Geomechanical Properties of Deep-Sea Pore-Filled Methane Hydrate-Bearing Soils at Critical State Using DEM Analysis
Abstract
:1. Introduction
2. Materials and Methods
3. Results
3.1. Macro-Mechanical Properties of the Pore-Filling Type of MHBS
3.1.1. Stress–Strain Response
3.1.2. Volumetric–Axial Strain Response
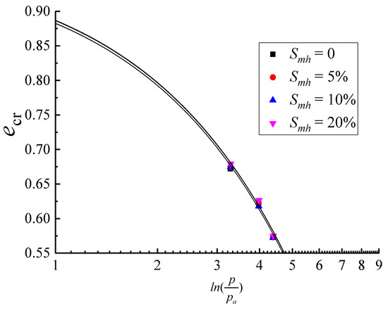
3.1.3. Critical State
3.1.4. Dilatancy
3.2. Micro-Mechanical Properties of the Pore-Filled MHBS
3.2.1. Fabric Component
3.2.2. Contact Rose Diagram
3.2.3. Coordination and Mechanical Coordination Number
4. Discussion
5. Conclusions
Author Contributions
Funding
Data Availability Statement
Conflicts of Interest
References
- Kvenvolden, K.A.; Lorenson, T.D. The global occurrence of natural gas hydrate. Geophys. Monogr. 2001, 124, 3–18. [Google Scholar]
- Kim, H.S.; Cho, G.C.; Lee, J.Y.; Kim, S.J. Geotechnical and geophysical properties of deep marine fine-grained sediments recovered during the second Ulleung Basin Gas Hydrate expedition, East Sea, Korea. Mar. Pet. Geol. 2013, 47, 56–65. [Google Scholar] [CrossRef]
- Konno, Y.; Fujii, T.; Sato, A.; Akamine, K.; Naiki, M.; Masuda, Y.; Yamamoto, K.; Nagao, J. Key findings of the world’s first offshore methane hydrate production test off the coast of Japan: Toward future commercial production. Energy Fuels 2017, 31, 2607–2616. [Google Scholar] [CrossRef]
- Bazaluk, O.; Sai, K.; Lozynskyi, V.; Petlovanyi, M.; Saik, P. Research into Dissociation Zones of Gas Hydrate Deposits with a Heterogeneous Structure in the Black Sea. Energies 2021, 14, 1345. [Google Scholar] [CrossRef]
- Chibura, P.E.; Zhang, W.; Luo, A.; Wang, J. A review on gas hydrate production feasibility for permafrost and marine hydrates. J. Nat. Gas Sci. Eng. 2022, 100, 104441. [Google Scholar] [CrossRef]
- Pedchenko, M.; Pedchenko, L.; Nesterenko, T.; Dyczko, A. Technological solutions for the realization of NGH-technology for gas transportation and storage in gas hydrate form. Solid State Phenom. 2018, 277, 123–136. [Google Scholar] [CrossRef]
- Klymenko, V.; Ovetskyi, S.; Martynenko, V.; Vytiaz, O.; Uhrynovskyi, A. An alternative method of methane production from deposits of subaquatic gas hydrates. Min. Miner. Depos. 2022, 16, 11–17. [Google Scholar] [CrossRef]
- Aladko, E.Y.; Dyadin, Y.A.; Fenelonov, V.B.; Larionov, E.G.; Mel’Gunov, M.S.; Manakov, A.Y.; Nesterov, A.N.; Zhurko, F.V. Dissociation conditions of methane hydrate in mesoporous silica gels in wide ranges of pressure and water content. J. Phys. Chem. B 2004, 108, 16540–16547. [Google Scholar] [CrossRef]
- Hyodo, M.; Yoneda, J.; Yoshimoto, N.; Nakata, Y. Mechanical and dissociation properties of methane hydrate-bearing sand in deep seabed. Soils Found. 2013, 53, 299–314. [Google Scholar] [CrossRef]
- Hyodo, M.; Li, Y.; Yoneda, J.; Nakata, Y.; Yoshimoto, N.; Nishimura, A. Effects of dissociation on the shear strength and deformation behavior of methane hydrate-bearing sediments. Mar. Pet. Geol. 2014, 51, 52–62. [Google Scholar] [CrossRef]
- Priest, J.A.; Clayton, C.R.I.; Rees, E.V.L. Potential impact of gas hydrate and its dissociation on the strength of host sediment in the Krishna–Godavari Basin. Mar. Pet. Geol. 2014, 58, 187–198. [Google Scholar] [CrossRef]
- Handwerger, A.L.; Rempel, A.W.; Skarbek, R.M. Submarine landslides triggered by destabilization of high-saturation hydrate anomalies. Geochem. Geophys. Geosyst. 2017, 18, 2429–2445. [Google Scholar] [CrossRef]
- Song, B.; Cheng, Y.; Yan, C.; Han, Z.; Ding, J.; Li, Y.; Wei, J. Influences of hydrate decomposition on submarine landslide. Landslides 2019, 16, 2127–2150. [Google Scholar] [CrossRef]
- Nian, T.K.; Song, X.L.; Zhao, W.; Jiao, H.B.; Guo, X.S. Submarine slope failure due to overpressure fluid associated with gas hydrate dissociation. Environ. Geotech. 2020, 9, 108–123. [Google Scholar] [CrossRef]
- Zhao, Y.; Kong, L.; Liu, L.; Liu, J. Influence of hydrate exploitation on stability of submarine slopes. Nat. Hazards 2022, 113, 719–743. [Google Scholar] [CrossRef]
- Waite, W.F.; Santamarina, J.C.; Cortes, D.D.; Dugan, B.; Espinoza, D.N.; Germaine, J.; Jang, J.; Jung, J.W.; Kneafsey, T.J.; Shin, H.; et al. Physical properties of hydrate-bearing sediments. Rev. Geophys. 2009, 47. [Google Scholar] [CrossRef]
- He, J.; Blumenfeld, R.; Zhu, H. Mechanical Behaviors of Sandy Sediments Bearing Pore-Filling Methane Hydrate under Different Intermediate Principal Stress. Int. J. Geomech. 2021, 21, 04021043. [Google Scholar] [CrossRef]
- He, J.; Zhu, H.; Zhou, M. DEM-Based Study on the Mechanical Behaviors of Pore-Filling MHBS under Drained True Triaxial Conditions Varying the Intermediate Stress Ratio of Constant Mean Effective Stresses. Int. J. Geomech. 2022, 22, 04022132. [Google Scholar] [CrossRef]
- Cohen, E.; Klar, A. Micromechanical modeling of the effect of dissociation on the mechanical response of hydrate-bearing sediments. Granul. Matter 2022, 24, 84. [Google Scholar] [CrossRef]
- Miyazaki, K.; Masui, A.; Sakamoto, Y.; Aoki, K.; Tenma, N.; Yamaguchi, T. Triaxial compressive properties of artificial methane-hydrate-bearing sediment. J. Geophys. Res. 2011, 116, B06102. [Google Scholar] [CrossRef]
- Choi, J.H.; Dai, S.; Lin, J.S.; Seol, Y. Multistage Triaxial Tests on Laboratory-Formed Methane Hydrate-Bearing Sediments. J. Geophy. Res. Solid Earth 2018, 123, 3347–3357. [Google Scholar] [CrossRef]
- Wang, L.; Sun, X.; Shen, S.; Wu, P.; Liu, T.; Liu, W.; Zhao, J.; Li, Y. Undrained triaxial tests on water-saturated methane hydrate–bearing clayey-silty sediments of the South China Sea. Can. Geotech. J. 2021, 58, 351–366. [Google Scholar] [CrossRef]
- Desrues, J.; Viggiani, G. Strain localization in sand: An overview of the experimental results obtained in Grenoble using stereophotogrammetry. Int. J. Numer. Anal. Methods Geomech. 2004, 28, 279–321. [Google Scholar] [CrossRef]
- Thornton, C.; Zhang, L. A numerical examination of shear banding and simple shear non-coaxial flow rules. Philos. Mag. 2006, 86, 3425–3452. [Google Scholar] [CrossRef]
- Jin, S.; Nagao, J.; Takeya, S.; Jin, Y.; Hayashi, J.; Kamata, Y.; Ebinuma, T.; Narita, H. Structure investigation of methane hydrate sediments by microfocus X-ray computed tomography technique under high-pressure conditions. J. Appl. Phys. 2006, 45, L714. [Google Scholar] [CrossRef]
- Kerkar, P.B.; Horvat, K.; Jones, K.W.; Mahajan, D. Imaging methane hydrates growth dynamics in porous media using synchrotron X-ray computed microtomography. Geochem. Geophys. Geosyst. 2014, 15, 4759–4768. [Google Scholar] [CrossRef]
- Priest, J.A.; Rees, E.V.L.; Clayton, C.R.I. Influence of gas hydrate morphology on the seismic velocities of sands. J. Geophys. Res. 2009, 114, B11205. [Google Scholar] [CrossRef]
- Brugada, J.; Cheng, Y.P.; Soga, K.; Santamarina, J.C. Discrete element modelling of geomechanical behaviour of methane hydrate soils with pore-filling hydrate distribution. Granul. Matter 2010, 12, 517–525. [Google Scholar] [CrossRef]
- Dai, S.; Santamarina, J.C.; Waite, W.F.; Kneafsey, T.J. Hydrate morphology: Physical properties of sands with patchy hydrate saturation. J. Geophy. Res. Solid Earth 2012, 117. [Google Scholar] [CrossRef]
- Katagiri, J.; Konno, Y.; Yoneda, J.; Tenma, N. Pore-scale modeling of flow in particle packs containing grain-coating and pore-filling hydrates: Verification of a Kozeny–Carman-based permeability reduction model. J. Nat. Gas Sci. Eng. 2017, 45, 537–551. [Google Scholar] [CrossRef]
- Yan, R.; Yan, M.; Yu, H.; Yang, D. Influence of Temperature and Pore Pressure on Geomechanical Behavior of Methane Hydrate-Bearing Sand. Int. J. Geomech. 2022, 22, 04022201. [Google Scholar] [CrossRef]
- Li, T.; Li, L.; Liu, J.; Zhou, H. Influence of hydrate participation on the mechanical behaviour of fine-grained sediments under one-dimensional compression: A DEM study. Granul. Matter 2022, 24, 32. [Google Scholar] [CrossRef]
- Cundall, P.A.; Strack, O.D.L. The distinct numerical model for granular assemblies. Géotechnique 1979, 29, 47–65. [Google Scholar] [CrossRef]
- Wang, J.; Gutierrez, M.S. Discrete element simulation of direct shear specimen scale effects. Géotechnique 2010, 60, 395–409. [Google Scholar] [CrossRef]
- Estrada, N.; Taboada, A. Yield surfaces and plastic potentials of cemented granular materials from discrete element simulations. Comput. Geotech. 2013, 49, 62–69. [Google Scholar] [CrossRef]
- Ding, Y.; Qian, A.; Lu, H.; Li, Y.; Zhang, Y. DEM investigation of the effect of hydrate morphology on the mechanical properties of hydrate-bearing sands. Comput. Geotech. 2022, 143, 104603. [Google Scholar] [CrossRef]
- Huang, X.; Hanley, K.J.; O’Sullivan, C.; Kwok, C.Y. Exploring the influence of interparticle friction on critical state behaviour using DEM. Int. J. Numer. Anal. Methods Geomech. 2014, 38, 1276–1297. [Google Scholar] [CrossRef]
- Tziachris, P.; Aschonitis, V.; Chatzistathis, T.; Papadopoulou, M. Assessment of spatial hybrid methods for predicting soil organic matter using DEM derivatives and soil parameters. Catena 2019, 174, 206–216. [Google Scholar] [CrossRef]
- Khosravi, A.; Martinez, A.; DeJong, J.T. Discrete element model (DEM) simulations of cone penetration test (CPT) measurements and soil classification. Can. Geotech. J. 2020, 57, 1369–1387. [Google Scholar] [CrossRef]
- Li, Y.; Song, Y.; Liu, W.; Yu, F. Experimental research on the mechanical properties of methane hydrate-ice mixtures. Energies 2012, 5, 181–192. [Google Scholar] [CrossRef]
- Potyondy, D.O.; Cundall, P.A. A bonded-particle model for rock. Int. J. Rock. Mech. Min. 2004, 41, 1329–1364. [Google Scholar] [CrossRef]
- Wang, J.; Yan, H. On the role of particle breakage in the shear failure behavior of granular soils by DEM. Int. J. Numer. Anal. Methods Geomech. 2011, 37, 832–854. [Google Scholar] [CrossRef]
- Sun, D.A.; Huang, W.X.; Yao, Y.P. An experimental study of failure and softening in sand under three-dimensional stress condition. Granul. Matter 2008, 10, 187–195. [Google Scholar] [CrossRef]
- Roscoe, K.H. The influence of strains in soil mechanics. Geotechnique 1970, 20, 129–170. [Google Scholar] [CrossRef]
- Li, X.S.; Dafalias, Y.F. Dilatancy for cohesionless soils. Géotechnique 2000, 50, 449–460. [Google Scholar] [CrossRef]
- Thornton, C. Numerical simulations of deviatoric shear deformation of granular media. Géotechnique 2000, 50, 43–53. [Google Scholar] [CrossRef]





















| Parameters | Value | Parameters | Value |
|---|---|---|---|
| Soil density/(g/cm3) | 2.65 | MH density/(g/cm3) | 0.9 |
| Wall normal stiffness/(N/m) | 1.5 × 105 | Wall tangential stiffness/(N/m) | 1.0 × 105 |
| /(N/m) | 1.5 × 105 | /(N/m) | 1.0 × 105 |
| /(N/m) | 1.5 × 104 | /(N/m) | 1.0 × 104 |
| 0.5 | 0.04 |
Disclaimer/Publisher’s Note: The statements, opinions and data contained in all publications are solely those of the individual author(s) and contributor(s) and not of MDPI and/or the editor(s). MDPI and/or the editor(s) disclaim responsibility for any injury to people or property resulting from any ideas, methods, instructions or products referred to in the content. |
© 2023 by the authors. Licensee MDPI, Basel, Switzerland. This article is an open access article distributed under the terms and conditions of the Creative Commons Attribution (CC BY) license (https://creativecommons.org/licenses/by/4.0/).
Share and Cite
He, J.; Li, T.; Rui, Y. Geomechanical Properties of Deep-Sea Pore-Filled Methane Hydrate-Bearing Soils at Critical State Using DEM Analysis. Fractal Fract. 2023, 7, 681. https://doi.org/10.3390/fractalfract7090681
He J, Li T, Rui Y. Geomechanical Properties of Deep-Sea Pore-Filled Methane Hydrate-Bearing Soils at Critical State Using DEM Analysis. Fractal and Fractional. 2023; 7(9):681. https://doi.org/10.3390/fractalfract7090681
Chicago/Turabian StyleHe, Jie, Tao Li, and Yi Rui. 2023. "Geomechanical Properties of Deep-Sea Pore-Filled Methane Hydrate-Bearing Soils at Critical State Using DEM Analysis" Fractal and Fractional 7, no. 9: 681. https://doi.org/10.3390/fractalfract7090681
APA StyleHe, J., Li, T., & Rui, Y. (2023). Geomechanical Properties of Deep-Sea Pore-Filled Methane Hydrate-Bearing Soils at Critical State Using DEM Analysis. Fractal and Fractional, 7(9), 681. https://doi.org/10.3390/fractalfract7090681
