Multifractal Methods in Characterizing Pore Structure Heterogeneity During Hydrous Pyrolysis of Lacustrine Shale
Abstract
1. Introduction
2. Samples and Methods
2.1. Samples
2.2. Experiments and Data Interpretation
2.2.1. XRD and Geochemical Analyses
2.2.2. Hydrous Pyrolysis Experiments
2.2.3. Low-Pressure CO2 and N2 Physisorption
2.3. Multifractal Theory
3. Results and Discussion
3.1. Mineral Component Characteristics
3.2. Organic Geochemistry
3.3. Hydrocarbon Generation
3.3.1. Retained Hydrocarbons in Different Occurrence States
3.3.2. Characteristics of Hydrocarbon Generation and Expulsion
3.4. Pore Structure Characteristics
3.4.1. CGP and Pore Structure
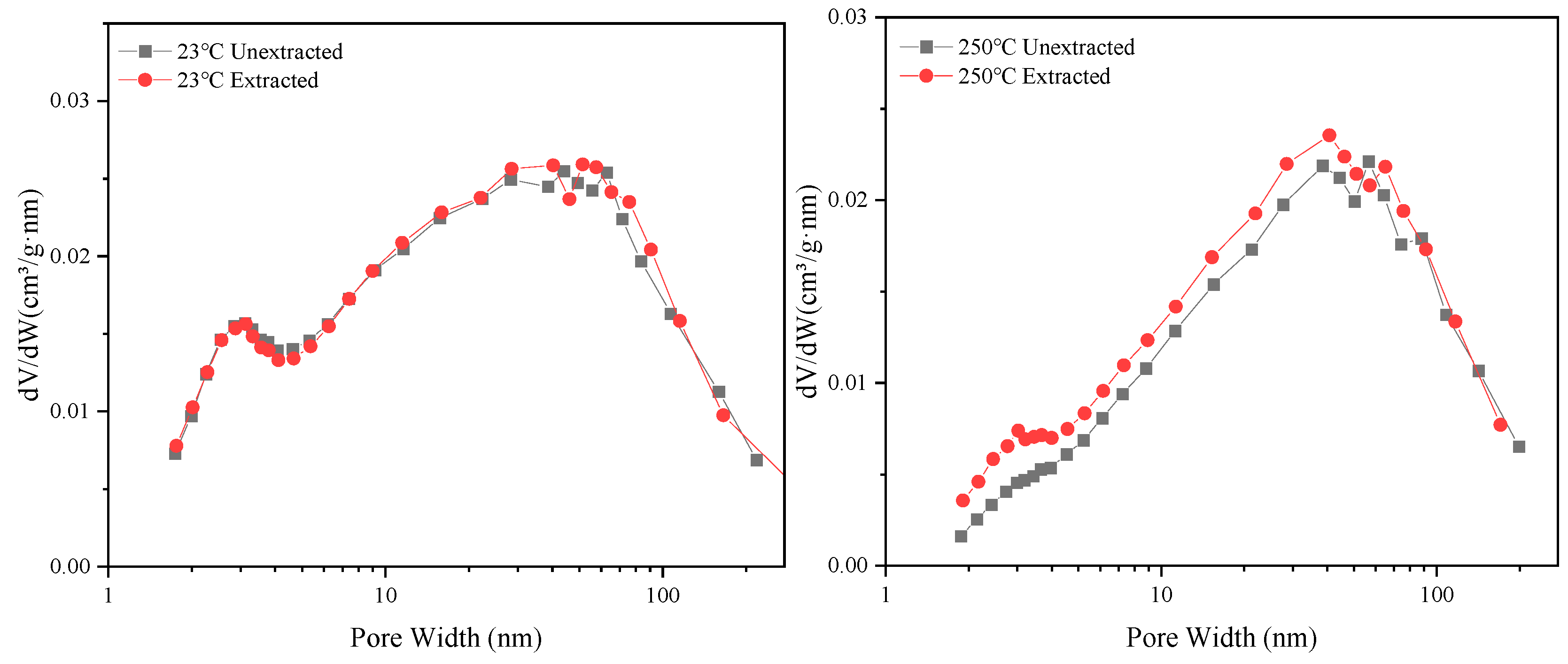
3.4.2. NGP Analyses and Pore Structure
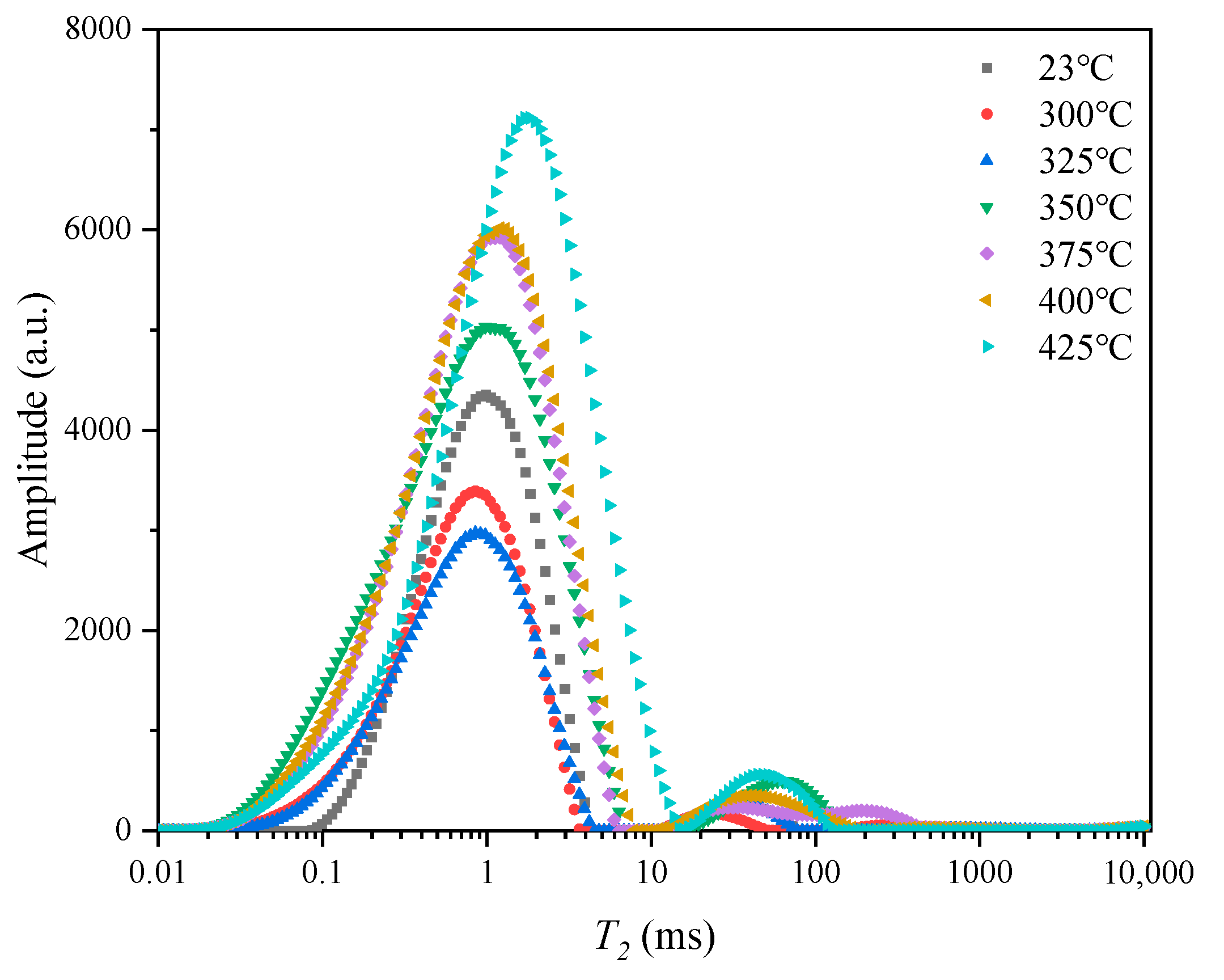
3.4.3. NMR Characteristics of Samples with Different Thermal Maturities
3.5. Responses of Multifractal Parameters to Simulation Temperatures
3.5.1. Multifractal Characteristics
3.5.2. Relationship Between Pore Structure and Multifractal Dimension During Pyrolysis
3.5.3. Pore Heterogeneity Variation and Multifractal Dimension During Hydrous Pyrolysis
4. Conclusions
Author Contributions
Funding
Data Availability Statement
Conflicts of Interest
References
- Loucks, R.G.; Reed, R.M.; Ruppel, S.C.; Jarvie, D.M. Morphology, genesis, and distribution of nanometer-scale pores in siliceous mudstones of the Mississippian Barnett Shale. J. Sediment. Res. 2009, 79, 848–861. [Google Scholar] [CrossRef]
- Ross, D.J.; Bustin, R.M. The importance of shale composition and pore structure upon gas storage potential of shale gas reservoirs. Mar. Pet. Geol. 2009, 26, 916–927. [Google Scholar] [CrossRef]
- Li, T.; Jiang, Z.; Xu, C.; Liu, B.; Liu, G.; Wang, P.; Li, X.; Chen, W.; Ning, C.; Wang, Z. Effect of pore structure on shale oil accumulation in the Lower Third Member of the Shahejie Formation, Zhanhua Sag, eastern China: Evidence from gas adsorption and nuclear magnetic resonance. Mar. Pet. Geol. 2017, 88, 932–949. [Google Scholar] [CrossRef]
- Liu, X.; Lai, J.; Fan, X.; Shu, H.; Wang, G.; Ma, X.; Liu, M.; Guan, M.; Luo, Y. Insights in the pore structure, fluid mobility and oiliness in oil shales of Paleogene Funing Formation in Subei Basin, China. Mar. Pet. Geol. 2020, 114, 104228. [Google Scholar] [CrossRef]
- Zhu, C.; Guo, W.; Li, Y.; Gong, H.; Sheng, J.; Dong, M. Effect of occurrence states of fluid and pore structures on shale oil movability. Fuel. 2021, 288, 119847. [Google Scholar] [CrossRef]
- Liu, K.; Ostadhassan, M.; Zou, J.; Gentzis, T.; Rezaee, R.; Bubach, B.; Carvajal-Ortiz, H. Multifractal analysis of gas adsorption isotherms for pore structure characterization of the Bakken Shale. Fuel 2018, 219, 296–311. [Google Scholar] [CrossRef]
- Milliken, K.L.; Curtis, M.E. Imaging pores in sedimentary rocks: Foundation of porosity prediction. Mar. Pet. Geol. 2016, 73, 590–608. [Google Scholar] [CrossRef]
- Liang, Z.; Jiang, Z.; Li, Z.; Song, Y.; Gao, F.; Liu, X.; Xiang, S. Nanopores structure and multifractal characterization of bulk shale and isolated kerogen—An application in Songliao Basin, China. Energy Fuels 2021, 35, 5818–5842. [Google Scholar] [CrossRef]
- Simon, R.E.; Johnson, S.C.; Khatib, O.; Raschke, M.B.; Budd, D.A. Correlative nano-spectroscopic imaging of heterogeneity in migrated petroleum in unconventional reservoir pores. Fuel 2021, 300, 120836. [Google Scholar] [CrossRef]
- Brun, M.; Lallemand, A.; Quinson, J.; Eyraud, C. A new method for the simultaneous determination of the size and shape of pores: The thermoporometry. Thermochim. Acta 1977, 21, 59–88. [Google Scholar] [CrossRef]
- Enninful, H.R.; Schneider, D.; Kohns, R.; Enke, D.; Valiullin, R. A novel approach for advanced thermoporometry characterization of mesoporous solids: Transition kernels and the serially connected pore model. Microporous Mesoporous Mater. 2020, 309, 110534. [Google Scholar] [CrossRef]
- Clarkson, C.R.; Solano, N.; Bustin, R.M.; Bustin, A.M.M.; Chalmers, G.R.; He, L.; Melnichenko, Y.B.; Radliński, A.P.; Blach, T.P. Pore structure characterization of North American shale gas reservoirs using USANS/SANS, gas adsorption, and mercury intrusion. Fuel 2013, 103, 606–616. [Google Scholar] [CrossRef]
- Xu, L.; Yang, K.; Wei, H.; Liu, L.; Li, X.; Chen, L.; Xu, T.; Wang, X. Full-scale pore structure characteristics and the main controlling factors of Mesoproterozoic Xiamaling Shale in Zhangjiakou, Hebei, China. Nanomaterials 2021, 11, 527. [Google Scholar] [CrossRef] [PubMed]
- Gregg, S.J.; Sing, K.S.W.; Salzberg, H.W. Adsorption surface area and porosity. J. Electrochem. Soc. 1967, 114, 279Ca. [Google Scholar] [CrossRef]
- Seaton, N.A.; Walton, J.; Quirke, N. A new analysis method for the determination of the pore size distribution of porous carbons from nitrogen adsorption measurements. Carbon 1989, 27, 853–861. [Google Scholar] [CrossRef]
- Lastoskie, C.; Gubbins, K.E.; Quirke, N. Pore size distribution analysis of microporous carbons: A density functional theory approach. J. Phys. Chem. 1993, 97, 4786–4796. [Google Scholar] [CrossRef]
- Ravikovitch, P.I.; Neimark, A.V. Density functional theory model of adsorption on amorphous and microporous silica materials. Langmuir 2006, 22, 11171–11179. [Google Scholar] [CrossRef]
- Neimark, A.V.; Lin, Y.; Ravikovitch, P.I. Quenched solid density functional theory and pore size analysis of micro-mesoporous carbons. Carbon 2009, 47, 1617–1628. [Google Scholar] [CrossRef]
- Sun, M.; Yu, B.; Hu, Q.; Yang, R.; Zhang, Y.; Li, B.; Melnichenko, Y.B.; Cheng, G.; Thommes, M. Pore structure characterization of organic-rich Niutitang shale from China: Small angle neutron scattering (SANS) study. Int. J. Coal Geol. 2018, 186, 115–125. [Google Scholar] [CrossRef]
- Kausik, R.; Fellah, K.; Rylander, E.; Singer, P.M.; Lewis, R.E.; Sinclair, S.M. NMR relaxometry in shale and implications for logging. Petrophysics 2016, 57, 339–350. [Google Scholar]
- Rylander, E.; Philip, M.S.; Jiang, T.; Lewis, R.; Sinclair, S.; Mclin, R.H. NMR T2 Distributions in the eagle ford shale: Reflections on pore size. In Proceedings of the SPE Unconventional Resources Conference-USA, The Woodlands, TX, USA, 10–12 April 2013. [Google Scholar]
- Wang, L.; Yang, D.; Kang, Z. Evolution of permeability and mesostructure of oil shale exposed to high-temperature water vapor. Fuel 2021, 290, 119786. [Google Scholar] [CrossRef]
- Krzyżak, A.T.; Habina-Skrzyniarz, I.; Machowski, G.; Mazur, M. Overcoming the barriers to the exploration of nanoporous shales porosity. Microporous Mesoporous Mater. 2020, 298, 110003. [Google Scholar] [CrossRef]
- Loucks, R.G.; Reed, R.M.; Ruppel, S.C.; Hammes, U. Spectrum of pore types and networks in mudrocks and a descriptive classification for matrix-related mudrock pores. AAPG Bull. 2012, 96, 1071–1098. [Google Scholar] [CrossRef]
- Kuila, U.; Mccarty, D.K.; Derkowski, A.; Fischer, T.B.; Topór, T.; Prasad, M. Nano-scale texture and porosity of organic matter and clay minerals in organic-rich mudrocks. Fuel 2014, 135, 359–373. [Google Scholar] [CrossRef]
- Mastalerz, M.; Schimmelmann, A.; Drobniak, A.; Chen, Y. Porosity of Devonian and Mississippian New Albany Shale across a maturation gradient: Insights from organic petrology, gas adsorption, and mercury intrusion. AAPG Bull. 2013, 97, 1621–1643. [Google Scholar] [CrossRef]
- Wang, L.; Zhao, Y.; Yang, D.; Kang, Z.; Zhao, J. Effect of pyrolysis on oil shale using superheated steam: A case study on the Fushun oil shale, China. Fuel 2019, 253, 1490–1498. [Google Scholar] [CrossRef]
- Kang, Z.; Zhao, Y.; Yang, D. Review of oil shale in-situ conversion technology. Appl. Energy 2020, 269, 115121. [Google Scholar] [CrossRef]
- Chen, J.; Xiao, X. Evolution of nanoporosity in organic-rich shales during thermal maturation. Fuel 2014, 129, 173–181. [Google Scholar] [CrossRef]
- Guo, H.; Jia, W.; He, R.; Yu, C.; Song, J.; Peng, P. Distinct evolution trends of nanometer-scale pores displayed by the pyrolysis of organic matter-rich lacustrine shales: Implications for the pore development mechanisms. Mar. Pet. Geol. 2020, 121, 104622. [Google Scholar] [CrossRef]
- Ko, L.T.; Ruppel, S.C.; Loucks, R.G.; Hackley, P.C.; Zhang, T.; Shao, D. Pore-types and pore-network evolution in Upper Devonian-Lower Mississippian Woodford and Mississippian Barnett mudstones: Insights from laboratory thermal maturation and organic petrology. Int. J. Coal Geol. 2018, 190, 3–28. [Google Scholar] [CrossRef]
- Agrawal, V.; Sharma, S. Molecular characterization of kerogen and its implications for determining hydrocarbon potential, organic matter sources and thermal maturity in Marcellus Shale. Fuel 2018, 228, 429–437. [Google Scholar] [CrossRef]
- Kelemen, S.R.; Sansone, M.; Walters, C.C.; Kwiated, P.J.; Bolin, T. Thermal transformations of organic and inorganic sulfur in Type II kerogen quantified by S-XANES. Geochim. Cosmochim. Acta 2012, 83, 61–78. [Google Scholar] [CrossRef]
- Kang, Z.; Zhao, Y.; Yang, D.; Tian, L.; Li, X. A pilot investigation of pyrolysis from oil and gas extraction from oil shale by in-situ superheated steam injection. J. Pet. Sci. Eng. 2020, 186, 106785. [Google Scholar] [CrossRef]
- Tang, X.; Zhang, J.; Jiang, Z.; Zhao, X.; Liu, K.; Zhang, R.; Xiong, J.; Du, K.; Huang, Z.; Yu, J. Characteristics of solid residue, expelled and retained hydrocarbons of lacustrine marlstone based on semi-closed system hydrous pyrolysis: Implications for tight oil exploration. Fuel 2015, 162, 186–193. [Google Scholar] [CrossRef]
- Sun, L.; Tuo, J.; Zhang, M.; Wu, C.; Chai, S. Pore structures and fractal characteristics of nano-pores in shale of Lucaogou Formation from Junggar Basin during water pressure-controlled artificial pyrolysis. J. Anal. Appl. Pyrolysis 2019, 140, 404–412. [Google Scholar] [CrossRef]
- Wu, Y.; Zhang, Z.; Sun, L.; Li, Y.; Zhang, M.; Ji, L. Stable isotope reversal and evolution of gas during the hydrous pyrolysis of continental kerogen in source rocks under supercritical conditions. Int. J. Coal Geol. 2019, 205, 105–114. [Google Scholar] [CrossRef]
- Wu, S.; Yang, Z.; Zhai, X.; Cui, J.; Bai, L.; Pan, S.; Cui, J. An experimental study of organic matter, minerals and porosity evolution in shales within high-temperature and high-pressure constraints. Mar. Pet. Geol. 2019, 102, 377–390. [Google Scholar] [CrossRef]
- Krohn, C.E. Fractal measurements of sandstones, shales, and carbonates. J. Geophys. Res. Solid Earth 1988, 93, 3297–3305. [Google Scholar] [CrossRef]
- Li, W.; Liu, H.; Song, X. Multifractal analysis of Hg pore size distributions of tectonically deformed coals. Int. J. Coal Geol. 2015, 144, 138–152. [Google Scholar] [CrossRef]
- Zhao, P.; Wang, Z.; Sun, Z.; Cai, J.; Wang, L. Investigation on the pore structure and multifractal characteristics of tight oil reservoirs using NMR measurements: Permian Lucaogou Formation in Jimusaer Sag, Junggar Basin. Mar. Pet. Geol. 2017, 86, 1067–1081. [Google Scholar] [CrossRef]
- Yang, F.; Ning, Z.; Liu, H. Fractal characteristics of shales from a shale gas reservoir in the Sichuan Basin, China. Fuel 2014, 115, 378–384. [Google Scholar] [CrossRef]
- Zhang, S.; Tang, S.; Tang, D.; Huang, W.; Pan, Z. Determining fractal dimensions of coal pores by FHH model: Problems and effects. J. Nat. Gas Sci. Eng. 2014, 21, 929–939. [Google Scholar] [CrossRef]
- Bu, H.; Ju, Y.; Tan, J.; Wang, G.; Li, X. Fractal characteristics of pores in non-marine shales from the Huainan coalfield, eastern China. J. Nat. Gas Sci. Eng. 2015, 24, 166–177. [Google Scholar] [CrossRef]
- Wang, M.; Xue, H.; Tian, S.; Wilkins, R.W.; Wang, Z. Fractal characteristics of Upper Cretaceous lacustrine shale from the Songliao Basin, NE China. Mar. Pet. Geol. 2015, 67, 144–153. [Google Scholar] [CrossRef]
- Gauden, P.A.; Terzyk, A.P.; Rychlicki, G. The new correlation between microporosity of strictly microporous activated carbons and fractal dimension on the basis of the Polanyi–Dubinin theory of adsorption. Carbon 2001, 39, 267–278. [Google Scholar] [CrossRef]
- Yao, Y.; Liu, D.; Tang, D.; Tang, S.; Huang, W.; Liu, Z.; Che, Y. Fractal characterization of seepage-pores of coals from China: An investigation on permeability of coals. Comput. Geosci. 2009, 35, 1159–1166. [Google Scholar] [CrossRef]
- Friesen, W.I.; Mikula, R.J. Fractal dimensions of coal particles. J. Colloid Interface Sci. 1987, 120, 263–271. [Google Scholar] [CrossRef]
- Li, Y.H.; Lu, G.Q.; Rudolph, V. Compressibility and fractal dimension of fine coal particles in relation to pore structure characterisation using mercury porosimetry. Part. Part. Syst. Charact. Meas. Descr. Part. Prop. Behav. Powders Other Disperse Syst. 1999, 16, 25–31. [Google Scholar] [CrossRef]
- Muller, J.; Mccauley, J.L. Implication of fractal geometry for fluid flow properties of sedimentary rocks. Transp. Porous Media 1992, 8, 133–147. [Google Scholar] [CrossRef]
- Glema, A.; Bodygowski, T.; Sumelka, W. Nowacki’s double shear test in the framework of the anisotropic thermo-elasto-viscoplastic material model. J. Theor. Appl. Mech. 2010, 48, 973–1001. [Google Scholar]
- Manzari, M.T.; Yonten, K. On implementation and performance of an anisotropic constitutive model for clays. Int. J. Comput. Methods 2014, 11, 1342009. [Google Scholar] [CrossRef]
- Wang, X.; Jiang, Z.; Jiang, S.; Chang, J.; Li, X.; Wang, X.; Zhu, L. Pore evolution and formation mechanism of organic-rich shales in the whole process of hydrocarbon generation: Study of artificial and natural shale samples. Energy Fuels 2019, 34, 332–347. [Google Scholar] [CrossRef]
- Wang, Y.; Qiu, N.; Borjigin, T.; Shen, B.; Xie, X.; Ma, Z.; Lu, C.; Yang, Y.; Yang, L.; Cheng, L.; et al. Integrated assessment of thermal maturity of the Upper Ordovician-Lower Silurian Wufeng-Longmaxi Shale in Sichuan Basin, China. Mar. Pet. Geol. 2019, 100, 447–465. [Google Scholar] [CrossRef]
- Liu, K.; Ostadhassan, M.; Hackley, P.C.; Gentzis, T.; Zou, J.; Yuan, Y.; Carvajal-Ortiz, H.; Rezaee, R.; Bubach, B. Experimental study on the impact of thermal maturity on shale microstructures using hydrous pyrolysis. Energy Fuels 2019, 33, 9702–9719. [Google Scholar] [CrossRef]
- Tissot, B.P.; Welte, D.H. Petroleum Formation and Occurrence; Springer: Berlin/Heidelberg, Germany, 1984. [Google Scholar]
- Hunt, J.M. Petroleum Geology and Geochemistry, 2nd ed.; Freeman: New York, NY, USA, 1966. [Google Scholar]
- Song, D.; Tuo, J.; Wu, C.; Zhang, M.; Su, L. Comparison of pore evolution for a Mesoproterozoic marine shale and a Triassic terrestrial mudstone during artificial maturation experiments. J. Nat. Gas Sci. Eng. 2020, 75, 103–113. [Google Scholar] [CrossRef]

















| Temp. (°C) | Whole Minerals (%) | Clay Minerals (%) | ||||||||
|---|---|---|---|---|---|---|---|---|---|---|
| Quartz | Potash Feldspar | Sodium Feldspar | Calcite | Dolomite | Zeolite | Clays | Illite | I/S | Chlorite | |
| 23 | 17.9 | 5.4 | 3.8 | 3.8 | 21.3 | 31.5 | 16.3 | 47 | 43 | 10 |
| 250 | 20.6 | 5.7 | 4.6 | 3.6 | 21.2 | 30.6 | 13.7 | 49 | 42 | 9 |
| 300 | 25.6 | 5.6 | 5.9 | 3.7 | 18.1 | 29.2 | 11.9 | 50 | 42 | 8 |
| 325 | 27.4 | 6.8 | 4.3 | 3.3 | 16.2 | 30.6 | 11.4 | 49 | 42 | 9 |
| 350 | 26.1 | 8.2 | 4.5 | 3.5 | 17.4 | 28.5 | 11.8 | 58 | 35 | 7 |
| 375 | 27.8 | 7.8 | 6.6 | 3.4 | 15.2 | 28.3 | 10.9 | 62 | 32 | 6 |
| 400 | 28.2 | 8.2 | 5.8 | 2.8 | 13.3 | 31.4 | 10.3 | 66 | 28 | 6 |
| 425 | 28.1 | 8.6 | 7.4 | 2.1 | 11.8 | 32.3 | 9.7 | 69 | 26 | 5 |
| Temp. (°C) | TOC (%) | S1 (mg/g) | S2 (mg/g) | S1 + S2 (mg/g) | HI (mg/g TOC) | OSI (mg/g) | PI | PC (wt.%) |
|---|---|---|---|---|---|---|---|---|
| 23 | 2.27 | 0.76 | 15.39 | 16.15 | 679 | 33 | 0.05 | 1.39 |
| 250 | 2.13 | 0.51 | 12.6 | 13.11 | 591 | 24 | 0.04 | 1.16 |
| 300 | 2.08 | 0.58 | 12.12 | 12.7 | 584 | 28 | 0.05 | 1.12 |
| 325 | 2.3 | 1.05 | 12.65 | 13.7 | 550 | 46 | 0.08 | 1.21 |
| 350 | 1.68 | 1.2 | 6.92 | 8.12 | 411 | 71 | 0.15 | 0.73 |
| 375 | 1.06 | 0.62 | 2.51 | 3.13 | 235 | 58 | 0.2 | 0.29 |
| 400 | 0.61 | 0.2 | 0.11 | 0.31 | 19 | 33 | 0.64 | 0.05 |
| 425 | 0.55 | 0.19 | 0.13 | 0.32 | 7 | 16 | 0.71 | 0.03 |
| Temp. (°C) | Ro (%) | Extracted | Unextracted | Bound Oil (mg/g) | Bound/ Free Oil | Retained Oil (mg/g) | |||
|---|---|---|---|---|---|---|---|---|---|
| S1 | S2 | S1 | S2 | TOC (%) | |||||
| (mg/g) | (mg/g) | (mg/g) | (mg/g) | ||||||
| 23 | 0.51 | 0.17 | 12.73 | 0.76 | 15.39 | 2.27 | 2.66 | 3.50 | 3.42 |
| 250 | 0.53 | 0.20 | 9.89 | 0.51 | 13.18 | 2.13 | 3.29 | 6.45 | 3.80 |
| 300 | 0.58 | 0.16 | 8.32 | 0.58 | 12.77 | 2.08 | 4.45 | 7.67 | 5.03 |
| 325 | 0.79 | 0.18 | 5.58 | 1.05 | 11.82 | 2.3 | 6.24 | 5.94 | 7.29 |
| 350 | 1.08 | 0.16 | 2.72 | 1.20 | 5.43 | 1.68 | 2.71 | 2.26 | 3.91 |
| 375 | 1.46 | 0.14 | 0.74 | 0.62 | 1.64 | 1.06 | 0.90 | 1.45 | 1.52 |
| 400 | 1.75 | 0.16 | 0.05 | 0.20 | 0.17 | 0.61 | 0.12 | 0.60 | 0.32 |
| 425 | 1.99 | 0.11 | 0.02 | 0.19 | 0.13 | 0.55 | 0.11 | 0.58 | 0.30 |
| Temp. (°C) | Retained Oil (mg/g) | Expelled Oil (mg/g) | Liquid HC (mg/g) | Expelled Gas (mg/g) | Total HC (mg/g) |
|---|---|---|---|---|---|
| 250 | 3.81 | 0.79 | 4.61 | 0.22 | 4.83 |
| 300 | 5.03 | 1.11 | 6.14 | 0.30 | 6.43 |
| 325 | 7.29 | 1.50 | 8.78 | 0.48 | 9.27 |
| 350 | 3.91 | 6.00 | 9.91 | 0.82 | 10.7 |
| 375 | 1.52 | 8.25 | 9.77 | 1.11 | 10.9 |
| 400 | 0.32 | 8.02 | 8.34 | 3.02 | 11.4 |
| 425 | 0.30 | 6.63 | 6.93 | 4.49 | 11.4 |
| Sample | CGP-Micropores | NGP-Mesopores | NGP-Macropores | (CGP + NGP)-Total | ||||
|---|---|---|---|---|---|---|---|---|
| ID | Volume | SSA | Volume | SSA | Volume | SSA | Volume | SSA |
| (10−3 cm3/g) | (m2/g) | (10−3 cm3/g) | (m2/g) | (10−3 cm3/g) | (m2/g) | (10−3 cm3/g) | (m2/g) | |
| 23 °C | 0.456 | 1.307 | 21.9 | 3.54 | 7.14 | 0.173 | 29.59 | 5.02 |
| 250 °C | 0.475 | 0.791 | 20.0 | 3.35 | 6.96 | 0.166 | 27.4 | 4.31 |
| 300 °C | 0.311 | 0.538 | 16.3 | 2.46 | 7.99 | 0.181 | 24.6 | 3.18 |
| 325 °C | 0.238 | 0.405 | 16.1 | 2.26 | 10.3 | 0.230 | 26.7 | 2.89 |
| 350 °C | 0.344 | 0.587 | 14.4 | 1.94 | 12.0 | 0.253 | 26.8 | 2.78 |
| 375 °C | 0.853 | 0.857 | 15.4 | 2.04 | 12.6 | 0.267 | 28.8 | 3.17 |
| 400 °C | 1.176 | 1.64 | 15.4 | 1.85 | 16.2 | 0.342 | 32.8 | 3.83 |
| 425 °C | 1.367 | 2.359 | 17.9 | 2.04 | 20.1 | 0.438 | 39.4 | 4.84 |
| Temperature (°C) | D1 | D2 | D−10 | D10 | a−10 | a10 | a0 | amin−amax | Dmin−Dmax | H |
|---|---|---|---|---|---|---|---|---|---|---|
| 23 | 0.5513 | 0.3486 | 1.8528 | 0.2077 | 2.0120 | 0.1869 | 1.4809 | 1.8251 | 1.6451 | 0.6743 |
| 250 | 0.4504 | 0.2350 | 1.5860 | 0.1341 | 1.6908 | 0.1207 | 1.4952 | 1.5701 | 1.4519 | 0.6175 |
| 300 | 0.4188 | 0.1996 | 1.4858 | 0.1122 | 1.6157 | 0.1010 | 1.4655 | 1.5147 | 1.3736 | 0.5998 |
| 325 | 0.3838 | 0.1722 | 1.3488 | 0.0964 | 1.4642 | 0.0868 | 1.4620 | 1.3774 | 1.2523 | 0.5861 |
| 350 | 0.4071 | 0.1861 | 1.3768 | 0.1039 | 1.4907 | 0.0935 | 1.4484 | 1.3971 | 1.2729 | 0.5930 |
| 375 | 0.4009 | 0.1887 | 1.4926 | 0.1058 | 1.5918 | 0.0952 | 1.5104 | 1.4965 | 1.3867 | 0.5943 |
| 400 | 0.3948 | 0.1907 | 1.7531 | 0.1072 | 1.9210 | 0.0965 | 1.5759 | 1.8245 | 1.6459 | 0.5953 |
| 425 | 0.3999 | 0.1959 | 1.8211 | 0.1101 | 1.9957 | 0.0991 | 1.5905 | 1.8966 | 1.7111 | 0.5979 |
Disclaimer/Publisher’s Note: The statements, opinions and data contained in all publications are solely those of the individual author(s) and contributor(s) and not of MDPI and/or the editor(s). MDPI and/or the editor(s) disclaim responsibility for any injury to people or property resulting from any ideas, methods, instructions or products referred to in the content. |
© 2024 by the authors. Licensee MDPI, Basel, Switzerland. This article is an open access article distributed under the terms and conditions of the Creative Commons Attribution (CC BY) license (https://creativecommons.org/licenses/by/4.0/).
Share and Cite
Liang, X.; Hu, Q.; Pu, X.; Li, W.; Wang, Q.; Sun, M.; Han, W. Multifractal Methods in Characterizing Pore Structure Heterogeneity During Hydrous Pyrolysis of Lacustrine Shale. Fractal Fract. 2024, 8, 657. https://doi.org/10.3390/fractalfract8110657
Liang X, Hu Q, Pu X, Li W, Wang Q, Sun M, Han W. Multifractal Methods in Characterizing Pore Structure Heterogeneity During Hydrous Pyrolysis of Lacustrine Shale. Fractal and Fractional. 2024; 8(11):657. https://doi.org/10.3390/fractalfract8110657
Chicago/Turabian StyleLiang, Xiaofei, Qinhong Hu, Xiugang Pu, Wei Li, Qiming Wang, Mengdi Sun, and Wenzhong Han. 2024. "Multifractal Methods in Characterizing Pore Structure Heterogeneity During Hydrous Pyrolysis of Lacustrine Shale" Fractal and Fractional 8, no. 11: 657. https://doi.org/10.3390/fractalfract8110657
APA StyleLiang, X., Hu, Q., Pu, X., Li, W., Wang, Q., Sun, M., & Han, W. (2024). Multifractal Methods in Characterizing Pore Structure Heterogeneity During Hydrous Pyrolysis of Lacustrine Shale. Fractal and Fractional, 8(11), 657. https://doi.org/10.3390/fractalfract8110657

