Dynamical Analysis of the Incommensurate Fractional-Order Hopfield Neural Network System and Its Digital Circuit Realization
Abstract
:1. Introduction
2. The Incommensurate FOHNN System
2.1. Fractional Calculus
2.2. Solution of the Incommensurate FOHNN-Based System
2.3. Dissipation
2.4. Equilibrium Points and Stabilities
3. The Dynamical Analysis of the Incommensurate FOHNN System
3.1. Dynamical Behaviors with the Incommensurate Fractional Order
3.2. The Dynamical Behavior of Distinct Synaptic Weights
3.2.1. The Self-Synaptic Weight k11 Varies
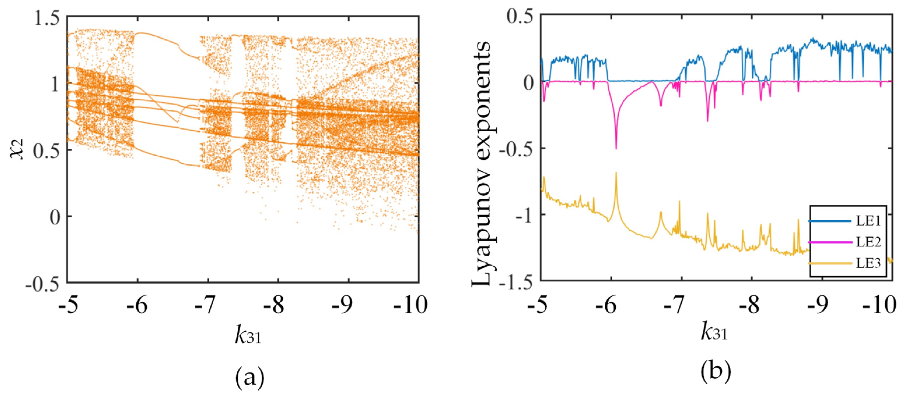
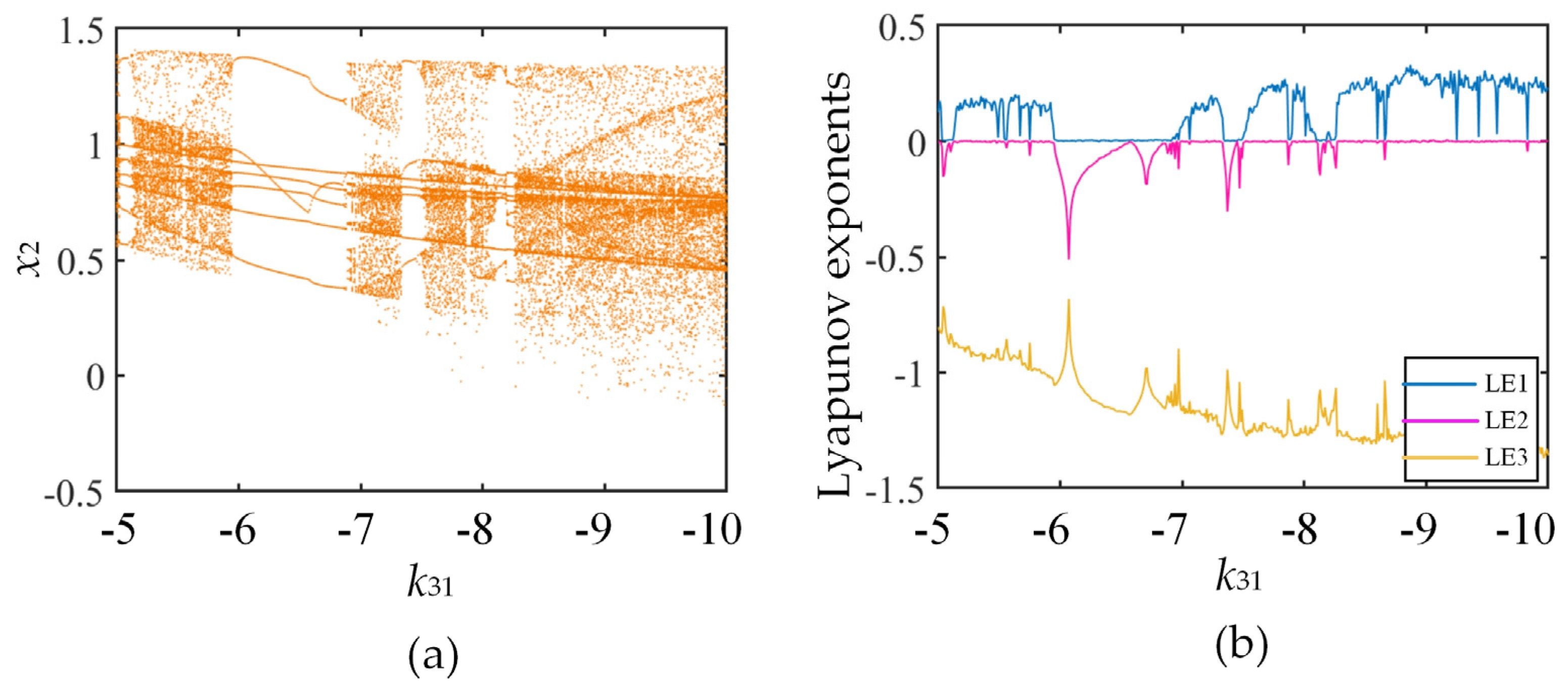
3.2.2. The Synaptic Weight k31 Varies
3.3. Complexity Analysis
3.4. Coexistence of the Attractors for the Incommensurate Fractional Order
4. Circuit Design and Simulation of the FOHNN System
5. Conclusions
Author Contributions
Funding
Data Availability Statement
Acknowledgments
Conflicts of Interest
Appendix A
References
- Lu, S.; Wang, X. Adaptive neural network output feedback control of incommensurate fractional-order PMSMs with input saturation via command filtering and state observer. Neural Comput. Appl. 2021, 33, 5631–5644. [Google Scholar] [CrossRef]
- Ding, D.; Qian, X.; Hu, W.; Wang, N.; Liang, D. Chaos and Hopf bifurcation control in a fractional-order memristor-based chaotic system with time delay. Eur. Phys. J. Plus 2017, 132, 447. [Google Scholar] [CrossRef]
- Liu, X.; Mou, J.; Zhang, Y.; Cao, Y. A New Hyperchaotic Map Based on Discrete Memristor and Meminductor: Dynamics Analysis, Encryption Application, and DSP Implementation. IEEE Trans. Ind. Electron. 2023. early access. [Google Scholar] [CrossRef]
- Liu, X.; Mou, J.; Wang, J.; Banerjee, S.; Li, P. Dynamical Analysis of a Novel Fractional-Order Chaotic System Based on Memcapacitor and Meminductor. Fractal Fract. 2022, 6, 671. [Google Scholar] [CrossRef]
- Wang, M.; Deng, B.; Peng, Y.; Deng, M.; Zhang, Y. Hidden dynamics, synchronization, and circuit implementation of a fractional-order memristor-based chaotic system. Eur. Phys. J. Spec. Top. 2022, 231, 3171–3185. [Google Scholar] [CrossRef]
- Wang, L.; Cao, Y.; Jahanshahi, H.; Wang, Z.; Mou, J. Color image encryption algorithm based on Double layer Josephus scramble and laser chaotic system. Optik 2023, 275, 170590. [Google Scholar] [CrossRef]
- Yuwen Sha, J.M.; Banerjee, S.; Zhang, Y. Exploiting Flexible and Secure Cryptographic Technique for the Multi-Dimensional Image based on Graph Data Structure and Three-Input Majority Gate. IEEE Trans. Ind. Inform. 2023. early access. [Google Scholar]
- Gao, X.; Sun, B.; Cao, Y.; Banerjee, S.; Mou, J. A color image encryption algorithm based on hyperchaotic map and DNA mutation. Chin. Phys. B 2023, 32, 030501. [Google Scholar] [CrossRef]
- Shi, Q.; An, X.; Xiong, L.; Yang, F.; Zhang, L. Dynamic analysis of a fractional-order hyperchaotic system and its application in image encryption. Phys. Scr. 2022, 97, 045201. [Google Scholar] [CrossRef]
- He, S.; Sun, K.; Mei, X.; Yan, B.; Xu, S. Numerical analysis of a fractional-order chaotic system based on conformable fractional-order derivative. Eur. Phys. J. Plus 2017, 132, 36. [Google Scholar] [CrossRef]
- Gao, X.; Mou, J.; Banerjee, S.; Zhang, Y. Color-Gray Multi-Image Hybrid Compression-Encryption Scheme Based on BP Neural Network and Knight Tour. IEEE Trans. Cybern. 2023. early access. [Google Scholar] [CrossRef]
- Bao, B.; Hu, A.; Bao, H.; Xu, Q.; Chen, M.; Wu, H. Three-dimensional memristive Hindmarsh–Rose neuron model with hidden coexisting asymmetric behaviors. Complexity 2018, 2018, 3872573. [Google Scholar] [CrossRef]
- Dou, G.; Zhao, K.; Guo, M.; Mou, J. Memristor-based LSTM Network for Text Classification. Fractals 2023, 2340040. [Google Scholar] [CrossRef]
- Lin, H.; Wang, C.; Deng, Q.; Xu, C.; Deng, Z.; Zhou, C. Review on chaotic dynamics of memristive neuron and neural network. Nonlinear Dyn. 2021, 106, 959–973. [Google Scholar] [CrossRef]
- Ma, J.; Tang, J. A review for dynamics in neuron and neuronal network. Nonlinear Dyn. 2017, 89, 1569–1578. [Google Scholar] [CrossRef]
- Wen, Z.; Wang, C.; Deng, Q.; Lin, H. Regulating memristive neuronal dynamical properties via excitatory or inhibitory magnetic field coupling. Nonlinear Dyn. 2022, 110, 3823–3835. [Google Scholar] [CrossRef]
- Chen, C.; Bao, H.; Chen, M.; Xu, Q.; Bao, B. Non-ideal memristor synapse-coupled bi-neuron Hopfield neural network: Numerical simulations and breadboard experiments. AEU-Int. J. Electron. Commun. 2019, 111, 152894. [Google Scholar] [CrossRef]
- Pham, V.T.; Jafari, S.; Vaidyanathan, S.; Volos, C.; Wang, X. A novel memristive neural network with hidden attractors and its circuitry implementation. Sci. China Technol. Sci. 2015, 59, 358–363. [Google Scholar] [CrossRef]
- Zhang, S.; Yu, Y.; Wang, H. Mittag-Leffler stability of fractional-order Hopfield neural networks. Nonlinear Anal. Hybrid Syst. 2015, 16, 104–121. [Google Scholar] [CrossRef]
- Liu, X.; Mou, J.; Yan, H.; Bi, X. Memcapacitor-Coupled Chebyshev Hyperchaotic Map. Int. J. Bifurc. Chaos 2022, 32, 12. [Google Scholar] [CrossRef]
- Hu, X.; Liu, C.; Liu, L.; Ni, J.; Yao, Y. Chaotic dynamics in a neural network under electromagnetic radiation. Nonlinear Dyn. 2017, 91, 1541–1554. [Google Scholar] [CrossRef]
- Lin, H.; Wang, C.; Yao, W.; Tan, Y. Chaotic dynamics in a neural network with different types of external stimuli. Commun. Nonlinear Sci. Numer. Simul. 2020, 90, 105390. [Google Scholar] [CrossRef]
- Njitacke, Z.T.; Kengne, J. Complex dynamics of a 4D Hopfield neural networks (HNNs) with a nonlinear synaptic weight: Coexistence of multiple attractors and remerging Feigenbaum trees. AEU Int. J. Electron. Commun. 2018, 93, 242–252. [Google Scholar] [CrossRef]
- Zhang, S.; Zheng, J.; Wang, X.; Zeng, Z.; He, S. Initial offset boosting coexisting attractors in memristive multi-double-scroll Hopfield neural network. Nonlinear Dyn. 2020, 102, 2821–2841. [Google Scholar] [CrossRef]
- Chen, C.; Min, F.; Zhang, Y.; Bao, B. Memristive electromagnetic induction effects on Hopfield neural network. Nonlinear Dyn. 2021, 106, 2559–2576. [Google Scholar] [CrossRef]
- Ma, T.; Mou, J.; Yan, H.; Cao, Y. A new class of Hopfield neural network with double memristive synapses and its DSP implementation. Eur. Phys. J. Plus 2022, 157, 1135. [Google Scholar] [CrossRef]
- Xu, S.; Wang, X.; Ye, X. A new fractional-order chaos system of Hopfield neural network and its application in image encryption. Chaos Solitons Fractals 2022, 157, 111889. [Google Scholar] [CrossRef]
- Bao, B.; Qian, H.; Wang, J.; Xu, Q.; Chen, M.; Wu, H.; Yu, Y. Numerical analyses and experimental validations of coexisting multiple attractors in Hopfield neural network. Nonlinear Dyn. 2017, 90, 2359–2369. [Google Scholar] [CrossRef]
- Qiu, R.; Dong, Y.; Jiang, X.; Wang, G. Two-Neuron Based Memristive Hopfield Neural Network with Synaptic Crosstalk. Electronics 2022, 11, 3034. [Google Scholar] [CrossRef]
- Ren, L.; Mou, J.; Banerjee, S.; Zhang, Y. A hyperchaotic map with a new discrete memristor model: Design, dynamical analysis, implementation and application. Chaos Solitons Fractals 2023, 167, 113024. [Google Scholar] [CrossRef]
- Chen, Y.; Mou, J.; Jahanshahi, H.; Wang, Z.; Cao, Y. A new mix chaotic circuit based on memristor–memcapacitor. Eur. Phys. J. Plus 2023, 138, 78. [Google Scholar] [CrossRef]
- Batiha, I.M.; Albadarneh, R.B.; Momani, S.; Jebril, I.H. Dynamics analysis of fractional-order Hopfield neural networks. Int. J. Biomath. 2020, 13, 2050083. [Google Scholar] [CrossRef]
- Ma, T.; Mou, J.; Li, B.; Banerjee, S.; Yan, H. Study on the Complex Dynamical Behavior of the Fractional-Order Hopfield Neural Network System and Its Implementation. Fractal Fract. 2022, 6, 637. [Google Scholar] [CrossRef]
- He, S.; Wang, H.; Sun, K. Solutions and memory effect of fractional-order chaotic system: A review. Chin. Phys. B 2022, 31, 060501. [Google Scholar] [CrossRef]
- Alsaade, F.W.; Al-zahrani, M.S.; Yao, Q.; Jahanshahi, H. A Model-Free Finite-Time Control Technique for Synchronization of Variable-Order Fractional Hopfield-like Neural Network. Fractal Fract. 2023, 7, 349. [Google Scholar] [CrossRef]
- Boroomand, A.; Menhaj, M.B. Fractional-order Hopfield neural networks. In Proceedings of the International Conference on Neural Information Processing, Auckland, New Zealand, 25–28 November 2008; pp. 883–890. [Google Scholar]
- Lin, H.; Wang, C.; Cui, L.; Sun, Y.; Xu, C.; Yu, F. Brain-like initial-boosted hyperchaos and application in biomedical image encryption. IEEE Trans. Ind. Inform. 2022, 18, 8839–8850. [Google Scholar] [CrossRef]
- Ma, C.; Mou, J.; Liu, J.; Yang, F.; Yan, H.; Zhao, X. Coexistence of multiple attractors for an incommensurate fractional-order chaotic system. Eur. Phys. J. Plus 2020, 135, 95. [Google Scholar] [CrossRef]
- Debbouche, N.; Ouannas, A.; Batiha, I.M.; Grassi, G.; Kaabar, M.K.A.; Jahanshahi, H.; Aly, A.A.; Aljuaid, A.M.; Wang, M. Chaotic Behavior Analysis of a New Incommensurate Fractional-Order Hopfield Neural Network System. Complexity 2021, 2021, 3394666. [Google Scholar] [CrossRef]
- Debbouche, N.; Momani, S.; Ouannas, A.; Shatnawi, T.; Grassi, G.; Dibi, Z.; Batiha, I.M. Generating Multidirectional Variable Hidden Attractors via Newly Commensurate and Incommensurate Non-Equilibrium Fractional-Order Chaotic Systems. Entropy 2021, 23, 261. [Google Scholar] [CrossRef] [PubMed]
- Arena, P.; Fortuna, L.; Porto, D. Chaotic behavior in noninteger-order cellular neural networks. Phys. Rev. E 2000, 61, 776. [Google Scholar] [CrossRef]
- Abbes, A.; Ouannas, A.; Shawagfeh, N.; Khennaoui, A.A. Incommensurate fractional discrete neural network: Chaos and complexity. Eur. Phys. J. Plus 2022, 137, 235. [Google Scholar] [CrossRef]
- Jia, J.; Wang, F.; Zeng, Z. Lag quasi-synchronization of incommensurate fractional-order memristor-based neural networks with nonidentical characteristics via quantized control: A vector fractional Halanay inequality approach. J. Frankl. Inst. 2022, 359, 6392–6437. [Google Scholar] [CrossRef]
- Chen, L.; Gu, P.; Lopes, A.M.; Chai, Y.; Xu, S.; Ge, S. Asymptotic Stability of Fractional-Order Incommensurate Neural Networks. Neural Process. Lett. 2022, 1–15. [Google Scholar] [CrossRef]
- Jia, J.; Wang, F.; Zeng, Z. Bipartite leader-following synchronization of delayed incommensurate fractional-order memristor-based neural networks under signed digraph via adaptive strategy. Neurocomputing 2022, 505, 413–432. [Google Scholar] [CrossRef]
- Tavazoei, M.S.; Haeri, M. Chaotic attractors in incommensurate fractional order systems. Phys. D Nonlinear Phenom. 2008, 237, 2628–2637. [Google Scholar] [CrossRef]
- Luo, R.; Su, H. The stability of impulsive incommensurate fractional order chaotic systems with Caputo derivative. Chin. J. Phys. 2018, 56, 1599–1608. [Google Scholar] [CrossRef]
- Danca, M.-F. Matlab code for Lyapunov exponents of fractional-order systems, part ii: The noncommensurate case. Int. J. Bifurc. Chaos 2021, 31, 2150187. [Google Scholar] [CrossRef]
- Kilbas, A.A.; Marzan, S.A. Nonlinear differential equations with the Caputo fractional derivative in the space of continuously differentiable functions. Differ. Equ. 2005, 41, 84–89. [Google Scholar] [CrossRef]
- Sun, K. Chaotic Secure Communication: Principles and Technologies; Tsinghua University Press and Walter de Gruyter GmbH: Beijing, China, 2016. [Google Scholar]















| Full Name | Abbreviation |
|---|---|
| Artificial neural network | ANN |
| Adomian decomposition method | ADM |
| Fractional-order neural network | FONN |
| Fractional-order Hopfield neural network | FOHNN |
Disclaimer/Publisher’s Note: The statements, opinions and data contained in all publications are solely those of the individual author(s) and contributor(s) and not of MDPI and/or the editor(s). MDPI and/or the editor(s) disclaim responsibility for any injury to people or property resulting from any ideas, methods, instructions or products referred to in the content. |
© 2023 by the authors. Licensee MDPI, Basel, Switzerland. This article is an open access article distributed under the terms and conditions of the Creative Commons Attribution (CC BY) license (https://creativecommons.org/licenses/by/4.0/).
Share and Cite
Wang, M.; Wang, Y.; Chu, R. Dynamical Analysis of the Incommensurate Fractional-Order Hopfield Neural Network System and Its Digital Circuit Realization. Fractal Fract. 2023, 7, 474. https://doi.org/10.3390/fractalfract7060474
Wang M, Wang Y, Chu R. Dynamical Analysis of the Incommensurate Fractional-Order Hopfield Neural Network System and Its Digital Circuit Realization. Fractal and Fractional. 2023; 7(6):474. https://doi.org/10.3390/fractalfract7060474
Chicago/Turabian StyleWang, Miao, Yuru Wang, and Ran Chu. 2023. "Dynamical Analysis of the Incommensurate Fractional-Order Hopfield Neural Network System and Its Digital Circuit Realization" Fractal and Fractional 7, no. 6: 474. https://doi.org/10.3390/fractalfract7060474
APA StyleWang, M., Wang, Y., & Chu, R. (2023). Dynamical Analysis of the Incommensurate Fractional-Order Hopfield Neural Network System and Its Digital Circuit Realization. Fractal and Fractional, 7(6), 474. https://doi.org/10.3390/fractalfract7060474

