Next Article in Journal
Dynamic Behavior and Optical Soliton for the M-Truncated Fractional Paraxial Wave Equation Arising in a Liquid Crystal Model
Next Article in Special Issue
Distributed Adaptive Formation Control for Fractional-Order Multi-Agent Systems with Actuator Failures and Switching Topologies
Previous Article in Journal
Common Attractors for Generalized F-Iterated Function Systems in G-Metric Spaces
Previous Article in Special Issue
Impulsive Control of Variable Fractional-Order Multi-Agent Systems
 
 
Font Type:
Arial Georgia Verdana
Font Size:
Aa Aa Aa
Line Spacing:
Column Width:
Background:
Article

Iterative Learning Formation Control via Input Sharing for Fractional-Order Singular Multi-Agent Systems with Local Lipschitz Nonlinearity

1
School of Electronic Engineering and Automation, Nantong University, Nantong 226019, China
2
School of Zhang Jian, Nantong University, Nantong 226019, China
3
School of Intelligent Systems Engineering, Sun Yat-sen University, Shenzhen 518107, China
*
Authors to whom correspondence should be addressed.
Fractal Fract. 2024, 8(6), 347; https://doi.org/10.3390/fractalfract8060347
Submission received: 25 April 2024 / Revised: 3 June 2024 / Accepted: 6 June 2024 / Published: 11 June 2024

Abstract

For a class of fractional-order singular multi-agent systems (FOSMASs) with local Lipschitz nonlinearity, this paper proposes a closed-loop D α -type iterative learning formation control law via input sharing to achieve the stable formation of FOSMASs in a finite time. Firstly, the formation control issue of FOSMASs with local Lipschitz nonlinearity under the fixed communication topology (FCT) is transformed into the consensus tracking control scenario. Secondly, by virtue of utilizing the characteristics of fractional calculus and the generalized Gronwall inequality, sufficient conditions for the convergence of formation error are given. Then, drawing upon the FCT, the iteration-varying switching communication topology is considered and examined. Ultimately, the validity of the D α -type learning method is showcased through two numerical cases.

1. Introduction

In recent years, communication and coordination between multi-agent systems (MASs) have become more significant means to improve the efficiency and performance of solving large-scale complex problems, such as the cooperative control problem of MASs (including formation control [1], containment control [2,3], etc.). In [1], for the considered second-order nonlinear FMASs, an adaptive event-triggered formation protocol is presented to achieve the global Mittag–Leffler bounded formation. The issue of fixed-time output event-triggered containment control for a class of second-order nonlinear MASs with Markov switching topology is investigated in [2]. In addition, an improved event-triggered mechanism based on internal dynamic variables for multi-agent fixed-time containment control is proposed in [3], which can effectively reduce the number of event-triggered instants. These studies have discussed the control problems of MASs, and the methods used are also very good. However, the systems and control problems considered are different from ours. To execute the repeatable tasks of large-scale engineering, we consider the precise control of MASs that can operate repeatedly under finite time conditions.
Iterative learning control (ILC) technology is particularly suitable for addressing consensus problems in multi-agent systems [4,5]. ILC excels in formation control for MASs, especially in repetitive tasks over finite time intervals. By progressively optimizing control inputs based on past iterations, ILC effectively handles complex dynamics and nonlinearities [6]. This ensures that formation members achieve their targets within predefined time frames. Additionally, ILC adapts to changing communication topologies and responds to external stimuli, enhancing both the stability and efficiency of information control [7,8]. Compared to other control methods, ILC offers superior precision and reliability, making it a preferred solution for multi-agent system formation control. In addition, graph theory serves as the customary framework for communication topology in the realm of iterative learning control for multi-agent systems. However, the prevailing research predominantly centers on fixed communication topologies (FCTs), neglecting the ramifications of switching communication topologies (SCTs) along the iteration axis. In practical applications, a system’s communication topology changes in response to external stimuli, aiming to attain enhanced stability and efficiency in formation control [9,10].
Unlike general MASs, singular MASs can retain the physical system structure and pulse characteristics and are often referred to as implicit systems, descriptor systems, or differential-algebraic systems [11,12]. Current research on singular multi-agents usually includes consensus tracking [13], the non-fragile consensus control strategy [14], and fuzzy control [15]. It provides a deeper and more comprehensive understanding of the complex behavior of the system, making predictions more accurate and enabling the development of control strategies that target the system’s specific characteristics. Currently, the research landscape in this area is dynamic and evolving [16]. With the singular value coordinate transformation, the solving of singular complex MASs becomes feasible, and nonlinear fractional-order MASs are effective models [17]. Incorporating nonlinear fractional-order properties into singular systems, which enjoy widespread popularity in contemporary research, can further elucidate more complicated MASs. Their capacity to broaden perspectives beyond the conventional integer-order differentials facilitates more comprehensive system analysis, and they have now been used in many fields of research, such as [18,19,20,21]. In comparison to the traditional global Lipschitz, our work incorporates local Lipschitz continuous nonlinearity. Owing to the local Lipschitz condition, the common contraction mapping is unable to succeed. A convergence study of local Lipschitz nonlinearity (LLN) for FOSMASs in the continuous time domain has been effectively investigated in [22]. A convergence analysis for generalized MASs with LLN was analyzed in [23,24]. Distributed ILC consensus tracking control with input sharing incorporated updated the existing learning methods between MASs’ followers in [25]. The core of input sharing allows each agent to communicate with each other on the control inputs obtained during learning iterations, enabling agents to assist each other by sharing their learning information. To achieve the overall goal of reaching a consensus, all entities in the MASs will achieve better learning outcomes via the input sharing method [26]. Further, to our knowledge, no studies have reported applying formation ILC with an input sharing strategy to FOSMASs, particularly in the case where the controlled system is subject to LLN.
Motivated by the above discussions, this work introduces the closed-loop D α -type iterative learning formation control scheme with input sharing for FOSMASs with LLN (FOSMASs-LLN). Highlighted below are three innovative aspects of this work:
  • Compared with other ILC controls for general MASs, the novel MASs we consider are a class of fractional-order singular MASs with local Lipschitz nonlinearity in the presence of iteration-varying commutation topologies.
  • In contrast to the traditional distributed ILC consensus control, a novel distributed ILC formation protocol with input sharing scheme is developed, followed by a rigorous convergence analysis.
  • In addition to the primary focus on the fixed communication topology, a closed-loop D α -type iterative input sharing learning protocol among the neighbor information is developed for FOSMASs under switching commutation topologies to eliminate the impacts of local Lipschitz nonlinearity.
The remainder of this work is structured as follows: The second section presents the system description and formulates the research objectives, providing a detailed exposition and explanation. The third section conducts a theoretical analysis of the proposed input sharing formation control scheme and demonstrates its feasible learning convergence. The fourth section employs Matlab to conduct numerical simulations of the research content, thereby validating the obtained formation results.
Remark 1. 
I n R n × n is the identity matrix, ‘’ is the Kronecker product, the λ-norm for a vector function h ( t ) R N is defined as | | h | | λ = sup t 0 , T e λ t | | h ( t ) | | , and the · s = Δ ( Tr ( ( ) ( ) T ) ) 1 / 2 .

2. Problem Formulation

In MASs, graphs represent entity relationships. The iterative learning formation control via input sharing for FOSMASs-LLN introduces alternative notation and fundamental graph theory concepts for clarity.

2.1. Graph Theory

The graph G = ( V , E , A ) illustrates agent communication structures. The sets of vertices, edges, and the adjacency matrix are denoted as follows V = 1 , 2 , . . . , N , E V × V , A = ( a i j ) R N × N , if and only if ( i , j ) E elements in matrix A satisfy a i j > 0 , a i i = 0 , where element a i j represents the weight value of information that agent i can obtain from agent j. Similarly, the Laplacian matrix for the directed graph G is given by L = D A , where the element belongs to the in-degree matrix D = diag ι 1 , ι 2 , . . . , ι N , defined as ι i = j = 1 N a i j .

2.2. Fractional-Order Calculus

Definition 1 
([27]). Considering a function h : R + R , the Riemann–Liouville fractional-order integral with order α > 0 is described by
I α h ( t ) = Δ 1 Γ ( α ) 0 t ( t τ ) α 1 h ( τ ) d τ , t > 0 , α R + ,
where Γ ( · ) stands for the Gamma function.
Definition 2 
([27]). For an arbitrary real number α, the Caputo fractional-order derivative is represented as follows:
t 0 C D α h ( t ) = Δ D m α D m f ( t ) = 1 Γ ( m α ) 0 t f ( m ) ( τ ) ( t τ ) α m + 1 d τ ,
with m 1 < α < m , m N .
For simplicity, the Caputo derivative t 0 C D α is denoted by D t α in the following section.
Lemma 1 
([28]). If the function f ( x ( t ) , t ) is continuous, then the initial state problem is
D t α x ( t ) = f ( x ( t ) , t ) , 0 < α < 1 , x ( t 0 ) = x ( 0 ) .
The nonlinear integral equation of Volterra type whose solutions are equivalent is
x ( t ) = x ( 0 ) + 1 Γ ( α ) t 0 t ( t s ) α 1 f ( x ( s ) , s ) d s .
The solution is also continuous.

2.3. The Description of FOSMASs-LLN

Considering the formation control of FOSMASs-LLN with N agents, an improved graph G theory method is introduced. The matrices linked to the graph G are represented by the adjacency matrix A = ( a i j ) N × N and the Laplacian matrix L R N × N . Introduce a variable H = L + K , such that K = diag κ 1 , κ 2 , . . . , κ N , κ i denotes the weight of the signal transmitted by the virtual leader to the ith agent. If the virtual leader does not communicate with the ith agent, then κ i = 0 ; if yes, then κ i = 1 .
The dynamics equations of FOSMASs are as follows:
E D t α x k , i ( t ) = A x k , i ( t ) + B u k , i ( t ) + f ( x k , i ( t ) , t ) , y k , i ( t ) = C x k , i ( t ) ,
where time variable is denoted by t [ 0 , T ] , and k = 1 , 2 , 3 , . . . denotes the iteration index. The expression of Equation (1) is the ith follower’s dynamic at the kth iteration, where i V , x k , i ( t ) R m , u k , i ( t ) R n , and y k , i ( t ) R p represent the state, input, and output variables, respectively, and E R m , A R m × m , B R m × n , and C R p × m are real matrices. E is a singular matrix with rank ( E ) = r < m , and it should meet the regularity condition. f ( x k , i ( t ) , t ) is a local Lipschitz nonlinear function satisfying the following Assumption 1.
Assumption 1 
(see [22]). The time-varying nonlinear function f j ( x ( t ) , t ) , j 1 , 2 , , N satisfies f j x ( t ) , t f j x ( t ) , t j z j ( t ) , t x ( t ) x ( t ) , x ( t ) , x ( t ) R n , where j z j ( t ) , t is a Lipschitz-like coefficient an z j ( t ) = θ j x ( t ) + ( 1 θ j ) x ( t ) holds for some 0 θ j 1 . As a function of z j ( t ) R n × 1 , j z j ( t ) , t is bounded such that j z j ( t ) , t μ j γ j ( z j ( t ) ) + υ j , z j R n × 1 holds for some non-decreasing function γ j : 0 , 0 , and some finite (unknown) constants μ j > 0 and υ j > 0 .
As shown in Figure 1, the output trajectory between the follower and the virtual leader 0 differs by a formation function; that is, the subsequent i + 1 follower can be regarded as a formation function that tracks the output and expectation of the follower i , i { V 0 } . During the formation process, the virtual leader always moves along a given curve, and follower i always follows an agent in a certain positional relationship and acts as the leader. Then, the formation problem of FOSMASs can be transformed into the consensus tracking issue in a broad sense. Under this transformed framework, the process of follower and leader maintaining formation movement can be understood as follows: the follower and leader maintain a certain position relationship, and the follower tracks the leader’s movement trajectory. The equation of the virtual leader can be described by
E D t α x d ( t ) = A x d ( t ) + B u d ( t ) + f ( x d ( t ) , t ) , y d ( t ) = C x d ( t ) .
The objective of formation learning control is to determine a suitable input sharing law. Before that, it is necessary to define ζ k , i ( t ) as the state formation error of the ith agent in the kth iteration. Ensuring that the system’s output y k , i ( t ) , fulfills the following requirement:
lim k ζ k , i ( t ) = lim k y d ( t ) h i ( t ) y k , i ( t ) = 0 ,
where ζ k , i ( t ) is the formation error of the ith agent. For the ith follower, h i ( t ) can be interpreted as its formation information relative to the virtual leader, such that the iterative learning sequence u k ( t ) converges uniformly over the fixed interval ( t [ 0 , T ] ) to the control input corresponding to the ideal related trajectory y d ( t ) h i ( t ) .
Assumption 2 
(see [17]). Each follower is connected to at least one leader through a directed path.
Assumption 3 
(see [17]). If there exists a directed path from a chosen node, defined as the root of graph G , to every other node, then the graph G encompasses a spanning tree.
Lemma 2 
([11]). Consider two non-negative real sequences, denoted as p k k = 0 and q k k = 0 , satisfying
0 p k + 1 ρ p k + q k ,
with 0 ρ < 1 , lim k q k = 0 , then one has lim k p k = 0 .

3. Main Results

This section primarily investigates the impact of input sharing on the ILC formation protocol for FOSMASs-LLN. On the one hand, the closed-loop D α -type ILC protocol is developed to analyze the learning behavior of formation control. On the other hand, the FCT and the iteration-varying switching communication topology (IVSCT) are employed within the framework of graph theory communication protocols to compare and analyze the effects of topology protocol variations.
Utilizing the following listed technical lemmas will be necessary for further analysis.

3.1. Formation Consistency Analysis under FCT

In the context of iterative learning with an FCT, denote matrices A , D , K , and H as fixed. At the kth iteration, the communication structure is fixed for the ith agent in each time t ( t [ 0 , T ] ) , with i V and k Z * . Based on the control objective, in order to facilitate the analysis, define y ^ d , i ( t ) = y d ( t ) h i ( t ) as the expected formation trajectory of the ith follower relative to the virtual leader. The formation control target can be written as
lim k ζ k , i ( t ) = lim k y ^ d , i ( t ) y k , i ( t ) = 0 .
Remark 2. 
By substituting y ^ d , i ( t ) into systems (1) and (2), the corresponding x ^ d , i ( t ) and u ^ d , i ( t ) can be deduced, which will not be further elaborated upon hereafter.
The error information accessible to the ith agent at the kth iteration is defined as the corresponding tracking error η k , i ( t ) , as follows:
η k , i ( t ) = j = 1 N a i j [ y k , j ( t ) + h j ( t ) y k , i ( t ) h i ( t ) ] + κ i [ y ^ d , i ( t ) y k , i ( t ) ] .
When certain agents within the network gain access to the leader’s input, an input sharing strategy is designed as follows:
W k , i ( t ) = j = 1 N a i j [ u k , j ( t ) u ^ d , j ( t ) u k , i ( t ) + u ^ d , i ( t ) ] + κ i [ u ^ d , i ( t ) u k , i ( t ) ] .
To address the formation tracking problem of the FOSMASs (1), the following closed-loop D α -type ILC input sharing law is proposed:
u k + 1 , i ( t ) = u k , i ( t ) + ϵ W k , i ( t ) + Γ D t α η k + 1 , i ( t ) ,
where i V , ϵ R , and Γ R p × p are D α -type learning control gains to be designed.
For the convenience of further analysis, FOSMASs-LLN are converted into the lifting vector form
( I N E ) D t α x k ( t ) = ( I N A ) x k ( t ) + ( I N B ) u k ( t ) + f ( x k ( t ) , t ) , y k ( t ) = ( I N C ) x k ( t ) ,
with
x k ( t ) = x k , 1 T ( t ) , x k , 2 T ( t ) , , x k , N T ( t ) T , x ^ d ( t ) = x ^ d , 1 T ( t ) , x ^ d , 2 T ( t ) , , x ^ d , N T ( t ) T , u k ( t ) = u k , 1 T ( t ) , u k , 2 T ( t ) , , u k , N T ( t ) T , u ^ d ( t ) = u ^ d , 1 T ( t ) , u ^ d , 2 T ( t ) , , u ^ d , N T ( t ) T , y k ( t ) = y k , 1 T ( t ) , y k , 2 T ( t ) , , y k , N T ( t ) T , y ^ d ( t ) = y ^ d , 1 T ( t ) , y ^ d , 2 T ( t ) , , y ^ d , N T ( t ) T .
and
ζ k ( t ) = y ^ d ( t ) y k ( t ) ,
Therefore, Equations (4) and (5) can be written in the compact forms
η k ( t ) = ( H I p ) ζ k ( t ) ,
W k ( t ) = ( H I n ) δ u ^ k ( t ) ,
where δ u ^ k , i ( t ) = u ^ d , i ( t ) u k , i ( t ) is the input sharing error, and it can be converted into the lifting vector form as δ u ^ k ( t ) = δ u ^ k , 1 T ( t ) , δ u ^ k , 2 T ( t ) , , δ u ^ k , N T ( t ) T . It should be noted that δ u ^ k ( t ) = u ^ d ( t ) u k ( t ) , and the subsequent δ x ^ k ( t ) , is derived using the above definition.
Substitute Equations (10) and (11) into Equation (6):
u k + 1 ( t ) = u k ( t ) + ϵ ( H I n ) δ u ^ k ( t ) + ( I N Γ ) ( H I p ) D t α ζ k + 1 ( t ) = u k ( t ) + ϵ ( H I n ) δ u ^ k ( t ) + ( H Γ ) D t α ζ k + 1 ( t ) .
Further, Equation (12) can be converted as follows:
δ u ^ k + 1 ( t ) = ( I N n ϵ ( H I n ) ) δ u ^ k ( t ) ( H Γ ) D t α ζ k + 1 ( t ) .
The subtraction of Equation (2) from Equation (1), both transformed into the lifting vector form, yields
( I N E ) D t α δ x ^ k ( t ) = ( I N A ) δ x ^ k ( t ) + ( I N B ) δ u ^ k ( t ) + δ f ^ k ( t ) ,
with δ f ^ k ( t ) = f ( x ^ d ( t ) , t ) f ( x k ( t ) , t ) .
Substituting Equation (13) into Equation (14) gives
( I N E ) D t α δ x ^ k ( t ) = ( I N A ) δ x ^ k ( t ) + ( I N B ) ( I N n ϵ H I m ) δ u ^ k 1 ( t ) ( I N B ) ( H Γ ) D t α ζ k ( t ) + δ f ^ k ( t ) = ( I N A ) δ x ^ k ( t ) + ( I N B ϵ H B ) δ u ^ k 1 ( t ) ( H B Γ C ) D t α δ x ^ k ( t ) + δ f ^ k ( t ) ,
which implies that
( I N E + H B Γ C ) D t α δ x ^ k ( t ) = ( I N A ) δ x ^ k ( t ) + δ f ^ k ( t ) + ( I N B ϵ H B ) δ u ^ k 1 ( t ) .
By selecting an appropriate learning gain Γ , the matrix ( I N E + H B Γ C ) is non-singular. Therefore, it can be introduced that
D t α δ x ^ k ( t ) = ( I N E + H B Γ C ) 1 ( I N A ) δ x ^ k ( t ) + ( I N E + H B Γ C ) 1 ( I N B ϵ H B ) δ u ^ k 1 ( t ) + ( I N E + H B Γ C ) 1 δ f ^ k ( t ) .
The above equation can be reformulated in a more succinct manner
D t α δ x ^ k ( t ) = A ˜ δ x ^ k ( t ) + B ˜ δ u ^ k 1 ( t ) + F ˜ δ f ^ k ( t ) ,
with
A ˜ = ( I N E + H B Γ C ) 1 ( I N A ) , F ˜ = ( I N E + H B Γ C ) 1 , B ˜ = ( I N E + H B Γ C ) 1 ( I N B ϵ H B ) .
Note that the local Lipschitz nonlinear characteristics are meaningful because specific nonlinear attributes are not globally nonlinear. Due to the local Lipschitz condition, the traditional contraction mapping is ineffective. So it is necessary to introduce local Lipschitz nonlinear characteristics.
Claim 1. 
Suppose that nonlinear function f ~ j ( x ) , 1 j n N , satisfies Assumption 1. Then there exist some finite bounds μ f ~ > 0 and ν f ~ > 0 , and some non-decreasing function γ f ~ : [ 0 , ) [ 0 , ) such that
| | f ˜ ( x ) | | μ f ˜ γ f ˜ ( | | x | | ) + ν f ˜ , x R n .
Claim 2. 
Let u L p [ 0 , T ] , p ( 1 / α , + ) . For each state x ( t ) , input u ( t ) , we have x ( t ) μ ~ x , where μ ~ x is a positive constant.
Lemma 3. 
There exists a positive constant μ ~ δ f > 0 such that t [ 0 , T ] ,
f ˜ ( x k + 1 ( t ) , t ) f ˜ ( x k ( t ) , t ) μ ˜ δ f δ x k ( t ) , δ x k ( t ) = x k + 1 ( t ) x k ( t ) .
The proof of Lemma 3 is shown in Appendix A.
To streamline the convergence proof, it is proposed to preemptively introduce Lemma 4.
Lemma 4. 
For FOSMASs-LLN, Assumptions 2 and 3 and δ x ^ k ( 0 ) = 0 are satisfied and the communication topology is fixed. It can be obtained that
δ x ^ k λ < b B ~ o ( λ 1 ) δ u ^ k 1 λ ,
where o ( λ 1 ) = 1 λ α b A ~ μ δ f b F ~ , b B ~ = B ~ .
Assumption 4. 
The initial condition of the system is that
x k , i ( 0 ) = x d ( 0 ) .
The proof of Lemma 4 is provided in Appendix B.
Based on the above learning control protocol, Equation (6), and Lemma 4, the corresponding convergent condition of formation input sharing controllers can be given as follows.
Theorem 1. 
For the repetitive FOSMASs with local Lipschitz nonlinearity, Assumptions 2–4 are satisfied. If the control gain ϵ and Γ satisfy that
I N n ϵ H I n ( H Γ C ) B ˜ < 1 ,
with B ˜ = ( I N E + H B Γ C ) 1 ( I N B ϵ H B ) , then the formation learning goal can be achieved.
Proof. 
Firstly, by substituting Equation (16) into Equation (13), one can derive the following result:
δ u ^ k ( t ) = ( I N n ϵ H I n ) δ u ^ k 1 ( t ) ( H Γ C ) A ˜ δ x ^ k ( t ) ( H Γ C ) B ˜ δ u ^ k 1 ( t ) ( H Γ C ) F ˜ δ f ^ k ( t ) = ( I N n ϵ H I n ( H Γ C ) B ˜ ) δ u ^ k 1 ( t ) ( H Γ C ) A ˜ δ x ^ k ( t ) ( H Γ C ) F ˜ δ f ^ k ( t )
Taking the norm on both sides of Equation (18), one can obtain
δ u ^ k ( t ) I N n ϵ H I n ( H Γ C ) B ~ δ u ^ k 1 ( t ) + H Γ C ( b A ~ + μ δ f b F ~ ) δ x ^ k ( t ) = ρ ~ | | δ u k 1 | | + b Γ 1 ( b A ~ + μ δ f b F ~ ) δ x ^ k ( t ) ,
with ρ ˜ = I N n ϵ H I n ( H Γ C ) B ˜ , b Γ = H Γ C .
Then, combining Equation (19) and Lemma 4, one can deduce
δ u ^ k ( t ) λ < ρ ˜ δ u ^ k 1 λ + b Γ ( b A ˜ + μ δ f b F ˜ ) b B ˜ o ( λ 1 ) δ u ^ k 1 λ < ( ρ ˜ + b Γ 1 ( b A ˜ + μ δ f b F ˜ ) b B ˜ o ( λ 1 ) ) δ u ^ k 1 λ
From the convergence conditions given by Theorem 1, it can be seen that
ρ ˜ = I N n ϵ H I n ( H Γ C ) B ˜ < 1 .
Further, a sufficiently large λ can be selected to make
ρ ˜ + b Γ ( b A ˜ + μ δ f b F ˜ ) b B ˜ o ( λ 1 ) < 1 .
Therefore, Equation (20) can be seen as
δ u ^ k λ < ρ ˜ δ u ^ k 1 λ .
According to the conclusion of Lemma 2, it can be deduced that
lim k δ u ^ k ( t ) λ = 0 .
Hence,
lim k δ x ^ k ( t ) < b B ˜ o ( λ 1 ) lim k δ u ^ k λ = 0 .
According to Equation (9), ζ k ( t ) = ( I N C ) δ x ^ k ( t ) can be deduced, thus
lim k ζ k ( t ) = 0 .
Corollary 1. 
Considering the repetitive FOSMASs-LLN with the formation learning law without input sharing under Assumptions 2-4, if the learning gain meets
I N n ( H Γ C ) ( I N E + H B Γ C ) 1 ( I N B ) < 1 .
then one can achieve the requirements of formation control, i.e., lim k ζ k ( t ) = 0 .
The proof of Corollary 1 is given in Appendix C.

3.2. Formation Consistency Analysis with Time Delay under FCT

The dynamics of FOSMASs with state time delay are considered as follows:
E D t α x k , i ( t ) = f ( x k , i ( t ) , x k , i ( t h ) , t ) + B u k , i ( t ) , y k , i ( t ) = C x k , i ( t ) ; x k , i ( t ) = φ k , i ( t ) , t [ h , 0 ] .
where the state time delay is represented by h > 0 , φ k , i ( t ) is a initial continuous function. The initial delay function should satisfy φ k , i ( t ) = φ d ( t ) , i V , and φ d ( t ) is the initial delay function of the leader agent. f ( x k , i ( t ) , x k , i ( t h ) , t ) is a continuous nonlinear time-delay term. The other parameter definitions are the same as Equation (1).
Theorem 2. 
For the nonlinear time-delay FOSMASs under the D α -type iterative learning protocol with input sharing scheme and if Assumptions 1–3 are met, if there exists a learning gain that satisfies
I N n ϵ ( H I n ) ( ( H Γ C ) B ˜ ) < 1 ,
with B ˜ = ( I N E + H B Γ C ) 1 ( I N B ϵ H B ) , then the formation learning errors tend to zero, i.e.,
lim k ζ k ( t ) = 0 , t [ 0 , T ] .
Proof. 
For simplicity, the following notation is introduced:
δ x ^ k , i ( t h ) = x ^ d ( t h ) x k , i ( t h ) , δ f ^ k ( t ) = f ( x ^ d ( t ) , x ^ d ( t h ) , t ) f ( x k ( t ) , x k ( t h ) , t ) .
By lifting the matrix and transforming it, it can be given that
D t α δ x ^ k ( t ) = F ~ δ f ^ k ( t ) + B ~ δ u ^ k 1 ( t ) .
Then, we have
δ u ^ k + 1 ( t ) = ( I N n ϵ ( H I n ) ( ( H Γ C ) B ˜ ) ) δ u ^ k ( t ) ( ( H Γ C ) F ˜ ) δ f ^ k + 1 ( t ) .
Taking norm operations on both sides of the above equation, one obtains
δ u ^ k ( t ) ρ ^ δ u ^ k 1 ( t ) + μ δ f c ^ 1 δ x ^ k ( t ) + μ δ f c ^ 1 δ x ^ k ( t h )
with ρ ^ = I N n ϵ ( H I n ) ( ( H Γ C ) B ~ ) , c ^ 1 = ( H Γ C ) F ~ .
In light of Lemma 1, integrating both sides of the equation of D t α δ x ^ k ( t ) , yields the following relationship
δ x ^ k ( t ) = δ x ^ k ( 0 ) + 1 Γ ( α ) 0 t F ˜ ( τ ) δ f ^ k ( τ ) + B ˜ ( τ ) δ u ^ k 1 ( τ ) t τ 1 α d τ
Taking the norm of above equation, if δ x ^ k ( 0 ) = 0 , we have
δ x ^ k ( t ) b F ˜ Γ ( α ) 0 t δ f ^ k ( τ ) ( t τ ) 1 α d τ + b B ˜ Γ ( α ) 0 t δ u ^ k 1 ( τ ) ( t τ ) 1 α d τ μ δ f b F ˜ Γ ( α ) 0 t δ x ^ k ( τ ) ( t τ ) 1 α d τ + μ δ f b F ˜ Γ ( α ) 0 t δ x ^ k ( τ h ) ( t τ ) 1 α d τ + b B ˜ Γ ( α ) 0 t δ u ^ k 1 ( τ ) ( t τ ) 1 α d τ .
Noticing that
I = Δ 0 t δ x ^ k ( τ h ) t τ 1 α d τ = h t h δ x ^ k ( τ ) t h τ 1 α d τ .
As for the time-delay term I, two scenarios are considered as follows:
If 0 t h , then using Assumption, it has
I = h t h φ ^ d ( τ ) φ k ( τ ) t h τ 1 α d τ = 0 ,
where the definition of φ ^ d ( t ) is similar to that of y ^ d ( t ) .
If h < t T , then the integral range can be divided into
I = h 0 δ x ^ k ( τ ) t h τ 1 α d τ + 0 t h δ x ^ k ( τ ) t h τ 1 α d τ = 0 t h δ x ^ k ( τ ) t h τ 1 α d τ 0 t δ x ^ k ( τ ) t h τ 1 α d τ .
Hence, according to the above two discussions, it can be concluded that
I 0 t δ x ^ k ( τ ) t h τ 1 α d τ
Accordingly, it gives
δ x ^ k ( t ) μ δ f b F ~ Γ ( α ) 0 t δ x ^ k ( τ ) t τ 1 α d τ + μ δ f b F ~ Γ ( α ) 0 t δ x ^ k ( τ ) t h τ 1 α d τ + b B ^ Γ ( α ) 0 t δ u k 1 ( τ ) t τ 1 α d τ w ( τ ) + 0 t v ( t τ ) δ x ^ k ( τ ) d τ .
with w ( τ ) = b B ^ Γ ( α ) 0 t e λ τ t τ 1 α d τ δ u k 1 λ , v ( t τ ) = μ δ f b F ~ Γ ( α ) 1 t τ 1 α + 1 t h τ 1 α .
It is easy to derive d ω ( τ ) d τ > 0 and by using the Gronwall inequality, we have
δ x k ( t ) w ( τ ) × exp 0 t v ( t τ ) d τ .
Combined with the above equation, one can derive
δ x k ( t ) o ( λ 1 ) e λ t δ u ^ k 1 λ ,
with o ( λ 1 ) = b B ~ λ α exp 0 t μ δ f b F ~ Γ ( α ) T α + μ δ f b F ~ Γ ( α ) ( ( T h ) α ( h ) α ) .
The subsequent derivation is the same as the proof of Theorem 1; we omit it here.

3.3. Formation Consistency Analysis under IVSCT

The FCT is extremely tough and difficult to obtain for MASs. As a result, the conclusion based on the FCT condition is extended to the IVSCT, which can improve system robustness. The switching topology that varies along the iteration axis is as follows:
H k = L k + K k ,
where K k = diag K k , 1 , K k , 2 , , K k , N , and L k is the Laplacian matrix of the kth iterated directed graph G k . K k , i represents the weight between the ith agent and the virtual leader. If the ith agent can achieve the desired trajectory, then K k , i = 1 ; otherwise, K k , i = 0 , i V .
With Equation (6), the formation input sharing control law under IVSCT can be designed as
u k + 1 ( t ) = u k ( t ) + ϵ ( H k I n ) δ u ^ k ( t ) + ( H k Γ ) D t α ζ k + 1 ( t ) .
Further, Equation (24) can be reformulated as follows:
δ u ^ k + 1 ( t ) = ( I N n ϵ ( H k I n ) ) δ u ^ k ( t ) ( H k Γ ) D t α ζ k + 1 ( t ) .
Substituting Equation (25) into Equation (14), one obtains
( I N E + H k B Γ C ) D t α δ x ^ k ( t ) = ( I N A ) δ x ^ k ( t ) + δ f ^ k ( t ) + ( I N B ϵ H k B ) δ u ^ k 1 ( t ) .
By selecting the learning gains ϵ and Γ , the matrix ( I N E + H k B Γ C ) becomes non-singular. Consequently, it is feasible to introduce it into the subsequent analysis.
Thus,
D t α δ x ^ k ( t ) = A ¯ δ x ^ k ( t ) + B ¯ δ u ^ k 1 ( t ) + F ¯ δ f ^ k ( t ) ,
with
A ¯ = ( I N E + H k B Γ C ) 1 ( I N A ) , F ¯ = ( I N E + H k B Γ C ) 1 , B ¯ = ( I N E + H k B Γ C ) 1 ( I N B ϵ H k B ) .
To facilitate the convergence proof, the following Lemma 5 on the state estimation is given.
Lemma 5. 
For nonlinear singular fractional-order multi-agent systems, given that Assumptions 2–4 are satisfied, and transforming the FCT to the IVSCF, it can be derived that
δ x ^ k λ < b B ¯ o ¯ ( λ 1 ) δ u ^ k 1 λ ,
where o ¯ ( λ 1 ) = 1 λ α b A ¯ μ δ f b F ¯ , b B ¯ = B ¯ .
Proof. 
The proof follows a similar approach to Lemma 4 and is omitted here for brevity. □
Theorem 3. 
For nonlinear singular fractional-order multi-agent systems, Assumptions 2–4 are satisfied. If the control gain ϵ and Γ satisfies that
sup k I N n ϵ H k I n ( H k Γ C ) B ¯ < 1 ,
with B ¯ = ( I N E + H k B Γ C ) 1 ( I N B ϵ H k B ) , then the formation learning goal can be achieved.
Proof. 
Initially, upon substituting Equation (26) into Equation (25), one can derive
δ u ^ k ( t ) = ( I N n ϵ H k I n ) δ u ^ k 1 ( t ) ( H k Γ C ) A ¯ δ x ^ k ( t ) ( H k Γ C ) B ¯ δ u ^ k 1 ( t ) ( H k Γ C ) F ¯ δ f ^ k ( t ) = ( I N n ϵ H k I n ( H k Γ C ) B ¯ ) δ u ^ k 1 ( t ) ( H k Γ C ) A ¯ δ x ^ k ( t ) ( H k Γ C ) F ¯ δ f ^ k ( t ) .
Taking the norm on both sides of Equation (27), one can obtain
δ u ^ k ( t ) I N n ϵ H k I n ( H k Γ C ) B ¯ δ u ^ k 1 ( t ) + H k Γ C ( b A ¯ + μ δ f b F ¯ ) δ x ^ k ( t ) = ρ ¯ | | δ u ^ k 1 ( t ) | | + b Γ 1 ( b A ¯ + μ δ f b F ¯ ) δ x ^ k ( t ) ,
with ρ ¯ = I N n ϵ H k I n ( H k Γ C ) B ¯ , b Γ 1 = sup k H k Γ C .
Combining Equation (28) with Lemma 4, one can deduce
δ u ^ k ( t ) λ < ρ ¯ δ u ^ k 1 λ + b Γ 1 ( b A ¯ + μ δ f b F ¯ ) b B ¯ o ( λ 1 ) δ u ^ k 1 λ < ( ρ ¯ + b Γ 1 ( b A ¯ + μ δ f b F ¯ ) b B ¯ o ( λ 1 ) ) δ u ^ k 1 λ
With the convergence conditions given by Theorem 1, it can be seen that
ρ ¯ = I N n ϵ H k I n ( H k Γ C ) B ¯ < 1 .
Further, a sufficiently large λ can be selected to make
ρ ¯ + b Γ 1 ( b A ¯ + μ δ f b F ¯ ) b B ¯ o ( λ 1 ) < 1 .
Therefore, Equation (29) can be obtained by
δ u ^ k ( t ) λ < ρ ¯ δ u ^ k 1 ( t ) λ .
The proof process that follows closely resembles Theorem 1, therefore, a detailed analysis is omitted in this instance. The conclusive outcome is provided below □
lim k ζ k ( t ) = 0 .
Corollary 2. 
Considering the repetitive FOSMASs-LLN with the formation learning law without input sharing under Assumptions 2–4 and iteration-varying switching communication topology, if the learning gain meets
sup k I N n ( H k Γ C ) ( I N E + H k B Γ C ) 1 ( I N B ) < 1 .
then one can achieve the requirements of formation control, i.e., lim k ζ k ( t ) = 0 .
The proof of Corollary 2 can be found in Appendix D.

4. Illustrative Example

In order to illustrate the effectiveness of the proposed formation scheme with input sharing, a network composed of four heterogeneous follower agents is considered. The equation of FOSMASs is that
E D t α x k , i ( t ) = A x k , i ( t ) + B u k , i ( t ) + f ( x k , i ( t ) , t ) , y k , i ( t ) = C x k , i ( t ) , i = 1 , 2 , 3 , 4 , k Z ,
with α = 0.85 , t [ 0 , 3 ] , h i ( t ) = 0.2 i ,
E = 1 0 0 0 , A = 0.3 0 0 1.5 , B = 1.5 0 0 1.2 , C = 1.5 0 0 1 , x k , i ( t ) = x k , i 1 ( t ) x k , i 2 ( t ) ,
y k , i ( t ) = y k , i 1 ( t ) y k , i 2 ( t ) , u k , i ( t ) = u k , i 1 ( t ) u k , i 2 ( t ) , f ( x k , i ( t ) , t ) = 0.5 sin ( x k , i 1 ( t ) ) 0.8 x k , i 2 ( t ) 0.3 x k , i 1 ( t ) + 0.2 sin ( x k , i 2 ( t ) .
At each iteration, the initial state and initial control of the system are
x k , i ( 0 ) = x k , i 1 ( 0 ) x k , i 2 ( 0 ) = 0 0 .
The given motion equation of the virtual leader and the formation information are as follows:
y d ( t ) = cos ( 2 π t ) 1 sin ( 2 π t ) , h i ( t ) = 0.5 × ( i 1 ) 0.5 × ( i 1 ) .
Case 1. 
Formation consistency analysis under FCT.
The fixed communication topology between multi-agents G of FOSMASs-LLN is shown in Figure 2. The number 0 represents the virtual leader; only the first agent ability obtains the desired trajectory.
It can be seen from Figure 2 that the directed graph has a spanning tree with a virtual leader as the root node, so it satisfies Assumption 2. The Laplacian matrix of the directed graph between multi-agents is as follows:
L = 2 1 1 0 1 1 0 0 0 0 1 1 0 1 0 1 , H = 3 1 1 0 1 1 0 0 0 0 1 1 0 1 0 1 .
By the closed-loop D α -type iterative learning formation control with input sharing law (6), the input sharing gain ϵ and learning gain Γ are selected as
ϵ = 0.8 , Γ = 1.2 0 0 0.9
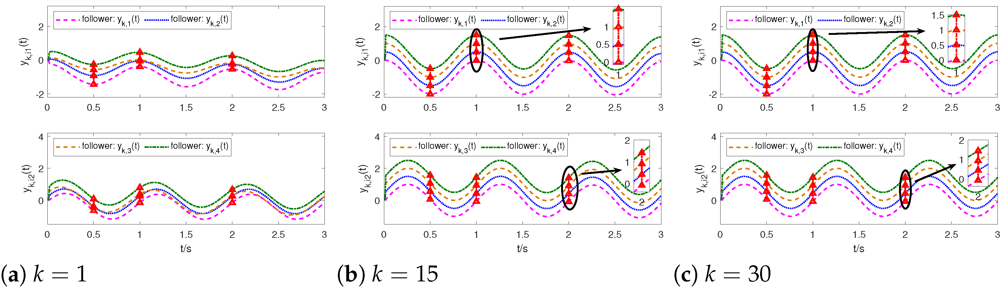
It should be noted that the value of ϵ = 0 indicates the absence of input sharing, while ϵ 0 signifies the presence of input sharing. The corresponding simulation results under fixed topology conditions are as follows: From Figure 3 and Figure 4, it is evident that with the increasing number of iterations, the follower output trajectory gradually assumes the same shape as the leader’s expected output trajectory, and the distance difference between each agent corresponds to the given formation error.
In Figure 3, one observes that in the absence of input sharing, however, the trajectory linearity of each agent generally follows the virtual leader, and there are still small fluctuations in their specific trajectories. However, in Figure 4, with input sharing introduced into the formation controller, not only does the trajectory linearity of each agent follow the virtual leader as a whole, but their specific trajectories are also much smoother compared to those in Figure 4.
From the maximum error norm change curve depicted in Figure 5, it becomes more concretely and intuitively evident that with the addition of input sharing, the control speed increases compared to the scenario without input sharing, leading to higher efficiency.
Case 2. 
Formation consistency analysis with time delay under FCT.
Consider the time-delay FOSMASs with local Lipschitz nonlinearity under the fixed topology. The dynamics of the ith agent can be described by
E D t α x k , i ( t ) = f ( x k , i ( t ) , x k , i ( t h ) , t ) + B u k , i ( t ) y k , i ( t ) = C x k , i ( t )
where i = 1 , 2 , 3 , 4 , t 0 , 4 . The time delay is set to h = 0.2 and the specific parameters of the ith agent are given by
E = 1 0 0 0 , B = 1 0.4 0 2 , C = 1 0 0 1 , φ k , i ( t ) = 0 0 , t h , 0 ,
Nevertheless, the nonlinear term is chosen as
f ( x k , i ( t ) , x k , i ( t h ) , t ) = 0.6 sin ( x 1 k , i ( t ) + x 1 k , i ( t h ) ) 0.9 ( x 2 k , i ( t ) + x 2 k , i ( t h ) ) 0.4 ( x 1 k , i ( t ) + x 1 k , i ( t h ) ) + 0.3 cos ( x 2 k , i ( t ) + x 2 k , i ( t h ) )
From Figure 6 and Figure 7, it can be observed that the number of iterative learning steps impacts the control effect, with input sharing significantly influencing the outcome. From both graphs, and the insets within each graph, it is evident that as the number of iterations increases, the multi-agent formation becomes closer to the desired target. Additionally, it can be seen that formation control with input sharing achieves better results.
Case 3. 
Formation consistency analysis under IVSCT.
In this case, the switching law for the communication topology with a period of four is selected, as illustrated in Figure 8. To reflect the robustness of the closed-loop learning controller, the parameters of both the controller and the multi-agent system remain precisely the same as those in case 1 of the fixed topology.
The figure depicts changes in the topology occurring along the iterative axis. The appropriate topology is selected during each iteration with k = 4 i + j , i = 1 , 2 , 3 , 4 .
The topology that varies along the iterative axis is defined as follows:
H 1 = 3 1 1 0 1 1 0 0 0 0 2 1 0 1 0 1 , H 2 = 1 0 0 0 1 2 1 0 0 1 3 1 0 1 0 1 ,
H 3 = 1 0 0 0 1 1 0 0 0 0 2 1 0 1 0 1 , H 4 = 2 0 1 0 1 1 0 0 0 0 1 0 1 0 0 1 ,
The formation information is defined as h i ( t ) = [ 0.2 × i 0 ] T .
Figure 9 and Figure 10 represent the different trajectories of multi-agents with different iterations in the case of formation control. As the number of stages of iterative learning increases, the tracking trend gradually improves.
Figure 11 depicts the maximum norm curve of formation error for all followers under different iterative learning times. It is observed that when input sharing is not added, the tracking error converges to a bounded range and exhibits cyclic fluctuations due to the interference of switching topology. Upon adding input sharing, it is evident that the maximum norm curve of formation error for four follower multi-agents decreases faster and exponentially compared to the curve without input sharing. Due to the influence of iterative switching topology, the formation error convergence of FOSMASs fluctuates slightly compared to the fixed topology. In addition, the formation error converges to the same boundary with increasing learning time, reflecting the strong robustness of input sharing learning laws.

5. Conclusions

In this paper, a novel closed-loop D α -type ILC formation framework with input sharing for FOSMASs-LLN has been designed. All follower agents can form a formation accurately on a fixed time interval under both the FCT protocol and IVSCT protocol, with a focus on addressing the formation control challenges posed by FOSMASs-LLN. Through rigorous analysis and numerical simulations, it has been concluded that the distributed D α -type controller via input sharing has led to faster convergent speed and higher efficiency compared with the case without input sharing. Nonetheless, even if the closed-loop D α -type ILC via the input sharing scheme can converge faster and enforces the formation errors in a fixed time along the iteration axis, this developed controller still requires the whole complete information transmission. Thus, future efforts will now turn to adding from the viewpoint of signal distortion, which includes not only the uncertainty issue of transmitted information but also considers event-triggered technology scenarios.

Author Contributions

Conceptualization, G.W. and X.Z.; methodology, X.Z.; validation, R.W. and D.Y.; writing—original draft preparation, G.W.; writing—review and editing, G.W. and X.Z.; project administration, X.Z. and S.Z. All authors have read and agreed to the published version of the manuscript.

Funding

The work was supported by the National College Students’ Innovation and Entrepreneurship Training Project (No. 202410304031Z), and the the Scholarship from the China Scholarship Council (No. 202006840089).

Data Availability Statement

All necessary data utilized in this article are comprehensively incorporated within its contents.

Conflicts of Interest

The authors declare no conflicts of interest.

Appendix A. The Proof of Lemma 3

Proof. 
The proof is similar to [22]. For the completeness, we give the simple proof here.
Based on Assumption 1, it yields
f ˜ j x k + 1 ( t ) , t f ˜ j x k ( t ) , t j ( z k , j ( t ) , t ) δ x k ( t ) ( μ j γ j ( z k , j ( t ) ) + υ j ) δ x k ( t ) = ( μ j γ j ( θ k , j x k + 1 ( t ) + ( 1 θ k , j ) x k ( t ) ) + υ j ) δ x k ( t ) .
With the help of Claim 2, a deduction can be made that
z k , j ( t ) θ k , j x k + 1 ( t ) + ( 1 θ k , j ) x k ( t ) μ ˜ x .
Given this fact and revisiting Assumption 1, one can incorporate the property of non-decreasing functions to derive
f ~ j x k + 1 ( t ) , t f ~ j x k ( t ) , t ( μ j γ j ( μ ~ x ) + υ j ) δ x k ( t ) μ ~ δ f δ x k ( t ) ,
where μ ~ δ f = max 1 j n N μ j max 1 j n N γ j ( μ ~ x ) + max 1 j n N υ j . Furthermore, there exists μ such that
f ˜ x k + 1 ( t ) , t f ˜ x k ( t ) , t = μ f ˜ j x k + 1 ( t ) , t f ˜ j x k ( t ) , t = μ max 1 j n N f ˜ j x k + 1 ( t ) , t f ˜ j x k ( t ) , t μ μ ˜ δ f δ x k ( t ) μ δ f δ x k ( t ) .
Thus,
δ f ^ k ( t ) μ δ f δ x ^ k ( t ) .
The proof is finished. □

Appendix B. The Proof of Lemma 4

Proof. 
According to the analysis of the fractional-order characteristics shown by Lemma 1 and the initial condition Equation (17), it can be concluded that
δ x ^ k ( t ) = δ x ^ k ( 0 ) + 1 Γ ( α ) 0 t A ˜ ( τ ) δ x ^ k ( τ ) t τ 1 α d τ + 1 Γ ( α ) 0 t F ˜ ( τ ) δ f ^ k ( τ ) t τ 1 α d τ + 1 Γ ( α ) 0 t B ˜ ( τ ) δ u ^ k 1 ( τ ) t τ 1 α d τ
In taking the norm of both sides of Equation (A1), one can obtain that
δ x ^ k ( t ) δ x ^ k ( 0 ) + b A ~ Γ ( α ) 0 t e λ τ e λ τ ( t τ ) 1 α δ x ^ k ( τ ) d τ + b B ~ Γ ( α ) 0 t e λ τ e λ τ ( t τ ) 1 α δ u ^ k 1 ( τ ) d τ + b F ~ Γ ( α ) 0 t e λ τ e λ τ ( t τ ) 1 α δ f ^ k ( τ ) d τ ,
where b A ~ = A ~ , b F ~ = F ~ .
According to the nonlinear analysis of Lemma 3, it can be obtained that
δ x ^ k ( t ) δ x ^ k ( 0 ) + b A ˜ Γ ( α ) 0 t e λ τ ( t τ ) 1 α d τ s u p t [ 0 , T ] { e λ t δ x ^ k ( t ) } + b B ˜ Γ ( α ) 0 t e λ τ ( t τ ) 1 α d τ s u p t [ 0 , T ] { e λ t δ u ^ k 1 ( t ) } + μ δ f b F ˜ Γ ( α ) 0 t e λ τ ( t τ ) 1 α d τ s u p t [ 0 , T ] { e λ t δ x ^ k ( t ) } = δ x ^ k ( 0 ) + b A ˜ + μ δ f b F ˜ Γ ( α ) 0 t e λ τ ( t τ ) 1 α d τ δ x ^ k λ + b B ˜ Γ ( α ) 0 t e λ τ ( t τ ) 1 α d τ δ u ^ k 1 λ .
At the same time, the following relationship can be noted
0 t e λ τ t τ 1 α d τ t τ = w ̲ ̲ 0 t e λ ( t w ) w 1 α d ( t w ) = e λ t 0 t e λ w w 1 α d w λ w = s ̲ ̲ e λ t λ α 0 λ t e s s 1 α d s < e λ t λ α Γ ( α ) .
Further from the above formula, it can be introduced that
δ x ^ k ( t ) < δ x ^ k ( 0 ) + ( b A ˜ + μ δ f b F ˜ ) e λ t λ α δ x ^ k λ + b B ˜ e λ t λ α δ u ^ k 1 λ .
Furthermore, according to Assumption 4, it can be deduced that
δ x ^ k ( t ) λ < 1 λ α [ ( b A ˜ + μ δ f b F ˜ ) δ x ^ k λ + b B ˜ δ u ^ k 1 λ ] .
There exists a sufficiently large λ , such that
λ α b A ˜ μ δ f b F ˜ > 0 .
Thus,
| | δ x ^ k | | λ < b B ˜ ( λ α b A ˜ μ δ f b F ˜ ) | | δ u ^ k 1 | | λ
By introducing the infinitesimal variable o ( λ 1 ) = 1 λ α b A ~ μ δ f b F ~ , Equation (A2) can be further simplified as
δ x ^ k λ < b B ˜ o ( λ 1 ) δ u ^ k 1 λ .
The proof is finished. □

Appendix C. The Proof of Corollary 1

Proof. 
When ϵ = 0 , the formation control law without input sharing can be transformed as
u k + 1 , i ( t ) = u k , i ( t ) + Γ D t α η k + 1 , i ( t ) .
According to the control mentioned above formation protocol without input sharing, one can further derive the representation of the fractional-order differential Equation (15) as
D t α δ x ^ k ( t ) = ( I N E + H B Γ C ) 1 ( I N A ) δ x ^ k ( t ) + ( I N E + H B Γ C ) 1 ( I N B ) δ u ^ k 1 ( t ) + ( I N E + H B Γ C ) 1 δ f ^ k ( t ) .
The remaining proof is similar to Theorem 1 and is therefore not reiterated here. □

Appendix D. The Proof of Corollary 2

Proof. 
When ϵ is set to zero, the formation law given by Equation (24) can be reformulated as
u k + 1 ( t ) = u k ( t ) + ( H k Γ ) D t α ζ k + 1 ( t ) .
By virtue of the formation learning control protocol without input sharing, the expression of the fractional-order differential Equation (26) can be derived as follows:
D t α δ x ^ k ( t ) = ( I N E + H k B Γ C ) 1 ( I N A ) δ x ^ k ( t ) + ( I N E + H k B Γ C ) 1 ( I N B ) δ u ^ k 1 ( t ) + ( I N E + H k B Γ C ) 1 δ f ^ k ( t ) .
The proof is identical to the proof of Theorem 1 and is therefore not reiterated here. □

References

  1. Wang, Y.; Zhang, J.; Wu, H. Distributed Adaptive Mittag–Leffler Formation Control for Second-Order Fractional Multi-Agent Systems via Event-Triggered Control Strategy. Fractal Fract. 2022, 6, 380. [Google Scholar] [CrossRef]
  2. Lu, R.; Wu, J.; Zhan, X.; Yan, H. Practical Fixed-Time Event-Triggered Output Feedback Containment Control for Second-Order Nonlinear Multi-Agent Systems with Switching Topologies. Neurocomputing 2024, 585, 127580. [Google Scholar] [CrossRef]
  3. Wang, J.-Y.; Zhao, X.-W.; Liu, Y.; Lai, Q. Fixed-Time Containment Control for Nonlinear Multi-Agent Systems via Dynamic Event-Triggered Mechanism over Directed Graphs. Frankl. Open 2024, 6, 100054. [Google Scholar] [CrossRef]
  4. Zhang, T.; Li, N.; Chen, J. Quantized iterative learning control for nonlinear multi-agent systems with initial state error. Syst. Control. Lett. 2024, 186, 105756. [Google Scholar] [CrossRef]
  5. Jin, X. Formation-Based Decentralized Iterative Learning Cooperative Impedance Control for a Team of Robot Manipulators. IEEE Trans. Syst. Man Cybern. Syst. 2023, 53, 872–881. [Google Scholar] [CrossRef]
  6. Pakshin, P.V.; Koposov, A.S.; Emelianova, J.P. Iterative learning control of a multi-agent system under random perturbations. Autom. Remote. Control. 2020, 81, 483–502. [Google Scholar] [CrossRef]
  7. Zhao, X.; Tuo, J.; Wang, Y. Collective Point-to-Point Iterative Learning Control of Multi-Agent System with Switched Reference. J. Frankl. Inst. 2023, 360, 10837–10855. [Google Scholar] [CrossRef]
  8. Hock, A.; Schoellig, A.P. Distributed Iterative Learning Control for Multi-Agent Systems. Auton. Robot. 2019, 43, 1989–2010. [Google Scholar] [CrossRef]
  9. Wang, Z.; Jin, Z.; Li, H. Semi-Global Asymptotic State Agreement of Nonlinear Multi-Agent Systems with Communication Delays under Directed Switching Topologies. Nonlinear Anal. Hybrid Syst. 2024, 52, 101458. [Google Scholar] [CrossRef]
  10. Wang, C.; Zhou, Z.; Dai, X.; Liu, X. Iterative Learning Approach for Consensus Tracking of Partial Difference Multi-Agent Systems with Control Delay under Switching Topology. ISA Trans. 2023, 136, 46–60. [Google Scholar] [CrossRef]
  11. Zhou, X.; Wang, H.; Wang, K.; Tian, Y. Quantized Iterative Learning Control for Singular Nonlinear Fractional-Order Time-Delay Multi-Agent Systems with Iteration-Varying Reference Trajectories and Switching Topologies. Commun. Nonlinear Sci. Numer. Simul. 2023, 125, 107359. [Google Scholar] [CrossRef]
  12. Gu, P.; Tian, S. Analysis of Iterative Learning Control for One-Sided Lipschitz Nonlinear Singular Systems. J. Frankl. Inst. 2019, 356, 196–208. [Google Scholar] [CrossRef]
  13. Chen, B.; Jiang, Z.; Chu, B. Distributed Data-Driven Iterative Learning Control for Consensus Tracking. IFAC-PapersOnLine 2023, 56, 1045–1050. [Google Scholar] [CrossRef]
  14. Niu, Q.; Li, L.; Wang, C. Non-Fragile Consensus Control for Nonlinear Singular Multi-Agent Systems: An Event-Triggered Sampling Scheme. Trans. Inst. Meas. Control. 2023, 45, 72–88. [Google Scholar] [CrossRef]
  15. Wang, Y.; Zhang, J.-X.; Zhang, X. Fuzzy Control of Singular Fractional Order Multi-Agent Systems with Actuator Saturation. Inf. Sci. 2024, 665, 120397. [Google Scholar] [CrossRef]
  16. Ma, Z.; Sun, K.; Tong, S. Adaptive Asymptotic Tracking Control of Uncertain Fractional-Order Nonlinear Systems with Unknown Control Coefficients and Actuator Faults. Chaos Solitons Fractals 2024, 182, 114737. [Google Scholar] [CrossRef]
  17. Fu, Q. Iterative Learning Control for Nonlinear Heterogeneous Multi-Agent Systems with Multiple Leaders. Trans. Inst. Meas. Control. 2021, 43, 854–861. [Google Scholar] [CrossRef]
  18. Wang, Y.-M.; Xie, B. A Fourth-Order Fractional Adams-Type Implicit–Explicit Method for Nonlinear Fractional Ordinary Differential Equations with Weakly Singular Solutions. Math. Comput. Simul. 2023, 212, 21–48. [Google Scholar] [CrossRef]
  19. Saleh, R.; Kassem, M.; Mabrouk, S.M. Exact Solutions of Nonlinear Fractional Order Partial Differential Equations via Singular Manifold Method. Chin. J. Phys. 2019, 61, 290–300. [Google Scholar] [CrossRef]
  20. Izadi, M.; Atangana, A. Computational Analysis of a Class of Singular Nonlinear Fractional Multi-Order Heat Conduction Model of the Human Head. Sci. Rep. 2024, 14, 3466. [Google Scholar] [CrossRef]
  21. Ahmad, D.; Ali, A.; Mahariq, I.; ur Rahman, G.; Shah, K. Investigation of Nonlinear Fractional Delay Differential Equation via Singular Fractional Operator. Int. J. Nonlinear Sci. Numer. Simul. 2023, 24, 645–660. [Google Scholar] [CrossRef]
  22. Luo, D.; Wang, J.; Shen, D. Iterative Learning Control for Locally Lipschitz Nonlinear Fractional-Order Multi-Agent Systems. J. Frankl. Inst. 2020, 357, 6671–6693. [Google Scholar] [CrossRef]
  23. Li, J.; Li, J. Adaptive Fuzzy Iterative Learning Control with Initial-State Learning for Coordination Control of Leader-Following Multi-Agent Systems. Fuzzy Sets Syst. 2014, 248, 122–137. [Google Scholar] [CrossRef]
  24. Hutzenthaler, M.; Jentzen, A. Convergence of the Stochastic Euler Scheme for Locally Lipschitz Coefficients. Found. Comput. Math. 2011, 11, 657–706. [Google Scholar] [CrossRef]
  25. Yang, S.; Xu, J.-X.; Li, X. Iterative Learning Control with Input Sharing for Multi-Agent Consensus Tracking. Syst. Control. Lett. 2016, 94, 97–106. [Google Scholar] [CrossRef]
  26. Yang, S.; Xu, J.-X. Multi-Agent Consensus Tracking with Input Sharing by Iterative Learning Control. In Proceedings of the 2014 European Control Conference (ECC), Strasbourg, France, 24–27 June 2014; pp. 868–873. [Google Scholar]
  27. Wang, K.; Gong, P.; Ma, Z. Fixed-Time Distributed Time-Varying Optimization for Nonlinear Fractional-Order Multiagent Systems with Unbalanced Digraphs. Fractal Fract. 2023, 7, 813. [Google Scholar] [CrossRef]
  28. Podlubny, I. Fractional Differential Equations. In Mathematics in Science and Engineering; Elsevier: Amsterdam, The Netherlands, 1999. [Google Scholar]
Figure 1. Relationship between followers and the virtual leader 0 under formation control.
Figure 1. Relationship between followers and the virtual leader 0 under formation control.
Fractalfract 08 00347 g001
Figure 2. Fixed communication topology between multi-agents G .
Figure 2. Fixed communication topology between multi-agents G .
Fractalfract 08 00347 g002
Figure 3. The output trajectory without input sharing under FCT. In the figure, at time t, the line segments connected by the red triangle represent the state localization of the multi-agent, and the line segments between each two multi-agents represent the distance between them.
Figure 3. The output trajectory without input sharing under FCT. In the figure, at time t, the line segments connected by the red triangle represent the state localization of the multi-agent, and the line segments between each two multi-agents represent the distance between them.
Fractalfract 08 00347 g003
Figure 4. The output trajectory with input sharing under FCT. In the figure, at time t, the line segments connected by the red triangle represent the state localization of the multi-agent, and the line segments between each two multi-agents represent the distance between them.
Figure 4. The output trajectory with input sharing under FCT. In the figure, at time t, the line segments connected by the red triangle represent the state localization of the multi-agent, and the line segments between each two multi-agents represent the distance between them.
Fractalfract 08 00347 g004
Figure 5. The maximum norm of formation error ζ k ( t ) with the number of iterations k.
Figure 5. The maximum norm of formation error ζ k ( t ) with the number of iterations k.
Fractalfract 08 00347 g005
Figure 6. The output trajectory without input sharing with time delay under FCT. In the figure, at time t, the line segments connected by the red triangle represent the state localization of the multi-agent, and the line segments between each two multi-agents represent the distance between them.
Figure 6. The output trajectory without input sharing with time delay under FCT. In the figure, at time t, the line segments connected by the red triangle represent the state localization of the multi-agent, and the line segments between each two multi-agents represent the distance between them.
Fractalfract 08 00347 g006
Figure 7. The output trajectory with input sharing with time delay under FCT. In the figure, at time t, the line segments connected by the red triangle represent the state localization of the multi-agent, and the line segments between each two multi-agents represent the distance between them.
Figure 7. The output trajectory with input sharing with time delay under FCT. In the figure, at time t, the line segments connected by the red triangle represent the state localization of the multi-agent, and the line segments between each two multi-agents represent the distance between them.
Fractalfract 08 00347 g007
Figure 8. Iterative switching communication topology G .
Figure 8. Iterative switching communication topology G .
Fractalfract 08 00347 g008
Figure 9. The output trajectory with input sharing under IVSCT. In the figure, at time t, the line segments connected by the red triangle represent the state localization of the multi-agent, and the line segments between each two multi-agents represent the distance between them.
Figure 9. The output trajectory with input sharing under IVSCT. In the figure, at time t, the line segments connected by the red triangle represent the state localization of the multi-agent, and the line segments between each two multi-agents represent the distance between them.
Fractalfract 08 00347 g009
Figure 10. The output trajectory without input sharing under IVSCT. In the figure, at time t, the line segments connected by the black circle line represent the state localization of the multi-agent, and the line segments between each two multi-agents represent the distance between them.
Figure 10. The output trajectory without input sharing under IVSCT. In the figure, at time t, the line segments connected by the black circle line represent the state localization of the multi-agent, and the line segments between each two multi-agents represent the distance between them.
Fractalfract 08 00347 g010
Figure 11. The maximum norm of formation error ζ k with the number of iterations k.
Figure 11. The maximum norm of formation error ζ k with the number of iterations k.
Fractalfract 08 00347 g011
Disclaimer/Publisher’s Note: The statements, opinions and data contained in all publications are solely those of the individual author(s) and contributor(s) and not of MDPI and/or the editor(s). MDPI and/or the editor(s) disclaim responsibility for any injury to people or property resulting from any ideas, methods, instructions or products referred to in the content.

Share and Cite

MDPI and ACS Style

Wang, G.; Wang, R.; Yi, D.; Zhou, X.; Zhang, S. Iterative Learning Formation Control via Input Sharing for Fractional-Order Singular Multi-Agent Systems with Local Lipschitz Nonlinearity. Fractal Fract. 2024, 8, 347. https://doi.org/10.3390/fractalfract8060347

AMA Style

Wang G, Wang R, Yi D, Zhou X, Zhang S. Iterative Learning Formation Control via Input Sharing for Fractional-Order Singular Multi-Agent Systems with Local Lipschitz Nonlinearity. Fractal and Fractional. 2024; 8(6):347. https://doi.org/10.3390/fractalfract8060347

Chicago/Turabian Style

Wang, Guangxu, Rui Wang, Danhu Yi, Xingyu Zhou, and Shuyu Zhang. 2024. "Iterative Learning Formation Control via Input Sharing for Fractional-Order Singular Multi-Agent Systems with Local Lipschitz Nonlinearity" Fractal and Fractional 8, no. 6: 347. https://doi.org/10.3390/fractalfract8060347

APA Style

Wang, G., Wang, R., Yi, D., Zhou, X., & Zhang, S. (2024). Iterative Learning Formation Control via Input Sharing for Fractional-Order Singular Multi-Agent Systems with Local Lipschitz Nonlinearity. Fractal and Fractional, 8(6), 347. https://doi.org/10.3390/fractalfract8060347

Article Metrics

Back to TopTop