Abstract
Due to the widespread application of neural networks (NNs), and considering the respective advantages of fractional calculus (FC), inertial neural networks (INNs), cellular neural networks (CNNs), and fuzzy neural networks (FNNs), this paper investigates the fixed-time synchronization (FDTS) issues for a particular category of fractional-order cellular-inertial fuzzy neural networks (FCIFNNs) that involve mixed time-varying delays (MTDs), including both discrete and distributed delays. Firstly, we establish an appropriate transformation variable to reformulate FCIFNNs with MTD into a differential first-order system. Then, utilizing the finite-time stability (FETS) theory and Lyapunov functionals (LFs), we establish some new effective criteria for achieving FDTS of the response system (RS) and drive system (DS). Eventually, we offer two numerical examples to display the effectiveness of our proposed synchronization strategies. Moreover, we also demonstrate the benefits of our approach through an application in image encryption.
1. Introduction
In recent years, the CNNs conceptualized by Chua and Yang [1] have been widely used in many scientific and technological frontier fields, for example, associative memory, machine learning, pattern recognition, image processing, and combination optimization (see [2,3,4,5]). On the other hand, uncertainty or fuzziness cannot be ignored in the implementation of neural networks. Considering the existence of uncertainty or fuzziness, Yang and Yang [6] introduced a novel cellular neural network model known as the CFNN, which builds upon the foundation of traditional CNN models. The CFNN model differs from the conventional cellular neural network in that it incorporates both the product sum operation and the fuzzy logic operation between inputs and/or outputs. It was found that the fuzzy cellular neural network provides an effective example for pattern recognition and image processing. To date, the CFNN is still a hot research topic (see [7,8,9,10]).
In 1986, Babcock and Westervelt incorporated inductance into the Hopfield NNs to create INNs [11]. This modification was made to simulate the inertial characteristics of practical problems and phenomena. As we know, adding inertial terms may cause instability, bifurcation, chaos, and other complex dynamic behaviors. The introduction of inertial terms into the standard neural system has an obvious biological background. For example, the semicircular canal of mammals, the surface layer of hair cells, and the axons of squid can be simulated by equivalent circuits with inductance (see [12,13,14]). Therefore, the study of the dynamic behavior and synchronization control of INNs has an extensive practical background and significant application value.
As an extension and promotion of integral calculus (IC), FC can be traced back hundreds of years. Recently, FC has been widely used in mathematical modeling of economics, biology, physics, and other disciplines. Resulting from the infinite memory characteristics and genetic characteristics of fractional-order systems, an increasing number of scholars have introduced fractional-order differential operators into neural network models; these models are commonly known as fractional-order neural network models (see [15,16,17,18,19,20]).
Because it takes time for neurons to process signals and transmit signals between them, time delay is inevitable, and time delay may directly lead to the oscillation or even instability of the NN system. On the other hand, because the mixed delay (MD) is more effective than single delay (SD) in complex network modeling, we usually consider the mixed delay in neural network system modeling [21].
Synchronization is a kind of dynamic behavior involving coupling neural network systems in order for them to reach the same state. Because of the wide application of synchronization in information science, security communication, and image processing, it has attracted the attention of many scholars [22,23,24]. At present, the synchronization of neural network systems can be primarily categorized into two types: infinite-time synchronization (IETS) and finite-time synchronization (FETS). IFES mainly includes exponential synchronization, quasi-synchronization, and asymptotic synchronization. FETS exhibits superior performance to IETS, thus enabling the system to achieve synchronization in a limited time. In practical applications, finite time synchronization is always desired, so it is imperative to investigate the FETS of NNs. Currently, research on delayed inertial neural networks primarily encompasses the following areas. Li et al. [25] focused on the asymptotic synchronization of INNs with a constant delay. Gu et al. [26] conducted a study on the asymptotic synchronization of Riemann–Liouville-type delayed IFNNs. Based on the pinning control method, Feng et al. [27] studied the exponential synchronization of hybrid delay INNs. Based on the intermittent control method, Tang et al. [28] studied the exponential synchronization of time-varying discrete and finite distribution delay inertial neural networks. Liang et al. [29] conducted an investigation into the exponential synchronization of Cohen–Grossberg NNs, taking into account inertial delays. Shi et al. [30] investigated the lag synchronization control and global exponential stability of inertial delay neural networks, employing the adaptive control theory as a foundational framework. Cui et al. [31] studied the FETS of INNs. Guo et al. [32] studied the FETS of delayed inertial memristor neural networks. Wei et al. [33] studied the finite time synchronization and fixed-time synchronization of time-varying delay inertial memristor neural networks. Chen et al. [34] discussed the FDTS control of discrete delay memristor NNs. Alimi et al. [35] studied the FETS and FDTS of INNs with multiple proportional delays. However, research on the FDTS control of delayed FCIFNNs is still rare, and it is important and meaningful to fill this gap.
To the best of our current knowledge, there is insufficient research on the FDTS control of FCIFNNs with MTD. This gap necessitates further investigation into this area. We primarily focus on the FDTS control issue for a class of FCIFNNs with MTD. The main innovation of this paper is shown in the following aspects.
- The FDTS problem of FCIFNNs with MTD is investigated for the first time. In practical applications, the performance of FDTS is better than asymptotic synchronization and FETS.
- By designing appropriate nonlinear controllers and selecting appropriate LF, some sufficient conditions are obtained to ensure that the RS and DS achieve FDTS.
- The cellular-inertial NN model proposed in this paper is more practical and general than the traditional neural network model because it contains four obvious characteristics, namely discontinuous activation function, mixed time-varying delay, fractional order, and fuzzy logic.
- New sufficient conditions are given by means of algebraic inequalities. Compared with matrix inequalities, algebraic inequalities are easy to realize and can avoid some complex calculations. The estimation of settlement time is straightforward. In addition, the estimated range of settlement time presented in this paper is more accurate and effective when compared to classical results.
- The efficacy of the proposed methods is demonstrated through numerical simulations. In addition, the developed fixed-time synchronization results are applied to the image encryption issue.
The remainder of this article is structured as follows. In Section 2, we present a network system model for FCIFNNs with mixed time-varying delays, establish relevant assumptions, provide lemmas, and define FDTS. The FDTS of the FCIFNNs is analyzed in Section 3. Section 4 presents two numerical examples that illustrate the effectiveness of the proposed control strategies. An application to image encryption is proposed to demonstrate the advantage of the obtained synchronization results in Section 5. In Section 6, the conclusion is revealed.
Notations: The symbols employed in this paper are as follows: R and are used to denote the set of real numbers and positive real numbers, respectively. is employed to denote an n-dimensional vector space. is employed to represent the set of continuous functions with m derivatives on the closed interval . is used to denote the continuous functions mapping from to . is used to denote the convex closure of the set.
2. Problem Formulation and Preliminaries
Some related mathematical concepts are covered in this section, including the definition of fractional calculus, the solution of the fractional differential equation in Filippov’s sense [36,37], and the theory of fractional differential equations.
Definition 1
([38]). The fractional integral of order α is defined as follows
where , , and is the Gamma function.
Definition 2
([38]). The Caputo fractional derivative of order α is defined as follows
where and .
Remark 1.
Several definitions of fractional order , for example, Caputo fractional derivatives, Riemann–Liouville fractional derivatives, Caputo–Febrizio fractional derivative are given. The Caputo definition is widely employed in engineering applications. This is because the Caputo definition takes into account the initial conditions for and its integer order derivatives, which are physically meaningful in a conventional sense [39,40].
In the paper, we investigate FCIFNNs with mixed delays as follows.
where , ; represents the state of the ith unit; represent the passive decay rate of ith unit; represent elements of feedback template, denotes the feedforward template; are the elements of the fuzzy feedback MIN and MAX template, respectively; denote the element of the fuzzy feedforward MIN and MAX template, respectively; ⋀ and ⋁ are the fuzzy AND and OR operations, respectively; and are input and bias of the ith neuron, respectively; denotes discontinuous activation functions; and and represent the transmission delay.
- The initial conditions of system (1) are given by
Remark 2.
If , system (1) degenerates into a general fractional system described as
In this paper, we will be utilizing the following lemma and assumptions.
Assumption 1.
There exist non-negative constants and of the following.
where and .
Assumption 2.
The activation function is continuous except on a countable set . Moreover, and exist. In addition, exhibits at most a finite number of jump discontinuities.
To obtain the main results, we utilize the concept of Filippov solution, which originates from Filippov’s work on discontinuous systems (1).
Definition 3.
The function is said to be a solution of mathematical model
- (1)
- on if
- (i)
- is continuous in and absolutely continuous in and
- (ii)
- there is a measurable function such thatwhere for .
Next, we perform the variable transformation as follows.
Then, system (4) is re-described as follows.
where , and the initial values are re-expressed as follows.
Now, we focus on system (5) as DS, and the corresponding RS is described below.
where represent the state variable, and are control input. The synchronization error is defined as follows
The following error system is obtained.
Definition 4.
Next, let us introduce some lemmas, which will be utilized in the following proof.
Lemma 1
([41]). Let be a continuous function for . Then, we have
Lemma 2
([41]). If , then
Lemma 3
([42]). Suppose that there exist constants and a positive unbounded function such that
Then, we have with the settling time bounded by
Lemma 4
([43]). Suppose that . Then,
where and ; T is a positive constant.
3. FDTS of the Drive FCIFNNs and Response FCIFNNs
In this section, we propose novel criteria for achieving FDTS between DS and RS. According to Definition 4, the fixed time synchronization problem between the driving system (5) and the response system (7) can be equivalent to the fixed time stability problem of the error system (8). To achieve this goal, the designed controller is as follows.
where are the control parameters.
Theorem 1.
Proof.
The LF is selected as follows:
Based on Lemma 4, we derive the following results.
which yields that
Substituting (9) into above formula, we obtain
which yields that
Based on Assumption 1, we have
Using Assumption 1 and Lemma 1, we can easily obtain the desired result.
Similarly,
Utilizing the aforementioned inequality, we can derive
From (10) and Lemma 2, we obtain
where and . Therefore, the FDTS between the DS (5) and RS (7) can be achieved by Lemma 3. In addition, the settling time can be calculated by (11). □
Remark 3.
In Theorem 1, the FDTS of FCIFNNs with MTD is achieved by designing an appropriate controller. However, and are difficult to adapt. The two distributed time-delay terms in satisfy some special conditions. In order to enhance the feasibility of our results, we will refine the applicable laws .
The state feedback controller is designed as follows.
where . The control parameters are denoted by . Consequently, we establish the following theorem.
Theorem 2.
Proof.
The proof follows a similar process as Theorem 1, so we will not provide a detailed proof here. □
4. Numerical Simulations
In this section, two numerical examples are presented to validate the effectiveness of Theorems 1 and 2.
Example 1.
Considering the following FCIFNNs with the drive system
The following is a description of the response system.
where
It is not difficult to verify that the activation functions meet Assumptions 1 and 2 with . The system parameters are given as follows.
The following controller is suggested
The controller parameter values chosen are as follows.
The initial values are chosen as
It is straightforward to confirm that all the conditions of Theorem 1 are met. Thus, RS (17) can synchronize with the DS (16) in a fixed time. In addition, according to Theorem 1, can be computed using the following formula.
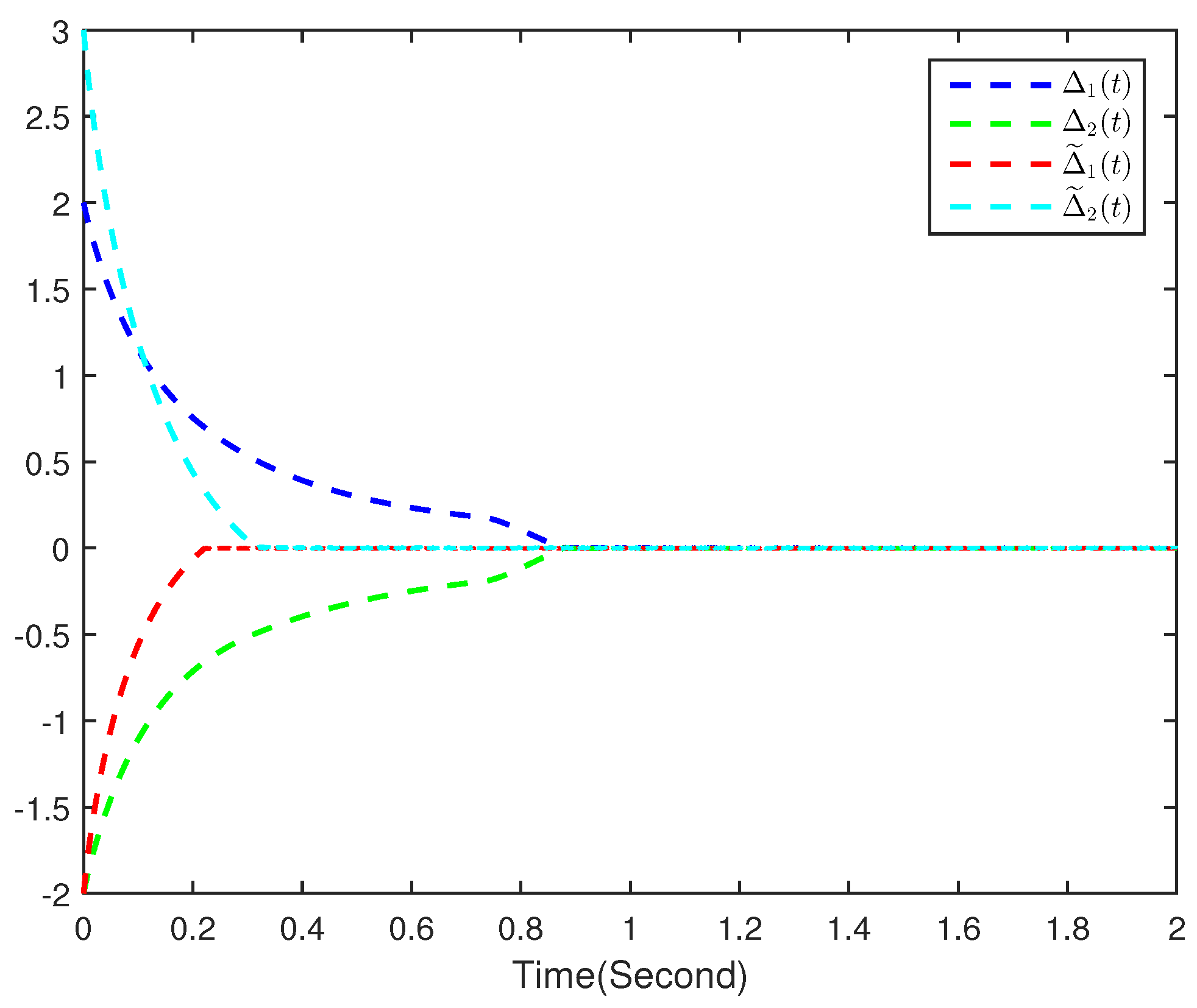
The simulation results are depicted in Figure 1, Figure 2, Figure 3, Figure 4 and Figure 5. The simulation results confirm the validity of the main findings regarding fixed-time synchronization established in this paper.
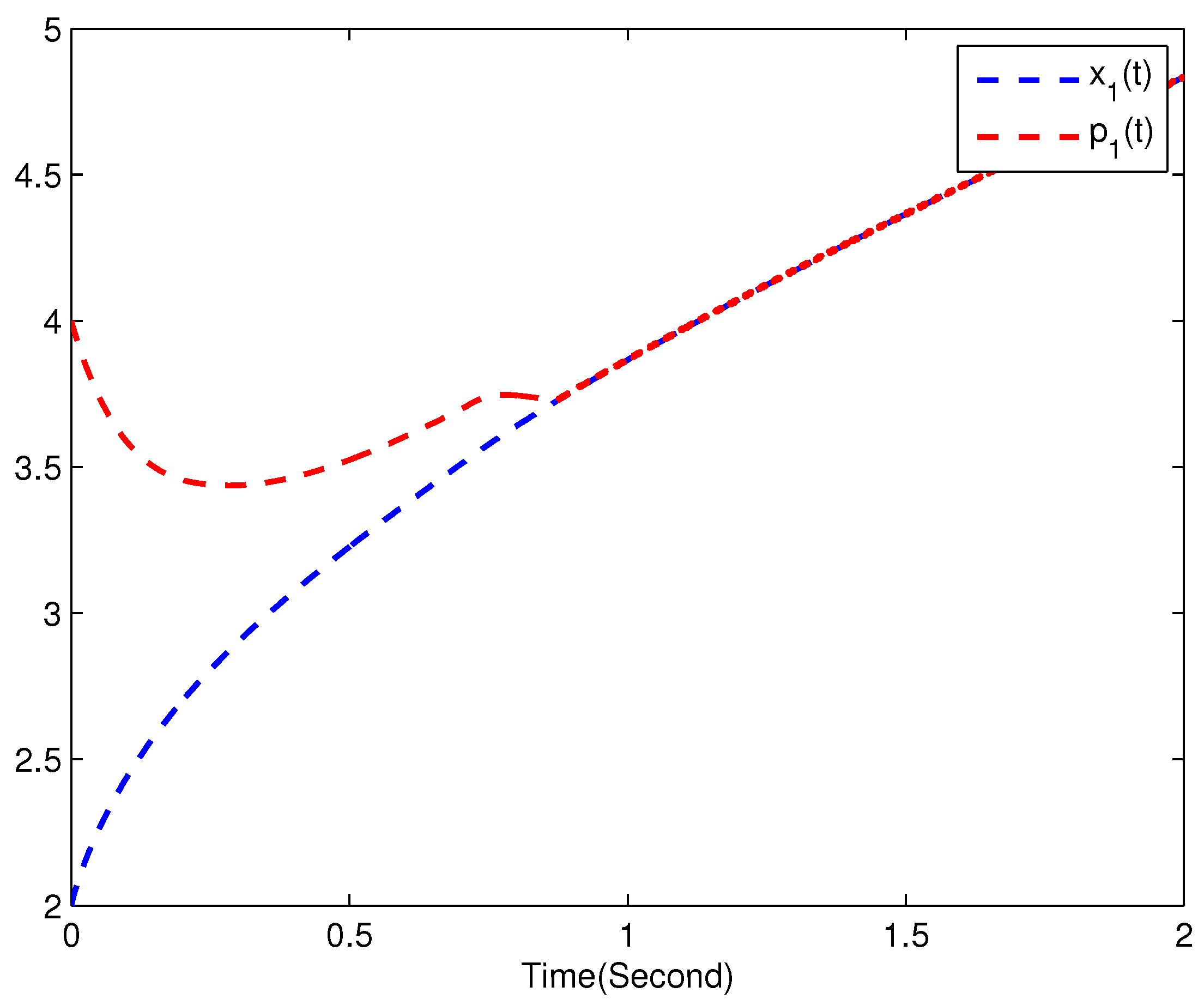
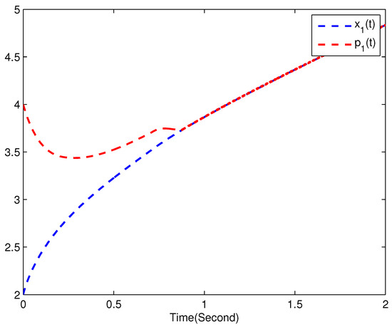
Figure 1.
State trajectories of and .
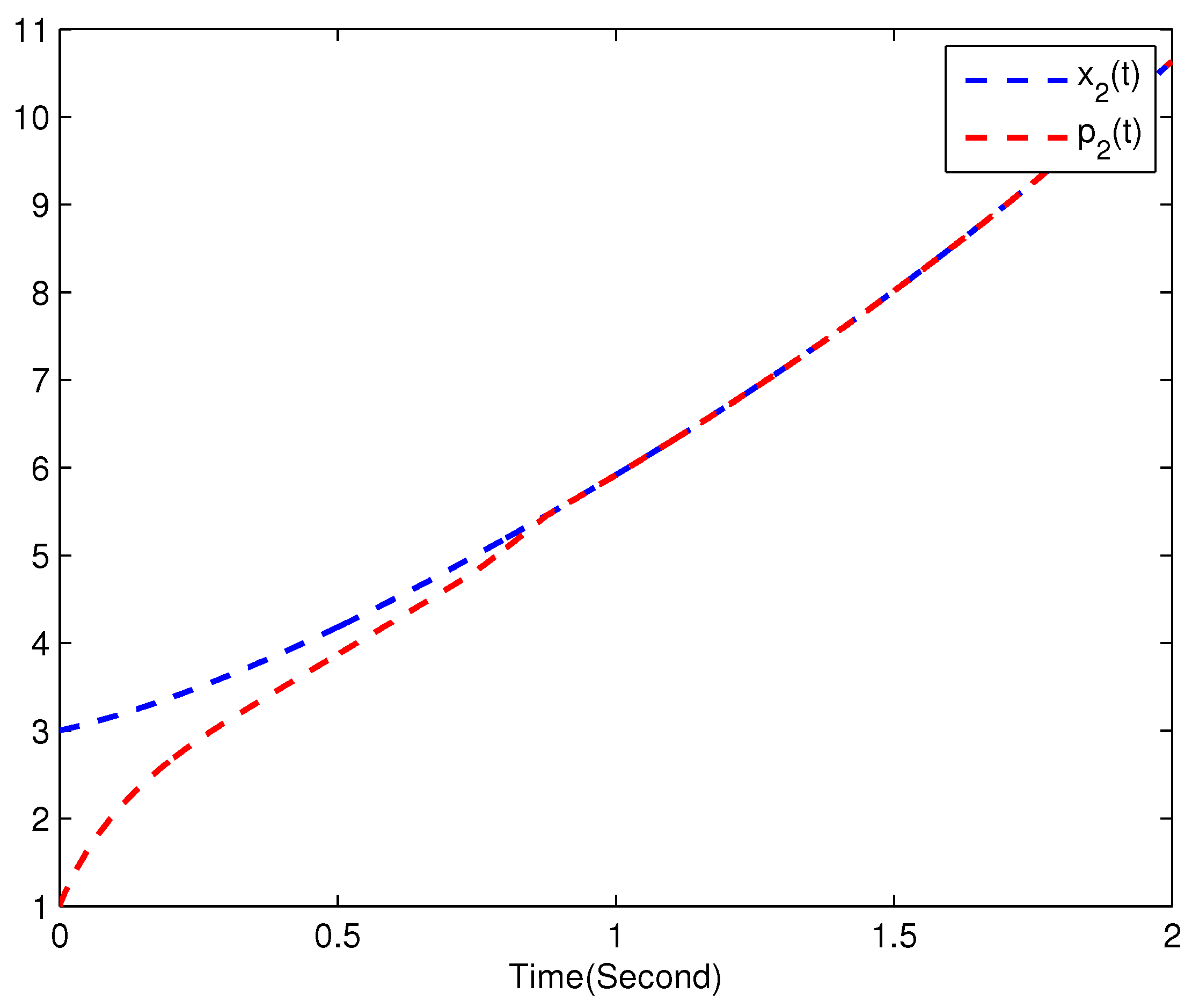
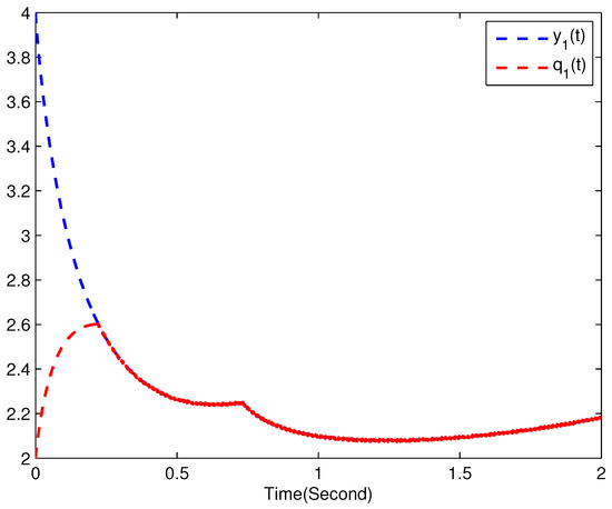
Figure 2.
State trajectories of and .
Figure 3.
State trajectories of and .
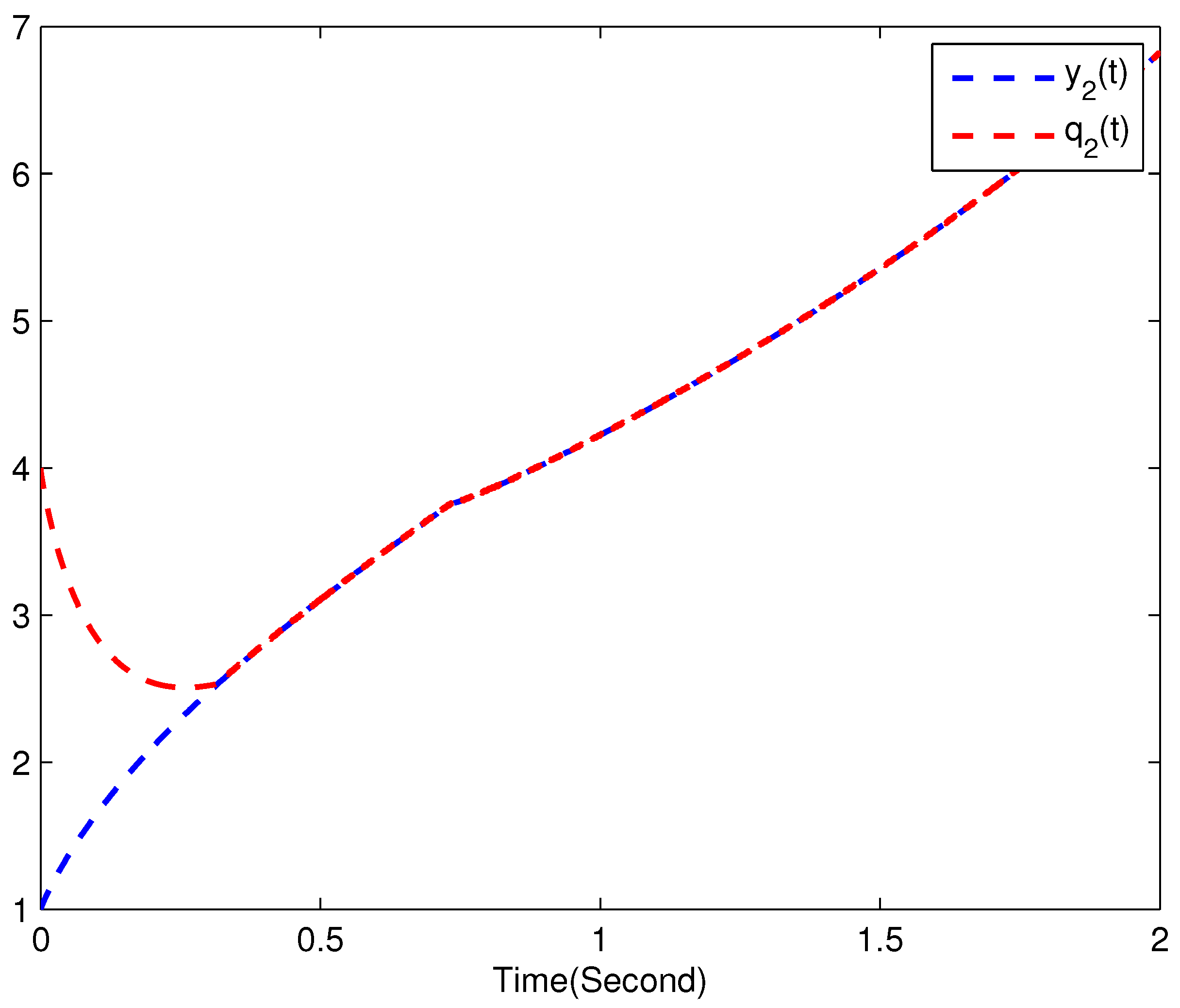
Figure 4.
State trajectories of and .
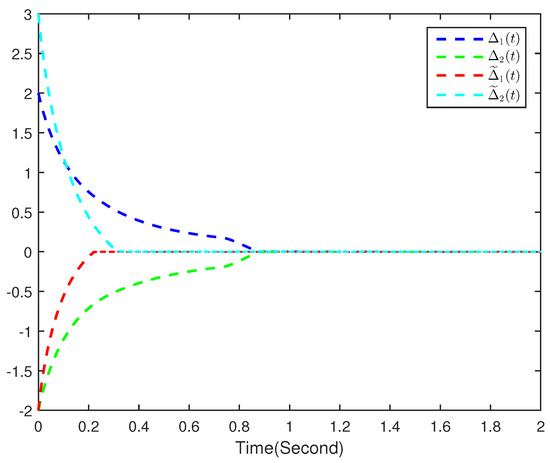
Figure 5.
Synchronization errors of between systems (16) and (17).
Example 2.
Considering the following FCIFNNs with the drive system
and the corresponding response system described as
where
It is not difficult to verify that the activation functions meet Assumptions 1 and 2 with . The system parameters are chosen as follows.
The following controller is suggested
where
The initial values are chosen as
It is easy to verify that all the conditions of Theorem 2 are satisfied. Thus, RS (20) can synchronize with the DS (19) in a fixed time. Furthermore, according to Theorem 2, can be computed using the following formula.
The simulation results are shown in Figure 6, Figure 7, Figure 8, Figure 9 and Figure 10. The simulation implies that the main result of FDTS established in the present paper is correct.
Figure 6.
State trajectories of and .
Figure 7.
State trajectories of and .
Figure 8.
State trajectories of and .
Figure 9.
State trajectories of and .
Figure 10.
Synchronization errors of between systems (19) and (20).
The theoretical results are consistent with the simulation results, indicating that the proposed method is effective.
5. Application to Image Encryption
In this section, the developed fixed-time synchronization result of FCIFNNs with MTD derived from Theorem 1 is applied to the image encryption issue. The same parameters in Example 1 are chosen. For a color picture of size , the encryption algorithms proposed in [44,45] are used. To demonstrate the effectiveness of the encryption algorithm, a color picture named Lina is applied to show the validity of the presented encryption algorithm; see Figure 11.
Figure 11.
Original, encrypted, and decrypted images of Lena with the encryption algorithm.
The histograms of red, green, and blue channels for the original Lena image and the encrypted Lena image are illustrated in Figure 12. From Figure 11, it can be seen that through the proposed encryption algorithm, the encrypted image can be successfully decrypted after the system reaches synchronization. In addition, the histogram of the encrypted image in Figure 12 shows almost uniform distribution. The results indicate that encryption algorithms enhance the randomness of the color distribution in the original image, thereby improving the security of the encryption algorithm.
Figure 12.
Histograms of the original Lena and the encrypted Lena.
6. Conclusions
This paper investigates the FDTS problem for a class of FCIFNNs with MTD. Using the theory of finite-time stability and Lyapunov functional analysis techniques, we have derived some new sufficient conditions for FDTS in drive–response systems. Finally, we present two simulation examples and their practical application in image encryption, demonstrating the effectiveness of the proposed approach. In the future, we plan to extend the results of this paper to more general neural networks and design more effective control strategies. This is a challenging topic.
Author Contributions
Conceptualization, Y.S.; methodology, Y.S. and Y.L.; writing—original draft preparation, Y.S.; writing—review and editing, Y.L.; numerical simulation, L.L. All authors have read and agreed to the published version of the manuscript.
Funding
This work is partially supported by the Program for Innovative Research Team in Universities of Anhui Province (2022AH010085), the Natural Science Foundation of Anhui Province (2008085MF200), the Natural Science Foundation in Universities of Anhui Province (KJ2021A0970), and the Key Research and Development Plan Project Foundation of Huainan (2021A248).
Data Availability Statement
The data presented in this study are available in the article.
Conflicts of Interest
The authors declare no conflicts of interest.
References
- Chua, L.O.; Yang, L. Cellular neural networks: Theory. IEEE Trans. Circuits Syst. 1988, 35, 1257–1290. [Google Scholar] [CrossRef]
- Liu, P. Delay-dependent global exponential robust stability for delayed cellular neural networks with time-varying delay. ISA Trans. 2013, 52, 711–716. [Google Scholar] [CrossRef] [PubMed]
- Yang, G. New results on the stability of fuzzy cellular neural networks with time-varying leakage delays. Neural Comput. A. 2014, 25, 1709–1715. [Google Scholar] [CrossRef]
- Pu, H.; Liu, Y.; Jiang, H.; Hu, C. Exponential synchronization for fuzzy cellular neural networks with time-varying delays and nonlinear impulsive effects. Cogn. Neurodyn. 2015, 9, 437–446. [Google Scholar] [CrossRef] [PubMed]
- Duan, S.; Hu, X.; Dong, Z.; Wang, L.; Mazumder, P. Memristor-based cellular nonlinear neural network: Design, analysis and aications. IEEE Trans. Neural Netw. Learn. Syst. 2015, 26, 1202–1213. [Google Scholar] [CrossRef]
- Yang, T.; Yang, L.; Wu, C.; Chua, L.O. Fuzzy cellular neural networks: Theory. In Proceedings of the IEEE International Workshop on Cellular Neural Networks and Applications, Seville, Spain, 24–26 June 1996; pp. 181–186, 225–230. [Google Scholar]
- Li, Z.; Li, K. Stability analysis of impulsive fuzzy cellular neural networks with distributed delays and reaction-diffusion terms. Chaos Solitons Fractals 2009, 42, 492–499. [Google Scholar] [CrossRef]
- Li, X.; Rakkiyan, R.; Balasubramaniam, P. Existence and global stability analysis of equilibrium of fuzzy cellular neural networks with time delay in the leakage term under impulsive perturbations. J. Franklin Inst. 2011, 348, 135–155. [Google Scholar] [CrossRef]
- Jia, R. Finite-time stability of a class of fuzzy cellular neural networks with multi-proportional delays. Fuzzy Sets Syst. 2017, 319, 70–80. [Google Scholar] [CrossRef]
- Duan, L.; Fang, X.; Fu, Y. Global exponential synchronization of delayed fuzzy cellular neural networks with discontinuous activations. Int. J. Mach. Learn. Cybern. 2019, 10, 579–589. [Google Scholar] [CrossRef]
- Babcock, K.; Westervelt, R. Stability and dynamics of simple electronic neural networks with added inertial. Physica D 1986, 23, 464–469. [Google Scholar] [CrossRef]
- Mauro, A.; Conti, F.; Dodge, F.; Schor, R. Subthreshold behavior and phenomenological impedance of the squid giant axon. J. Gen. Physiol. 1970, 55, 497–523. [Google Scholar] [CrossRef] [PubMed]
- Koch, C. Cable theory in neurons with active, linearized membranes. Biol. Cybern. 1984, 50, 15–33. [Google Scholar] [CrossRef]
- Angelaki, D.; Correia, M. Models of membrane resonance in pigeon semicircular canal type II hair cells. Biol. Cybern. 1991, 65, 1–10. [Google Scholar] [CrossRef] [PubMed]
- Song, C.; Cao, J. Dynamics in fractional-order neural networks. Neurocomputing 2014, 142, 94–498. [Google Scholar] [CrossRef]
- Kaslik, E.; Sivasundaram, S. Nonlinear dynamics and chaos in fractional-order neural networks. Neural Netw. 2012, 32, 245–256. [Google Scholar] [CrossRef]
- Chen, L.; Chai, Y.; Wu, R.; Ma, T.; Zhai, H. Dynamic analysis of a class of fractional-order neural networks with delay. Neurocomputing 2013, 111, 190–194. [Google Scholar] [CrossRef]
- Wang, H.; Yu, Y.; Wen, G. Stability analysis of fractional-order hopfield neural networks with time delays. Neural Netw. 2014, 55, 98–109. [Google Scholar] [CrossRef]
- Wang, H.; Yu, Y.; Wen, G.; Zhang, S.; Yu, J. Global stability analysis of fractional-order hopfield neural networks with time delay. Neurocomputing 2015, 154, 15–23. [Google Scholar] [CrossRef]
- Chen, J.; Zeng, Z.; Jiang, P. Global Mittag–Leffler stability and synchronization of memristor-based fractional-order neural networks. Neural Netw. 2014, 51, 1–8. [Google Scholar] [CrossRef]
- Yan, S.; Gu, Z.; Nguang, S. Memory-event-triggered H∞ output control of neural networks with mixed delays. IEEE Trans. Neural Netw. Learn. Syst. 2022, 33, 6905–6915. [Google Scholar] [CrossRef] [PubMed]
- Lakshmanan, S.; Prakash, M.; Lim, C.; Rakkiyappan, R.; Balasubramaniam, P.; Nahavandi, S. Synchronization of an inertial neural network with time-varying delays and its aication to secure communication. IEEE Trans. Neural Netw. Learn. Syst. 2018, 29, 195–207. [Google Scholar] [CrossRef]
- Yang, X.; Ho, D.W.C. Synchronization of delayed memristive neural networks: Robust analysis aoach. IEEE Trans. Cybern. 2016, 46, 3377–3387. [Google Scholar] [CrossRef]
- Prakash, M.; Balasubramaniam, P.; Lakshmanan, S. Synchronization of Markovian jumping inertial neural networks and its aications in image encryption. Neural Netw. 2016, 83, 86–93. [Google Scholar] [CrossRef]
- Li, X.; Li, X.; Hu, C. Some new results on stability and synchronization for delayed inertial neural networks based on non-reduced order method. Neural Netw. 2017, 96, 91–100. [Google Scholar] [CrossRef]
- Gu, Y.; Wang, H.; Yu, Y. Stability and synchronization for Riemann–Liouville fractional-order time-delayed inertial neural networks. Neurocomputing 2019, 340, 270–280. [Google Scholar] [CrossRef]
- Feng, Y.; Xiong, X.; Tang, R.; Yang, X. Exponential synchronization of inertial neural networks with mixed delays via quantized pinning control. Neurocomputing 2018, 310, 165–171. [Google Scholar] [CrossRef]
- Tang, Q.; Jian, J. Exponential synchronization of inertial neural networks with mixed time-varying delays via periodically intermittent control. Neurocomputing 2019, 338, 181–190. [Google Scholar] [CrossRef]
- Liang, K.; Wanli, L. Exponential synchronization in inertial Cohen–Grossberg neural networks with time delays. J. Frankl. Inst. 2019, 356, 11285–11304. [Google Scholar] [CrossRef]
- Shi, J.; Zeng, Z. Global exponential stabilization and lag synchronization control of inertial neural networks with time delays. Neural Netw. 2020, 126, 11–20. [Google Scholar] [CrossRef]
- Cui, N.; Jiang, H.; Hu, C.; Abdurahman, A. Finite-time synchronization of inertial neural networks. J. Assoc. Arab. Univ. Basic Aied Sci. 2017, 24, 300–309. [Google Scholar] [CrossRef][Green Version]
- Guo, Z.; Gong, S.; Huang, T. Finite-time synchronization of inertial memristive neural networks with time delay via delay-dependent control. Neurocomputing 2018, 293, 100–107. [Google Scholar] [CrossRef]
- Wei, R.; Cao, J.; Alsaedi, A. Fixed-time synchronization of inertial memristor-based neural networks with discrete delay. Cogn. Neurodynamics 2018, 12, 121–134. [Google Scholar] [CrossRef]
- Chen, C.; Li, L.; Peng, H.; Yang, Y. Fixed-time synchronization of inertial memristor-based neural networks with discrete delay. Neural Netw. 2019, 109, 81–89. [Google Scholar] [CrossRef] [PubMed]
- Alimi, A.M.; Aouiti, C.; Assali, E.A. Finite-time and fixed-time synchronization of a class of inertial neural networks with multi-proportional delays and its aication to secure communication. Neurocomputing 2019, 332, 29–43. [Google Scholar] [CrossRef]
- Duan, L.; Wei, H.; Huang, L. Finite-time synchronization of delayed fuzzy cellular neural networks with discontinuous activations. Neurocomputing 2019, 361, 56–70. [Google Scholar] [CrossRef]
- Liu, Y.; Sun, Y. Fixed-time synchronization of fuzzy cellular neural networks with time-varying delays and discontinuous activations. IEEE Access 2020, 8, 65801–65811. [Google Scholar] [CrossRef]
- Sun, Y.; Liu, Y.; Liu, L. Asymptotic and finite-time synchronization of fractional-order memristor-based inertial neural networks with time-varying delay. Fractal Fract. 2022, 6, 350. [Google Scholar] [CrossRef]
- Zhao, K. Stability of a nonlinear langevin system of ML-type fractional derivative affected by time-varying delays and differential feedback control. Fractal Fract. 2022, 6, 725. [Google Scholar] [CrossRef]
- Zhang, T.; Xiong, L. Periodic motion for impulsive fractional functional differential equations with piecewise Caputo derivative. Appl. Math. Lett. 2020, 101, 106072. [Google Scholar]
- Zheng, M.; Li, L.; Peng, H.; Xiao, J.; Yang, Y.; Zhang, Y.; Zhao, H. Fixed-time synchronization of memristor-based fuzzy cellular neural network with time-varying delay. J. Frankl. Inst. 2018, 355, 6780–6809. [Google Scholar] [CrossRef]
- Sun, Y.; Liu, Y. Fixed-time synchronization of delayed fractional-order memristor-based fuzzy cellular neural networks. IEEE Access. 2020, 8, 165951–165962. [Google Scholar] [CrossRef]
- Li, C.; Deng, W. Remarks on fractional derivatives. Aied Math. Comput. 2007, 187, 777–784. [Google Scholar] [CrossRef]
- Yan, S.; Nguang, S.; Gu, Z. H∞ weighted integral event-triggered synchronization of neural networks with mixed delays. IEEE Trans. Ind. Inform. 2021, 17, 2365–2375. [Google Scholar] [CrossRef]
- Yan, S.; Gu, Z.; Park, J.; Xie, X. Synchronization of delayed fuzzy neural networks with probabilistic communication delay and its aication to image encryption. IEEE Trans. Fuzzy Syst. 2022, 31, 930–940. [Google Scholar] [CrossRef]
Disclaimer/Publisher’s Note: The statements, opinions and data contained in all publications are solely those of the individual author(s) and contributor(s) and not of MDPI and/or the editor(s). MDPI and/or the editor(s) disclaim responsibility for any injury to people or property resulting from any ideas, methods, instructions or products referred to in the content. |
© 2024 by the authors. Licensee MDPI, Basel, Switzerland. This article is an open access article distributed under the terms and conditions of the Creative Commons Attribution (CC BY) license (https://creativecommons.org/licenses/by/4.0/).











