 27–35. [Google Scholar]
- Cordero, S.; Kornhauser, I.; Domínguez, A.; Felipe, C.; Esparza, J.M.; Rojas, F.; López, R.H.; Vidales, A.M.; Riccardo, J.L.; Zgrablich, G. Site-Bond Network Modeling of Disordered Porous Media. Part. Part. Syst. Charact. Meas. Descr. Part. Prop. Behav. Powders Other Disperse Syst. 2004, 21, 101–116. [Google Scholar] [CrossRef]
- Cordero, S.; Dominguez, A.; Kornhauser, I.; Lopez, R.; Rojas, F.; Vidales, A.; Zgrablich, G. On the universal behavior of sorption isotherms in disordered mesoporous solids. Colloids Surfaces A Physicochem. Eng. Asp. 2004, 241, 47–52. [Google Scholar] [CrossRef][Green Version]
- Faccio, R.; Zgrablich, G.; Mayagoitia, V. Percolation in correlated site-bond Bethe lattices. J. Phys. Condens. Matter 1993, 5, 1823. [Google Scholar] [CrossRef]
- Gu, G.F.; Zhou, W.X. Detrended fluctuation analysis for fractals and multifractals in higher dimensions. Phys. Rev. E 2006, 74, 061104. [Google Scholar] [CrossRef]
- Xi, C.; Zhang, S.; Xiong, G.; Zhao, H.; Yang, Y. Two-dimensional multifractal cross-correlation analysis. Chaos Solitons Fractals 2017, 96, 59–69. [Google Scholar] [CrossRef]
- Chanu, A.L.; Chingangbam, P.; Rahman, F.; Singh, R.; Kharb, P. Analysis of the structural complexity of Crab nebula observed at radio and infrared frequencies using a multifractal approach. arXiv 2022, arXiv:2206.04717. [Google Scholar]
- Kantelhardt, J.W.; Zschiegner, S.; Koscielny-Bunde, E.; Havlin, S.; Bunde, A.; Stanley, H. Multifractal detrended fluctuation analysis of nonstationary time series. Phys. A Stat. Mech. Its Appl. 2002, 316, 87–114. [Google Scholar] [CrossRef]
- Feder, J. Fractals; Springer Science & Business Media: New York, NY, USA, 2013. [Google Scholar]
- Arneodo, A.; Bacry, E.; Muzy, J. The thermodynamics of fractals revisited with wavelets. Phys. A Stat. Mech. Its Appl. 1995, 213, 232–275. [Google Scholar] [CrossRef]
- Mayagoitia, V.; Rojas, F.; Kornhauser, I.; Pérez-Aguilar, H. Modeling of porous media and surface structures: Their true essence as networks. Langmuir 1997, 13, 1327–1331. [Google Scholar] [CrossRef]
- Gao, Y.; Jiang, J.; De Schutter, G.; Ye, G.; Sun, W. Fractal and multifractal analysis on pore structure in cement paste. Constr. Build. Mater. 2014, 69, 253–261. [Google Scholar] [CrossRef]
- Wu, S.; Luo, S.; Cen, Z.; Li, Q.; Li, L.; Li, W.; Huang, Z.; He, W.; Liang, G.; Wu, D.; et al. All-in-one porous membrane enables full protection in guided bone regeneration. Nat. Commun. 2024, 15, 119. [Google Scholar] [CrossRef] [PubMed]
- Głowska, A.; Jolimaitre, E.; Hammoumi, A.; Moreaud, M.; Sorbier, L.; de Faria Barros, C.; Lefebvre, V.; Coppens, M.O. SEM Image Processing Assisted by Deep Learning to Quantify Mesoporous γ-Alumina Spatial Heterogeneity and Its Predicted Impact on Mass Transfer. J. Phys. Chem. 2024, 128, 8395–8407. [Google Scholar] [CrossRef] [PubMed]
- Fang, Y.; Xu, Y.; Guo, L.; Gu, R. Experimental and model analysis of the effect of pore and mineral characteristics on fluid transport in porous soil media. Phys. Fluids 2024, 36, 012019. [Google Scholar] [CrossRef]
- Pavón-Domínguez, P.; Díaz-Jiménez, M. Characterization of synthetic porous media images by using fractal and multifractal analysis. GEM-Int. J. Geomath. 2023, 14, 27. [Google Scholar] [CrossRef]
- Gao, Y.; Gu, Y.; Mu, S.; Jiang, J.; Liu, J. The multifractal property of heterogeneous microstructure in cement paste. Fractals 2021, 29, 2140006. [Google Scholar] [CrossRef]
- Xi, Y.; Wang, L.; Gao, Y.; Lei, D. Numerical Investigation on Effective Elastic Modulus of Multifractal Porous Materials. Fractal Fract. 2022, 7, 3. [Google Scholar] [CrossRef]
- Geng, X.; Boufadel, M.C.; Lee, K.; An, C. Characterization of Pore Water Flow in 3-D Heterogeneous Permeability Fields. Geophys. Res. Lett. 2020, 47, e2019GL086879. [Google Scholar] [CrossRef]
- Liu, K.; Ostadhassan, M.; Zou, J.; Gentzis, T.; Rezaee, R.; Bubach, B.; Carvajal-Ortiz, H. Multifractal analysis of gas adsorption isotherms for pore structure characterization of the Bakken Shale. Fuel 2018, 219, 296–311. [Google Scholar] [CrossRef]







| Network | (nm) | (nm) | |
|---|---|---|---|
| 22.5 | 24.0 | 0.62 | |
| 22.5 | 23.5 | 0.74 | |
| 22.5 | 23.2 | 0.82 |
| i | MCS | i | MCS | i | MCS |
|---|---|---|---|---|---|
| 1 | 0 | 6 | 60,000 | 11 | 300,000 |
| 2 | 5000 | 7 | 80,000 | 12 | 400,000 |
| 3 | 10,000 | 8 | 100,000 | 13 | 500,000 |
| 4 | 20,000 | 9 | 150,000 | ||
| 5 | 40,000 | 10 | 200,000 |
Disclaimer/Publisher’s Note: The statements, opinions and data contained in all publications are solely those of the individual author(s) and contributor(s) and not of MDPI and/or the editor(s). MDPI and/or the editor(s) disclaim responsibility for any injury to people or property resulting from any ideas, methods, instructions or products referred to in the content. |
© 2024 by the authors. Licensee MDPI, Basel, Switzerland. This article is an open access article distributed under the terms and conditions of the Creative Commons Attribution (CC BY) license (https://creativecommons.org/licenses/by/4.0/).
Share and Cite
Carrizales-Velazquez, C.; Felipe, C.; Guzmán-Vargas, A.; Lima, E.; Guzmán-Vargas, L. Multifractal Analysis of 3D Correlated Nanoporous Networks. Fractal Fract. 2024, 8, 424. https://doi.org/10.3390/fractalfract8070424
Carrizales-Velazquez C, Felipe C, Guzmán-Vargas A, Lima E, Guzmán-Vargas L. Multifractal Analysis of 3D Correlated Nanoporous Networks. Fractal and Fractional. 2024; 8(7):424. https://doi.org/10.3390/fractalfract8070424
Chicago/Turabian StyleCarrizales-Velazquez, Carlos, Carlos Felipe, Ariel Guzmán-Vargas, Enrique Lima, and Lev Guzmán-Vargas. 2024. "Multifractal Analysis of 3D Correlated Nanoporous Networks" Fractal and Fractional 8, no. 7: 424. https://doi.org/10.3390/fractalfract8070424
APA StyleCarrizales-Velazquez, C., Felipe, C., Guzmán-Vargas, A., Lima, E., & Guzmán-Vargas, L. (2024). Multifractal Analysis of 3D Correlated Nanoporous Networks. Fractal and Fractional, 8(7), 424. https://doi.org/10.3390/fractalfract8070424

