Critical Exponents and Universality for Fractal Time Processes above the Upper Critical Dimensionality
Abstract
1. Introduction
2. Theory of Critical Behavior above the Upper Critical Dimension
3. Finite-Time Scaling
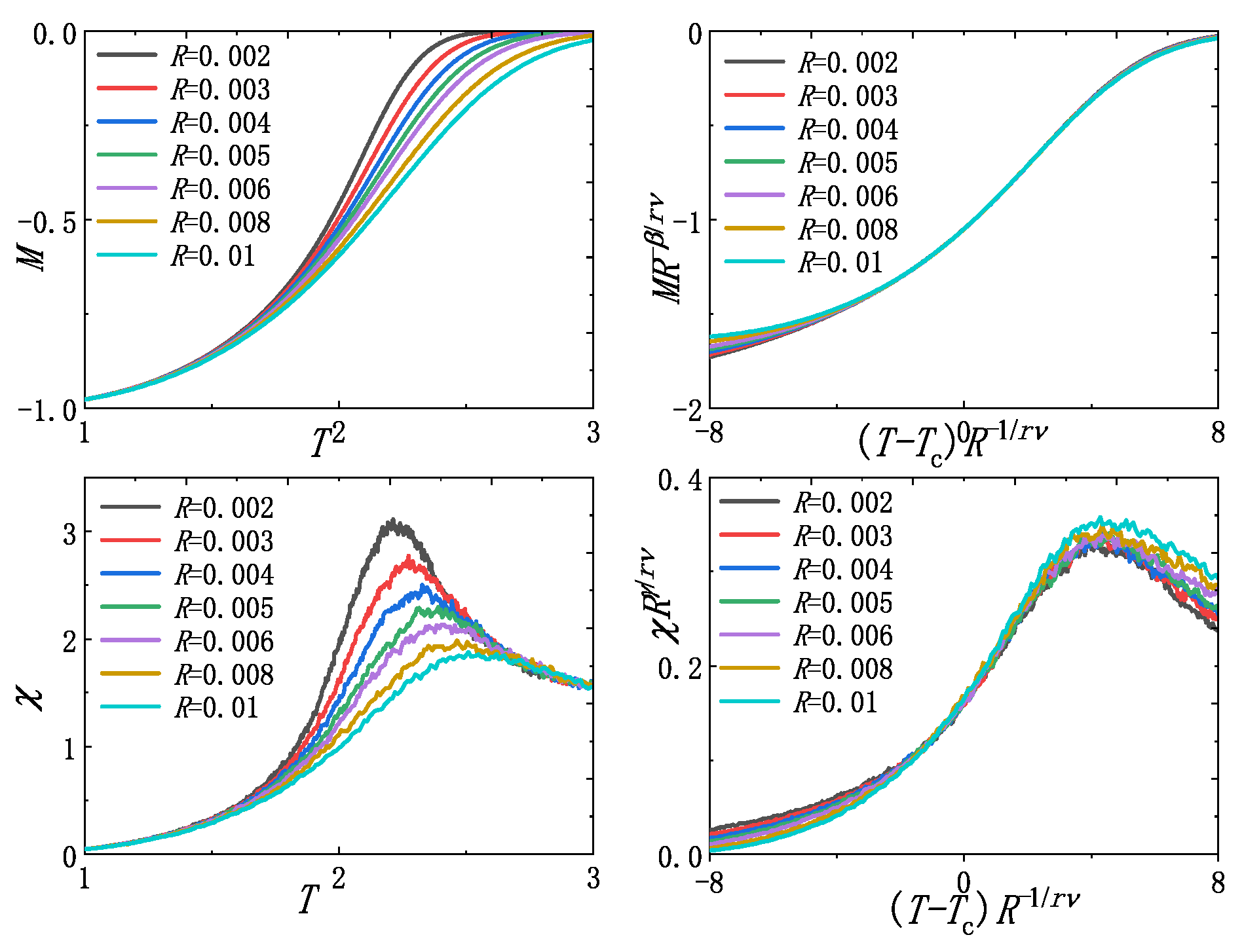
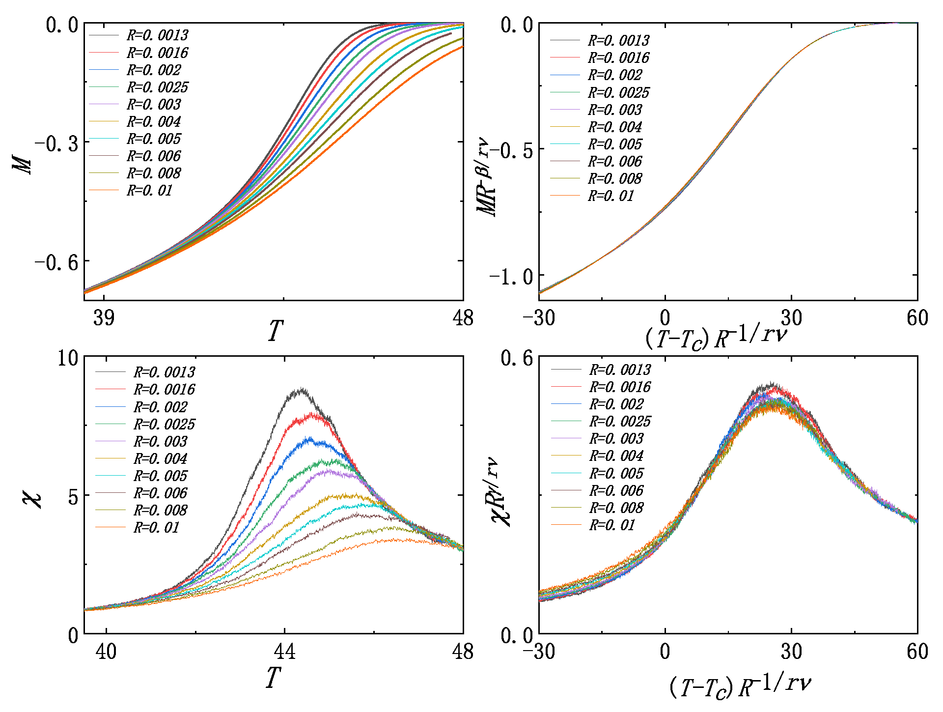
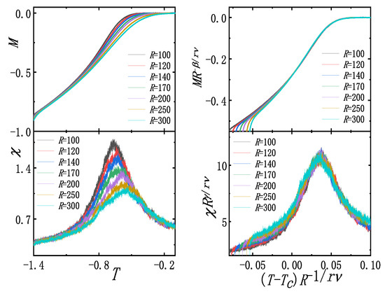
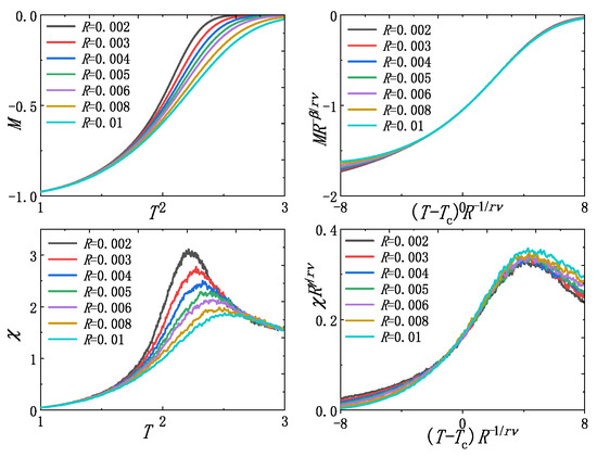
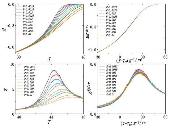
4. Numerical Results
5. Conclusions
Supplementary Materials
Author Contributions
Funding
Data Availability Statement
Acknowledgments
Conflicts of Interest
References
- Heyl, M.; Polkovnikov, A.; Kehrein, S. Dynamical Quantum Phase Transitions in the Transverse-Field Ising Model. Phys. Rev. Lett. 2013, 110, 135704. [Google Scholar] [CrossRef]
- Quintana, M.; Berger, A. Experimental Observation of Critical Scaling in Magnetic Dynamic Phase Transitions. Phys. Rev. Lett. 2023, 131, 116701. [Google Scholar] [CrossRef]
- Bao, Y.; Block, M.; Altman, E. Finite-Time Teleportation Phase Transition in Random Quantum Circuits. Phys. Rev. Lett. 2024, 132, 030401. [Google Scholar] [CrossRef]
- Hohenberg, P.C.; Halperin, B.I. Theory of dynamic critical phenomena. Rev. Mod. Phys. 1977, 49, 435–479. [Google Scholar] [CrossRef]
- Seifert, U. Stochastic thermodynamics, fluctuation theorems and molecular machines. Rep. Prog. Phys. 2012, 75, 126001. [Google Scholar] [CrossRef]
- de Vega, I.; Alonso, D. Dynamics of non-Markovian open quantum systems. Rev. Mod. Phys. 2017, 89, 015001. [Google Scholar] [CrossRef]
- Breuer, H.P.; Laine, E.M.; Piilo, J.; Vacchini, B. Colloquium: Non-Markovian dynamics in open quantum systems. Rev. Mod. Phys. 2016, 88, 021002. [Google Scholar] [CrossRef]
- Caruso, F.; Giovannetti, V.; Lupo, C.; Mancini, S. Quantum channels and memory effects. Rev. Mod. Phys. 2014, 86, 1203–1259. [Google Scholar] [CrossRef]
- Kaur, K.; Sépulcre, T.; Roch, N.; Snyman, I.; Florens, S.; Bera, S. Spin-Boson Quantum Phase Transition in Multilevel Superconducting Qubits. Phys. Rev. Lett. 2021, 127, 237702. [Google Scholar] [CrossRef]
- Qian, X.; Sun, Z.; Zhou, N. Unveiling quantum entanglement and correlation of sub-Ohmic and Ohmic baths for quantum phase transitions in dissipative systems. Phys. Rev. A 2022, 105, 012431. [Google Scholar] [CrossRef]
- De Filippis, G.; de Candia, A.; Cangemi, L.M.; Sassetti, M.; Fazio, R.; Cataudella, V. Quantum phase transitions in the spin-boson model: Monte Carlo method versus variational approach à la Feynman. Phys. Rev. B 2020, 101, 180408. [Google Scholar] [CrossRef]
- Sachdev, S. Quantum Phase Transitions; Cambridge University Press: Cambridge, UK, 1999. [Google Scholar]
- Wittmann, M.; Young, A.P. Finite-size scaling above the upper critical dimension. Phys. Rev. E 2014, 90, 062137. [Google Scholar] [CrossRef]
- Fisher, M.E.; Ma, S.k.; Nickel, B.G. Critical Exponents for Long-Range Interactions. Phys. Rev. Lett. 1972, 29, 917–920. [Google Scholar] [CrossRef]
- Luijten, E.; Blöte, H.W.J. Finite-Size Scaling and Universality above the Upper Critical Dimensionality. Phys. Rev. Lett. 1996, 76, 1557–1561. [Google Scholar] [CrossRef]
- Zeng, S.; Szeto, S.P.; Zhong, F. Effective-dimension theory of critical phenomena above upper critical dimensions. Physica Scripta 2022, 97, 125002. [Google Scholar] [CrossRef]
- Matignon, D. An Introduction to Fractional Calculus. In Scaling, Fractals and Wavelets; John Wiley and Sons, Ltd.: Hoboken, NJ, USA, 2009; Chapter 7; pp. 237–277. [Google Scholar] [CrossRef]
- Hattaf, K.; Mohsen, A.A.; Al-Husseiny, H.F. Gronwall inequality and existence of solutions for differential equations with generalized Hattaf fractional derivative. J. Math. Comput. Sci. 2022, 27, 18–27. [Google Scholar] [CrossRef]
- Al-Sa’di, S.; Bibi, M.; Muddassar, M.; Kermausuor, S. Generalized m-preinvexity on fractal set and related local fractional integral inequalities with applications. J. Math. Comput. Sci. 2023, 30, 352–371. [Google Scholar] [CrossRef]
- Batalov, L.; Batalova, A. Critical dynamics in systems controlled by fractional kinetic equations. Phys. A Stat. Mech. Its Appl. 2013, 392, 602–611. [Google Scholar] [CrossRef]
- Wilson, K.G. Renormalization Group and Critical Phenomena. I. Renormalization Group and the Kadanoff Scaling Picture. Phys. Rev. B 1971, 4, 3174–3183. [Google Scholar] [CrossRef]
- Kadanoff, L. Scaling laws for ising models near Tc. Phys. Phys. Fiz. 1966, 2, 263–272. [Google Scholar] [CrossRef]
- Hoffmann, K.; Tang, Q. Ginzburg-Landau Phase Transition Theory and Superconductivity; International Series of Numerical Mathematics; Birkhäuser: Basel, Switzerland, 2012. [Google Scholar]
- Li, C.; Deng, W. Remarks on fractional derivatives. Appl. Math. Comput. 2007, 187, 777–784. [Google Scholar] [CrossRef]
- Zinn-Justin, J. Quantum Field Theory and Critical Phenomena; Oxford University Press: Oxford, UK, 2021. [Google Scholar]
- Vasil’ev, A. The Field Theoretic Renormalization Group in Critical Behavior Theory and Stochastic Dynamics; Chapman and Hall/CRC: New York, NY, USA, 1998. [Google Scholar] [CrossRef]
- Zeng, S.; Szeto, S.P.; Zhong, F. Theory of Critical Phenomena with Memory. Chin. Phys. Lett. 2022, 39, 120501. [Google Scholar] [CrossRef]
- Berche, B.; Kenna, R.; Walter, J.C. Hyperscaling above the upper critical dimension. Nucl. Phys. B 2012, 865, 115–132. [Google Scholar] [CrossRef]
- Luijten, E.; Blöte, H.W.J. Classical critical behavior of spin models with long-range interactions. Phys. Rev. B 1997, 56, 8945–8958. [Google Scholar] [CrossRef]
- Zhong, F. Finite-Time Scaling and Its Applications to Continuous Phase Transitions; IntechOpen: Rijeka, Croatia, 2011; Chapter 18. [Google Scholar] [CrossRef]
- Lyuksyutov, I.; Fedorus, A. Critical exponents of the HW (011) system. Sov. Phys. Jetp 1981, 53, 1317. [Google Scholar]
- Taroni, A.; Bramwell, S.T.; Holdsworth, P.C.W. Universal window for two-dimensional critical exponents. J. Phys. Condens. Matter 2008, 20, 275233. [Google Scholar] [CrossRef] [PubMed]
- Wang, Q.H.; Bedoya-Pinto, A.; Blei, M.; Dismukes, A.H.; Hamo, A.; Jenkins, S.; Koperski, M.; Liu, Y.; Sun, Q.C.; Telford, E.J.; et al. The Magnetic Genome of Two-Dimensional van der Waals Materials. ACS Nano 2022, 16, 6960–7079. [Google Scholar] [CrossRef]






| d | z | |||||
|---|---|---|---|---|---|---|
| 2 | 3 | 1 | 5 | 3 | ||
| 3 | 1 | |||||
| 4 | 4 | 1 | 3 | 2 |
Disclaimer/Publisher’s Note: The statements, opinions and data contained in all publications are solely those of the individual author(s) and contributor(s) and not of MDPI and/or the editor(s). MDPI and/or the editor(s) disclaim responsibility for any injury to people or property resulting from any ideas, methods, instructions or products referred to in the content. |
© 2024 by the authors. Licensee MDPI, Basel, Switzerland. This article is an open access article distributed under the terms and conditions of the Creative Commons Attribution (CC BY) license (https://creativecommons.org/licenses/by/4.0/).
Share and Cite
Zeng, S.; Hu, Y.; Tan, S.; Wang, B. Critical Exponents and Universality for Fractal Time Processes above the Upper Critical Dimensionality. Fractal Fract. 2024, 8, 294. https://doi.org/10.3390/fractalfract8050294
Zeng S, Hu Y, Tan S, Wang B. Critical Exponents and Universality for Fractal Time Processes above the Upper Critical Dimensionality. Fractal and Fractional. 2024; 8(5):294. https://doi.org/10.3390/fractalfract8050294
Chicago/Turabian StyleZeng, Shaolong, Yangfan Hu, Shijing Tan, and Biao Wang. 2024. "Critical Exponents and Universality for Fractal Time Processes above the Upper Critical Dimensionality" Fractal and Fractional 8, no. 5: 294. https://doi.org/10.3390/fractalfract8050294
APA StyleZeng, S., Hu, Y., Tan, S., & Wang, B. (2024). Critical Exponents and Universality for Fractal Time Processes above the Upper Critical Dimensionality. Fractal and Fractional, 8(5), 294. https://doi.org/10.3390/fractalfract8050294
