New Properties and Sets Derived from the -Ball Fractal Dust
Abstract
1. Introduction
1.1. Background of Fractals and IFS
1.2. Related Work
1.3. Problem Description and Objectives
- In the first one, we consider a sequence of sets with the same structure as the initial generator set (one large ball and four smaller balls), but with a dynamical interaction between the radii of the balls depending on the previous value of the sequence through a specific formula. In this case, the k-th iteration of this set is given by the union of the k first elements in the sequence. This construction breaks the original fractal nature but maintains the properties of an IFS. With the purpose of explaining the properties of the new IFS and delimiting the conditions for which the nature patterns arise, we categorize the resulting modifications regarding a parameter , which denotes the interaction level (Section 2.1). Then, in Section 3, for a group of radii regimes, we study these sets’ asymptotic behavior, compute their Hausdorff dimension and the area they cover, and graphically illustrate the resulting sets. We also study the ratio between the sizes of the generator balls of each iteration.
- In the second one, we add new balls to the sets , , following a set of rules in such a way that the generated IFS approaches to the boundary of . That is, in our analysis, we avoid including and depicting balls and squares belonging to , while filling spaces between and . The way of construction allows for conserving a fractal shape that resembles nontouching fluid dynamic structures, such as bubbles that intend adding to a main body, or well, fragments of rock suspended in a solution; it is detailed in Section 2.2. With the objective of detailing some of its properties and performing a comparative analysis with the first procedure, we make similar calculations and computations for this case, which are shown in Section 3 too.
2. IFS-Based Methods to Modify the -Ball Fractal Dust
2.1. Addition of a Resizer Parameter
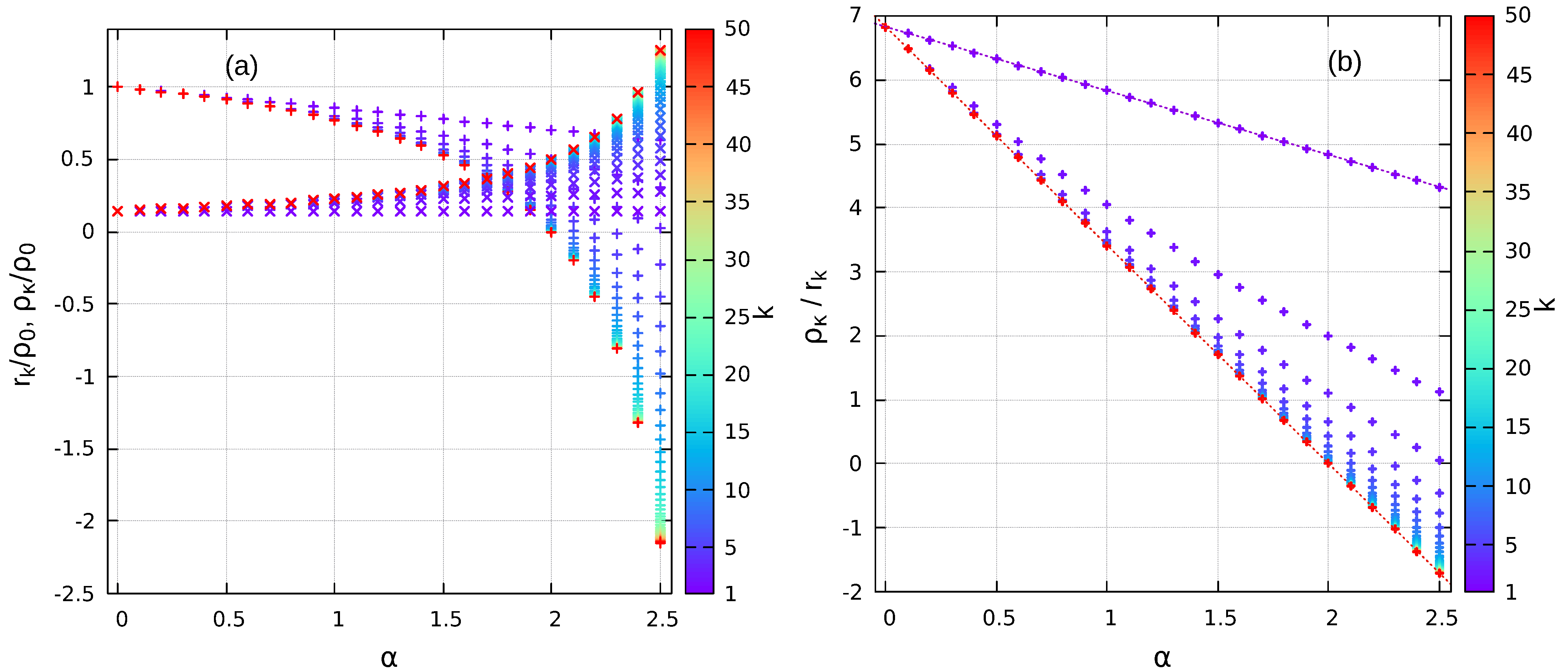
- Case . The particularity of this case is the exchange ratio itself, decreasing the radius of the next generator ball () with the radius of the current associated balls (); see Equation (2), which leads from Sequences (3) and (4) to the limitsThe convergence of Equations (5) and (6) is visualized in Figure 1, in which the slight increase and decrease of and are shown, respectively. This leads to the fact that the radius ratio stabilizes before is greater than ; indeed, the balls corresponding to the radius do not touch those ones , , , as illustrated in Figure 2 up to the 50-th iteration.
- Case . In contrast with case , the radius decreases with the diameter . Then,which leads to a stabilization of the radius ratio at , sincei.e., the generator ball disappears, whereas the four associated balls grow up to being tangent to each other and to the enveloping square; see Figure 1 and Figure 3.
- Case . As expected by the trend shown in previous cases, stabilizes at a negative value for cases with . Specifically, in the present one, it producesand when , we obtainwhich leads to a stabilization at , sincei.e., the generator ball passes from diminishing its size up to recovering it as a nonphysically possible solution but mathematically, whereas the four associated balls overlap each other and are tangent in two points to the enveloping square. Figure 5 plots the iterative process considering absolute values for . Note that, for convenience in procedure, limits (11) and (12) were obtained in a partial reverse way by looking for the value of , observing from Equation (10) thatand then assuming that Equation (12) is satisfied so that
- Case . This case is similar to the latter one and producesand when , we obtainwhich also leads to a stabilization at , sincei.e., the generator ball passes from diminishing its original size to increasing and overpassing it (in negative value), whereas the four associated balls fully overlap each other, being tangent in four points to the enveloping square; i.e., they become the original generator (see Figure 6). Similar to the latter case, limits (14) and (15) can be obtained by looking for the value of ; namely, one can see thatby using Equation (13) while assuming that (15) is fulfilled.
2.2. An Embedded Fractal
- Touch the boundary at only one different point , .
- Do not touch any previous ball but only the boundary of their generator ,
- They are only path-connected by their square generator so that the intersecting points agree with .
3. Results
4. Discussion
4.1. First Procedure: Plants and Mandalas’ Patterns
- The method establishes a connection between fractals/IFSs and mandalas. This could seem a trivial case since a trained eye could detect the appearance of fractal structures on them; however, no previous works regarding the construction of mandalas (and succulent plants) from IFSs have been reported, as mentioned in Section 1.2.
- In fact, most of the methods for designing mandalas are of an artistic type, taking only into account the maintenance of symmetry; see also the online generator [57] as a practical example. In this sense, our procedure introduces mathematical formality to construct those patterns while illustrating their asymptotic behavior as a form to understand their possible complexity (Table 1 and Figure 1 and Figure 8). This involves the increasing of the knowledge about the geometrical properties that a mandala could possess, while enhancing the exploration of other fractals for those purposes.
- Finally, since mandalas are widely used as coloring therapy to reduce anxiety and other disorders about mental health, the exploration of new geometries, such as that generated by us, is important when looking for improving effectiveness (see [58,59] and the references therein). Therefore, this first procedure could be explored in future medical/psychological works to determine its feasibility.
4.2. Second Procedure: Bubble and Percolation Models
- The structures induced by our proposal allow for including multiple scales governed by the number of iterations in a clear way (Figure 9). This property (multiscaling) is useful for realistic simulations of the fluid dynamics’ phenomena that we deal with in this work and improves the original -BFD, since the multiscaling transition includes variation in circle sizes inside each iteration while decreasing them with a wide bank of sizes throughout iterations. This also contrasts with the works cited in Section 1.2, such as [52], which are feasible but do not include a multiscale approach.
- The two points above make our procedure compete also in feasibility for specific problems. Indeed, as seen in Figure 11, -BBD fits better (with a maximum iteration number of ) to real data of granite size distribution than the UDEC model proposed by [53]. Although our technique is evidently limited by the structures it can construct (only nontouching circles), the procedure can be adjusted to approximate other geometric sets in cases where such an object interacts at different scales with the medium surrounding it. As a hint for that, users could add roughness to the generated structures by means of the fact that -BBD intends to delineate the limit of the boundary of a circle at higher iterations.
4.3. Future Research
5. Conclusions
- It is possible to recursively generate a set of structures resembling mandalas and succulent plants with the first procedure (Figure 10), effectively providing an algorithm to produce geometric objects based on simple rules and equations. This last part is an advantage of our approach over others. The study included the computation of the area covered by sets generated with different values of the resizer parameter —we do it only for some values since the general case is too intricate, and further research is required to unveil a possible formula. According to the Hausdorff dimension (HD), the resulting IFSs are not considered a fractal.
- The second procedure generates a configuration similar to that found in foams, bubbles, and sponges. Our proposal enriches the existing literature in modeling and generating such structures with a procedure based, again, on simple rules and equations. Another potential benefit of our second proposal is that it could also help model percolation through porous materials and filters consisting of grains of different sizes, which is supported by performing a direct comparison with the grain size frequency of granite rocks (Figure 11). We call the resulting set of the second modification of the -ball-boundary dust. For this case, the HD also indicates that the set is not a fractal by these criteria, although the resulting structure exhibits multiscaling properties.
Author Contributions
Funding
Institutional Review Board Statement
Informed Consent Statement
Data Availability Statement
Acknowledgments
Conflicts of Interest
References
- Mandelbrot, B.B.; Mandelbrot, B.B. The Fractal Geometry of Nature; WH Freeman: New York, NY, USA, 1982; Volume 1. [Google Scholar]
- Banerjee, S.; Hassan, M.K.; Mukherjee, S.; Gowrisankar, A. Fractal Patterns in Nonlinear Dynamics and Applications; CRC Press: Boca Raton, FL, USA, 2020. [Google Scholar]
- Gokyildirim, A. Circuit Realization of the Fractional-Order Sprott K Chaotic System with Standard Components. Fractal Fract. 2023, 7, 470. [Google Scholar] [CrossRef]
- Ivanov, D. Identification of Fractional Models of an Induction Motor with Errors in Variables. Fractal Fract. 2023, 7, 485. [Google Scholar] [CrossRef]
- Joshi, M.; Agarwal, A.K.; Gupta, B. Fractal image compression and its techniques: A review. In Soft Computing: Theories and Applications: Proceedings of SoCTA 2017; Springer: Singapore, 2019; pp. 235–243. [Google Scholar]
- Metze, K.; Adam, R.; Florindo, J.B. The fractal dimension of chromatin - a potential molecular marker for carcinogenesis, tumor progression and prognosis. Expert Rev. Mol. Diagn. 2019, 19, 299–312. [Google Scholar] [CrossRef] [PubMed]
- Leggett, S.E.; Neronha, Z.J.; Bhaskar, D.; Sim, J.Y.; Perdikari, T.M.; Wong, I.Y. Motility-limited aggregation of mammary epithelial cells into fractal-like clusters. Proc. Natl. Acad. Sci. USA 2019, 116, 17298–17306. [Google Scholar] [CrossRef]
- Liu, S.; Bai, W.; Zeng, N.; Wang, S. A fast fractal based compression for MRI images. IEEE Access 2019, 7, 62412–62420. [Google Scholar] [CrossRef]
- Mandelbrot, B.B. Fractals and Scaling in Finance: Discontinuity, Concentration, Risk. Selecta Volume E; Springer Science & Business Media: New York, NY, USA, 2013. [Google Scholar]
- Hutchinson, J.E. Fractals and self similarity. Indiana Univ. Math. J. 1981, 30, 713–747. [Google Scholar] [CrossRef]
- Barnsley, M.F. Fractals Everywhere; Academic Press: Cambridge, MA, USA, 2014. [Google Scholar]
- Guérin, E.; Tosan, E.; Baskurt, A. Fractal coding of shapes based on a projected IFS model. In Proceedings of the 2000 International Conference on Image Processing (Cat. No. 00CH37101), Vancouver, BC, Canada, 10–13 September 2000; Volume 2, pp. 203–206. [Google Scholar]
- Ezhumalai, A.; Ganesan, N.; Balasubramaniyan, S. An extensive survey on fractal structures using iterated function system in patch antennas. Int. J. Commun. Syst. 2021, 34, e4932. [Google Scholar] [CrossRef]
- Palanisamy, S.; Thangaraju, B.; Khalaf, O.I.; Alotaibi, Y.; Alghamdi, S.; Alassery, F. A Novel Approach of Design and Analysis of a Hexagonal Fractal Antenna Array (HFAA) for Next-Generation Wireless Communication. Energies 2021, 14, 6204. [Google Scholar] [CrossRef]
- Carletti, T.; Righi, S. Weighted fractal networks. Phys. A Stat. Mech. Its Appl. 2010, 389, 2134–2142. [Google Scholar] [CrossRef]
- Chan, E.Y.; Corless, R.M. Chaos game representation. SIAM Rev. 2023, 65, 261–290. [Google Scholar] [CrossRef]
- Soo, S.; Yu, K.M.; Chiu, W. Modeling and fabrication of artistic products based on IFS fractal representation. Comput. Aided Des. 2006, 38, 755–769. [Google Scholar]
- Guariglia, E. Harmonic Sierpinski gasket and applications. Entropy 2018, 20, 714. [Google Scholar] [PubMed]
- Sun, W.; Zhang, J.; Wu, Y. Novel evolving small-world scale-free Koch networks. J. Stat. Mech. Theory Exp. 2011, 2011, P03021. [Google Scholar]
- Paramanathan, P.; Uthayakumar, R. Fractal interpolation on the Koch Curve. Comput. Math. Appl. 2010, 59, 3229–3233. [Google Scholar]
- Falconer, K.; Fraser, J.; Jin, X. Sixty years of fractal projections. In Fractal Geometry and Stochastics V; Springer: Cham, Switzerland, 2015; pp. 3–25. [Google Scholar]
- Rajan, P.; Navascués, M.A.; Chand, A.K.B. Iterated functions systems composed of generalized θ-contractions. Fractal Fract. 2021, 5, 69. [Google Scholar]
- Lin, C.H.; Wu, J.X.; Li, C.M.; Chen, P.Y.; Pai, N.S.; Kuo, Y.C. Enhancement of chest X-ray images to improve screening accuracy rate using iterated function system and multilayer fractional-order machine learning classifier. IEEE Photonics J. 2020, 12, 1–18. [Google Scholar]
- Ghosh, R.; Marecek, J. Iterated Function Systems: A Comprehensive Survey. arXiv 2022, arXiv:2211.14661. [Google Scholar]
- Soto-Villalobos, R.; Benavides-Bravo, F.G.; Hueyotl-Zahuantitla, F.; Aguirre-López, M.A. A new deterministic gasket fractal based on ball sets. In Proceedings of the WSCG 2023: Computer Science Research Notes, Prague, Czech Republic, 15–19 May 2023; pp. 306–314. [Google Scholar] [CrossRef]
- Wikipedia Contributors. Mandala—Wikipedia, The Free Encyclopedia. 2023. Available online: https://en.wikipedia.org/wiki/Mandala (accessed on 28 June 2023).
- Zhang, J.; Zhang, K.; Peng, R.; Yu, J. Computer-aided generation of mandala thangka patterns. In Proceedings of the 10th International Symposium on Visual Information Communication and Interaction, Bangkok, Thailand, 14–16 August 2017; pp. 93–100. [Google Scholar]
- Zhang, J.; Zhang, K.; Peng, R.; Yu, J. Parametric modeling and generation of mandala thangka patterns. J. Comput. Lang. 2020, 58, 100968. [Google Scholar]
- Xu, S.; Zhang, Y.; Yan, S. Automatic mandala pattern design and generation based on COOM framework. J. Comput. Lang. 2022, 72, 101138. [Google Scholar]
- Poelke, K.; Tokoutsi, Z.; Polthier, K. Complex Polynomial Mandalas and their Symmetries. In Proceedings of the Bridges 2014: Mathematics, Music, Art, Architecture, Culture, Seoul, Republic of Korea, 14–19 August 2014; pp. 433–436. [Google Scholar]
- Karam; Nakajima. Islamic symmetric pattern generation based on group theory. In Proceedings of the 1999 Proceedings Computer Graphics International, Canmore, AB, Canada, 7–11 June 1999; pp. 112–119. [Google Scholar]
- Lu, P.J.; Steinhardt, P.J. Decagonal and quasi-crystalline tilings in medieval Islamic architecture. Science 2007, 315, 1106–1110. [Google Scholar]
- Cromwell, P.R. The search for quasi-periodicity in Islamic 5-fold ornament. Math. Intell. 2009, 31, 36–56. [Google Scholar]
- Beatini, V. Kinetic rosette patterns and tessellations. Int. J. Comput. Methods Exp. Meas. 2017, 5, 631–641. [Google Scholar]
- David, N.; Robinson, T.; Thomas, D.; Balamurugan, B.; Samuel, S. Graph grammers for kolam patterns and honeycomb patterns. Int. J. Math. Sci. 2007, 6, 355–367. [Google Scholar]
- Pradella, M.; Cherubini, A.; Reghizzi, S.C. A unifying approach to picture grammars. Inf. Comput. 2011, 209, 1246–1267. [Google Scholar]
- Gopalan, V.; VanLeeuwen, B.K. A Topological Approach to Creating any Pulli Kolam, an Artform from Southern India. arXiv 2015, arXiv:1503.02130. [Google Scholar]
- Sugihara, K. Computer-aided generation of Escher-like sky and water tiling patterns. J. Math. Arts 2009, 3, 195–207. [Google Scholar]
- Lin, S.S.; Morace, C.C.; Lin, C.H.; Hsu, L.F.; Lee, T.Y. Generation of escher arts with dual perception. IEEE Trans. Vis. Comput. Graph. 2017, 24, 1103–1113. [Google Scholar]
- Tao, W.; Liu, Y.; Zhang, K. Automatically generating abstract paintings in Malevich style. In Proceedings of the 2014 IEEE/ACIS 13th International Conference on Computer and Information Science (ICIS), Taiyuan, China, 4–6 June 2014; pp. 201–205. [Google Scholar]
- Trivedi, K. Hindu temples: Models of a fractal universe. Vis. Comput. 1989, 5, 243–258. [Google Scholar] [CrossRef]
- Wikipedia Contributors. Succulent Plant—Wikipedia, The Free Encyclopedia. 2023. Available online: https://en.wikipedia.org/wiki/Succulent_plant (accessed on 28 June 2023).
- Gielis, J. A generic geometric transformation that unifies a wide range of natural and abstract shapes. Am. J. Bot. 2003, 90, 333–338. [Google Scholar]
- Gielis, J.; Gerats, A. A botanical perspective on modeling plants and plant shapes in computer graphics. In Proceedings of the International Conference on Computing, Communications and Control Technologies, Austin, TX, USA, 14–17 August 2004. [Google Scholar]
- Benfenati, A.; Bolzi, D.; Causin, P.; Oberti, R. A deep learning generative model approach for image synthesis of plant leaves. PLoS ONE 2022, 17, e0276972. [Google Scholar]
- Manor, O.; Vakarelski, I.U.; Stevens, G.W.; Grieser, F.; Dagastine, R.R.; Chan, D.Y. Dynamic forces between bubbles and surfaces and hydrodynamic boundary conditions. Langmuir 2008, 24, 11533–11543. [Google Scholar] [PubMed]
- Durian, D.J. Foam mechanics at the bubble scale. Phys. Rev. Lett. 1995, 75, 4780. [Google Scholar] [PubMed]
- Durian, D.J. Bubble-scale model of foam mechanics: MMelting, nonlinear behavior, and avalanches. Phys. Rev. E 1997, 55, 1739. [Google Scholar]
- Weaire, D.; Höhler, R.; Hutzler, S. Bubble-bubble interactions in a 2d foam, close to the wet limit. Adv. Colloid Interface Sci. 2017, 247, 491–495. [Google Scholar]
- Cantat, I.; Cohen-Addad, S.; Elias, F.; Graner, F.; Höhler, R.; Pitois, O.; Rouyer, F.; Saint-Jalmes, A. Foams: Structure and Dynamics; OUP Oxford: Oxford, UK, 2013. [Google Scholar]
- Ge, C.; Priyadarshini, L.; Cormier, D.; Pan, L.; Tuber, J. A preliminary study of cushion properties of a 3D printed thermoplastic polyurethane Kelvin foam. Packag. Technol. Sci. 2018, 31, 361–368. [Google Scholar] [CrossRef]
- Monnet, J.; Boutonnier, L.; Taïbi, S.; Mahmutovic, D.; Branque, D. Theoretical modelling of retention curve for Livet-Gavet loam. E3S Web Conf. 2020, 195, 02015. [Google Scholar]
- Nicksiar, M.; Martin, C. Factors Affecting Crack Initiation in Low Porosity Crystalline Rocks. Rock Mech. Rock Eng. 2014, 47, 1165–1181. [Google Scholar] [CrossRef]
- Liu, X.; Ma, Q.; Wu, X.; Hu, T.; Dai, G.; Wu, J.; Tao, S.; Wang, S.; Liu, L.; Guo, Q.; et al. Nonscalability of Fractal Dimension to Quantify Canopy Structural Complexity from Individual Trees to Forest Stands. J. Remote Sens. 2022, 2022, 0001. [Google Scholar] [CrossRef]
- Grigoriev, S.V.; Shnyrkov, O.D.; Pustovoit, P.M.; Iashina, E.G.; Pshenichnyi, K.A. Experimental evidence for logarithmic fractal structure of botanical trees. Phys. Rev. E 2022, 105, 044412. [Google Scholar] [CrossRef]
- Hui, Z.; Cai, Z.; Xu, P.; Xia, Y.; Cheng, P. Tree Species Classification Using Optimized Features Derived from Light Detection and Ranging Point Clouds Based on Fractal Geometry and Quantitative Structure Model. Forests 2023, 14, 1265. [Google Scholar] [CrossRef]
- Shilo, H. Mandala Maker. 2023. Available online: http://mandala-app.com/ (accessed on 27 July 2023).
- Curry, N.A.; Kasser, T. Can Coloring Mandalas Reduce Anxiety? Art Ther. 2005, 22, 81–85. [Google Scholar] [CrossRef]
- Hosseini, M.; Borzabadi Farahani, Z. Evaluating the Effectiveness of Mandala Coloring on Mental Health in Iran: A Systematic Review. J. Health Sci. Surveill. Syst. 2022, 10, 144–149. [Google Scholar] [CrossRef]
- Lim, S.S.; Martin, C.D.; Åkesson, U. In-situ stress and microcracking in granite cores with depth. Eng. Geol. 2012, 147–148, 1–13. [Google Scholar] [CrossRef]











| Property | Stage | ||||||
|---|---|---|---|---|---|---|---|
| A (%) | Initial | 85.3 | 85.3 | 85.3 | 85.3 | 85.3 | 85.3 |
| Final | 63.1 | 53.6 | 78.5 | 84.4 | 157.1 | 0.0 | |
| Union | 91.6 | 96.1 | 97.9 | 99.6 | 157.1 | 95.4 | |
| dim | - | 2 | 2 | 2 | 2 | 2 | 2 |
Disclaimer/Publisher’s Note: The statements, opinions and data contained in all publications are solely those of the individual author(s) and contributor(s) and not of MDPI and/or the editor(s). MDPI and/or the editor(s) disclaim responsibility for any injury to people or property resulting from any ideas, methods, instructions or products referred to in the content. |
© 2023 by the authors. Licensee MDPI, Basel, Switzerland. This article is an open access article distributed under the terms and conditions of the Creative Commons Attribution (CC BY) license (https://creativecommons.org/licenses/by/4.0/).
Share and Cite
Aguirre-López, M.A.; Márquez-Urbina, J.U.; Hueyotl-Zahuantitla, F.
New Properties and Sets Derived from the
Aguirre-López MA, Márquez-Urbina JU, Hueyotl-Zahuantitla F.
New Properties and Sets Derived from the
Aguirre-López, Mario A., José Ulises Márquez-Urbina, and Filiberto Hueyotl-Zahuantitla.
2023. "New Properties and Sets Derived from the
Aguirre-López, M. A., Márquez-Urbina, J. U., & Hueyotl-Zahuantitla, F.
(2023). New Properties and Sets Derived from the

