Designing Heuristic-Based Tuners for Fractional-Order PID Controllers in Automatic Voltage Regulator Systems Using a Hyper-Heuristic Approach
Abstract
1. Introduction
- 1.
- This study demonstrates the advantages, reliability, and high performance of automatically designed tuners (i.e., MHs) for FOPID controllers in AVR systems.
- 2.
- It identifies and validates the optimal gain settings of the FOPID controller, ensuring it effectively compensates for the AVR system’s dynamics.
- 3.
- This work develops performance tests of the proposed FOPID controller, utilizing benchmark analysis that incorporates system disturbances, providing a comprehensive evaluation of its effectiveness.
- 4.
- Lastly, it presents a landscape analysis, focusing on the overshoot and settling time characteristics as the controller’s fractional components are varied. This analysis confirms the controller’s optimal configuration, enhancing system stability and performance.
2. Foundations
2.1. Automatic Voltage Regulator System
2.2. Fractional Calculus
2.3. Fractional-Order Proportional-Integral-Derivative Controller
2.4. Metaheuristics
2.5. Automated Algorithm Design
3. Methodology
| Algorithm 1 Simulated Annealing Hyper-Heuristic for Automated Metaheuristic Design |
|
4. Numerical Results
5. Conclusions
Author Contributions
Funding
Institutional Review Board Statement
Informed Consent Statement
Data Availability Statement
Conflicts of Interest
References
- Al-Shetwi, A.Q.; Hannan, M.; Jern, K.P.; Mansur, M.; Mahlia, T.M.I. Grid-connected renewable energy sources: Review of the recent integration requirements and control methods. J. Clean. Prod. 2020, 253, 119831. [Google Scholar] [CrossRef]
- Andersson, G.; Bel, C.Á.; Cañizares, C. Frequency and voltage control. In Electric Energy Systems; CRC Press: Boca Raton, FL, USA, 2017; pp. 355–400. [Google Scholar]
- Ji, Y.; He, W.; Cheng, S.; Kurths, J.; Zhan, M. Dynamic network characteristics of power-electronics-based power systems. Sci. Rep. 2020, 10, 9946. [Google Scholar] [CrossRef] [PubMed]
- Perera, S.; Elphick, S. Chapter 7—Implications of equipment behaviour on power quality. In Applied Power Quality; Perera, S., Elphick, S., Eds.; Elsevier: Amsterdam, The Netherlands, 2023; pp. 185–258. [Google Scholar] [CrossRef]
- Karaagac, U.; Kocar, I.; Mahseredjian, J.; Cai, L.; Javid, Z. STATCOM integration into a DFIG-based wind park for reactive power compensation and its impact on wind park high voltage ride-through capability. Electr. Power Syst. Res. 2021, 199, 107368. [Google Scholar] [CrossRef]
- Ćalasan, M.; Kecojević, K.; Lukačević, O.; Ali, Z.M. Chapter 10—Testing of influence of SVC and energy storage device’s location on power system using GAMS. In Uncertainties in Modern Power Systems; Zobaa, A.F., Abdel Aleem, S.H., Eds.; Academic Press: Cambridge, MA, USA, 2021; pp. 297–342. [Google Scholar] [CrossRef]
- Abood, L.H.; Oleiwi, B.K. Design of fractional order PID controller for AVR system using whale optimization algorithm. Indones. J. Electr. Eng. Comput. Sci. 2021, 23, 1410–1418. [Google Scholar] [CrossRef]
- Köse, E. Optimal control of AVR system with tree seed algorithm-based PID controller. IEEE Access 2020, 8, 89457–89467. [Google Scholar] [CrossRef]
- Jahanshahi, E.; Sivalingam, S.; Schofield, J.B. Industrial test setup for autotuning of PID controllers in large-scale processes: Applied to Tennessee Eastman process. IFAC-PapersOnLine 2015, 48, 469–476. [Google Scholar] [CrossRef]
- Shah, P.; Agashe, S. Review of fractional PID controller. Mechatronics 2016, 38, 29–41. [Google Scholar] [CrossRef]
- Izci, D.; Ekinci, S.; Mirjalili, S. Optimal PID plus second-order derivative controller design for AVR system using a modified Runge Kutta optimizer and Bode’s ideal reference model. Int. J. Dyn. Control 2023, 11, 1247–1264. [Google Scholar] [CrossRef]
- Sivanandhan, A.; Aneesh, V. A Hybrid Technique Linked FOPID for a Nonlinear System Based On Closed-Loop Settling Time of Plant. Robot. Auton. Syst. 2024, 176, 104651. [Google Scholar] [CrossRef]
- Podlubny, I. Fractional-order systems and fractional-order controllers. Inst. Exp. Phys. Slovak Acad. Sci. Kosice 1994, 12, 1–18. [Google Scholar]
- Izci, D.; Ekinci, S.; Hekimoğlu, B. Fractional-order PID controller design for buck converter system via hybrid Lévy flight distribution and simulated annealing algorithm. Arab. J. Sci. Eng. 2022, 47, 13729–13747. [Google Scholar] [CrossRef]
- Nassef, A.M.; Abdelkareem, M.A.; Maghrabie, H.M.; Baroutaji, A. Metaheuristic-Based Algorithms for Optimizing Fractional-Order Controllers—A Recent, Systematic, and Comprehensive Review. Fractal Fract. 2023, 7, 553. [Google Scholar] [CrossRef]
- Altbawi, S.M.A.; Mokhtar, A.S.B.; Jumani, T.A.; Khan, I.; Hamadneh, N.N.; Khan, A. Optimal design of Fractional order PID controller based Automatic voltage regulator system using gradient-based optimization algorithm. J. King Saud Univ.-Eng. Sci. 2021, 36, 32–44. [Google Scholar] [CrossRef]
- Sikander, A.; Thakur, P.; Bansal, R.C.; Rajasekar, S. A novel technique to design cuckoo search based FOPID controller for AVR in power systems. Comput. Electr. Eng. 2018, 70, 261–274. [Google Scholar] [CrossRef]
- Ramezanian, H.; Balochian, S.; Zare, A. Design of optimal fractional-order PID controllers using particle swarm optimization algorithm for automatic voltage regulator (AVR) system. J. Control. Autom. Electr. Syst. 2013, 24, 601–611. [Google Scholar] [CrossRef]
- Mohd Tumari, M.Z.; Ahmad, M.A.; Suid, M.H.; Hao, M.R. An improved marine predators algorithm-tuned fractional-order PID controller for automatic voltage regulator system. Fractal Fract. 2023, 7, 561. [Google Scholar] [CrossRef]
- Srinivas, M.; Patnaik, L.M. Genetic algorithms: A survey. Computer 1994, 27, 17–26. [Google Scholar] [CrossRef]
- Price, K.; Storn, R.M.; Lampinen, J.A. Differential Evolution: A Practical Approach to Global Optimization; Springer Science & Business Media: Berlin/Heidelberg, Germany, 2006. [Google Scholar] [CrossRef]
- Kennedy, J.; Eberhart, R. Particle swarm optimization (PSO). In Proceedings of the International Conference on Neural Networks (ICNN’95), Perth, WA, Australia, 27 November–1 December 1995; Volume 4, pp. 1942–1948. [Google Scholar]
- de Armas, J.; Lalla-Ruiz, E.; Tilahun, S.L.; Voß, S. Similarity in metaheuristics: A gentle step towards a comparison methodology. Nat. Comput. 2022, 21, 265–287. [Google Scholar] [CrossRef]
- Tzanetos, A.; Dounias, G. Nature inspired optimization algorithms or simply variations of metaheuristics? Artif. Intell. Rev. 2021, 54, 1841–1862. [Google Scholar] [CrossRef]
- Piotrowski, A.P.; Napiorkowski, J.J.; Rowinski, P.M. How novel is the “novel” black hole optimization approach? Inf. Sci. 2014, 267, 191–200. [Google Scholar] [CrossRef]
- Stützle, T.; López-Ibáñez, M. Automated design of metaheuristic algorithms. In Handbook of Metaheuristics; Springer: Berlin/Heidelberg, Germany, 2019; pp. 541–579. [Google Scholar]
- Yi, W.; Qu, R.; Jiao, L.; Niu, B. Automated Design of Metaheuristics Using Reinforcement Learning Within a Novel General Search Framework. IEEE Trans. Evol. Comput. 2023, 27, 1072–1084. [Google Scholar] [CrossRef]
- Hassan, A.; Pillay, N. Hybrid metaheuristics: An automated approach. Expert Syst. Appl. 2019, 130, 132–144. [Google Scholar] [CrossRef]
- Qu, R.; Kendall, G.; Pillay, N. The General Combinatorial Optimisation Problem: Towards Automated Algorithm Design. IEEE Comput. Intell. Mag. 2020, 15, 14–23. [Google Scholar] [CrossRef]
- Cruz-Duarte, J.; Amaya, I.; Ortiz-Bayliss, J.; Conant-Pablos, S.; Terashima-Marín, H.; Shi, Y. Hyper-Heuristics to customise metaheuristics for continuous optimisation. Swarm Evol. Comput. 2021, 66, 100935. [Google Scholar] [CrossRef]
- Burke, E.K.; Gendreau, M.; Hyde, M.; Kendall, G.; Ochoa, G.; Özcan, E.; Qu, R. Hyper-heuristics: A survey of the state of the art. J. Oper. Res. Soc. 2013, 64, 1695–1724. [Google Scholar] [CrossRef]
- Zambrano-Gutierrez, D.F.; Cruz-Duarte, J.M.; Avina-Cervantes, J.G.; Ortiz-Bayliss, J.C.; Yanez-Borjas, J.J.; Amaya, I. Automatic Design of Metaheuristics for Practical Engineering Applications. IEEE Access 2023, 11, 7262–7276. [Google Scholar] [CrossRef]
- Patil, P.M.; Patil, S. Automatic voltage regulator. In Proceedings of the 2020 International Conference on Emerging Trends in Information Technology and Engineering (ic-ETITE), Vellore, India, 24–25 February 2020; pp. 1–5. [Google Scholar]
- Yoshida, H.; Kawata, K.; Fukuyama, Y.; Takayama, S.; Nakanishi, Y. A particle swarm optimization for reactive power and voltage control considering voltage security assessment. IEEE Trans. Power Syst. 2000, 15, 1232–1239. [Google Scholar] [CrossRef]
- Podlubny, I. Fractional Differential Equations: An Introduction to Fractional Derivatives, Fractional Differential Equations, to Methods of Their Solution and Some of Their Applications; Elsevier: Amsterdam, The Netherlands, 1998. [Google Scholar]
- Chen, Y.; Petras, I.; Xue, D. Fractional order control—A tutorial. In Proceedings of the 2009 American Control Conference, St. Louis, MO, USA, 10–12 June 2009; pp. 1397–1411. [Google Scholar] [CrossRef]
- Loverro, A. Fractional Calculus: History, Definitions and Applications for the Engineer. Rapport Technique, Univeristy of Notre Dame: Department of Aerospace and Mechanical Engineering. 2004, pp. 1–28. Available online: https://citeseerx.ist.psu.edu/document?repid=rep1&type=pdf&doi=6256fee0c10bdb7096df51ca8e64df58414ed026 (accessed on 5 January 2024).
- Monje, C.A.; Chen, Y.; Vinagre, B.M.; Xue, D.; Feliu-Batlle, V. Fractional-Order Systems and Controls: Fundamentals and Applications; Springer Science & Business Media: Berlin/Heidelberg, Germany, 2010. [Google Scholar]
- Caputo, M. Linear models of dissipation whose Q is almost frequency independent—II. Geophys. J. Int. 1967, 13, 529–539. [Google Scholar] [CrossRef]
- Ortigueira, M.D. Principles of fractional signal processing. Digit. Signal Process. 2024, 149, 104490. [Google Scholar] [CrossRef]
- Sun, H.; Chang, A.; Zhang, Y.; Chen, W. A review on variable-order fractional differential equations: Mathematical foundations, physical models, numerical methods and applications. Fract. Calc. Appl. Anal. 2019, 22, 27–59. [Google Scholar] [CrossRef]
- Joseph, S.B.; Dada, E.G.; Abidemi, A.; Oyewola, D.O.; Khammas, B.M. Metaheuristic algorithms for PID controller parameters tuning: Review, approaches and open problems. Heliyon 2022, 8, E09399. [Google Scholar] [CrossRef]
- Ersali, C.; Hekimoğlu, B. A novel opposition-based hybrid cooperation search algorithm with Nelder–Mead for tuning of FOPID-controlled buck converter. Trans. Inst. Meas. Control 2024, 1–19. [Google Scholar] [CrossRef]
- Tejado, I.; Vinagre, B.M.; Traver, J.E.; Prieto-Arranz, J.; Nuevo-Gallardo, C. Back to basics: Meaning of the parameters of fractional order PID controllers. Mathematics 2019, 7, 530. [Google Scholar] [CrossRef]
- Can Kurucu, M.; Yumuk, E.; Güzelkaya, M.; Eksin, I. Online tuning of derivative order term of variable-order fractional proportional–integral–derivative controllers for the first-order time delay systems. Asian J. Control 2023, 25, 2628–2640. [Google Scholar] [CrossRef]
- Chen, X.; Wang, C.; Xu, J.; Long, S.; Chai, F.; Li, W.; Song, X.; Wang, X.; Wan, Z. Membrane humidity control of proton exchange membrane fuel cell system using fractional-order PID strategy. Appl. Energy 2023, 343, 8–13. [Google Scholar] [CrossRef]
- Hussain, K.; Salleh, M.N.M.; Cheng, S.; Shi, Y. Metaheuristic research: A comprehensive survey. Artif. Intell. Rev. 2019, 52, 2191–2233. [Google Scholar] [CrossRef]
- Abdel-Basset, M.; Abdel-Fatah, L.; Sangaiah, A.K. Chapter 10—Metaheuristic Algorithms: A Comprehensive Review. In Computational Intelligence for Multimedia Big Data on the Cloud with Engineering Applications; Intelligent Data-Centric Systems; Academic Press: Cambridge, MA, USA, 2018; pp. 185–231. [Google Scholar] [CrossRef]
- Sörensen, K. Metaheuristics—The metaphor exposed. Int. Trans. Oper. Res. 2015, 22, 3–18. [Google Scholar] [CrossRef]
- Cruz-Duarte, J.; Ortiz-Bayliss, J.; Amaya, I.; Shi, Y.; Terashima-Marín, H.; Pillay, N. Towards a Generalised Metaheuristic Model for Continuous Optimisation Problems. Mathematics 2020, 8, 2046. [Google Scholar] [CrossRef]
- Pillay, N.; Qu, R. Hyper-Heuristics: Theory and Applications; Springer: Berlin/Heidelberg, Germany, 2018. [Google Scholar]
- Kramer, O.; Kramer, O. Genetic Algorithms; Springer: Berlin/Heidelberg, Germany, 2017. [Google Scholar]
- Cruz-Duarte, J.M.; Amaya, I.; Ortiz-Bayliss, J.C.; Terashima-Marín, H.; Shi, Y. CUSTOMHyS: Customising Optimisation Metaheuristics via Hyper-heuristic Search. SoftwareX 2020, 12, 100628. [Google Scholar] [CrossRef]
- Alfaro-Fernández, P.; Ruiz, R.; Pagnozzi, F.; Stützle, T. Automatic algorithm design for hybrid flowshop scheduling problems. Eur. J. Oper. Res. 2020, 282, 835–845. [Google Scholar] [CrossRef]
- López-Ibáñez, M.; Dubois-Lacoste, J.; Cáceres, L.P.; Birattari, M.; Stützle, T. The irace package: Iterated racing for automatic algorithm configuration. Oper. Res. Perspect. 2016, 3, 43–58. [Google Scholar] [CrossRef]
- Zhao, Q.; Duan, Q.; Yan, B.; Cheng, S.; Shi, Y. Automated Design of Metaheuristic Algorithms: A Survey. arXiv 2023, arXiv:2303.06532. [Google Scholar]
- Drake, J.H.; Kheiri, A.; Özcan, E.; Burke, E.K. Recent advances in selection hyper-heuristics. Eur. J. Oper. Res. 2020, 285, 405–428. [Google Scholar] [CrossRef]
- Lahcene, R.; Abdeldjalil, S.; Aissa, K. Optimal tuning of fractional order PID controller for AVR system using simulated annealing optimization algorithm. In Proceedings of the 2017 5th International Conference on Electrical Engineering—Boumerdes (ICEE-B), Boumerdes, Algeria, 29–31 October 2017; pp. 1–6. [Google Scholar] [CrossRef]
- Tepljakov, A.; Tepljakov, A. FOMCON: Fractional-order modeling and control toolbox. In Fractional-Order Modeling and Control of Dynamic Systems; Springer: Cham, Switzerland, 2017; pp. 107–129. [Google Scholar]










| AVR Subsystem | Transfer Function | Gain Interval | Time Constant Interval [s] | Used Values |
|---|---|---|---|---|
| Amplifier | | |||
| Exciter | | |||
| Generator | | |||
| Sensor | |
| Perturbator () | Variation Parameters | Hyper-Parameters |
|---|---|---|
| Central Force Dynamic | - | Alpha, Beta, Gravity |
| Differential Mutation | Distribution a | Factor, Num. of Random Positions |
| Differential Crossover | Version b | Crossover Rate |
| Firefly Dynamic | Distribution a | Alpha, Beta, Gamma |
| Genetic Crossover | Pairing c, Crossover d | Mating Pool Factor |
| Genetic Mutation | Distribution a | Elite Rate, Mutation Rate, Scale |
| Gravitational Search | - | Alpha, Gravity |
| Local Random Walk | Distribution a | Probability, Scale |
| Random Flight | Distribution a | Beta, Scale |
| Random Search | Distribution a | Scale |
| Random Sample | - | - |
| Spiral Dynamic | - | Angle, Radius, Sigma |
| Swarm Dynamic | Distribution a, Approach e | Factor, Self Coeff., Swarm Coeff. |
| Selector () | ||
| Direct | - | - |
| Greedy | - | - |
| Probabilistic | - | Probability |
| Metropolis | - | Boltzmann Const., Cooling, Temp_max |
| Approach | Metaheuristic | Objective Function | |||||
|---|---|---|---|---|---|---|---|
| Max. Iter. | Sub. Iter. | Pop. Size | Num. HP | Num. Features | Num. Weights | Conv. [Iter] | |
| Tailored | 40 | NA | 20 | 4 | 4 | 1 | 8 |
| SA [58] | 100 | 20 | 10 | 4 | 6 | 5 | - |
| CS [17] | 150 | NA | - | 3 | 4 | 1 | - |
| PSO [18] | 100 | NA | 100 | 3 | 4 | 1 | 18 |
| MP-SEDA [19] | 100 | NA | 40 | 5 | 4 | 2 | 97 |
| SOs | Simple Heuristic | Variation Parameters | Hyper-Parameters |
|---|---|---|---|
| Swarm Dynamic | swarm_approach = Inertial | , | |
| pdf = Uniform | , | ||
| Metropolis selection | - | , | |
| , | |||
| . | |||
| Genetic Crossover | crossover_mechanism = Two-points | ||
| pairing_scheme = Rank weighting | |||
| Metropolis selection | - | , | |
| , | |||
| . |
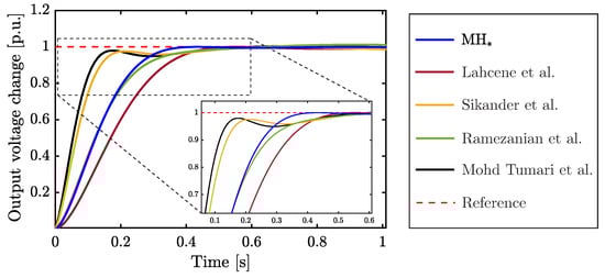
| Features | Controller Gains and Orders | ||||||||
|---|---|---|---|---|---|---|---|---|---|
| Approach | [%] | [s] | [s] | [s] | |||||
| 0 | 0.3315 | 0.2156 | 0.1159 | 1.24987 | 0.5280 | 0.2656 | 1.0820 | 1.2014 | |
| Lahcene et al. [58] | 0.0271 | 0.4351 | 0.2825 | 0.1526 | 0.7837 | 0.5027 | 0.2307 | 1.0103 | 1.0727 |
| Sikander et al. [17] | 2.4926 | 0.8780 | 0.1133 | 0.7646 | 2.5150 | 0.1629 | 0.3888 | 0.9700 | 1.3800 |
| Ramezanian et al. [18] | 0.5129 | 0.5027 | 0.2438 | 0.2588 | 1.2623 | 0.5531 | 0.2382 | 1.1827 | 1.2555 |
| Mohd Tumari et al. [19] | 0.5866 | 0.4323 | 0.1010 | 0.3312 | 2.9487 | 0.4533 | 0.4391 | 1.4016 | 1.4154 |
| Transient Response | Transfer Function Parameters | |||
|---|---|---|---|---|
| Features | ||||
| [%] | 0 | 0 | 3.212 | 6.219 |
| [s] | 0.635 | 0.573 | 0.558 | 0.701 |
| [s] | 0.261 | 0.218 | 0.221 | 0.228 |
| [%] | 0 | 0 | 2.623 | 5.325 |
| [s] | 1.138 | 0.774 | 0.871 | 1.176 |
| [s] | 0.138 | 0.178 | 0.249 | 0.280 |
| [%] | 3.776 | 0.798 | 1.751 | 3.516 |
| [s] | 1.915 | 0.746 | 0.415 | 1.331 |
| [s] | 0.119 | 0.166 | 0.265 | 0.313 |
| [%] | 0 | 0 | 0.286 | 0.753 |
| [s] | 0.364 | 0.348 | 0.319 | 0.308 |
| [s] | 0.226 | 0.220 | 0.210 | 0.206 |
Disclaimer/Publisher’s Note: The statements, opinions and data contained in all publications are solely those of the individual author(s) and contributor(s) and not of MDPI and/or the editor(s). MDPI and/or the editor(s) disclaim responsibility for any injury to people or property resulting from any ideas, methods, instructions or products referred to in the content. |
© 2024 by the authors. Licensee MDPI, Basel, Switzerland. This article is an open access article distributed under the terms and conditions of the Creative Commons Attribution (CC BY) license (https://creativecommons.org/licenses/by/4.0/).
Share and Cite
Zambrano-Gutierrez, D.F.; Valencia-Rivera, G.H.; Avina-Cervantes, J.G.; Amaya, I.; Cruz-Duarte, J.M. Designing Heuristic-Based Tuners for Fractional-Order PID Controllers in Automatic Voltage Regulator Systems Using a Hyper-Heuristic Approach. Fractal Fract. 2024, 8, 223. https://doi.org/10.3390/fractalfract8040223
Zambrano-Gutierrez DF, Valencia-Rivera GH, Avina-Cervantes JG, Amaya I, Cruz-Duarte JM. Designing Heuristic-Based Tuners for Fractional-Order PID Controllers in Automatic Voltage Regulator Systems Using a Hyper-Heuristic Approach. Fractal and Fractional. 2024; 8(4):223. https://doi.org/10.3390/fractalfract8040223
Chicago/Turabian StyleZambrano-Gutierrez, Daniel Fernando, Gerardo Humberto Valencia-Rivera, Juan Gabriel Avina-Cervantes, Ivan Amaya, and Jorge Mario Cruz-Duarte. 2024. "Designing Heuristic-Based Tuners for Fractional-Order PID Controllers in Automatic Voltage Regulator Systems Using a Hyper-Heuristic Approach" Fractal and Fractional 8, no. 4: 223. https://doi.org/10.3390/fractalfract8040223
APA StyleZambrano-Gutierrez, D. F., Valencia-Rivera, G. H., Avina-Cervantes, J. G., Amaya, I., & Cruz-Duarte, J. M. (2024). Designing Heuristic-Based Tuners for Fractional-Order PID Controllers in Automatic Voltage Regulator Systems Using a Hyper-Heuristic Approach. Fractal and Fractional, 8(4), 223. https://doi.org/10.3390/fractalfract8040223

