The Multiple Frequency Conversion Sinusoidal Chaotic Neural Network and Its Application
Abstract
:1. Introduction
2. MFCS Chaotic Neuron Model
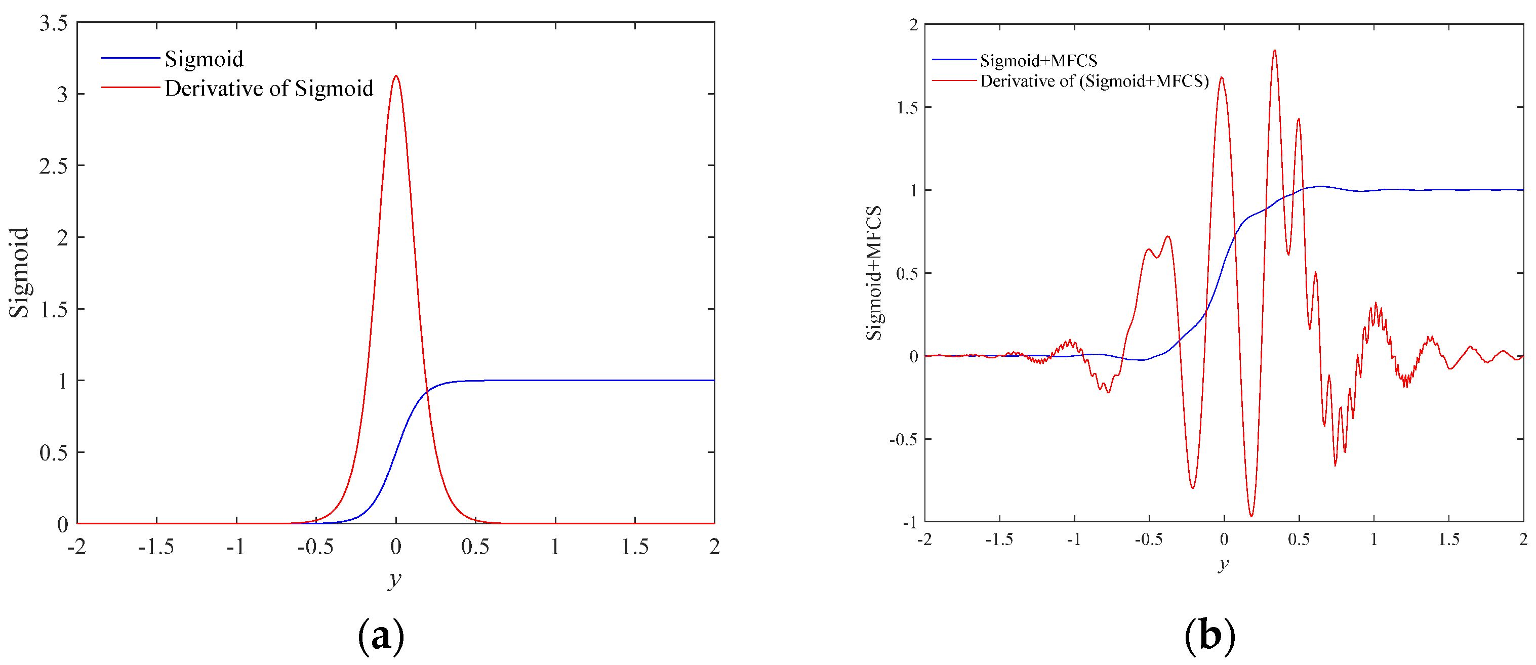
2.1. MFCS Function
2.2. MFCS Chaotic Neuron Model
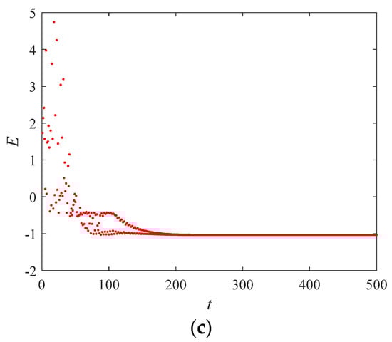
2.3. Analysis of Dynamic Characteristics
3. Multiple Frequency Conversion Sinusoidal Chaotic Neural Network (MFCSCNN) Model
3.1. MFCSCNN Model
3.2. Optimization Mechanism
4. Application of the MFCSCNN Model for Optimization Problems
4.1. Application of the Model for Function Optimization
4.2. Application of the Model for Combinatorial Optimization
5. Conclusions
Author Contributions
Funding
Data Availability Statement
Acknowledgments
Conflicts of Interest
References
- Aihara, K.; Takabe, T.; Toyoda, M. Chaotic neural networks. Phys. Lett. A 1990, 144, 333–340. [Google Scholar] [CrossRef]
- Chen, L.; Aihara, K. Chaotic simulated annealing by a neural network model with transient chaos. Neural Netw. 1995, 8, 915–930. [Google Scholar] [CrossRef]
- Ma, T.; Mou, J.; Li, B.; Banerjee, S.; Yan, H. Study on the complex dynamical behavior of the fractional-order Hopfield neural network system and its implementation. Fractal Fract. 2022, 6, 637. [Google Scholar] [CrossRef]
- Yu, F.; Zhang, Z.; Shen, H.; Huang, Y.; Cai, S.; Du, S. FPGA implementation and image encryption application of a new PRNG based on a memristive Hopfield neural network with a special activation gradient. Chin. Phys. B 2022, 31, 20505. [Google Scholar] [CrossRef]
- Sheikhan, M.; Hemmati, E. Transient chaotic neural network-based disjoint multipath routing for mobile ad-hoc networks. Neural Comput. Appl. 2012, 21, 1403–1412. [Google Scholar] [CrossRef]
- Wang, M.; Wang, Y.; Chu, R. Dynamical analysis of the incommensurate fractional-order Hopfield neural network system and its digital circuit realization. Fractal Fract. 2023, 7, 474. [Google Scholar] [CrossRef]
- Chen, S.; Shih, C. Transiently chaotic neural networks with piecewise linear output functions. Chaos Soliton. Fract. 2009, 39, 717–730. [Google Scholar] [CrossRef]
- Yan, W.; Jiang, Z.; Huang, X.; Ding, Q. Adaptive neural network synchronization control for uncertain fractional-order time-delay chaotic systems. Fractal Fract. 2023, 7, 288. [Google Scholar] [CrossRef]
- Keup, C.; Tobias, K.; Dahmen, D.; Helias, M. Transient chaotic dimensionality expansion by recurrent networks. Phys. Rev. X 2021, 11, 021064. [Google Scholar] [CrossRef]
- Yang, L.; Chen, T.; Huang, W. Dynamics of transiently chaotic neural network and its application to optimization. Commun. Theor. Phys. 2001, 35, 22–27. [Google Scholar]
- Shuai, J.; Chen, Z.; Liu, R.; Wu, B. Self-evolution neural model. Phys. Lett. A 1996, 221, 311–316. [Google Scholar] [CrossRef]
- Potapov, A.; Ali, M.K. Robust chaos in neural networks. Phys. Lett. A 2000, 277, 310–322. [Google Scholar] [CrossRef]
- Uykan, Z. Fast-Convergent double-sigmoid hopfield neural network as applied to optimization problems. IEEE Trans. Neural Netw. Learn. Syst. 2013, 24, 990–996. [Google Scholar] [CrossRef] [PubMed]
- Yu, S.; Huan, R.; Zhang, Y.; Feng, D. Novel improved blind detection algorithms based on chaotic neural networks. Acta Phys. Sin. 2014, 63, 060701. [Google Scholar]
- Xu, Y.; Sun, M. Shannon wavelet chaotic neural network and its solution to TSP. Control Theory Appl. 2008, 25, 574–577. [Google Scholar]
- Zhang, Y.; Zhang, Z.; Liang, Y.; Yu, S.; Wang, L. Blind signal detection using complex transiently chaotic Hopfield neural network. J. Inform. Hiding Multimed. Signal Process. 2018, 9, 523–530. [Google Scholar]
- Hu, Z.; Li, W.; Qiao, J. Frequency conversion sinusoidal chaotic neural network and its application. Acta Phys. Sin. 2017, 66, 090502. [Google Scholar]
- Hu, Z.; Li, W.; Qiao, J. Frequency conversion sinusoidal chaotic neural network based on self-adaptive simulated annealing. Acta Electron. Sin. 2019, 47, 613–622. [Google Scholar]
- Qiao, J.; Hu, Z.; Li, W. Hysteretic noisy frequency conversion sinusoidal chaotic neural network for traveling salesman problem. Neural Comput. Appl. 2019, 31, 7055–7069. [Google Scholar] [CrossRef]
- Abbott, A. Neuroscience: The brain, interrupted. Nature 2015, 518, 24–26. [Google Scholar] [CrossRef]
- Patel, K.; Katz, C.; Kalia, S.; Popovic, M.; Valiante, T. Volitional control of individual neurons in the human brain. Brain 2021, 144, 3651–3663. [Google Scholar] [CrossRef] [PubMed]
- Thomas, K.P.; Robinson, N.; Prasad, V.A. Separability of motor imagery directions using subject-specific discriminative EEG Features. IEEE Trans. Hum-Mach. Syst. 2021, 51, 544–553. [Google Scholar] [CrossRef]
- Karaka, S.; Herrmann, C.S.; Chiarenza, G.A. A special issue on electroencephalogram (EEG) oscillations: In memoriam of Erol Baar. Int. J. Psychophysiol. 2021, 159, 71–73. [Google Scholar] [CrossRef]
- Cinar, E.; Sahin, F. New classification techniques for electroencephalogram (EEG) signals and a real-time EEG control of a robot. Neural Comput. Appl. 2013, 22, 29–39. [Google Scholar] [CrossRef]
- Zhao, H.; Chen, Y.; Pei, W. Towards online applications of EEG biometrics using visual evoked potentials. Expert Syst. Appl. 2021, 177, 114961. [Google Scholar] [CrossRef]
- Xu, S.; Wang, X.; Ye, X. A new fractional-order chaos system of Hopfield neural network and its application in image encryption. Chaos Soliton. Fract. 2022, 157, 111889. [Google Scholar] [CrossRef]
- Sawoor, A.; Sadkane, M. Lyapunov-based stability of delayed linear differential algebraic systems. Appl. Math. Lett. 2021, 118, 107185. [Google Scholar] [CrossRef]
- Shibata, K.; Ejima, T.; Tokumaru, Y.; Matsuki, T. Sensitivity-Local index to control chaoticity or gradient globally. Neural Netw. 2021, 143, 436–451. [Google Scholar] [CrossRef]
- Li, C.; Yang, Y.; Yang, X.; Zi, X.; Xiao, F. A tristable locally active memristor and its application in Hopfield neural network. Nonlinear Dyn. 2022, 108, 1697–1717. [Google Scholar] [CrossRef]
- Zhao, L.; Sun, M.; Cheng, J.; Xu, Y. A novel chaotic neural network with the ability to characterize local features and its application. IEEE Trans. Neural Netw. 2009, 20, 735–742. [Google Scholar] [CrossRef]
- Wang, L.; Liu, W.; Shi, H. Delay-constrained multicast routing using the noisy chaotic neural networks. IEEE Trans. Comput. 2009, 58, 82–89. [Google Scholar] [CrossRef]
- Li, M.; Zhang, R.; Yan, S. Adaptive synchronization of a class of fractional-order complex-valued chaotic neural network with time-delay. Chin. Phys. B 2021, 30, 120503. [Google Scholar] [CrossRef]
- Karakostas, P.; Sifaleras, A. A double-adaptive general variable neighborhood search algorithm for the solution of the traveling salesman problem. Appl. Soft Comput. 2022, 121, 108746. [Google Scholar] [CrossRef]
- Huerta, I.; Neira, D.; Ortega, D.; Varas, V.; Godoy, J.; Asin-Acha, R. Improving the state-of-the-art in the traveling salesman problem: An anytime automatic algorithm selection. Expert Syst. Appl. 2022, 187, 115948. [Google Scholar] [CrossRef]
- Sun, M.; Lee, K.Y.; Xu, Y. Hysteretic noisy chaotic neural networks for resource allocation in OFDMA system. IEEE Trans. Neural Netw. Learn. Syst. 2018, 29, 273–285. [Google Scholar] [CrossRef]
- Liu, X.; Xiu, C. A novel hysteretic chaotic neural network and its applications. Neurocomputing 2007, 70, 2561–2565. [Google Scholar] [CrossRef]
- Magallón-García, D.A.; Ontanon-Garcia, L.J.; García-López, J.H.; Huerta-Cuéllar, G.; Soubervielle-Montalvo, C. Identification of chaotic dynamics in jerky-based systems by recurrent wavelet first-order neural networks with a morlet wavelet activation function. Axioms 2023, 12, 200. [Google Scholar] [CrossRef]
- Mariescu-Istodor, R.; Frnti, P. Solving the large-scale TSP problem in 1h: Santa claus challenge 2020. Front. Robot. AI 2021, 8, 689908. [Google Scholar] [CrossRef]












| Parameters | Range of Values | Action Characteristics |
|---|---|---|
| A(0) | [0, 1] | determine the FCS weight with c |
| ε(0) | [0.0044, 0.32] | control the lower bound of f; inversely proportional to f |
| φ | [0, 2π] | affect MFCS mutability |
| a | (0, ∞) | proportional to the rate at which A decreases |
| b | [0.56, 1.8] | control the upper bound of f; proportional to the rate at which f increases |
| c | [0, 1] | determine FCS weights with A(0) |
| Parameters | Name | Theoretical Values | Experimental Values | Empirical Values |
|---|---|---|---|---|
| k [1,2] | Memory constant | (0, ∞) | [0, 1] | [0.9, 1] |
| α [1,2,3,4] | Positive parameter | (0, ∞) | (0, 1] | [0.005, 0.1] |
| β [1,2,3,4,5,8] | Annealing factor | [0, 1] | (0, 1) | [0.001, 0.05] |
| z(0) [6,7] | Initial value of self feedback | [0, 1] | [0.7, 1] | [0.6, 0.8] |
| I0 [7,8] | Positive parameter | (0, ∞) | [0, 1] | [0.45, 0.65] |
| ε0 [9,10] | Steepness parameter | [0, ∞) | [0.01, 0.5] | [0.01, 0.1] |
| An(0) [17] | Initial value of the amplitude | [0, ∞) | (0, 1.2] | [0.1, 0.8] |
| εn(0) [18] | Initial value of teepness | (0, ∞) | [0.0044, 0.32] | [0.01, 0.1] |
| an [18] | Positive parameter | (0, ∞) | [1, 10] | [3, 8] |
| bn [19] | Positive parameter | (0, ∞) | [0.56, 1.8] | [0.6, 1.5] |
| cn [19] | Weighting coefficient | (0, ∞) | [0, 1] | [0.2, 0.8] |
| r2 | Random coefficient | [0, 1] | [0, 1] | [0, 1] |
| φn | Phase Angle | [0, 2π] | [0, 2π] | π or 2π |
| Model | NLP | NOP | RLP | RGM |
|---|---|---|---|---|
| HNN [4] | 1582 | 930 | 79.10% | 46.50% |
| TCNN [10] | 1972 | 1809 | 98.60% | 90.45% |
| ITCNN [13] | 2000 | 1900 | 100% | 95.00% |
| NCNN [35] | 2000 | 1910 | 100% | 95.50% |
| FCSCNN [17] | 2000 | 1981 | 100% | 99.05% |
| MFCSCNN | 2000 | 1992 | 100% | 99.60% |
| Model | NLP | NOP | RLP | RGM |
|---|---|---|---|---|
| HNN [4] | 112 | 7 | 56.0% | 3.5% |
| TCNN [10] | 189 | 45 | 94.5% | 22.5% |
| ITCNN [13] | 196 | 52 | 98.0% | 26.0% |
| NCNN [35] | 195 | 60 | 97.5% | 30.0% |
| FCSCNN [17] | 193 | 61 | 96.5% | 30.5% |
| MFCSCNN | 195 | 68 | 97.5% | 34.0% |
| Model | NLP | RLP | BS | J |
|---|---|---|---|---|
| HNN [4] | 32 | 16.0% | 6.4703 | 25.675% |
| TCNN [10] | 103 | 51.5% | 5.7617 | 13.534% |
| ITCNN [13] | 125 | 62.5% | 5.5884 | 10.802% |
| NCNN [35] | 118 | 59.0% | 5.6101 | 11.513% |
| FCSCNN [17] | 136 | 68.0% | 5.4345 | 8.621% |
| MFCSCNN | 146 | 73.0% | 5.4345 | 8.336% |
Disclaimer/Publisher’s Note: The statements, opinions and data contained in all publications are solely those of the individual author(s) and contributor(s) and not of MDPI and/or the editor(s). MDPI and/or the editor(s) disclaim responsibility for any injury to people or property resulting from any ideas, methods, instructions or products referred to in the content. |
© 2023 by the authors. Licensee MDPI, Basel, Switzerland. This article is an open access article distributed under the terms and conditions of the Creative Commons Attribution (CC BY) license (https://creativecommons.org/licenses/by/4.0/).
Share and Cite
Hu, Z.; Guo, Z.; Wang, G.; Wang, L.; Zhao, X.; Zhang, Y. The Multiple Frequency Conversion Sinusoidal Chaotic Neural Network and Its Application. Fractal Fract. 2023, 7, 697. https://doi.org/10.3390/fractalfract7090697
Hu Z, Guo Z, Wang G, Wang L, Zhao X, Zhang Y. The Multiple Frequency Conversion Sinusoidal Chaotic Neural Network and Its Application. Fractal and Fractional. 2023; 7(9):697. https://doi.org/10.3390/fractalfract7090697
Chicago/Turabian StyleHu, Zhiqiang, Zhongjin Guo, Gongming Wang, Lei Wang, Xiaodong Zhao, and Yongfeng Zhang. 2023. "The Multiple Frequency Conversion Sinusoidal Chaotic Neural Network and Its Application" Fractal and Fractional 7, no. 9: 697. https://doi.org/10.3390/fractalfract7090697
APA StyleHu, Z., Guo, Z., Wang, G., Wang, L., Zhao, X., & Zhang, Y. (2023). The Multiple Frequency Conversion Sinusoidal Chaotic Neural Network and Its Application. Fractal and Fractional, 7(9), 697. https://doi.org/10.3390/fractalfract7090697
