Novel GPID: Grünwald–Letnikov Fractional PID for Enhanced Adaptive Cruise Control
Abstract
1. Introduction
- •
- We introduce a new method employing the Grünwald–Letnikov GPID controller in improving adaptive cruise control systems. This controller will provide more stability and better performance compared to conventional PID controllers, as it embeds fractional calculus into the system to increase responsiveness to driver commands and changes in road conditions.
- •
- The contribution of the proposed approach enhances stability and performance significantly. The GPID controller diminishes error oscillations to maintain a constant speed for a vehicle with optimized acceleration and deceleration patterns, which makes the transition smoother and gives better overall control to the vehicle.
- •
- In contrast to traditional techniques, our strategy optimizes vehicle dynamics by utilizing fractional derivatives. Without requiring major adjustments to current control structures, this innovation improves adaptive cruise control systems’ driving experience, comfort, and safety.
- •
- We perform simulations that compare GPID-based adaptive cruise control with traditional PID control to validate the effectiveness of our approach. From the results, it can be seen that the GPID controller outperforms its PID counterpart in responsiveness, stability, and driving comfort for a variety of driving conditions.
2. Related Work
3. Mathematical Definitions and Tools
3.1. Riemann–Liouville Fractional Derivative
3.2. Caputo Fractional Derivative
3.3. Grunwald–Letnikov Fractional Derivative
3.4. Properties of the Grunwald–Letnikov Derivative
4. The Proposed Method
4.1. The PID Control Equation
- •
- is the control output.
- •
- is the error signal, defined as the difference between the desired and actual states.
- •
- are the proportional, integral, and derivative gains, respectively.
4.2. The GPID Control Equation
4.2.1. Integral and Derivative Terms
4.2.2. Final Fractional PID Control Equation
5. GPID Mathematical Model
5.1. PID Control Theory
5.1.1. Proportional Term (P)
5.1.2. Integral Term (I)
5.1.3. Derivative Term (D)
5.2. GPID Control Theory
5.2.1. Proportional Term (P)
5.2.2. Fractional Integral Term (I)
5.2.3. Fractional Derivative Term (D)
Final GPID Control Equation
5.3. Car’s Speed Control Strategy
5.4. Simulating the ACC System
6. Experimental Evaluation
6.1. Comparative Analysis
6.1.1. ISE-Overshoot-Setting Time
6.1.2. Speed Tracking
6.1.3. Error Reduction
6.1.4. Robustness to Changing Conditions
6.2. Key Insights from Simulation
Discussion
7. Conclusions
Author Contributions
Funding
Data Availability Statement
Acknowledgments
Conflicts of Interest
References
- Wu, C.; Xu, Z.; Liu, Y.; Fu, C.; Li, K.; Hu, M. Spacing policies for adaptive cruise control: A survey. IEEE Access 2020, 8, 50149–50162. [Google Scholar] [CrossRef]
- Gunasekaran, P.; Sivasubramanian, R.; Periyasamy, K.; Muthusamy, S.; Mishra, O.P.; Ramamoorthi, P.; Sadasivuni, K.K.; Geetha, M. Adaptive cruise control system with fractional order ANFIS PD+ I controller: Optimization and validation. J. Braz. Soc. Mech. Sci. Eng. 2024, 46, 184. [Google Scholar] [CrossRef]
- Seppelt, B.D.; Lee, J.D. Making adaptive cruise control (ACC) limits visible. Int. J.-Hum.-Comput. Stud. 2007, 65, 192–205. [Google Scholar] [CrossRef]
- Mirchandani, P.; Head, L. A real-time traffic signal control system: Architecture, algorithms, and analysis. Transp. Res. Part C Emerg. Technol. 2001, 9, 415–432. [Google Scholar] [CrossRef]
- Dey, K.C.; Yan, L.; Wang, X.; Wang, Y.; Shen, H.; Chowdhury, M.; Yu, L.; Qiu, C.; Soundararaj, V. A review of communication, driver characteristics, and controls aspects of cooperative adaptive cruise control (CACC). IEEE Trans. Intell. Transp. Syst. 2015, 17, 491–509. [Google Scholar] [CrossRef]
- Guerrero-Ibáñez, J.; Zeadally, S.; Contreras-Castillo, J. Sensor technologies for intelligent transportation systems. Sensors 2018, 18, 1212. [Google Scholar] [CrossRef] [PubMed]
- Schakel, W.J.; Gorter, C.M.; De Winter, J.C.; Van Arem, B. Driving characteristics and adaptive cruise control? A naturalistic driving study. IEEE Intell. Transp. Syst. Mag. 2017, 9, 17–24. [Google Scholar] [CrossRef]
- Ames, A.D.; Grizzle, J.W.; Tabuada, P. Control barrier function based quadratic programs with application to adaptive cruise control. In Proceedings of the 53rd IEEE Conference on Decision and Control, Los Angeles, CA, USA, 15–17 December 2014; pp. 6271–6278. [Google Scholar]
- Abraham, A.; Biswas, A.; Das, S.; Dasgupta, S. Design of fractional order PIλDμ controllers with an improved differential evolution. In Proceedings of the 10th Annual Conference on Genetic and Evolutionary Computation, Atlanta, GA, USA, 12–16 July 2008; pp. 1445–1452. [Google Scholar]
- Nandal, A.; Gamboa-Rosales, H.; Dhaka, A.; Celaya-Padilla, J.M.; Galvan-Tejada, J.I.; Galvan-Tejada, C.E.; Martinez-Ruiz, F.J.; Guzman-Valdivia, C. Image edge detection using fractional calculus with feature and contrast enhancement. Circuits Syst. Signal Process. 2018, 37, 3946–3972. [Google Scholar] [CrossRef]
- Simpson, R.; Jaques, A.; Nuñez, H.; Ramirez, C.; Almonacid, A. Fractional calculus as a mathematical tool to improve the modeling of mass transfer phenomena in food processing. Food Eng. Rev. 2013, 5, 45–55. [Google Scholar] [CrossRef]
- Arora, S.; Mathur, T.; Agarwal, S.; Tiwari, K.; Gupta, P. Applications of fractional calculus in computer vision: A survey. Neurocomputing 2022, 489, 407–428. [Google Scholar] [CrossRef]
- Marzaki, M.H.; Rahiman, M.H.F.; Adnan, R.; Tajjudin, M. Real time performance comparison between PID and Fractional order PID controller in SMISD plant. In Proceedings of the 2015 IEEE 6th Control and System Graduate Research Colloquium (ICSGRC), Shah Alam, Malaysia, 10–11 August 2015; pp. 141–145. [Google Scholar]
- Sahin, A.K.; Cavdar, B.; Ayas, M.S. An adaptive fractional controller design for automatic voltage regulator system: Sigmoid-based fractional-order PID controller. Neural Comput. Appl. 2024, 36, 14409–14431. [Google Scholar] [CrossRef]
- Mohd Tumari, M.Z.; Ahmad, M.A.; Suid, M.H.; Ghazali, M.R.; Tokhi, M.O. An improved marine predators algorithm tuned data-driven multiple-node hormone regulation neuroendocrine-PID controller for multi-input–multi-output gantry crane system. J. Low Freq. Noise Vib. Act. Control 2023, 42, 1666–1698. [Google Scholar] [CrossRef]
- Safari, K.; Imani, F. A Novel Fuzzy-BELBIC Structure for the Adaptive Control of Satellite Attitude. In Proceedings of the Volume 3: Advanced Materials: Design, Processing, Characterization and Applications; Advances in Aerospace Technology, Columbus, OH, USA, 30 October–3 November 2022. [Google Scholar] [CrossRef]
- Mohindru, P. Review on PID, fuzzy and hybrid fuzzy PID controllers for controlling non-linear dynamic behaviour of chemical plants. Artif. Intell. Rev. 2024, 57, 97. [Google Scholar] [CrossRef]
- Kumar, A.; Sharma, R. A nature inspired PID like fuzzy knowledge-based fractional-order controller for optimization. In Computational Network Application Tools for Performance Management; Springer: Singapore, 2019; pp. 17–28. [Google Scholar] [CrossRef]
- Flores, C.; Muñoz, J.; Monje, C.A.; Milanés, V.; Lu, X.Y. Iso-damping fractional-order control for robust automated car-following. J. Adv. Res. 2020, 25, 181–189. [Google Scholar] [CrossRef] [PubMed]
- George, M.A.; Kamat, D.V.K.; Kurian, C.P. Electronically tunable ACO based fuzzy FOPID controller for effective speed control of electric vehicle. IEEE Access 2021, 9, 73392–73412. [Google Scholar] [CrossRef]
- Izci, D.; Ekinci, S. An efficient FOPID controller design for vehicle cruise control system using HHO algorithm. In Proceedings of the 2021 3rd International Congress on Human-Computer Interaction, Optimization and Robotic Applications (HORA), Ankara, Turkey, 11–13 June 2021. [Google Scholar] [CrossRef]
- Jamil, A.A.; Tu, W.F.; Ali, S.W.; Terriche, Y.; Guerrero, J.M. Fractional-Order PID Controllers for Temperature Control: A Review. Energies 2022, 15, 3800. [Google Scholar] [CrossRef]
- Kadhim, N.N.; Abood, L.H.; Mohammed, Y.A. Design an Optimal Fractional Order PID Controller for Speed Control of Electric Vehicle. J. Eur. Des SystèMes Autom. 2023, 56, 735–741. [Google Scholar] [CrossRef]
- Idir, A.; Bensafia, Y.; Canale, L. Influence of Approximation Methods on the Design of the Novel Low-Order Fractionalized PID Controller for Aircraft System. J. Braz. Soc. Mech. Sci. Eng. 2024, 46, 98. [Google Scholar] [CrossRef]
- Tumari, M.Z.M.; Ahmad, M.A.; Rashid, M.I.M. A fractional order PID tuning tool for automatic voltage regulator using marine predators algorithm. Energy Rep. 2023, 9, 416–421. [Google Scholar] [CrossRef]
- Batiha, I.M.; Ababneh, O.Y.; Al-Nana, A.A.; Alshanti, W.G.; Alshorm, S.; Momani, S. A numerical implementation of fractional-order PID controllers for autonomous vehicles. Axioms 2023, 12, 306. [Google Scholar] [CrossRef]
- Saleem, O.; Ali, S.; Iqbal, J. Robust MPPT control of stand-alone photovoltaic systems via adaptive self-adjusting fractional order PID controller. Energies 2023, 16, 5039. [Google Scholar] [CrossRef]
- Teodoro, G.S.; Machado, J.T.; De Oliveira, E.C. A review of definitions of fractional derivatives and other operators. J. Comput. Phys. 2019, 388, 195–208. [Google Scholar] [CrossRef]
- Caputo, M. Linear models of dissipation whose Q is almost frequency independent—II. Geophys. J. Int. 1967, 13, 529–539. [Google Scholar] [CrossRef]
- Atici, F.M.; Chang, S.; Jonnalagadda, J. Grünwald-Letnikov fractional operators: From past to present. Fract. Differ. Calc. 2021, 11, 147–159. [Google Scholar]
- Scherer, R.; Kalla, S.L.; Tang, Y.; Huang, J. The Grünwald–Letnikov method for fractional differential equations. Comput. Math. Appl. 2011, 62, 902–917. [Google Scholar] [CrossRef]
- Elgezouli, D.E.; Alzahrani, A.B. Optimizing Edge Detection Efficiency with a Grünwald–Letnikov Fractional Network. Electronics 2024, 13, 3298. [Google Scholar] [CrossRef]
- Sarfraz, M.; Zhou, J.; Ali, F. An 8D Hyperchaotic System of Fractional-Order Systems Using the Memory Effect of Grünwald–Letnikov Derivatives. Fractal Fract. 2024, 8, 530. [Google Scholar] [CrossRef]
- Hunek, W.P.; Feliks, T. Robust fractional-order perfect control for non-full rank plants described in the Grünwald-Letnikov IMC framework. Fract. Calc. Appl. Anal. 2021, 24, 1257–1274. [Google Scholar] [CrossRef]
- Bai, J.; Mao, S.; Lee, J.J. A novel car-following model for adaptive cruise control vehicles using enhanced intelligent driver model. Transp. Lett. 2024, 1–17. [Google Scholar] [CrossRef]
- Shang, M.; Wang, S.; Stern, R. A Two-Condition Continuous Asymmetric Car-Following Model for Adaptive Cruise Control Vehicles. IEEE Trans. Intell. Veh. 2024, 9, 3975–3985. [Google Scholar] [CrossRef]
- Bai, J.; Lee, J.; Mao, S. Effects of Adaptive Cruise Control System on Traffic Flow and Safety Considering Various Combinations of Front Truck and Rear Passenger Car Situations. Transp. Res. Rec. 2024, 2678, 1009–1028. [Google Scholar] [CrossRef]
- Nie, Z.; Farzaneh, H. Adaptive cruise control for eco-driving based on model predictive control algorithm. Appl. Sci. 2020, 10, 5271. [Google Scholar] [CrossRef]
- Laumônier, J.; Desjardins, C.; Chaib-Draa, B. Cooperative adaptive cruise control: A reinforcement learning approach. In Proceedings of the Fourth Workshop on Agents in Traffic and Transportation, Hakodate, Hokkaido, Japan, 8–12 May 2006. [Google Scholar]
- Rajamani, R.; Zhu, C. Semi-autonomous adaptive cruise control systems. IEEE Trans. Veh. Technol. 2002, 51, 1186–1192. [Google Scholar] [CrossRef]
- Bageshwar, V.L.; Garrard, W.L.; Rajamani, R. Model predictive control of transitional maneuvers for adaptive cruise control vehicles. IEEE Trans. Veh. Technol. 2004, 53, 1573–1585. [Google Scholar] [CrossRef]


| Fractional Derivative | Features | Limitation |
|---|---|---|
| Riemann–Liouville | Considers historical data, uses past values of the function to compute the derivative. | Requires knowledge of the entire past history, impractical for real-time systems. |
| Caputo | Takes initial conditions into account, more intuitive for dynamic systems with defined starting conditions. | Still requires extensive historical data, not ideal for real-time computations. |
| Grünwald–Letnikov | Uses discrete data, approximates the fractional derivative based on past values, is computationally efficient. | May not capture all nuances of the continuous process as well as other methods. |
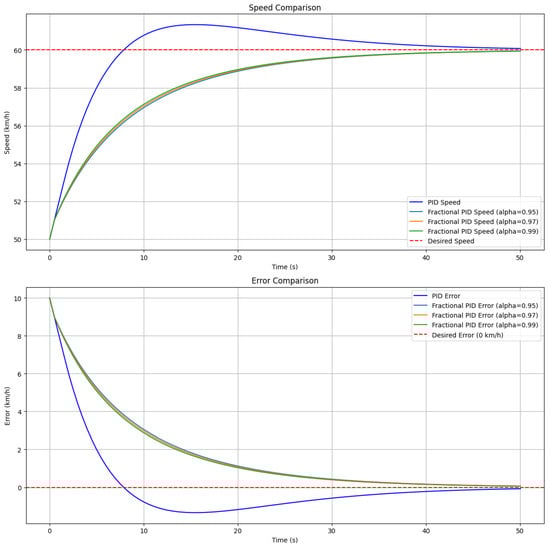
| Time (s) | PID Speed | PID Error | GPID (alpha = 0.95) | GPID (alpha = 0.97) | GPID (alpha = 0.99) | |||
|---|---|---|---|---|---|---|---|---|
| Speed | Error | Speed | Error | Speed | Error | Speed | Error | |
| 0 | 50.0000 | 10.0000 | 50.0000 | 10.0000 | 50.0000 | 10.0000 | 50.0000 | 10.0000 |
| 1 | 51.0000 | 9.0000 | 51.0000 | 9.0000 | 51.0000 | 9.0000 | 51.0000 | 9.0000 |
| 2 | 52.0000 | 8.0000 | 51.5477 | 8.4523 | 51.5672 | 8.4328 | 51.5860 | 8.4140 |
| 3 | 53.0000 | 7.0000 | 52.0555 | 7.9445 | 52.0915 | 7.9085 | 52.1262 | 7.8738 |
| 4 | 53.9704 | 6.0296 | 52.5269 | 7.4731 | 52.5768 | 7.4232 | 52.6247 | 7.3753 |
| 5 | 54.8313 | 5.1687 | 52.9650 | 7.0350 | 53.0264 | 6.9736 | 53.0855 | 6.9145 |
| 6 | 55.6108 | 4.3892 | 53.3726 | 6.6274 | 53.4435 | 6.5565 | 53.5117 | 6.4883 |
| 7 | 56.3117 | 3.6883 | 53.7522 | 6.2478 | 53.8308 | 6.1692 | 53.9065 | 6.0935 |
| 8 | 56.9423 | 3.0577 | 54.1062 | 5.8938 | 54.1909 | 5.8091 | 54.2725 | 5.7275 |
| 9 | 57.5070 | 2.4930 | 54.4365 | 5.5635 | 54.5261 | 5.4739 | 54.6124 | 5.3876 |
| 10 | 58.0125 | 1.9875 | 54.7452 | 5.2548 | 54.8384 | 5.1616 | 54.9282 | 5.0718 |
| 11 | 58.4642 | 1.5358 | 55.0338 | 4.9662 | 55.1296 | 4.8704 | 55.2220 | 4.7780 |
| 12 | 58.8665 | 1.1335 | 55.3040 | 4.6960 | 55.4016 | 4.5984 | 55.4957 | 4.5043 |
| 13 | 59.2242 | 0.7758 | 55.5572 | 4.4428 | 55.6558 | 4.3442 | 55.7509 | 4.2491 |
| 14 | 59.5409 | 0.4591 | 55.7946 | 4.2054 | 55.8936 | 4.1064 | 55.9891 | 4.0109 |
| 15 | 59.8205 | 0.1795 | 56.0175 | 3.9825 | 56.1163 | 3.8837 | 56.2116 | 3.7884 |
| 16 | 60.0665 | −0.0665 | 56.2269 | 3.7731 | 56.3250 | 3.6750 | 56.4197 | 3.5803 |
| 17 | 60.2819 | −0.2819 | 56.4238 | 3.5762 | 56.5208 | 3.4792 | 56.6145 | 3.3855 |
| 18 | 60.4697 | −0.4697 | 56.6090 | 3.3910 | 56.7047 | 3.2953 | 56.7970 | 3.2030 |
| 19 | 60.6326 | −0.6326 | 56.7834 | 3.2166 | 56.8774 | 3.1226 | 56.9682 | 3.0318 |
| 20 | 60.7728 | −0.7728 | 56.9478 | 3.0522 | 57.0399 | 2.9601 | 57.1289 | 2.8711 |
| 21 | 60.8927 | −0.8927 | 57.1028 | 2.8972 | 57.1928 | 2.8072 | 57.2798 | 2.7202 |
| 22 | 61.0000 | −1.0000 | 57.2440 | 2.7560 | 57.3355 | 2.6645 | 57.4235 | 2.5765 |
| 23 | 61.0950 | −1.0950 | 57.3769 | 2.6231 | 57.4681 | 2.5319 | 57.5560 | 2.4440 |
| 24 | 61.1870 | −1.1870 | 57.5001 | 2.4999 | 57.5910 | 2.4090 | 57.6784 | 2.3216 |
| 25 | 61.2762 | −1.2762 | 57.6125 | 2.3875 | 57.7035 | 2.2965 | 57.7915 | 2.2085 |
| 26 | 61.3628 | −1.3628 | 57.7245 | 2.2755 | 57.8150 | 2.1850 | 57.9021 | 2.0979 |
| 27 | 61.4470 | −1.4470 | 57.8361 | 2.1639 | 57.9263 | 2.0737 | 58.0131 | 1.9869 |
| 28 | 61.5288 | −1.5288 | 57.9472 | 2.0528 | 58.0372 | 1.9628 | 58.1241 | 1.8759 |
| 29 | 61.6084 | −1.6084 | 58.0580 | 1.9420 | 58.1480 | 1.8520 | 58.2349 | 1.7651 |
| 30 | 61.6861 | −1.6861 | 58.1685 | 1.8315 | 58.2584 | 1.7416 | 58.3453 | 1.6547 |
| 31 | 61.7610 | −1.7610 | 58.2785 | 1.7215 | 58.3680 | 1.6320 | 58.4531 | 1.5469 |
| 32 | 61.8327 | −1.8327 | 58.3883 | 1.6117 | 58.4774 | 1.5226 | 58.5610 | 1.4390 |
| 33 | 61.9014 | −1.9014 | 58.4977 | 1.5023 | 58.5870 | 1.4130 | 58.6690 | 1.3310 |
| 34 | 61.9673 | −1.9673 | 58.6067 | 1.3933 | 58.6960 | 1.3040 | 58.7770 | 1.2230 |
| 35 | 62.0305 | −2.0305 | 58.7153 | 1.2847 | 58.8047 | 1.1953 | 58.8851 | 1.1149 |
| 36 | 62.0911 | −2.0911 | 58.8235 | 1.1765 | 58.9131 | 1.0869 | 58.9933 | 1.0067 |
| 37 | 62.1492 | −2.1492 | 58.9313 | 1.0687 | 59.0212 | 0.9788 | 59.1002 | 0.8998 |
| 38 | 62.2050 | −2.2050 | 59.0388 | 0.9612 | 59.1295 | 0.8705 | 59.2083 | 0.7917 |
| 39 | 62.2586 | −2.2586 | 59.1460 | 0.8540 | 59.2370 | 0.7630 | 59.3152 | 0.6848 |
| 40 | 62.3101 | −2.3101 | 59.2530 | 0.7470 | 59.3442 | 0.6558 | 59.4222 | 0.5778 |
| 41 | 62.3595 | −2.3595 | 59.3597 | 0.6403 | 59.4500 | 0.5500 | 59.5277 | 0.4723 |
| 42 | 62.4069 | −2.4069 | 59.4662 | 0.5338 | 59.5556 | 0.4444 | 59.6330 | 0.3670 |
| 43 | 62.4525 | −2.4525 | 59.5724 | 0.4276 | 59.6608 | 0.3392 | 59.7380 | 0.2620 |
| 44 | 62.4963 | −2.4963 | 59.6783 | 0.3217 | 59.7675 | 0.2325 | 59.8445 | 0.1555 |
| 45 | 62.5384 | −2.5384 | 59.7840 | 0.2160 | 59.8731 | 0.1269 | 59.9500 | 0.0500 |
| 46 | 62.5788 | −2.5788 | 59.8894 | 0.1106 | 59.9786 | 0.0214 | 60.0558 | −0.0558 |
| 47 | 62.6177 | −2.6177 | 59.9945 | 0.0055 | 60.0837 | −0.0837 | 60.1603 | −0.1603 |
| 48 | 62.6543 | −2.6543 | 60.1004 | −0.0996 | 60.1827 | −0.1827 | 60.2590 | −0.2590 |
| 49 | 62.6901 | −2.6901 | 60.2053 | −0.2053 | 60.2867 | −0.2867 | 60.3620 | −0.3620 |
| 50 | 62.7230 | −2.7230 | 60.3102 | −0.3102 | 60.3620 | −0.3620 | 60.4368 | −0.4368 |
| Controller | Overshoot (%) | Rise Time (s) | Settling Time (s) | ISE |
|---|---|---|---|---|
| GPID () | 0 | 0 | 19.5243 | 135,721 |
| GPID () | 0 | 0 | 19.0237 | 135,935 |
| GPID () | 0 | 0 | 18.523 | 136,141 |
| PID | 2.22913 | 0 | 19.5243 | 145,245 |
Disclaimer/Publisher’s Note: The statements, opinions and data contained in all publications are solely those of the individual author(s) and contributor(s) and not of MDPI and/or the editor(s). MDPI and/or the editor(s) disclaim responsibility for any injury to people or property resulting from any ideas, methods, instructions or products referred to in the content. |
© 2024 by the authors. Licensee MDPI, Basel, Switzerland. This article is an open access article distributed under the terms and conditions of the Creative Commons Attribution (CC BY) license (https://creativecommons.org/licenses/by/4.0/).
Share and Cite
Elgezouli, D.E.; Eltayeb, H.; Abdoon, M.A. Novel GPID: Grünwald–Letnikov Fractional PID for Enhanced Adaptive Cruise Control. Fractal Fract. 2024, 8, 751. https://doi.org/10.3390/fractalfract8120751
Elgezouli DE, Eltayeb H, Abdoon MA. Novel GPID: Grünwald–Letnikov Fractional PID for Enhanced Adaptive Cruise Control. Fractal and Fractional. 2024; 8(12):751. https://doi.org/10.3390/fractalfract8120751
Chicago/Turabian StyleElgezouli, Diaa Eldin, Hassan Eltayeb, and Mohamed A. Abdoon. 2024. "Novel GPID: Grünwald–Letnikov Fractional PID for Enhanced Adaptive Cruise Control" Fractal and Fractional 8, no. 12: 751. https://doi.org/10.3390/fractalfract8120751
APA StyleElgezouli, D. E., Eltayeb, H., & Abdoon, M. A. (2024). Novel GPID: Grünwald–Letnikov Fractional PID for Enhanced Adaptive Cruise Control. Fractal and Fractional, 8(12), 751. https://doi.org/10.3390/fractalfract8120751

