Fractional-Order Load Frequency Control of an Interconnected Power System with a Hydrogen Energy-Storage Unit
Abstract
1. Introduction
2. LFC Model of a Two-Area IPS
2.1. Mathematical Model of Thermal Power Plant
2.2. Mathematical Model of Hydro Power Generator
2.3. Mathematical Model of Solar Photovoltaic Cell
2.4. Mathematical Model of Wind Power Generator
2.5. Mathematical Model of Gas Power Generator
2.6. Mathematical Model of Hydrogen Storage Unit
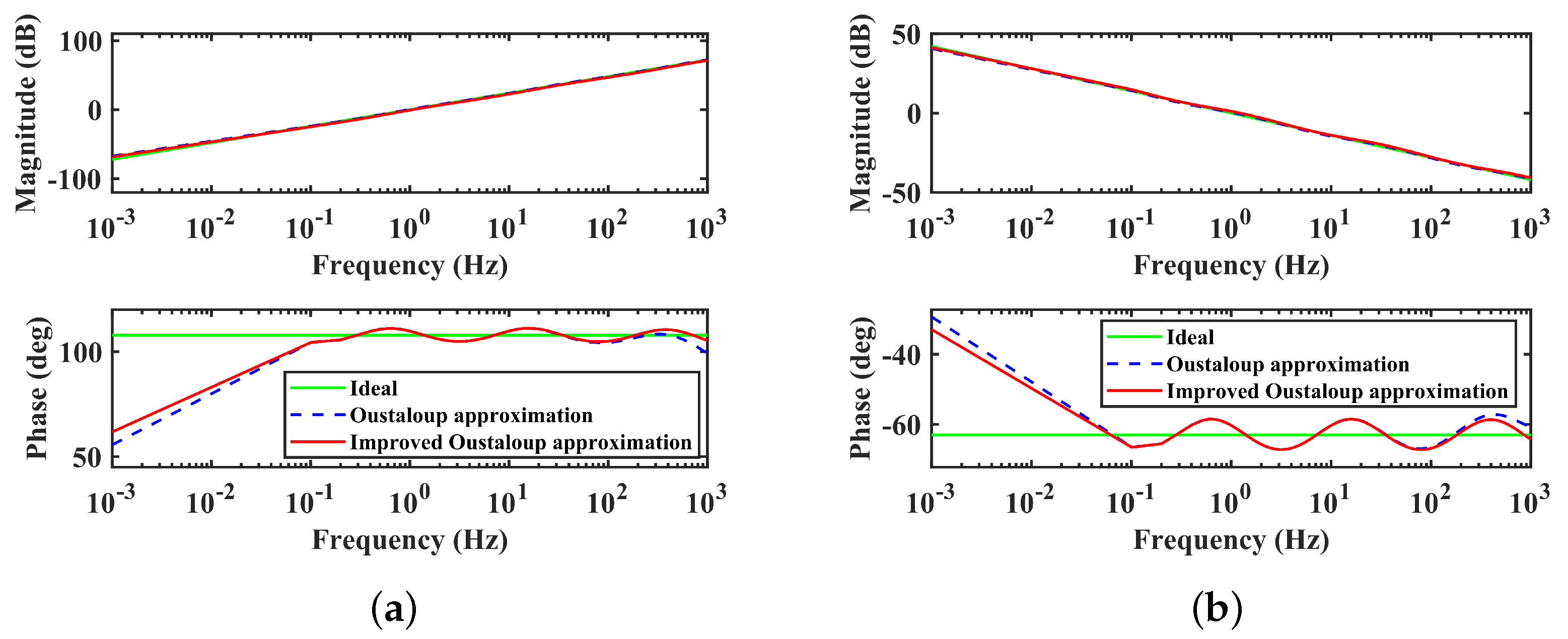
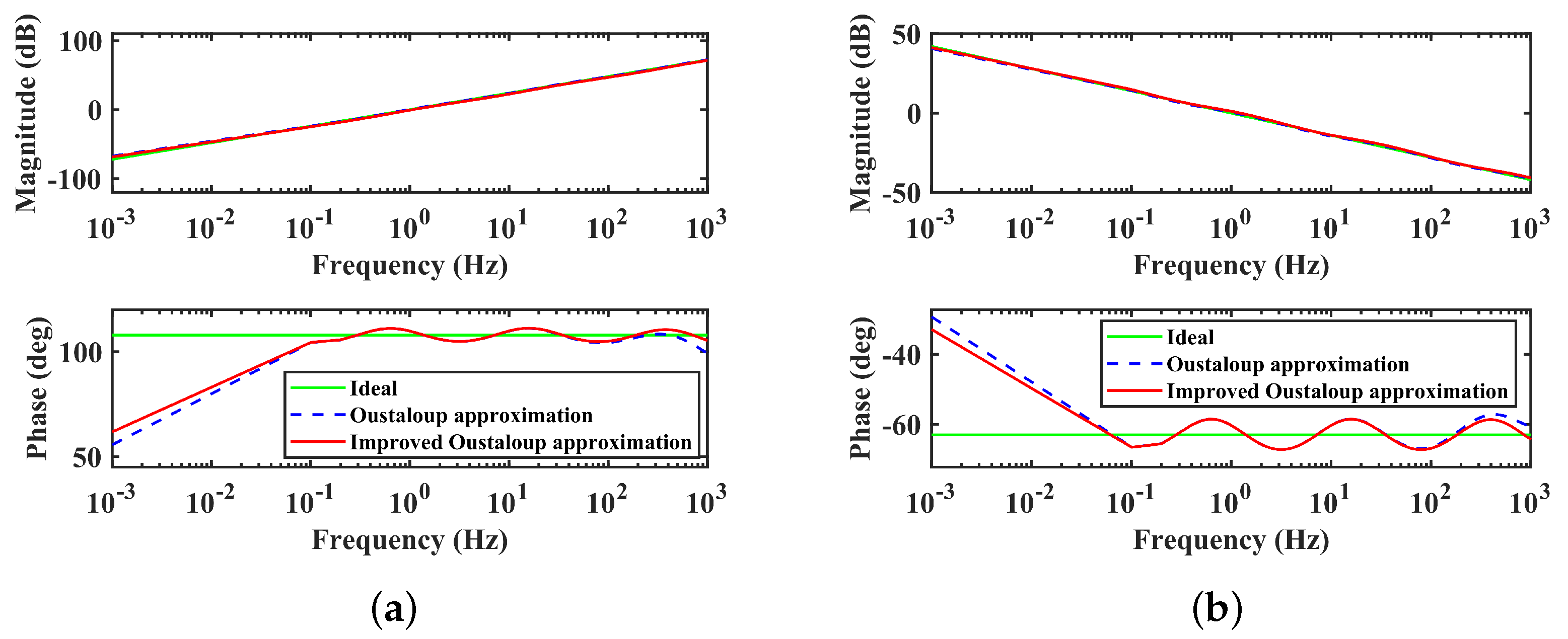
3. Design of FOPID Controller-Based LFC
4. Parameter Tuning Process Based on IGBO
4.1. Initialization
4.2. Parameter Update Method Based on GSM
4.3. ILEO
5. Validation and Comparison
5.1. Performance Testing of IGBO
5.2. Step Load-Disturbance Test Scenarios
5.3. Photovoltaic and Wind Power Random Fluctuation Test Scenarios
5.4. Robustness Analysis
6. Conclusions
Author Contributions
Funding
Data Availability Statement
Conflicts of Interest
Appendix A. Data of the Two-Area IPS
Appendix B. Data of the Two-Area IPS when the Inertia Changes
References
- Dar, A.A.; Hameed, J.; Huo, C.; Sarfraz, M.; Albasher, G.; Wang, C.Y.; Nawaz, A. Recent optimization and panelizing measures for green energy projects; insights into CO2 emission influencing to circular economy. Fuel J. Fuel Sci. 2022, 314, 123094. [Google Scholar] [CrossRef]
- Kim, Y.S.; Kim, E.S.; Moon, S.I. Frequency and Voltage Control Strategy of Standalone Microgrids With High Penetration of Intermittent Renewable Generation Systems. IEEE Trans. Power Syst. 2015, 31, 718–728. [Google Scholar] [CrossRef]
- Ye, Y.D.; Qiao, Y.; Lu, Z.X. Revolution of frequency regulation in the converter-dominated power system. Renew. Sustain. Energy Rev. 2019, 111, 145–156. [Google Scholar] [CrossRef]
- Ersdal, A.M.; Imsland, L.; Uhlen, K. Model Predictive Load-Frequency Control. IEEE Trans. Power Syst. 2016, 31, 777–785. [Google Scholar] [CrossRef]
- Yang, F.; Shao, X.; Muyeen, S.M.; Li, D.D.; Lin, S.F.; Fang, C. Disturbance Observer Based Fractional-Order Integral Sliding Mode Frequency Control Strategy for Interconnected Power System. Trans. Power Syst. 2021, 36, 5922–5932. [Google Scholar] [CrossRef]
- Xi, L.; Yu, L.; Xu, Y.C.; Wang, S.X.; Chen, X. A Novel Multi-Agent DDQN-AD Method-Based Distributed Strategy for Automatic Generation Control of Integrated Energy Systems. IEEE Trans. Sustain. Energy 2020, 11, 2417–2426. [Google Scholar] [CrossRef]
- Liu, F.; Li, Y.; Cao, Y.J.; She, J.H.; Wu, M. A Two-Layer Active Disturbance Rejection Controller Design for Load Frequency Control of Interconnected Power System. IEEE Trans. Power Syst. 2016, 31, 3320–3321. [Google Scholar] [CrossRef]
- Shangguan, X.C.; He, Y.; Zhang, C.K.; Jiang, L.; Wu, M. Adjustable Event-Triggered Load Frequency Control of Power Systems Using Control-Performance-Standard-Based Fuzzy Logic. IEEE Trans. Fuzzy Syst. 2022, 30, 3297–3311. [Google Scholar] [CrossRef]
- Zuo, J.; Xie, P.P.; Li, Y.H.; Duan, X.Z. Intelligent Optimization Algorithm Based Load Frequency Controller Design and Its Control Performance Assessment in Interconnected Power Grids. Trans. China Electrotech. Soc. 2018, 33, 478–489. [Google Scholar] [CrossRef]
- Chen, Z.H.; Yuan, Y.B.; Yuan, X.H.; Huang, Y.H.; Li, X.S.; Li, W.W. Application of multi-objective controller to optimal tuning of PID gains for a hydraulic turbine regulating system using adaptive grid particle swam optimization. ISA Trans. 2015, 56, 173–187. [Google Scholar] [CrossRef]
- Kumar, R.; Sharma, V.K. Whale Optimization Controller for Load Frequency Control of a Two-Area Multi-source Deregulated Power System. Int. J. Fuzzy Syst. 2019, 22, 122–137. [Google Scholar] [CrossRef]
- Fathy, A.; Kassem, A.M.; Abdelaziz, A.Y. Optimal design of fuzzy PID controller for deregulated LFC of multi-area power system via mine blast algorithm. Neural Comput. Appl. 2020, 32, 4531–4551. [Google Scholar] [CrossRef]
- Debnath, M.K.; Agrawal, R.; Tripathy, S.R.; Choudhury, S. Artificial neural network tuned PID controller for LFC investigation including distributed generation. Int. J. Numer. -Model. -Electron. Netw. Devices Fields 2020, 33, e2740. [Google Scholar] [CrossRef]
- Guha, D.; Roy, P.K.; Banerjee, S. Load frequency control of interconnected power system using grey wolf optimization. Swarm Evol. Comput. 2016, 27, 97–115. [Google Scholar] [CrossRef]
- Shah, P.; Agashe, S. Review of fractional PID controller. Mechatronics 2016, 38, 29–41. [Google Scholar] [CrossRef]
- Monje, C.A.; Vinagre, B.M.; Feliu, V.; Chen, Y.Q. Tuning and auto-tuning of fractional order controllers for industry applications. Control. Eng. Pract. 2008, 16, 798–812. [Google Scholar] [CrossRef]
- Sondhi, S.; Hote, Y.V. Fractional order PID controller for load frequency control. Energy Convers. Manag. 2014, 85, 343–353. [Google Scholar] [CrossRef]
- Zamani, A.; Barakati, S.M.; Yousofi-Darmian, S. Design of a fractional order PID controller using GBMO algorithm for load-frequency control with governor saturation consideration. ISA Trans. 2016, 64, 56–66. [Google Scholar] [CrossRef]
- Barakat, M. Novel chaos game optimization tuned-fractional-order PID fractional-order PI controller for load-frequency control of interconnected power systems. Prot. Control. Mod. Power Syst. 2022, 7, 16. [Google Scholar] [CrossRef]
- Daraz, A.; Malik, S.A.; Basit, A.; Aslam, S.; Zhang, G.Q. Modified FOPID Controller for Frequency Regulation of a Hybrid Interconnected System of Conventional and Renewable Energy Sources. Fractal. Fract. 2023, 7, 89. [Google Scholar] [CrossRef]
- Fathy, A.; Alharbi, A.G. Recent Approach Based Movable Damped Wave Algorithm for Designing Fractional-Order PID Load Frequency Control Installed in Multi-Interconnected Plants With Renewable Energy. IEEE Access 2021, 9, 71072–71089. [Google Scholar] [CrossRef]
- Pan, I.; Das, S. Fractional Order AGC for Distributed Energy Resources Using Robust Optimization. IEEE Trans. Smart Grid 2016, 7, 2175–2186. [Google Scholar] [CrossRef]
- Joshi, A.; Suresh, A.; Kamalasadan, S. Grid Frequency Regulation Based on Point of Common Coupling Angle Deviation Control of Distributed Energy Resources With Fully Active Hybrid Energy Storage System. IEEE Trans. Ind. Appl. 2021, 57, 4473–4485. [Google Scholar] [CrossRef]
- Fang, J.C.; Wang, Y.F.; Lei, Z.; Xu, Q.S. Control Strategy and Performance Analysis of Electrochemical Energy Storage Station Participating in Power System Frequency Regulation: A Case Study of the Jiangsu Power Grid. Sustainability 2022, 14, 9189. [Google Scholar] [CrossRef]
- Calero, F.; Cañizares, C.A.; Bhattacharya, K. A Review of Modeling and Applications of Energy Storage Systems in Power Grids. Proc. IEEE 2023, 111, 806–831. [Google Scholar] [CrossRef]
- Dong, W.J.; Shao, C.C.; Feng, C.J.; Zhou, Q.; Bie, Z.H.; Wang, X.F. Cooperative Operation of Power and Hydrogen Energy Systems With HFCV Demand Response. IEEE Trans. Ind. Appl. 2022, 58, 2630–2639. [Google Scholar] [CrossRef]
- Tan, K.M.; Babu, T.S.; Ramachandaramurthy, V.K.; Kasinathan, P.; Solanki, S.G.; Raveendran, S.K. Empowering Smart Grid: A Comprehensive Review of Energy Storage Technology and Application With Renewable Energy Integration. J. Energy Storage 2021, 39, 102591. [Google Scholar] [CrossRef]
- Arya, Y. Impact of Hydrogen Aqua Electrolyzer-Fuel Cell Units on Automatic Generation Control of Power Systems With a New Optimal Fuzzy TIDF-II Controller. Renew. Energy 2019, 139, 468–482. [Google Scholar] [CrossRef]
- Yildiz, S.; Gunduz, H.; Yildirim, B.; Özdemir, M.T. An Islanded Microgrid Energy System With an Innovative Frequency Controller Integrating Hydrogen-Fuel Cell. Fuel 2022, 326, 125005. [Google Scholar] [CrossRef]
- Ahmadianfar, I.; Bozorg-Haddad, O.; Chu, X. Gradient-Based Optimizer: A New Metaheuristic Optimization Algorithm. Inf. Sci. 2020, 540, 131–159. [Google Scholar] [CrossRef]
- Daoud, M.S.; Shehab, M.; Al-Mimi, H.M.; Abualigah, L.; Zitar, R.A.; Shambour, M.K.Y. Gradient-Based Optimizer (GBO): A Review, Theory, Variants, and Applications. Arch. Comput. Methods Eng. 2023, 30, 2431–2449. [Google Scholar] [CrossRef] [PubMed]
- Arya, Y.; Dahiya, P.; Çelik, E.; Sharma, G.; Gözde, H.; Nasiruddin, I. AGC performance amelioration in multi-area interconnected thermal and thermal-hydro-gas power systems using a novel controller. Eng. Sci. Technol. Int. J. 2021, 24, 384–396. [Google Scholar] [CrossRef]
- Xiang, L.J.; Chen, H.; Guo, X.H.; Yang, Y.F. Secondary Frequency Control of Multi-Energy Microgrid With Electric Vehicles Based on Fuzzy Fractional-Order PID. Electr. Power Autom. Equip. 2021, 41, 74–80. [Google Scholar] [CrossRef]
- Ahmadianfar, I.; Gong, W.Y.; Heidari, A.A.; Golilarz, N.A.; Samadi-Koucheksaraee, A.; Chen, H.L. Gradient-based optimization with ranking mechanisms for parameter identification of photovoltaic systems. Energy Rep. 2021, 7, 3979–3997. [Google Scholar] [CrossRef]












| Algorithm | |||
|---|---|---|---|
| PSO | 1.52 | 4.44 | −10.5364 |
| WOA | 0.05 | 4.44 | −10.87 |
| MDWA | 5.33 | 4.44 | −3.84 |
| CGO | 8.54 | 7.99 | −10.5359 |
| JSO | 1.71 | 7.99 | −10.5364 |
| GBO | 4.37 | 8.44 | −10.5364 |
| IGBO | 8.99 | 8.44 | −10.5364 |
| LFC Scheme | Execution Time (s) | ||||||||||
|---|---|---|---|---|---|---|---|---|---|---|---|
| GBO-PID | 68.22 | 385.33 | 25.42 | - | - | 61.77 | 430.56 | 16.58 | - | - | 3327.58 |
| PSO-FOPID | 583.84 | 513.51 | 31.38 | 0.97 | 1.19 | 461.51 | 512.46 | 22.13 | 1.15 | 1.21 | 3425.62 |
| MDWA-FOPID | 516.76 | 327.85 | 4.89 | 2 | 1.81 | 622.30 | 25.11 | 3.43 | 2 | 1.89 | 3404.82 |
| WOA-FOPID | 54.38 | 308.42 | 10.66 | 0.41 | 1.19 | 305.22 | 525.31 | 12.62 | 1.17 | 1.32 | 3583.06 |
| CGO-FOPID | 589.18 | 507.01 | 28.50 | 0.99 | 1.22 | 477.50 | 504.34 | 24.60 | 1.14 | 1.19 | 5496.67 |
| JSO-FOPID | 404.94 | 609.39 | 23.76 | 1.06 | 1.31 | 400.06 | 672.12 | 21.70 | 1.13 | 1.45 | 3037.6 |
| GBO-FOPID | 385.42 | 519.77 | 15.98 | 1.09 | 1.23 | 695.18 | 683.66 | 16.16 | 1.12 | 1.24 | 3673.43 |
| IGBO-FOPID | 545.39 | 642.31 | 11.48 | 1.02 | 1.62 | 697.38 | 698.66 | 22.18 | 1.04 | 1.47 | 3176.52 |
| LFC Scheme | Maximum US | Maximum OS | ISE | ITSE | IAE | ITAE | ||||
|---|---|---|---|---|---|---|---|---|---|---|
| GBO-PID | −1.10 | −1.70 | −5.15 | 4.97 | 9.94 | 1.42 | 4.86 | 1.10 | 8.54 | 4.27 |
| PSO-FOPID | −5.62 | −9.19 | −1.89 | 2.95 | 5.23 | 4.74 | 6.86 | 7.33 | 2.31 | 8.28 |
| MDWA-FOPID | −3.71 | −4.86 | −2.22 | 1.34 | 2.64 | 3.07 | 4.80 | 2.08 | 4.02 | 4.47 |
| WOA-FOPID | −1 | −9.55 | −8.37 | 9.34 | 3.45 | 5.91 | 7.79 | 7.75 | 2.82 | 4.12 |
| CGO-FOPID | −6.02 | −8.54 | −2.44 | 2.87 | 4.29 | 3.72 | 4.75 | 3.87 | 1.83 | 9.24 |
| JSO-FOPID | −5.27 | −7.35 | −9.39 | 8.76 | 1.10 | 2.56 | 2.45 | 1.01 | 9.41 | 5.93 |
| GBO-FOPID | −7.24 | −9.76 | −3.85 | 2.98 | 8.64 | 3.60 | 1.20 | 1.66 | 3.05 | 9.93 |
| IGBO-FOPID | −3.09 | −4.72 | −6.21 | 3.21 | 2.06 | 9.51 | 9.79 | 6.87 | 8.76 | 4.89 |
| LFC Scheme | Maximum US | Maximum OS | ISE | ITSE | IAE | ITAE | ||||
|---|---|---|---|---|---|---|---|---|---|---|
| GBO-PID | −4.45 | −2.67 | −8.04 | 4.49 | 5.36 | 5.84 | 2.14 | 9.95 | 1.58 | 0.77 |
| PSO-FOPID | −1.83 | −7.30 | −2.45 | 1.96 | 1.68 | 1.63 | 3.90 | 1.88 | 6.58 | 0.32 |
| MDWA-FOPID | −2.61 | −2.59 | −9.84 | 2.67 | 2.49 | 9.43 | 3.35 | 1.68 | 2.62 | 1.31 |
| WOA-FOPID | −2.81 | −1.12 | −3.91 | 3.11 | 2.17 | 4.82 | 1.45 | 5.87 | 1.51 | 0.69 |
| CGO-FOPID | −1.74 | −7.02 | −2.25 | 2.03 | 1.48 | 1.60 | 2.56 | 1.18 | 5.37 | 0.26 |
| JSO-FOPID | −1.08 | −5.72 | −2.33 | 1.54 | 1.20 | 1.50 | 1.15 | 4.80 | 3.71 | 0.17 |
| GBO-FOPID | −2.13 | −8.77 | −1.94 | 1.81 | 1.87 | 1.39 | 4.99 | 2.36 | 8.12 | 0.39 |
| IGBO-FOPID | −5.27 | −4.07 | −1.55 | 8.96 | 8.25 | 1.25 | 5.25 | 1.91 | 2.55 | 0.11 |
Disclaimer/Publisher’s Note: The statements, opinions and data contained in all publications are solely those of the individual author(s) and contributor(s) and not of MDPI and/or the editor(s). MDPI and/or the editor(s) disclaim responsibility for any injury to people or property resulting from any ideas, methods, instructions or products referred to in the content. |
© 2024 by the authors. Licensee MDPI, Basel, Switzerland. This article is an open access article distributed under the terms and conditions of the Creative Commons Attribution (CC BY) license (https://creativecommons.org/licenses/by/4.0/).
Share and Cite
Wang, P.; Chen, X.; Zhang, Y.; Zhang, L.; Huang, Y. Fractional-Order Load Frequency Control of an Interconnected Power System with a Hydrogen Energy-Storage Unit. Fractal Fract. 2024, 8, 126. https://doi.org/10.3390/fractalfract8030126
Wang P, Chen X, Zhang Y, Zhang L, Huang Y. Fractional-Order Load Frequency Control of an Interconnected Power System with a Hydrogen Energy-Storage Unit. Fractal and Fractional. 2024; 8(3):126. https://doi.org/10.3390/fractalfract8030126
Chicago/Turabian StyleWang, Ping, Xi Chen, Yunning Zhang, Lei Zhang, and Yuehua Huang. 2024. "Fractional-Order Load Frequency Control of an Interconnected Power System with a Hydrogen Energy-Storage Unit" Fractal and Fractional 8, no. 3: 126. https://doi.org/10.3390/fractalfract8030126
APA StyleWang, P., Chen, X., Zhang, Y., Zhang, L., & Huang, Y. (2024). Fractional-Order Load Frequency Control of an Interconnected Power System with a Hydrogen Energy-Storage Unit. Fractal and Fractional, 8(3), 126. https://doi.org/10.3390/fractalfract8030126

